Современные понятия пространства, времени и ограниченность преобразований лоренца
Современные понятия пространства, времени и ограниченность преобразований лоренца
Николай Жук, АО “Научно-технологический институт транскрипции, трансляции и репликации”, г. Харьков, Украина
Аннотация
Приведен современный анализ понятий пространства и времени. Показано, что их деформация при движении материальных тел относительно друг друга носит взаимосвязанный характер, а преобразования Лоренца правильно описывают эту деформацию только в поперечной к направлению движения плоскости. Вместо преобразований Лоренца автором предложена группа аффинных преобразований координат в полностью симметричном 6-мерном пространстве-времени, которая сохраняет неизменным уравнение светового конуса и правильно описывает эту деформацию. Данную группу преобразований автор плодотворно использует с 1984 г., что ставит на повестку дня вопрос об отказе от преобразований Лоренца, а вместе с ними и от специальной теории относительности Эйнштейна.
Введение
В 2004 г. исполняется 100 лет преобразованиям Лоренца, которые лежат в основе всех современных физических теорий, хоть как-то связанных с пространством и временем. На этих преобразованиях полностью держится специальная теория относительности Эйнштейна (СТО), созданная годом позже. Эти же преобразования привнесены и в общую теорию относительности (ОТО), созданную Эйнштейном в 1915 г., хотя они и не являются внутренним атрибутом этой теории. Они же вошли и во все последующие теории и сейчас продолжают считаться критерием истинности и краеугольным камнем всей современной физики.
Но по истечении почти 100 лет хотелось бы задать вопрос: действительно ли указанные преобразования координат пространства и времени соответствуют реальной природе? Не заложена ли здесь ошибка, которая тормозила развитие физики целых 100 лет и продолжает тормозить в настоящее время?
Детальный анализ современных определений единиц пространства и времени, выполненный автором в 2002 г., показал, что преобразования Лоренца в корне им противоречат и, следовательно, не могут в дальнейшем использоваться в физике без ущерба для ее прогресса. А что же тогда использовать вместо преобразований Лоренца?
Оказывается, есть что: автор с 1984 г. вместо преобразований Лоренца использует другие преобразования координат [1], что позволило ему разработать новую непротиворечивую модель стационарной нерасширяющейся Вселенной и получить ряд интереснейших результатов в космологии [2], таких, например, как:
- доказательство тождества инертной и гравитационной масс в духе принципа Маха;
- открытие гравитационной вязкости и геодезической кривизны Вселенной;
- выявление свойства гравитационного экранирования материи и др.
Сегодня, стоя на пороге празднования 100-летних юбилеев создания фундамента современной физики, нелишне снова заглянуть вглубь этого фундамента и посмотреть, правильно ли мы оперируем пространством и временем при переходе от неподвижного объекта к движущемуся, от одной инерциальной системы отсчета к другой. И еще раз осмыслить, что же мы должны подразумевать под понятиями “пространство” и “время”.
1. Понятие пространства и времени
С философской точки зрения пространство и время являются категориями, обозначающими основные формы существования всех видов материи. Пространство выражает порядок существования отдельных объектов, время – порядок смены явлений [3].
Мерой пространства является длина, которая характеризует протяженность, удаленность и перемещение тел или их частей вдоль заданной линии. Время же характеризует последовательную смену явлений и состояний материи, а также длительность их бытия [4].
Не вдаваясь в историю определений и характеристику различных систем физических единиц, укажем лишь современные определения единиц длины и времени: метра и секунды. И начнем его с секунды, поскольку данная единица получила свое современное определение раньше, чем метр.
Развитие молекулярной и атомной
спектроскопии дало возможность достаточно
точно связать единицы времени с периодом
колебаний, соответствующим спектральной
линии какого-либо элемента. Поэтому
решением XIII Генеральной конференции
по мерам и весам (1967 г.) было дано
действующее до сих пор определение
секунды, согласно которому секунда есть
продолжительность 9 192 631 770 периодов
излучения, соответствующего переходу
между двумя сверхтонкими уровнями
основного состояния атома цезия-133 [5].
