Как непротиворечиво понимать 'время'
Как непротиворечиво понимать 'время'
А. К. Юхимец
“Пространство и время – основные понятия всех разделов физики. Они играют главную роль на эмпирическом уровне физического познания – непосредственное содержание результатов наблюдений и экспериментов состоит в фиксации пространственно-временных совпадений. Пространство и время служат также одними из важнейших средств конструирования теоретических моделей, интерпретирующих экспериментальные данные. … Пространство и время имеют решающее значение для построения физической картины мира. … Современной теорией метрических свойств пространства и времени является теория относительности – специальная.
Специальная теория относительности…объединила пространство и время в единый четырехмерный пространственно-временной континуум – пространство-время” (Физический энциклопедический словарь - М.: Сов. энциклопедия, 1984, с.592).
До начала двадцатого века наши представления о том, как устроен мир в своей фундаментальной основе, как оказалось, были во многом наивными и примитивными. И хотя, в общем то, учёные склонялись к тому, что мир должен быть единым в своей основе, порой высказывали удивительно прозорливые для своего времени догадки по этой проблеме, истинный смысл этого единства не был до конца ясен. В то же время, материалистическая философия уже в течение нескольких веков указывала правильное направление в поисках этого единства. Это материальность мира и взаимообусловленное движение материи в той или иной форме во всех её частях. Но когда учёные, и прежде всего физики, проникая всё глубже и глубже в то, как “устроена” материя, на деле стали сталкиваться с проявлениями этого единства, это в какой-то мере застало их врасплох. Квантовая механика и всё последующее развитие всей современной физики стали для учёных полным откровением. Осмысление новых результатов и новых идей давалось с большим трудом, проходило в муках, а порой казалось просто безумием. В этих условиях не трудно было допустить ряд ошибок и не вполне корректных формулировок по принципиально важным понятиям не только физики, но и всего нашего бытия. К числу таких понятий нужно отнести и “время”.
Как сказано выше, современной теорией метрических свойств времени является специальная теория относительности (СТО). Но именно в трактовке этой теории и были допущены серьёзные ошибки в отношении понятия “время”. Самой грубой из них было устранение из теории понятия абсолютно текущего (а по сути, объективно текущего) времени. Кроме того, ни в одной из работ Эйнштейна не сказано, что же следует понимать под течением времени, хотя это и есть сама суть понятия “время”. Ведь, в конечном счёте, все наши измерения времени сводятся к одному – установить, сколько же времени протекло “от” и “до”. Внесена путаница и в понимание одновременности разноместных событий, хотя это понятие названо “фундаментальным”. Разобраться со всем этим и поставить всё на свои места автор и хотел бы в данной статье.
Понятие времени тесно связано с понятием движения. Абстрагируясь от реального положения вещей, можно сказать, что если бы в мире не было никакого движения, никаких изменений, то понятие времени просто бы не понадобилось. Материя как таковая без движения была бы, очевидно, некой безликой, аморфной, однородной средой, одинаковым во всех своих частях субстратом. Если условно применить к такой материи понятие времени, то можно сказать, что в нём мгновение и вечность были бы неразличимы.
Но такой материи нет, и всё то огромное разнообразие реального мира, которое мы наблюдаем, связано именно с движением материи, с огромным многообразием форм этого движения, с взаимодействием одних форм движения с другими, с непрерывным переходом, превращением одних форм движения в другие в результате этого взаимодействия. И всё это происходит на всех структурных уровнях существования этого движения. А то, что это не носит характера полного хаоса, связано с существованием определённых закономерностей в этом движении, закономерностей в отношениях между различными формами движения.
Различные формы движения длятся, чередуются, вступают между собой в разного рода взаимодействия. Чтобы понять, какой порядок существует во всём этом, чтобы объективно охарактеризовать различные формы движения, установить между ними взаимосвязь и взаимообусловленность, нам и необходимо понятие времени. Наконец, оно необходимо нам и для согласования нашего собственного существования, как одной из разновидностей форм движения материи, со всеми теми формами её движения, которые окружают нас в этом мире.
Движения протекают непрерывно во всех частях мирового пространства, в каждой его точке. Отдельные элементарные формы движения материи, локализуясь довольно чётко в некоторой ограниченной части пространства (в некотором очень малом объёме), способны довольно долго сохранять свою индивидуальность, даже изменяя своё расположение в пространстве, т.е. перемещаясь в нём, и даже взаимодействуя не очень сильно с другими подобными формами движения материи. Таковы элементарные частицы, самой стабильной из которых на сегодняшний день является протон.
