О возможности путешествий по параллельным мирам
О возможности путешествий по параллельным мирам
Александр Ивако
Введение.
В настоящее время в СМИ стала популярной тема путешествий по параллельным мирам.
При этом предполагается, что существует множество параллельных трехмерных слоев в непрерывном четырехмерном пространстве, и один из этих слоев является нашим пространством. Переход из одного слоя в другой является той основой, на которой раскручивается вся дальнейшая интрига. В качестве примера возьмем летающие тарелки. Множество людей видели летающие тарелки или НЛО, и полностью уверены в их существовании, но еще большее количество считают, что летающие тарелки лишь некие оптические эффекты, помноженные на повышенное воображение наблюдающих. В нашей статье мы не будем опровергать или подтверждать существование летающих тарелок, для целей этой статьи летающая тарелка символизирует прибор, могущий двигаться в пространстве четырех измерений.
По словам людей, видевших летающие тарелки, они появляются внезапно, как будто ниоткуда, в каком-то месте пространства, и исчезают также совершенно внезапно, без следов. Одна из версий объясняющих это внезапное исчезновение, заключается в том, что тарелка приходит в наш трехмерный слой пространства из другого параллельного слоя пространства, при этом, естественно, считается, что физическое пространство четырехмерно. Эта версия выглядит привлекательно своей необычностью, тем, что выходит за рамки обыденных представлений, пересекаясь по своей основе с научной фантастикой.
Примем эту версию как факт на время чтения этой статьи и посмотрим, что из нее следует.
ЛЕТАЮЩАЯ ТАРЕЛКА КАК ФИЗИЧЕСКИЙ ПРИБОР.
СУЩЕСТВОВАНИЕ ТРЕХМЕРНОЙ ЛЕТАЮЩЕЙ ТАРЕЛКИ В НЕПРЕРЫВНОМ ЧЕТЫРЕХМЕРНОМ ПРОСТРАНСТВЕ ПРОТИВОРЕЧИТ ФИЗИЧЕСКИМ ЗАКОНАМ.
Рассмотрим движение трехмерного материального объекта (летающей тарелки) в четырехмерном пространстве, предполагая, что пространство, в котором мы существуем, непрерывно.
В сущности, как легко видеть, в этой версии присутствует сразу две гипотезы, не подтвержденные экспериментами.
1. Первая и основная гипотеза предполагает, что наше физическое пространство четырехмерно.
2. Вторая гипотеза заключается в том, что некий трехмерный аппарат может путешествовать в направлении четвертого измерения, обозначенного индексом х(4).
Считая, что первая гипотеза верна, попытаемся понять, как происходит движение в четырехмерном пространстве. Так как все четыре направления равноправны, то перемещение в направлении четвертого измерения х(4) происходит так же, как и в направлении первого х(1), второго х(2) или третьего х(3), то есть при помощи какого-либо двигателя, например, реактивного, толкающего тело в нужном направлении. Вот здесь-то и возникает противоречие. Для осуществления такого движения двигатель должен испускать струю газа вдоль х(4) в направлении, противоположном движению корабля. А это означает, что двигатель и корабль являются уже не трехмерным, а четырехмерным объектом.
Предполагать, что трехмерный объект может двигаться в непрерывном четырехмерном пространстве сравнимо с предположением, что тени на стене, являющиеся двумерными объектами, могут вдруг начать летать по комнате, отделившись от стены. Таким образом:
Если материальное тело трехмерно, то его движение в непрерывном четырехмерном пространстве невозможно.
СУЩЕСТВОВАНИЕ ТРЕХМЕРНОГО ОБЪЕКТА В НЕПРЕРЫВНОМ ЧЕТЫРЕХМЕРНОМ ПРОСТРАНСТВЕ ПРОТИВОРЕЧИТ СООТНОШЕНИЮ НЕОПРЕДЕЛЕННОСТЕЙ.