Следовательно, вышеуказанное число
периодов будет равно частоте излучения
цезия-133, которую для дальнейшего
использования обозначим через
.
Повышение точности измерений позволило
и единицу длины – метр связать с длиной
волны определенной спектральной линии.
В качестве таковой была принята оранжевая
линия криптона-86. Эта линия соответствует
переходу электрона в атоме криптона
между квантовыми состояниями, которые
в спектроскопии обозначаются символами
и
.
По определению, принятому на XI Генеральной
конференции по мерам и весам (1960 г.), метр
содержал 1 650 763,73 длины волны в вакууме
этой спектральной линии.
Однако дальнейшие достижения лазерной техники и квантовой электроники, высокая точность, которой удалось достичь при измерении скорости света, позволили связать определение единицы длины – метра с единицей времени – секундой воедино. И XVII Генеральная конференция по мерам и весам (1983 г.) приняла решение дать следующее, действующее до сих пор, определение метра: метр есть расстояние, проходимое в вакууме плоской электромагнитной волной за 1/299 792 458 секунды. При таком определении метра значение скорости света принято за величину, не подлежащую уточнению, т.е. оно точно равно 299 792 458 м/с.
Таким образом, секунда – это есть продолжительность определенного числа периодов излучения цезия-133, а метр – определенное расстояние, проходимое электромагнитной волной. Но для определения метра ничто не запрещает использовать то же электромагнитное излучение, что и для определения секунды. Поэтому для упрощения рассуждений в дальнейшем используем излучение, соответствующего переходу между двумя сверхтонкими уровнями основного состояния атома цезия-133.
Из двух действующих определений метра, секунды и принятого выше соглашения нетрудно составить равноценные пропорции. Так, из определения секунды получается, что длина волны вышеупомянутого излучения цезия-133 равна
м,
(1)
а метр, соответственно, будет иметь длину
.
(2)
Вот мы и пришли к выводу, что один метр равен 30,66331899 длин волн излучения, соответствующего переходу между двумя сверхтонкими уровнями основного состояния атома цезия-133, что аналогично определению метра, данному XI Генеральной конференцией по мерам и весам в 1960 г. Если же мы возьмем другой источник излучения, то получим другое число. А цезий-133 выбран из тех соображений, что его частота очень стабильна.
Теперь нелишне рассказать и об авторском представлении времени. Но сначала нужно напомнить одно крылатое выражение, чаще всего используемое в среде бизнесменов: “время – деньги”. Так вот деньги в обществе играют роль всеобщего эквивалента, посредством которого идёт обмен товарами и услугами. А вложенные в дело деньги со временем приносят прибыль, т.е. новые деньги. Отсюда и вышеуказанная поговорка.
Но, наверное, мало кто из современных физиков (а из бизнесменов тем более) обращал внимания на то, что между деньгами и временем есть и другая связь, основанная на аналогии использования. Как ни странно, об этом были лучше осведомлены древние философы, чем мы теперь. Да еще автор работ [6, 7], предложивший измерять время в единицах массы (килограммами, граммами, фунтами, унциями и т.п.).
И вот теперь я даю авторское определение времени: время – это некоторый универсальный эквивалент, с помощью которого производится сопоставление (сравнение) скорости протекания различных процессов. Вне этих процессов понятие времени бессмысленно [8]. В одних случаях в качестве эквивалента используют год, в других – месяц, в третьих – час, в четвертых – минуту, а в физике в международной системе единиц СИ – секунду. Если и это неудобно (для быстропеременных процессов, например), то для сравнения процессов пользуются миллисекундой, микросекундой или еще более мелким отрезком времени как части стандартного эквивалента.