Любая элементарная частица, существуя какое-то время как нечто обособленное в пространстве, имеет своё некоторое довольно интенсивное самоорганизованное внутреннее движение. С этим движением связана и её инертность (инертная масса m), и её внутренний импульс mc и её внутренняя энергия mc2, и ряд других физических характеристик.
Хотя каждая элементарная частица как бы заключена в ничтожно малой части пространства (в ничтожно малом объёме), считать её полностью обособленной, или изолированной, от всех других форм движения материи, от всего остального мира никак нельзя. Каких-то чётких границ, как можно судить из всей современной физики, у неё просто не существует. Даже когда она прямо не взаимодействует с другими подобными ей элементарными формами движения материи, она непрерывно взаимодействует с некоторыми волновыми формами движения материи, которые пронизывают всё мировое пространство (весь объём материи), накладываясь друг на друга и образуя чрезвычайно сложную интерференционную картину волнового движения всей материи и в целом, и в каждой её части. К тому же каждая элементарная частица, как об этом опять же можно судить из современной квантовой физики, и сама является источником некоторого своего собственного волнового движения.
Волновое движение в материи не связано с прямым перемещением одних частей материи относительно других её частей, а носит характер изменения её физического состояния от точки к точке по ходу волнового фронта. Эксперименты по дифракции фотонов и электронов прямо указывают на то, что и само перемещение элементарных частиц не есть перемещение материи внутри материи, а также есть некоторая форма последовательного изменения её состояния, с чем мы и связываем физическое перемещение “частиц” в пространстве.
Из элементарных форм движения материи (протонов, нейтронов, электронов) образуются более сложные самоорганизованные структурные формы пространственно локализованного движения со своей сложной индивидуальной картиной волнового движения. Это, как мы знаем, и есть атомы, которые дальше объединяются в молекулы и т.д.
Все те твердые тела, не говоря уже о жидкостях и газах, с которыми мы имеем дело в нашей повседневной жизни, да и мы сами, а также объекты космических масштабов, в конечном счёте, являются некоторыми временно устойчивыми пространственно локализованными формами самодвижения материи. Эти сложные формы способны перемещаться в пространстве, сохраняя своё интенсивное внутреннее движение, его некоторые индивидуальные формы, его самоорганизацию до самого элементарного уровня. И в то же время, это в целом и некоторый чрезвычайно сложный пространственно локализованный волновой процесс, некоторая форма самоорганизованного волнового процесса, непрерывно взаимодействующего со всем окружением. Тела обладают инертной массой, внутренним и внешним импульсом, а следовательно, внутренней и внешней энергией. Это и есть потенциальная и кинетическая энергия тел. Как показывают расчёты на основе СТО (с изменённой её трактовкой), потенциальная энергия тел связана именно с их собственным внутренним движением и с взаимодействием этого движения с окружающими тела полевыми формами движения материи. А в существующей трактовке СТО вопрос о потенциальной энергии вообще не затронут.
Наивным было также полагать, что внутренняя самоорганизованная форма движения тел, с чем связаны и их размеры, при движении тел, при изменении этого движения остаётся неизменной. Именно это принималось в классической механике, имевшей дело с относительно небольшими скоростями движения тел, а когда голландский физик–теоретик Г.А Лоренц предложил пересмотреть это, его обвинили в привнесении в физику произвольных гипотез. На самом же деле гипотеза об изменении размеров тел при их движении была совершенно естественной, так же как и гипотеза об изменении длительности внутренних циклических процессов в движущихся телах и измерительных системах на их основе. И всё это, конечно же, определённым образом должно проявляться и в тех внутренних связях между различными формами движения внутри твёрдых тел, которые мы называем внутренними силами, что и пытался установить Лоренц. Его подход был и естественным, и истинно физическим. А предложенный А. Эйнштейном и принятый физиками аксиоматический подход к построению физической теории, в общем то, для физики не годится. Физика как наука призвана устанавливать связи между причинами и их следствиями, пусть даже в вероятностной форме, что тоже на фундаментальном уровне движения материи совершенно естественно. Сегодня это уже очевидно и принципиально связано с размыванием условных границ одних элементарных форм движения материи и переходом их в другие элементарные формы движения при непрерывном их взаимодействии, что и наблюдается в физическом вакууме.