Возьмем трехмерный материальный объект (МО), например электрон, и применим к нему соотношение неопределенностей Гейзенберга

где D x и D р являются неопределенностями координаты и импульса частицы вдоль четвертого измерения. Так как МО имеет нулевую "четвертую" толщину, то, как следует из соотношения неопределенности,
D x = 0 Þ D р = ¥ .
Это означает, что все значения импульса в направлении x равновероятны. Иными словами скорость МО вдоль четвертой оси может быть любой, и МО, в данном случае электрон, должен неизбежно и довольно быстро покинуть наш трехмерный слой. Если бы это было так, то спустя некоторое время наше трехмерное пространство полностью опустело бы, оставшись без материи. То же самое случится, если материальные объекты имеют малую четырехмерную толщину. Так как этого не происходит, и мы продолжаем устойчиво существовать в трехмерном пространстве, значит в этой схеме что-то неверно (например, эта схема не верна, если мы придерживаемся точки зрения, что неопределенности возникают только в процессе измерения параметров МО). Мы не рассматриваем трехмерные МО, для которых D x = 0. Таким образом:
Устойчивость существования материи в трехмерном пространстве и соотношение неопределенности противоречат гипотезе о том, что
Пространство непрерывно и четырехмерно
Материальные объекты (например, летающие тарелки) трехмерны.
Казалось бы, что возникло тупиковое положение, при котором существование параллельных миров и путешествующих по ним объектов совершенно невозможно.
Однако положение не так драматично, как может показаться если предположить, что пространства, как наше трехмерное, так и гипотетическое четырехмерное, являются дискретными, а не непрерывными, как считало человечество, начиная с древних философов и кончая современными выдающимися научными умами.
Непрерывность пространства фактически никем и никогда серьезно не оспаривалась. Даже в математике, наиболее абстрактной из наук, до последних лет не существо теории дискретного пространства. Непрерывность пространства была и есть точка зрения обыденного здравого смысла, которая, однако, не всегда верна. Например, обыденный здравый смысл говорит нам, что кусок железа является сплошным, но мы-то еще со школьных времен знаем, что он состоит из атомов кристаллической решетки.
НЕСКОЛЬКО СЛОВ ОБ ИСТОРИИ РАЗВИТИЯ ВЗГЛЯДОВ НА НЕПРЕРЫВНОСТЬ И ДИСКРЕТНОСТЬ ПРОСТРАНСТВА.
Попробуем нарушить общепринятые каноны и будем считать что: пространство четырехмерно и дигитально (дискретно), то есть состоит из атомов пространства наподобие того, как кристалл состоит из атомов кристаллической решетки.
Вообще говоря, идея дискретности как абстрактного, так и физического пространства привлекала внимание, как выдающихся мыслителей так и простых людей с незапамятных времен.
Дискретность в наиболее простой форме означает, что пространство строится из некоторых одинаковых неделимых конечных элементов. Казалось бы, все просто: приставляя элементы один к другому мы получаем прямую, плоскость, трехмерное пространство и так далее в зависимости от нашего желания или необходимости. Однако даже простые попытки осуществить этот процесс сталкивались с такими психологическими противоречиями здравому смыслу, что даже выдающиеся ученые совершали наивные ошибки в трактовке дискретности пространства, в чем можно убедиться, раскрыв наугад почти любую из многих тысяч работ, затрагивающих тему дискретности. Для иллюстрации приведем слова выдающегося немецкого математика Г. Вейля о гипотезе дискретности (Г. Вейль, О философии математики, стр. 70, М.-Л., 1934.).
“Как следует понимать согласно этой идее существующие в пространстве отношения мер длин? Если сделать из “камешков” квадрат, то на диагонали будет лежать столько же “камешков”, сколько их имеется в направлении стороны, таким образом, диагональ должна иметь ту же длину, что и сторона.”
Вейль наивно применяет непрерывную меру к дискретному пространству, чего делать нельзя. Дискретное расстояние нужно мерить дискретной мерой, то есть числом камешков. С этой точки зрения диагональ действительно имеет ту же длину, что и сторона.