Поскольку процессы не могут протекать иначе, как путём изменения положения (перемещения, перетекания с места на место) некоторой массы (энергии), то переход от искусственного параметра (времени) к естественному (массе) с учётом его минимально возможного значения (квантования) представляется не только безумной (по впечатлению), но и своевременной (по необходимости) идеей конца ХХ века, которую и выразил автор работы [6, 7]. Этим самым он как бы снова поставил понятие времени в свои рамки, за пределы которых оно в XX столетии вышло, превратившись во все, что угодно, кроме эквивалента для сравнения скорости протекания различных процессов. За пределами же этих рамок были созданы и СТО, и ОТО, и другие теории. А в некоторых теориях авторы дошли до того, что начали овеществлять время и даже придумали частицу времени – хронон.
С позиций нового (или восстановленного древнего) определения времени теряют право на жизнь преобразования Лоренца и ставшая уже привычной четырехмерная размерность пространства-времени, о чем будет показано ниже. На смену им приходят новые преобразования и полностью симметричное шестимерное пространство-время (хотя дискретное понятие мерности тоже не совсем правильное, поскольку от макромира и до квантового уровня пространство-время непрерывно и деформируемо).
2. Преобразование координат фронта световой волны

Рис. 1. К анализу преобразований Лоренца
Рассмотрим две инерциальные системы
отсчета
и
с
параллельными друг другу одноименными
осями, причем вторая система движется
относительно первой со скоростью
вдоль
оси
так,
что их начала
и
в
некоторый момент, который принимается
за начало отсчета, совпадают. Пусть в
этот момент из точки
начинает
излучаться свет определенной частоты.
Через время
по
часам наблюдателя, находящегося в точке
,
точка
переместится
на расстояние
,
а фронт световой волны достигнет точек
(рис.
1).
Очевидно, что по масштабам пространства
и времени наблюдателя, находящегося в
точке
,
свет распространяется во всех направлениях
с одинаковой скоростью
,
а потому вышеуказанные точки будут
лежать на поверхности сферы, и будет
выполняться равенство (см. рис. 1):
.
(3)
Очевидно также, что каждая точка на пути
следования источника света
,
соответствующая излучению очередной
волны света, будет центром каждой
следующей по уменьшению радиуса сферы,
связанной с гребнем этой волны. Эти
точки будут находиться на одинаковом
расстоянии друг от друга, поскольку
скорость движения источника постоянна.
Таким образом, через время
общая
картина гребней волн света с позиций
наблюдателя, находящегося в точке
,
будет выглядеть так, как показано на
рис. 1.
Образуем треугольник
так,
чтобы точка
располагалась
в произвольном месте фронта световой
волны. По условиям задачи имеем равенства:
,
.
Сторону
обозначим
через
,
а угол
–
через
.
Тогда по теореме косинусов имеем
,
(4)
откуда находим неизвестный параметр
.
(5)
Нетрудно видеть, что без последнего
слагаемого в правой части этот параметр
есть не что иное, как интервал между
двумя событиями в СТО, соответствующий
излучению света в точке
и
его приему в точке
:
.
(6)
Поскольку во всех инерциальных системах отсчета законы физики, как считается, ковариантны, т.е. описываются одинаковыми на вид уравнениями, то и в движущейся системе отсчета интервал должен выражаться аналогичным образом
.
(7)
Но поскольку в своей собственной системе
отсчета скорость движения системы
равна
нулю, то выражение (7) упрощается к виду
.
(8)
Из равенства интервалов в двух системах отсчета, как считается в СТО, следует известное соотношение для времен
.
(9)
Но так ли это на самом деле? И можно ли упрощать выражение (5) до вида (6)?
Да, величина
инвариантна
в любых инерциальных системах отсчета.