Так как в объектах космических масштабов с большими массами сконцентрировано огромное количество элементарных форм движения, тесно взаимодействуя все вместе, они уже не могут сохранять свою индивидуальность (свою самоорганизованность и устойчивость). Одни из них распадаются, с другими происходят самые разные превращения, образуются новые формы. “Выживают” и сохраняются только наиболее устойчивые.
Но мы ещё раз хотим подчеркнуть, что абсолютно всё, с чем мы встречаемся в природе, есть ни что иное, как некоторые формы самодвижения материи, её некоторого единого субстрата. А само понятие времени коренным образом связано с длением и прерыванием (или чередованием) этих движений. Оно также связано с их измерением, а любое измерение требует меры. Но дление движения и должно быть измерено некоторым определённым движением с его определённым длением, с определённой мерой дления. Мера же всегда дискретна.
Эталон измерения, или единица измерения, принимается из того же, что и измеряется. Пространственную протяжённость мы измеряем эталоном протяжённости, массу измеряем эталоном массы, электрический заряд – эталоном заряда и т .д. Но чтобы наши измерения были надёжными, прежде всего, должен быть надёжным эталон измерения. Мы говорим, что он должен быть стабильным. Он не должен подвергаться влиянию внешних условий. Но в принципе таких идеальных эталонов реально нет, так как абсолютно всё в природе в той или иной мере подвержено влиянию внешней среды, в той или иной мере взаимодействуя с ней. Но мы можем найти в природе нечто близкое к тому, что может нас вполне устроить.
Для измерения времени используются регулярные периодические, иначе циклические, движения. Они и длятся и чередуются. Что для измерения времени более всего подходят именно такие движения, понял в своё время ещё Аристотель. Но сегодня мы должны сказать, что только такие и подходят.
Когда всё же время стали измерять строго, на научной основе, вначале за эталон времени были приняты солнечные сутки. Потом солнечные сутки заменили так называемыми звёздными сутками. А когда астрономы установили, что более регулярным процессом, чем суточное вращение Земли, является её обращение вокруг Солнца, за эталон времени была принята эфемеридная секунда как определённая часть длительности тропического года. Но мы не будем уточнять здесь их суть и различия, а скажем лишь, что это и были попытки выбора надёжного, стабильного и удобного эталона времени.
Когда был изобретён маятник, то малые промежутки времени стало удобно измерять с его помощью, и были созданы соответствующие эталоны. На их смену пришли более точные кварцевые часы, в которых ход времени (его течение) определяется колебаниями пластин из высококачественного кристаллического кварца. Однако, в конце концов, учёные пришли к выводу, что: “Макроскопические тела принципиально не могут служить абсолютными хранителями времени. Причина – неустранимые и неконтролируемые изменения систем, состоящих из огромного числа атомов” (Физический энциклопедический словарь, с.91).
Были созданы атомные эталоны времени, и с 1967 г. Генеральной конференцией по мерам и весам в качестве атомной секунды принято определённое количество периодов электромагнитных колебаний, соответствующих некоторому квантовому переходу атома цезия. Таким образом, наиболее стабильный эталон времени (равно дления движения), как этого и следовало ожидать, найден сегодня на одном из самых элементарных, а следовательно, и самых фундаментальных, уровней движения материи. Там же, кстати, найден и эталон протяжённости. И это тоже не случайно, так как электромагнитное циклическое движение характеризуется не только длительностью, но и протяжённостью создаваемого им волнового процесса. Однако далее в отношении самой сущности понятия времени необходимо внести некоторые уточнения.
Выше мы уже говорили, что если бы у материи не было никаких движений, то и не понадобилось бы и никакого понятия времени, хотя материя и продолжала бы существовать, и это существование продолжало бы длиться. Но это дление не имело бы никакой разметки, а следовательно, и не могло бы иметь и никакой физической оценки. Именно периодическое (тем самым уже размеченное) движение придаёт понятию “время” реальный физический смысл. Но, в конечном счёте, размечается именно дление существования движущейся материи. Хотя материя реально и не существует без движения, всё же дление её движения как бы вторично по отношению к длению самого существования материи. Можно представить себе материю без движения, но в принципе невозможно представить себе движение без существования материи.
