Гравитация и электромагнетизм. Взаимосвязи
Гравитация и электромагнетизм. Взаимосвязи.
С. В. Мельничук
В работе проводится анализ и обсуждается
приложение выражения
,
где
-
светимость и
-
масса,
.
Численное значение
для
характеристик Солнца, с точностью не
хуже двух процентов, совпадает с
гравитационной постоянной пониженной
размерности,
.
Используя представленное выражение,
предлагается техника расчета некоторых
основных характеристик звезд, указывающая
на взаимосвязь гравитации и электромагнитного
излучения. Особенность реализуемого
подхода заключается в том, что выражения
для численных расчетов масс звезд по
их поверхностной температуре получены
в аналитическом виде не обращаясь к
силам гравитационного взаимодействия.
Показано хорошее согласие численных
расчетов с экспериментальными данными.
Постановка задачи
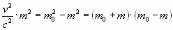
Выражение для
может
быть получено исходя из релятивистского
соотношения массы
(1)
если положить, что в устойчивых
термодинамических системах с потерей
массы на электромагнитное излучение,
таких как звезды, величина
является
мнимой. Данное положение может быть
получено строго аналитически, однако
рассмотрение этого вопроса является
довольно объемным, поэтому выносится
за рамки излагаемого материала и
используется лишь формальный подход.
Тогда:
(2)
откуда следует:
(3)
при условии, что
,
где
-
масса, теряемая объектом за одну секунду
на электромагнитное излучение,
-
светимость,
.
Проведем оценку величины (3) для звезд главной последовательности. Для этого воспользуемся известным [1,2] соотношением:
(4)
где
-
светимость Солнца,
-
масса Солнца,
изменяется
в пределах
.
Выполняя несложные преобразования, находим:
(5)
Из соотношения (5) следует, что величина
не
постоянна, а является функцией массы
звезд. Данный вывод находится в
противоречии с положением о неизменности
гравитационной постоянной
.
Следовательно, несмотря на то, что
численные значения
и
дают
хорошее согласие, величину
нельзя
прямо отождествлять с гравитационной
постоянной
.
Для того, чтобы установить природу их
отличий обратимся к физическому
содержанию выражения (3).
Из соотношения (3) следует, что величина
непосредственно
связана с излучением электромагнитного
поля. Это наводит на мысль о возможности
построения модели устойчивых
термодинамических систем, таких как
звезды, не обращаясь к силам гравитационного
взаимодействия.
Газокинетическая модель звезд не использующая сил гравитационного взаимодействия
При построении физической модели будем придерживаться положений принятых в литературе [1,2]:
Состояние вещества звезд подчинено законам состояния идеального газа.
Рассматриваемый элементарный объем вещества звезд является абсолютно черным телом.
В соответствии с 1 объемная плотность
энергии поступательного движения
,
отвечающая за перенос излучения из
центральных областей звезды наружу:
(6)
где
-
плотность вещества,
-
средняя молярная масса вещества,
-
газовая постоянная. Объемная плотность
энергии электромагнитного излучения
переносимого из центральных областей
звезды наружу
:
(7)
Рассматривая равенство (6) и (7), как
условие стационарности, выразим
:
(8)
Полагая, что источник энергии, переносимой без потерь, является точечным:
(9)
приходим к зависимости:
(10)
где
-
температура поверхности и радиус звезды.
Тогда:
(11)
Вычисляя массу вещества, ограниченную
объемом радиуса
находим:
(12)
Для Солнца
.
Полагая, что на десять атомов водорода
приходится один атом гелия [2], расчет
средней молярной массы элементарного
объема звездного вещества, в отличие
от той же [2], проведем как:

где
и
-
молярные массы водорода и гелия. Однако,
имея в виду [2], применение данного
соотношения в совокупности с (6) и (7)
нельзя считать однозначным, и требует
отдельного, более детального обсуждения.
Выражение (12) для Солнца дает:
(13)
Величина с численным значением (13) входит в закон всемирного тяготения, если одной из тяготеющих масс является Солнце, откуда следует:
(14)
Полученное значение массы Солнца с
хорошей степенью точности совпадает с
табличным значением. Данное совпадение
дает основание полагать, что используемая
физическая модель (6)-(12) с поправкой
либо
(пока
не определено), верна. Выполняя расчеты
масс звезд с помощью установленной
процедуры, и сравнивая их с экспериментальными
данными, можно выяснить какая из величин
или
определяет
истинную поправку. Введем обозначения:
(15)
(16)
Расчет и сравнение
и
проведем
на основании экспериментальных данных
усредненных характеристик звезд главной
последовательности в единицах Солнечных
величин. Дальнейшие расчеты будут
представлены в этих же единицах.
На рис.1. представлены результаты расчета
,
и
соответствующие им экспериментальные
значения масс в зависимости от светимости
на основании данных [3]. Из рис.1. видно,
что как выражение (15), так и выражение
(16) дают значительное расхождение с
экспериментальными данными во всех
областях значений, за исключением масс
близких к массе Солнца
.
Не сложно заметить, что аналогичная
ситуация возникла при численных расчетах
величины
.
Решая данную проблему, обратим внимание на то, что согласно (1)-(3) звезды с различной массой и светимостью можно рассматривать как инерциальные системы отсчета с отличной от нуля “скоростью относительного движения”. Поэтому, можно ожидать наличия эффектов предсказываемых СТО, а именно: не смотря на то, что с точки зрения наблюдателя Солнечной системы звезды имеют ряд различных параметров, наблюдатели, локализованные возле этих звезд, будут получать значения, некоторых из этих параметров, такие же, как у Солнца.