Но это не что иное, как всего лишь радиус
сферы фронта световой волны в движущейся
системе отсчета. Если свет будет
излучаться из точки
,
то круги на рис. 1 будут концентрическими,
и сфера окажется абсолютно симметричной
по внутренней структуре. Но в нашем
случае свет излучается движущимся
источником, находящимся в точке
,
и относительно этой точки рисунок,
казалось бы, не имеет симметрии. Но это
только на первый взгляд.
Ограничим время движения системы
и,
соответственно, время излучения света
одной секундой по масштабам движущегося
источника. И пусть для конкретности на
нем находится в качестве источника
света цезий-133. Тогда за одну секунду он
испустит 9 192 631 770 волн света, фронт
которого распространится на 299 792 458 м
по тем же масштабам. Очевидно, что
неподвижный наблюдатель в точке
увидит
не все 9 192 631 770 волн света, а только часть,
успевшую дойти до него за время движения
вышеуказанной системы. И частота его
будет меньше в соответствии с эффектом
Доплера (что прекрасно видно на рис. 1
по увеличенному расстоянию между
гребнями световых волн по линии
).
А что увидит и что посчитает наблюдатель
в точке
по
своим масштабам пространства и времени?
Оказывается, что все расстояния
.
(10)
для него будут абсолютно одинаковыми, поскольку будут содержать одинаковое число волн света – 9 192 631 770. По единицам длины и времени, утвержденных соответствующими конвенциями, он будет считать, что находится в центре световой сферы и по-своему будет прав. Таким образом, в движущейся инерциальной системе отсчета одновременно деформируются масштабы пространства и времени, оставляя скорость света постоянной величиной.
Но фронт световой волны и для наблюдателя
в точке
также
будет сферой, поскольку в момент излучения
этой волны центры инерциальных систем
отсчета совпадали между собой, и было
безразлично, из покоящегося или
движущегося источника она излучена. Из
этих простых рассуждений вытекают
следующие преобразования координат
фронта световой волны, оставляющие
инвариантным этот фронт при переходе
от неподвижной инерциальной системы
отсчета к движущейся:
(11)
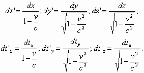
Следует отметить, что полученная группа отражает всего лишь соотношения между тремя пространственными и тремя временными проекциями любой точки фронта световой волны, измеренных двумя способами, и не более того. Но мы в дальнейшем будем называть эти 6 проекций 6-мерным пространством-временем. Только при измерении по собственным масштабам последние три проекции тождественно равны друг другу, и возможно использование традиционного 4-мерного пространства-времени.
Из вышеизложенного следует весьма
важный вывод о том, что пространство и
время носят относительный характер.
Например, даже одно и то же расстояние
(рис.
1), одинаковое по масштабам пространства
и времени неподвижного наблюдателя,
будет разным по масштабам пространства
и времени движущегося. В первом случае
свет проходит это расстояние за 1 с, а
во втором за 1 с свет проходит расстояние,
равное всего
.
Это же следует и из 2-й формулы системы
(11).
3. Сравнение с преобразованиями Лоренца
Выражение (11) представляет собой упрощенный вариант релятивистских преобразований координат, справедливый при нулевых их начальных значениях (для большей наглядности). Нетрудно видеть, что любые соотношения однонаправленных координат и времен
,
(12)
представляет собой инвариантную
величину, равную скорости света
,
что и наблюдается в реальной природе.
А теперь вновь обратимся к выражению
(6). Очевидно, что оно остается справедливым
только для одного единственного случая,
а именно для плоскости
,
проходящей через центр движущейся
системы отсчета
и
перпендикулярной вектору скорости ее
движения относительно неподвижной
системы отсчета.
Действительно, если рассмотреть
прямоугольный треугольник
(рис.
1) с отрезком
,
лежащим в вышеуказанной плоскости, то
видно, что только для него последнее
слагаемое в выражении (5) обращается в
нуль так, что оно превращается в выражение
(6). Таким образом, оказывается, что как
ковариантность интервала, так и
правомочность использования преобразований
Лоренца справедливы только для
ортогональных компонент преобразуемых
величин (традиционная электродинамика
этому удовлетворяет).