Существование материи, непрерывное дление этого существования является самой первичной сущностью. Движение уже как бы накладывается на существование, и дление движения уже вторично по отношению к длению существования. Можно прервать дление движения любой какой-либо его конкретной формы, но невозможно прервать дление существования всей материи в целом и каждой его части в отдельности, так же, как и её движения вообще. Материя неуничтожима и несотворима, и её движение тоже. Она существует вечно, в то время как формы её движения преходящи и взаимопревращаемы. Следовательно, природа самого течения времени, т. е. той объективной сущности, с которой мы и должны связать само понятие объективно текущего времени, и есть дление существования движущейся материи вообще, безотносительно к какой-либо его конкретной форме. И это дление существования, это течение объективного времени абсолютно и ни от чего более не зависит. А сами конкретные формы движения могут изменяться, они могут длиться и больше и меньше, могут и ускоряться и замедляться.
С другой стороны, понятие объективно текущего физически измеримого (или просто физического) времени с необходимостью включает и его разметку (периодичность), т.е. прерывность. Это есть принципиально неразделимое (иначе, диалектическое) единство непрерывного и прерывного в понятии “физическое время”. Другими словами, объективно текущему физическому времени объективно присуща и метричность. Она присуща самим фундаментальным движениям материи.
Именно строгая цикличность элементарных форм движения материи лежит в основе структурирования всех других более сложных форм её движения, всей цикличности на всех уровнях движения в мире. Благодаря цикличности возможны закономерные отношения между различными формами движения.
Дление движения физически отражает дление существования и каждой конкретной формы движения, и всей материи в целом. Поэтому течение времени, его объективный физический темп, может быть выражен только через темп физического движения. Такой физический темп и представлен в эталонном движении с его постоянным количеством циклов в принятой единице измерения времени (секунде).
Постоянное количество циклов в эталоне ещё не обеспечивает стабильности эталона времени. Ведь мы можем принять за эталон лишь один цикл. Здесь всё заключается в удобстве для целей практики. Поэтому важна стабильность длительности каждого цикла. Эталонное физическое движение как раз и должно обеспечить такую стабильность. Однако это ещё не всё. Это обеспечит нам правильность отсчёта (высокую точность) лишь относительно больших промежутков объективно текущего времени. Но чтобы эталонное движение, его темп был адекватен темпу самого течения времени, чтобы он в полной мере физически выражал это течение, эталонное движение и в целом, и в каждом отдельно взятом цикле должно быть строго равномерным и всегда постоянным, одним и тем же при любых условиях. Только такой эталон может принципиально правильно обеспечить нам физически эквивалент абсолютно текущего времени, а строго периодические отметки на этом движении обеспечат нам его принципиально правильное измерение, или строгую метрику. Лишь с помощью такого эталонного движения мы можем дать подлинную физическую оценку любым другим измеряемым движениям.
Если снова вспомнить о маятнике, то его движение не адекватно течению времени. Маятник ускоряется и замедляется в каждом цикле своего движения. Он лишь обеспечивает более или менее строгое соблюдение длительности полного колебательного цикла. Более или менее, так как его движение подвержено влиянию ряда факторов, и это принципиально неустранимо. Кроме того, маятник вовсе не пригоден для измерения промежутков времени, меньших длительности цикла его колебания, или соизмеримых с ним. С его помощью можно более или менее строго измерять только такие временные промежутки, которые значительно превышают длительность одного цикла колебания.
Из всех движений, известных сегодня науке и, очевидно, существующих в природе, электромагнитный волновой процесс более всего подходит в качестве эталонного. Не случайно, что, в конце концов, учёные и вышли именно на него. Но и это движение не всегда отвечает идеальному абсолютному эталону.
Как сегодня известно, скорость распространения электромагнитных волновых процессов не является строго постоянной, а зависит от наличия в пространстве массивных космических тел. Не сохраняется также и частота электромагнитных колебаний, даже при одних и тех же квантовых переходах. К тому же последняя ещё и зависит от скорости движения источника излучения.
Так где же выход в решении проблемы времени, в строгом определении его объективного течения и отсчёта? Опять же, как сегодня ясно, здесь может быть два подхода. Практически они уже и используются сегодня, хотя ещё и не осмыслены в полной мере.
Вот первый из них.
Из общей теории относительности (ОТО) известно, что любые локальные измерения скорости света (электромагнитного волнового процесса) дают нам одно и то же постоянное число. Оно измерено сегодня с большой точностью. Далее, у нас есть общепринятый эталонный волновой процесс. Можно считать, что с его помощью мы и измеряем истинный ход времени. А то, что этот процесс не всегда постоянен, можно трактовать, как изменяющееся течение времени в разных физических условиях.