Если предлагаемая гипотеза верна для гравитационной постоянной, масс и радиусов звезд, а также применим общий принцип относительности к закону всемирного тяготения:
(17)
для наблюдателя Солнечной системы массы всех звезд будут одинаковы и равны массе Солнца, только при выполнении условия:
(18)
что легко проверить прямой подстановкой экспериментальных данных в полученное соотношение.
На рис.2. круглой меткой представлены
экспериментальные данные значений
радиусов и квадратной меткой их измененные
значения согласно (18) в зависимости от
массы звезд главной последовательности.
Расчеты и построение проведены на
основании экспериментальных данных
работы [3]. Из рис.2. видно: соотношение
(18) с хорошей точностью выполнимо для
значений относительных масс
,
находящихся в интервале
,
что составляет значительную часть звезд
главной последовательности. Звезды с
характеристиками, не удовлетворяющими
соотношению (18), очевидно не соответствуют
положениям 1 и 2, сформулированным в
начале этого раздела. Тем самым, есть
веские основания полагать, что отличие
величин
и
имеет
релятивистскую природу.

Выполнимость (18) позволяет заключить,
что при расчетах по формулам (15) и (16)
вместо величины
необходимо
использовать
-
радиус Солнца. Тогда:
(19)
(20)
На рис.3. представлены три зависимости масса-светимость, полученные из экспериментальных данных [3] и на основании расчета по формулам (19) и (20). Из рисунка видно: данные расчета по формуле (19) не согласуются с данными эксперимента, что и следовало ожидать после положительного результата проверки соотношения (18). Вычисления с использованием (20) дают удовлетворительное согласие с экспериментальными данными.
Расчеты по формулам как (15), (16), так и
(19), (20) проводились, используя молярную
массу вещества
.
Для получения более полной картины,
проведем расчет относительных масс
звезд по их поверхностной температуре,
используя (20) в интервале молярных масс
.
Результаты расчета представлены на
рис.4. Все экспериментальные данные, для
которых выполнимо (18), попадают в выбранный
интервал молярных масс. Отличие угла
наклона прямой линии, соединяющей
экспериментальные данные, от угла
наклона линий, соединяющих соответствующие
значения, полученные с помощью (20), может
рассматриваться как изменение состава
звездного вещества.


Выводы
Как показывают расчеты и их анализ,
физическая модель звезд (6)-(12), (20) дает
хорошее согласие с экспериментальными
данными, демонстрируя тем самым свою
жизнеспособность. Из анализа представленной
модели следует: изначально тождественные
наблюдатели, будучи локализованными
возле звезд главной последовательности
с различными характеристиками, но
удовлетворяющими соотношению (18), будут
получать при измерениях масс и радиусов
этих звезд одинаковые результаты. Это
может связываться только с соответствующим
изменением свойств пространства-времени
и требует дополнительного рассмотрения.
Однако предложенная модель не дает
полной физической картины, поскольку
выражение для расчета масс звезд (20)
содержит поправку
,
природа которой в данной работе не
рассматривается. Как показывает
предварительный анализ, решение данного
вопроса связано с фундаментальными
свойствами пространства-времени и
затрагивает проблему барионной асимметрии
вселенной. Помимо этого, не смотря на
то, что из проверенного выражения (3),
при определенных условиях, вытекает
взаимосвязь таких явлений как тяготение
и электромагнитное излучение, требование
равенства выражений (6) и (7), опять же в
рамках данной работы, нельзя назвать
достаточно проработанным и ясным для
понимания, что бы составить альтернативу
условию механического равновесия
вещества звезд [1].
Список литературы
Я.Б. Зельдович, С.И. Блинников, Н.И. Шакура. Физические основы строения и эволюции звезд. - М.: Изд-во МГУ, 1981. – 150 с.
И.С.Шкловский. Звезды: их рождение жизнь и смерть. - М.: Наука, 1984. – 384 с.
Martin V. Zombeck’s. Handbook of Space Astronomy and Astrophysics.: - Cambridge University Press. 1990. – 528 с.
Для подготовки данной применялись материалы сети Интернет из общего доступа