А теперь детальнее проанализируем формулы преобразования Лоренца:
.
(13)
В них не все так просто, как кажется на первый взгляд. И касается это, в первую очередь, соотношения между интервалом времени между двумя какими-то событиями и величиной единицы времени. Очевидно, что, увеличивая единицу времени (при каких-либо преобразованиях координат), мы тем самым сокращаем интервал времени между двумя событиями. И наоборот, сокращая единицу времени, мы тем самым увеличиваем интервал времени. Так что же описывают преобразования (13): изменение интервала времени или единицы времени?
Если во втором соотношении выражения
(13) взять
,
то получится выражение
,
(14)
которое совпадает с формулами
преобразований (11) для
и
,
т.е. “работает” только в плоскости,
перпендикулярной вектору скорости
движения подвижной системы отсчета.
Именно так и нужно записывать выражение для изменения единицы времени при переходе к движущейся системе отсчета. Но если преобразуется интервал времени, то соотношение (14) изменится к виду
.
(15)
Именно данная формула, как считается в СТО, описывает замедление хода времени в движущейся системе отсчета. Однако если наблюдатель находится в движущейся системе отсчета, то все эти рассуждения носят абсолютно противоположный характер, что является полным абсурдом СТО.
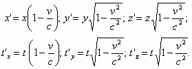
В конечном итоге, если перейти к соответствующим соотношениям единиц (дифференциалов) пространства и времени, то данные преобразования нужно записать в виде:
(16)
Как известно, электромагнитные волны
в электродинамике Максвелла поперечны,
т.е. их векторы электрической
и
магнитной
напряженностей
находятся в перпендикулярной к направлению
распространения плоскости. Применение
преобразований Лоренца к этим компонентам
электромагнитного поля давало единственный
правильный результат, что и стало
триумфом вышеуказанных преобразований.
Это подтолкнуло ученых считать и все
остальные комбинации правильными.
Между тем, ряд электромагнитных явлений (продольные электромагнитные волны, продольные силы между токовыми элементами, несоблюдение законов сохранения в некоторых задачах традиционной электродинамике и т.п.) уже давно ставят под сомнение всеобщую правильность преобразований Лоренца и полноту уравнений Максвелла. Несоответствие этих преобразований элементарным определениям единиц длины и времени – новое тому доказательство.
Из вышеуказанных рассуждений также вытекает важный вывод о существовании синхронной деформации пространства-времени при переходе от одной инерциальной системы отсчета к другой, а не замедления времени, как это принято в СТО. Данное обстоятельство подтверждается также тем, что вышеуказанные преобразования (11) и (16) не только сохраняют инвариантной скорость света, но и дают правильные результаты для аберрации света и поперечного эффекта Допплера. В то же время продольный эффект Допплера для света должен выражаться такой же формулой, как и соответствующий эффект Допплера для звука при неподвижном относительно воздуха источнике. Это результат различий двух преобразований, касающийся только продольных компонент преобразуемых величин.
4. Простые следствия нелоренцевых преобразований координат
4.1. Аберрация света. Из формул деформации
пространства в продольном и поперечном
к скорости движения направлению (11)
сразу же вытекает правильное выражение
для угла аберрации света
.
Тангенс этого угла оказывается равным
отношению деформации пространственного
масштаба в продольном направлении к
деформированному масштабу в поперечном
направлении (что совпадает с релятивистской
формулой):
.
(17)
4.2. Поперечный эффект Доплера. Данный
эффект непосредственно связан с
деформацией пространственных масштабов
в поперечном направлении и проявляется
в виде уменьшения частоты принимаемого
сигнала
по
отношению к излученной частоте источника
по
формуле (которая тоже совпадает с
релятивистской):
.