Сегодня мы свободно говорим о замедлении времени при тех или иных физических условиях, что те или иные физические системы существуют и развиваются по собственному времени и т. п. Говорим о том, что в природе нет единого абсолютно текущего времени. Более того, сегодня в физике даже общепризнанна та точка зрения, что если подходить строго, то мы не вправе считать, что все явления в мире происходят в трехмерном пространстве и одномерно текущем времени, а их следует рассматривать как существующие в четырёхмерном пространстве-времени. И даже философы согласились с этим.
Что касается вопроса о пространстве-времени, то мы поговорим о нём чуть ниже. А сейчас зададим себе вопрос: а откуда же мы знаем в ОТО о замедлении времени? Замедление в сравнении с чем? И оказывается, что при разных гравитационных потенциалах время замедляется в сравнении с теми условиями, где гравитационный потенциал по абсолютному значению ниже. А чтобы получить некоторую единую оценку этому замедлению времени, мы должны, в конечном счёте, сравнивать замедление времени при разных гравитационных потенциалах с его течением при потенциале равном нулю. Но тогда на всё это можно посмотреть и иначе.
Можно сказать, что замедляется не время, не его течение, которое ни от чего не зависит, а замедляются движения, как оно и есть на самом деле. Но тогда в качестве эталонного движения, физически выражающего объективное течение времени, уже выступает эталонный электромагнитный волновой процесс при нулевом гравитационном потенциале. Причём, он един для всех движений в мире. Он уже представляет абсолютное дление существования и самой материи, и её движения во всех своих частях, безотносительно к их конкретной форме. К нему мы и относим все другие движения, в том числе и распространение света, и видим, что по отношению к нему они замедляются, но мы при этом говорим, что замедляется время. Но не будем лукавить – для сравнения мы и используем при этом абсолютно текущее время.
Это и есть второй подход в решении проблемы времени, а точнее, его измерения; и он уже молчаливо используется в ОТО с момента её создания. Иначе мы бы ничего не узнали о тех замедлениях, о которых говорили выше. Но мы пока не затронули одну чрезвычайно важную деталь. Она замалчивается и в трактовке ОТО. Мы ещё ничего не сказали, а как же быть с “замедлением” времени при движении часов при нулевом гравитационном потенциале и других гравитационных потенциалах. Что мы конкретно сравниваем, ход каких часов в одном и в другом случае? И ответ только один. Молчаливо предполагаются неподвижные часы и там, и там. Но что это должно означать? Это мы сейчас и рассмотрим.
Фактически в ОТО, в её принципиальной трактовке, молчаливо рассматриваются некоторые локальные абсолютные инерциальные системы отсчёта (локальные АИСО). Их можно назвать локальными привилегированными системами отсчёта (привилегированными их называл и академик В.А. Фок). Но мы назовём их локальными АИСО, так как их пространство и время связано с самим субстратом материи и зависит только от его состояния. Обладая некоторым гравитационным потенциалом, который может изменяться в зависимости от расположения в их окрестности больших космических масс, они имеют своё локальное неподвижное в целом пространство и собственный ход часов. Чем меньше это пространство, тем лучше. Важно, чтобы гравитационный потенциал в его пределах мы могли считать постоянным. В пределах пространства каждой такой локальной АИСО можно рассматривать и движущиеся ИСО со своими пространствами отсчёта. Размеры тел в них в направлении движения будут сокращаться, а часы будут замедлять свой ход в сравнении с их локальной АИСО. Но их поведение уже не будет полностью соответствовать законам СТО. Для них нужно строить свою теорию относительного движения со своими законами для взаимных измерений, так как неподвижное в целом пространство в локальных АИСО уже не будет изотропным. Но когда мы рассматриваем и сравниваем замедление хода часов при разных гравитационных потенциалах, мы всегда имеем в виду (молчаливо) часы разных локальных АИСО, их неподвижные часы.
Смещаясь мысленно и плавно в глобальном мировом пространстве, рассматривая весь мир в целом или его отдельные космические просторы, мы также мысленно и плавно переходим из одной локальной АИСО с одним гравитационным потенциалом в другую локальную АИСО с другим гравитационным потенциалом. А местные движущиеся ИСО с их собственными изменениями, зависящими от их собственной абсолютной скорости, нас при этом не интересуют. Мы просто не обращаемся к ним, так как рассматриваем вещи более глобальные. И здесь нас вполне устраивает ОТО с её физическим (физически измеримым) временем (всё это, конечно, лишь теоретически).