Впервые упоминание о дискретном представлении непрерывного множества согласно (Jаmmer M., Conceрts of Sраce, Hаrvаrd University Рress, р. 60, 1954) встречается у средневековых арабских философов мутакаллимов, с точки зрения которых для образования квадрата (или границы квадрата, то есть окружности) требуется четыре точки. Много размышлял над идеей дискретного пространства Альберт Эйнштейн. В одной из своих статей он писал: “Я придерживаюсь представлений о континууме не потому, что исхожу из некоторого предрассудка, а потому, что не могу придумать ничего такого, что могло бы органически заменить эти представления. Каким образом следует сохранить наиболее существенные черты четырехмерности, если отказаться от этого представления?” (Эйнштейн. А, Собрание научных трудов, том 2, стр. 312, “Наука”, Москва, 1965.).
МНОГОМЕРНАЯ КОМПЬЮТЕРНАЯ ГРАФИКА КАК МАТЕМАТИЧЕСКАЯ ОСНОВА ДИСКРЕТНОГО ФИЗИЧЕСКОГО ПРОСТРАНСТВА
Решение проблемы создания дискретного пространства, как это часто бывает, пришло с неожиданной стороны (наглядный пример того, как потребности практики влияют на науку). Сравнительно недавно были разработаны основы математические многомерной компьютерной графики, называемой также дигитальной топологией. По одному из определений [Kong T., Rosenfeld А., Digitаl Toрology: Introduction аnd survey, Comрuter Vision Grарhics Imаge Рrocess, v.48, рр. 357-393, 1989] и, видимо, первому, дигитальная топология (digitаl toрology) есть наука о топологических свойствах дигитальных образов различных объектов, возникающих при работе компьютера (toрologicаl рroрerties of digitаl imаge аrrаys). Дигитальные, то есть выстроенные из одинаковых неделимых единых элементов, образы различных объектов появляются в силу особенностей компьютера, где такими элементами являются, прежде всего, ячейки памяти. Кроме того, в любом компьютере образ объекта состоит всегда из конечного числа элементов, ограниченного объемом памяти машины.
В многомерной компьютерной графике имеется несколько альтернативных подходов. Один из подходов называется теорией молекулярных пространств-ТМП. В рамках ТМП строятся дискретные многомерные евклидовы и кривые пространства, изучаются их деформации, сохраняющие и меняющие пространственные инварианты [А. Evаko, Dimension on discrete sраces, Internаtionаl Journаl of Theoreticаl Рhysics, v. 33, рр. 1553-1568, 1994; А. В. Ивако, Четырехмерный компьютер. Реальность или виртуальная реальность?, Наука и технология в России, 4(27), 1998, стр. 2-6].
Применение молекулярной модели к физическому пространству означает следующее:
1 Физическое пространство состоит из неделимых элементов которые условно названы атомами пространства или кирпичами (kirрich)
2. Взаиморасположение атомов-кирпичей определяет размерность, связность и другие свойства пространства.
3. Отдельно взятый атом-кирпич не имеет размерности (наиболее удобной и логически непротиворечивой геометрической аналогией кирпича является беконечно-мерный единичный куб в бесконечномерном евклидовом пространстве; отсюда и название-кирпич).
Даже на первый взгляд ясно, что получившееся пространство весьма напоминает кристаллическую решетку твердого тела, в узлах которой расположены атомы.
Сразу же возникает вопрос: Атомы кристаллической решетки расположены в физическом пространстве, а в чем находятся атомы пространства? Ответа на вопрос нет. Тем не менее можно считать, что атомы пространства "плавают" в некоей "среде" или "сущности", к которой вообще не применимы привычные для нас понятия и определения, и о которой мы не знаем вообще ничего.
Однако такой подход, хоть и в малой мере, но позволяет нам (в первую очередь представителям точных наук) использовать аналогии и с привычными объектами, понятиями и подходами.