(18)
4.3. Продольный эффект Доплера. А этот
эффект связан с деформацией пространственных
масштабов в продольном направлении и
проявляется в виде уменьшения (при
удалении) или увеличения (при приближении)
частоты принимаемого сигнала
по
отношению к излученной частоте источника
по
формуле
.
(18)
Как видно, полученная формула только в первом (линейном) приближении совпадает с релятивистской. Возможно, уже в этом есть определенный смысл, который проявится при дальнейшем сравнении нормальных преобразований координат с заведомо ложными Лоренцевыми.
Заключение
В заключение хотелось бы привести
рассуждение Паули и показать его
ошибочность. В книге [9] он пишет: “При
поверхностном рассмотрении принцип
относительности и принцип постоянства
скорости света кажутся несовместимыми.
Пусть, например, наблюдатель
движется
со скоростью
относительно
источника света
,
а наблюдатель
покоится
относительно
.
Оба наблюдателя при этом в качестве
фронта волны видят сферы, центры которых
покоятся относительно наблюдателей,
т.е. видят две различные сферы. Противоречие,
однако, исчезает, если допустить, что
до точек пространства, до которых свет
дошел одновременно с точки зрения
наблюдателя
,
с точки зрения наблюдателя
свет
доходит не одновременно”.
Но выше было показано, что одна сфера имеет два различных центра, и это никоим образом не противоречит наблюдаемым явлениям: постоянству скорости света (если она измеряется по собственным масштабам пространства и времени) и одинаковости протекания явлений в разных инерциальных системах отсчета.
К этому следует добавить еще тот факт, что по признанию самого Максвелла, его система уравнений электродинамики неполна. Вследствие этого для свободного пространства существуют только поперечные электромагнитные волны, характеризуемые тем, что векторы электрической и магнитной напряженности этих волн находятся в плоскости, перпендикулярной вектору Пойтинга (направления их распространения).
Но именно для этой плоскости преобразования (11) и преобразования Лоренца в форме (14) или (15) совпадают, т.е. преобразования Лоренца для векторов электрической и магнитной напряженностей дают правильный результат. Инвариантность уравнений Максвелла по отношению к преобразованиям Лоренца стала триумфом начала ХХ века, но одновременно и трагедией, сокрывшей от миллионов людей неполноту этих уравнений и существование продольных электромагнитных волн, не “влезающих” в преобразования Лоренца.
Более того, все, что касалось продольных компонент (например, формы поля движущегося заряда), оказалось ошибочным ввиду того, что уравнения преобразования реального процесса (11) и преобразования Лоренца дают разные результаты.
И сейчас стремление во что бы-то ни стало получить или подтвердить наличие преобразований Лоренца в какой-либо новой теории является препятствием принципиального характера, которое вот уже почти 100 лет тормозит развитие физики.
Список литературы
Жук Н. А. “О некоторых результатах, вытекающих из закона всемирного тяготения”. – Борисоглебск: БВВАУЛ, 1986, 58 с.
Жук Н. А. “Космология”. – Харьков: ООО “Модель Вселенной”, 2000, 464 с.
Физический энциклопедический словарь. – М.: “Советская энциклопедия”, 1984, с. 582.
Физические величины. Справочник. – М.: “Энергоатомиздат”, 1991, с.9.
Сена Л. А. “Единицы физических величин и их размерности”. – М.: “Наука”, 1988, с. 48-50.
Галицкий И. М. “Новое в физике, математике, науке”. – Гомель: ФЕНИД, 1992.
Galitsky I. M. “About new physics (Principles)”. Spasetime & sub>stance, 2, 2, 84-94 (2001).
DISCUSSION: N. A. Zhuck – I. M. Galitsky. Spasetime & sub>stance, 2, 2, 96 (2001).
Паули В. “Теория относительности”. – М.: “Наука”, 1991, с. 23-24.
Для подготовки данной применялись материалы сети Интернет из общего доступа