Изучая мир в его космических масштабах, мы можем рассматривать, и фактически в ОТО уже рассматриваем, гигантские области пространства с изменяющимся гравитационным потенциалом на фоне ещё больших областей, где абсолютное значение гравитационного потенциала постепенно снижается к нулевому. При этом мы получаем сведения о протекании разных физических явлений при разных гравитационных потенциалах. Например, мы рассматриваем распространение света от какого-либо космического источника, находящегося в области с одним гравитационным потенциалом, скажем близким к нулевому. Далее, этот свет проходит через огромные пространства с изменяющимися довольно сильно гравитационными потенциалами и регистрируется где-то далеко в области, где гравитационный потенциал снова близок к нулю. Мы находим, что световые лучи при этом своём движении искривляются, а скорость света изменяется. И это доказано экспериментально. И тут уже и само движение света, и его скорость рассматриваются не по отношению к некоторым локальным АИСО, а по отношению ко всему пространству в целом. А то, что это пространство в целом приобретает при этом статус некоторой глобальной АИСО с нулевым гравитационным потенциалом, по крайней мере, на время самого эксперимента, просто замалчивается.
Но вернёмся снова к СТО. Что означает в этой теории “условно неподвижная” ИСО? Это не просто та система отсчёта, по отношению к которой мы проводим свои измерения с помощью неподвижных в ней средств измерения. Так мы поступаем в любой ИСО. А “условно неподвижная” – это по своей сути некоторая АИСО со своим абсолютным ходом времени и абсолютной одновременностью по всему её пространству. Если в ней происходит импульсная вспышка света, то в дальнейшем свет от места своего зарождения распространяется во всех направлениях с постоянной скоростью, а сам центр зарождения светового импульса остаётся на своём месте. Из этой системы мы видим, что по отношению к движущимся ИСО всё происходит не так. В то же время, как сказано у самого Эйнштейна в его статье 1920г. “Ответ на статью Рейхенбаха” : “Ведь система координат представляет собой всего лишь средство описания и сама по себе не имеет ничего общего с описываемыми предметами” (А.Эйнштейн. Собрание научных трудов (СНТ) в 4-х т.: М., Наука, 1965-1967, т.1, с.690).
Если убрать средства описания от света и предоставить ему возможность самостоятельно существовать в пространстве, то он действительно будет распространяться от точки своего зарождения с постоянной скоростью во всех направлениях только в местах с нулевым гравитационным потенциалом. А центр зарождения импульсной вспышки будет оставаться при этом неподвижно на своём месте, независимо от движения источника света (принцип постоянства скорости света). Это следует из ОТО. Тут же следует отметить и то, что там, где гравитационный потенциал не равен нулю, скорость движения света от центра своего зарождения в разных направлениях не сохраняется постоянной. Она изменяется по определённой зависимости, но центр зарождения каждого светового импульса какое-то время остаётся на месте. По крайней мере, пока остаётся постоянным гравитационный потенциал.
Всё это в ОТО мы узнаём, молчаливо используя абстрактную глобальную АИСО, в которой гравитационный потенциал равен нулю. А измерения скорости света в локальных АИСО дают одно и то же её значение в любом направлении, причём везде численно равное с (общеизвестное значение). И такие АИСО в ОТО неосознанно используются на каждом шагу. Почему неосознанно? Да потому, что они до сих пор так нигде и не названы абсолютными в отличие от любых других, движущихся по отношению к ним, которые, как мы уже сказали выше, в ОТО практически не используются.
Неподвижные часы при нулевых гравитационных потенциалах дают нам отсчёт единого абсолютно текущего времени. И такие абстрактные часы нужны нам, прежде всего, для наших теоретических исследований. Они дают нам единый ход времени, с помощью которого мы можем оценивать реальную картину происходящего в мире. Реальный мир существует весь сразу. В каждой его части непрерывно происходят какие-то движения и в каждое временное мгновение абсолютно текущего времени они реально сосуществуют. Это и есть истинная одновременность. Связаны или нет они между собой причинно-следственными отношениями – это совсем другой вопрос. Но они сосуществуют одновременно.
Как следует из сказанного выше, СТО полностью применима лишь в тех областях пространства, где гравитационный потенциал равен нулю, или, по крайней мере, близок к этому. Но многие её положения применимы в любых областях. Однако для этого существующую трактовку СТО, которую ей дал Эйнштейн необходимо пересмотреть, так как она в принципе неверна.
По-настоящему разобравшись в этой теории, нетрудно увидеть и понять, что она фактически построена не на отрицании неподвижного в целом пространства и абсолютно текущего времени, как считал сам Эйнштейн, а напротив – она неосознанно опирается на их существование. Все “парадоксы” и нелогичности в трактовке этой теории возникают именно там, где её трактование противоречит тому, что фактически заложено в самой теории.