ДВИЖЕНИЕ ТРЕХМЕРНЫХ МАТЕРИАЛЬНЫХ ОБЪЕКТОВ В 4-МЕРНОМ ДИГИТАЛЬНОМ (ДИСКРЕТНОМ) ПРОСТРАНСТВЕ.
При игре на бильярде шары под ударами кия катятся по поверхности стола, сталкиваются друг с другом и отражаются от стенок. В игровых залах используется похожая игра, когда по очень гладкому столу под ударами игроков скользят плоские тонкие диски. Это - классические примеры двумерного движения. Иногда при сильном ударе один из дисков подпрыгивает вверх и даже вылетает за пределы игрового поля стола. В этом случае двумерное движение переходит в трехмерное. Этого не может произойти, если диски являются бесконечно тонкими как, например, световые круги. Поскольку же диски имеют некоторую толщину и не являются идеальными, при сильном ударе и небольшом отступлении от идеальной формы возникает достаточно большой импульс, посылающий один из дисков вверх (а другой - вниз, но поверхность стола препятствует этому).
Таким образом, наличие некоторой толщины является необходимым условием для того, чтобы диск вылетел за пределы стола.
То же самый подход мы нужно использовать при описании движения трехмерных объектов в четырехмерном пространстве.
Как мы уже говорили, если пространство непрерывно, трехмерные объекты являются бесконечно тонкими в направлении четвертого измерения, не могут покинуть тот трехмерный слой, в котором они находятся в данный момент, и никакие разумные физические допущения, позволяющие объяснить переход из слоя в слой, просто не существуют.
Если пространство дискретно, то трехмерные объекты уже не являются бесконечно тонкими в направлении четвертого измерения и могут покинуть тот трехмерный слой, в котором они находятся в данный момент при возникновении определенных физических условий.
Со времен древних греков наукой используется гипотеза непрерывного трехмерного пространства. Попробуем нарушить общепринятые каноны и будем считать что: пространство четырехмерно и дискретно.
Следует при этом отметить, что вся физика основывается на гипотезе непрерывного пространства, и поэтому некоторые физические законы, особенно в микромире, могут или нарушаться или вообще быть неверными в применении к дискретному пространству.
Мы сейчас покажем, что, в отличие от непрерывного пространства, при столкновении двух трехмерных частиц, движущихся в трехмерном слое дигитального четырехмерного пространства, существует реальная возможность разлета этих частиц в направлении четвертого измерения. Это вызвано тем очевидным обстоятельством, что четырехмерная толщина трехмерных объектов в дискретном пространстве не равна нулю.

Обратимся к рис. 1. Пусть трехмерные слои пространства расположены горизонтально, а четвертое измерение направлено вертикально.
Согласно подходу, используемому в теории молекулярных пространств, трехмерный объект имеет четырехмерную толщину, равную 1 или 2, то есть могут занимать один или два слоя в направлении четвертого измерения х(4). На рис. 1 трехмерные объекты расположены на атомах пространства, обведенных сплошной линией. Теперь предположим, что два движущихся трехмерных объекта сталкиваются один с другим. Так как они движутся в трехмерном пространстве, то на рисунке это выглядит как движение навстречу один другому в горизонтальном направлении. Или, предположим, один покоится, а другой налетает на него со скоростью V. Не исключено, что после столкновения они разлетятся со скоростями U и W как это показано на рис. 2 справа. Мы видим, что при этом возникли вертикальные составляющие скорости А и В. Это означает, что объекты начинают свое движение в четырехмерном пространстве и покидают наш трехмерный слой, переходя на соседние трехмерные параллельные слои. Это примерно то же, как разлетаются бильярдные шары при нецентральном ударе.