Условно неподвижная ИСО Эйнштейна фактически является АИСО. Принцип постоянства скорости света (ППСС) онтологически связан с распространением света в физическом (иначе, материальном), в целом неподвижном, однородном и изотропном пространстве. Последнее возможно лишь при нулевых гравитационных потенциалах. А принцип относительности (ПО) инерциального движения следует формулировать как утверждение о том, что по отношению к любой, движущейся в физическом неподвижном пространстве, ИСО, построенной по известным правилам, физические явления проявляются в той же форме, как и по отношению к АИСО в их самостоятельном существовании.
Рассматривая из АИСО движущуюся с некоторой абсолютной скоростью ту или иную ИСО, мы видим, что все её линейные размеры в направлении движения претерпевают известное лоренцево сокращение, в то время, как поперечные размеры остаются неизменными. В движущейся ИСО все внутренние циклические движения замедляются в сравнении с тем, как протекают точно такие же движения в АИСО. Изменяет свою частоту и эталонный электромагнитный процесс. Он тоже замедляется. А так как он физически представляет в ИСО темп течения времени, как это и считается сегодня, то мы и говорим, что в ИСО замедляется ход времени. Это физически измеримое эталонное дление в ИСО, с которым, казалось бы, мы и должны сравнивать (измерять) длительность всех других движений в ИСО. Но это не всегда так.
Рассмотрим конкретно некоторую ИСО, движущуюся в АИСО с абсолютной скоростью v вдоль направления своей оси х-ов. И хотя v есть абсолютная скорость ИСО в пространстве, она, с другой стороны, и есть относительная скорость ИСО в АИСО.

Выделим на оси х-ов ИСО некоторый отрезок АВ длиной l (cм. рисунок). Эта длина определена в ИСО с помощью её же эталона длины (собственная длина). Если взять в какой-то момент в точках А и В "синхронизированные" в ИСО часы и принять показания часов в точке А за нулевые ( tА= 0), то часы в точке В в этот же момент должны показывать время tВ = - vl/c2(это следует из преобразований Лоренца). Всё это мы одновременно видим из АИСО с её абсолютным ходом времени и её абсолютной одновременностью. И это подтверждает нам, что одновременные разноместные события в АИСО уже не воспринимаются как одновременные в ИСО. Именно не воспринимаются, в то время как в существующей трактовке СТО утверждается, что не являются одновременными. А ведь это совершенно разные вещи.
Здесь со всей наглядностью предстает перед нами истинная одновременность существования и сосуществования каких-либо событий в АИСО (в данном случае показаний часов в точках А и В в ИСО). Так же наглядно видна и условная одновременность временной регистрации событий по отношению к движущейся ИСО, к её пространственно-временной конструкции. Так как в движущейся ИСО считаются одновременными те разноместные события, которые происходят “там” и “тут” при одних и тех же показаниях часов, то нулевые показания часов в точке А, которые существуют уже сейчас, будут “одновременными” с нулевыми показаниями часов в точке В через промежуток времени vl/c2 по темпу хода часов в ИСО. А часы в А будут показывать уже именно это время, а их нулевые показания будут уже в прошлом. И мы должны, наконец-то, осознать, что существующая трактовка СТО не оперирует одновременностью сосуществования событий, а оперирует лишь условной одновременностью их регистрации по отношению к той или иной ИСО в её “особом времени”. А так как у Эйнштейна отрицается объективная одновременность сосуществования, то тем самым отрицается и само объективное сосуществование вещей и событий. Действительно, если согласиться с существующей трактовкой СТО, то что мы должны сказать о “самостоятельном существовании” отрезка АВ? Существует он весь сразу сейчас, или нет? Ведь нельзя же, и в правду, сказать, что сейчас он существует лишь в точке А, а дальше в направлении к точке В ещё не существует, а потом, когда будет существовать “там”, то уже не будет существовать “тут”.