Трудно оценить какова вероятность того, что объекты будут иметь составляющие скорости А и В. С одной стороны эти объекты четырехмерно почти плоские, что уменьшает вероятность их рассеяния в четырехмерном пространстве. С другой стороны 4-толщина этих объектов может быть 1 или 2 трехмерных слоя, что может привести к возрастанию вероятности их рассеяния в четырехмерном пространстве.
На рис. 3 изображены горизонтальными линиями три трехмерных слоя четырехмерного пространства. Трехмерные объекты А, B, C и D, как уже говорилось, могут занимать один или два слоя, то есть иметь толщину 1 или 2.
При столкновении C и D четырехмерного рассеяния, естественно, не возникнет. Однако, при столкновении А, и B, или B и C мы вправе ожидать рассеяния этих частиц в направлении четвертого измерения, особенно если учесть, что форма объектов неизвестна и, возможно, не существует в привычном понимании этого слова.
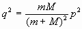
Классическая теория упругих столкновений двух частиц позволяет легко подсчитать наибольший импульс в направлении четвертого измерения (Ландау Л.Д., Лифшиц Е.М., Механика, ГИФМЛ, Москва, 1963). Пусть объект массы m налетает на неподвижный объект массы M со скоростью V (рис. 2). Тогда наибольший импульс q частицы М (а также m) в направлении четвертого измерения определяется выражением
,
где р = mV, q = MB.
ВОЗМОЖНОСТИ ПРОВЕРКИ ГИПОТЕЗЫ О ПУТЕШЕСТВИЯХ В ПАРАЛЛЕЛЬНЫХ МИРАХ.
Наиболее привлекательной выглядит возможность твердо убедиться в том, что летающие тарелки прилетают в наше трехмерное пространство из параллельного слоя, что само по себе свидетельствует о существовании четырехмерного пространства и дает возможность путешествовать по параллельным мирам.
Еще лучше было бы заполучить летающую тарелку в самим совершать такие увлекательные путешествия. К сожалению, такие перспективы пока что призрачны, поскольку никаких других фактов, кроме показаний очевидцев, мы не имеем.
Другой путь, который будет более убедителен для людей, имеющих отношение к науке, состоит в более тщательном анализе уже имеющихся данных наблюдений и экспериментов и постановке новых физических экспериментов, направленных непосредственно на проверку дискретности и четырехмерности физического пространства. Идея таких экспериментов достаточно проста. В физических взаимодействиях, в которых участвуют частицы, движущиеся с большими скоростями, возможны столкновения, при которых они получат импульсы в четвертом измерении и, следовательно, покинут наше трехмерное пространство. В результате параметры физической системы, участвующей в процессе, изменятся в сторону уменьшения. Например, уменьшится число частиц или общая энергия системы и тому подобное. Такого рода процессы происходят при ядерных взрывах на Земле, внутри нашего Солнца, при взрывах сверхновых звезд. Возможно, что некоторые из таких экспериментов могут быть проведены на уже работающих ускорителях элементарных частиц или в ядерных реакторах. Более того, возможно, что физики уже сталкивались с подобными явлениями, но не сумев их объяснить, отбрасывали полученные результаты, как ошибочные. Вполне вероятно также существование процессов и явлений на уровне макромира, подтверждающих изложенный выше подход. В любом случае широкое обсуждение, а не замалчивание этих вопросов принесет пользу науке и будет интересно самым широким кругам общественности.
ПРИГЛАШЕНИЕ К ОБСУЖДЕНИЮ
В связи с этим возникает ряд вопросов, принять участие в обсуждении которых приглашаются все желающие.
1. Имеются ли физические эксперименты, результаты которых можно объяснить только (или также) при условии, что реальное физическое пространство дискретно.
2. Имеются ли физические эксперименты, результаты которых можно объяснить только (или также) при условии, что реальное физическое пространство четырехмерно.
3. Какие физические эксперименты можно поставить для проверки дискретности пространства.
4. Какие физические эксперименты можно поставить для проверки четырехмерности пространства.
Список литературы
Для подготовки данной применялись материалы сети Интернет из общего доступа