Теперь представим себе, что в ИСО вдоль отрезка АВ движется некоторое тело. Оно выходит из точки А как раз в тот момент, когда часы в ней показывают нулевое время. Далее, оно через промежуток времени t по часам в А достигает точки В. Спрашивается, сколько длилось в данной ИСО его движение от А к В? И если мы скажем, что эта длительность и равна t, то будем неправы, так как мы должны определить эту длительность движения тела в ИСО от А к В по разности показаний часов в В в конце движения и в А в начале движения. А так как показания часов в А в начале движения были нулевые, то “синхронизированные” часы в В в конце движения будут показывать время tВ= t–vl/c2, так как они имеют показанный выше постоянный сдвиг в своих показаниях по отношению к часам в А. И мы видим, что, несмотря на то, что движение тела от А к В в ИСО по темпу хода её часов фактически длилось t, и часы в А и в В продвинулись именно на столько же делений, время движения будет измерено иначе. Вот почему мы и оговорились выше, что промежуток времени в движущейся ИСО не всегда измеряется как отношение длительности какого-либо процесса в ней к длительности эталонного движения за это же время.
Вот тут мы и должны вспомнить о том, что измерение в движущихся ИСО является не просто пространственным и временным, а обязательно является пространственно-временным, хотя в “самостоятельном существовании” все измерения через АИСО чётко разделяются на пространственные и временные.
Если теперь рассмотреть движение тела
в обратном направлении от точки В к
точке А , и если снова длительность этого
движения будет t, то часы в А по прибытии
тела в эту точку покажут суммарное время
tА= 2 t, а временной промежуток, затраченный
на обратное движение, будет измерен как
tА- tВ = 2 t-( t-vl/c2) = t+vl/c2. И если движение
тела в прямом и обратном направлении
было равномерным, то его фактическая
скорость u относительно движущейся
системы координат (“тела отсчёта”,
выражение Эйнштейна), измеренная по
длительности эталонного движения в
ИСО, будет u= l/ t и в прямом, и в обратном
направлениях. Но по отношению к ИСО,
т.е. по отношению не просто к “телу
отсчёта”, а по отношению к “телу отсчёта”
с системой “синхронизированных” в
каждой точке часов, скорость будет
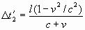
разной, и в прямом направлении составит
,а
в обратном направлении –
.
Всё это – следствие условной синхронизации часов в движущейся ИСО и связанной с ней условной одновременности регистрации разноместных событий. Поэтому правильнее было бы сказать, что часы в движущейся ИСО не синхронизируются с помощью световых сигналов, а лишь определённым образом упорядочиваются их показания по всему “пространству отсчёта” (опять же выражение Эйнштейна) ИСО. Но как раз благодаря этому и выполняется ПО по отношению к любой движущейся ИСО.
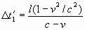
Точно так же и фактическая скорость света по отношению к движущейся системе координат будет разной в разных направлениях. Но по отношению к ИСО она измеряется как постоянная. Действительно, в направлении от А к В она фактически будет c-v, так как со скоростью v движется сама ИСО, но вот как она будет измерена в ИСО.
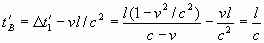
Реальное время движения света в АИСО
(здесь учтено сокращение длины в ИСО):
.
Тогда с учетом замедления эталонного
движения в ИСО в
раз
это будет
.
И если время излучения светового сигнала
в точке А принять за нулевое, то по
прибытии света в точку В часы в ней
покажут
.
То есть, скорость света будет измерена
в ИСО, как равная с.
Если световой сигнал тут же будет отражен
назад из точки В в точку А, то реальная
длительность его движения в обратном
направлении будет
.
По эталонному движению в ИСО это составит
,
а часы в А по прибытии туда света будут
показывать
.
То есть, скорость света и в обратном
направлении будет измерена как с. И мы
видим, что ПО по отношению к ИСО в
отношении распространения света
выполняется. Он предстает здесь в виде
ППСС по отношению к ИСО. Собственно, он
и используется для “синхронизации”
показаний часов в ИСО.
Здесь интересно привести слова самого Эйнштейна, например, из его работы 1907 года "О принципе относительности и его следствиях": "Предположим теперь, что часы могут быть сверены так, что скорость распространения каждого светового луча в вакууме, измеренная с помощью этих часов, везде равна универсальной постоянной С при условии, что система координат является неускоренной" (СНТ, т.1, с.68). И ещё чуть дальше: "Действительно ли осуществляется в природе сделанное здесь предположение, которое мы назовем "принципом постоянства скорости света"? Это ни в коем случае не очевидно…" (там же). И мы видим, как и почему это предположение подтверждается.
Но теперь мы подчеркнем здесь и кое-что другое. На приведенном выше рисунке мы взяли в движущейся ИСО на её оси х-ов две произвольных точки А и В, разделённых также произвольным расстоянием l. Скорость v движения ИСО также произвольна. Это говорит нам о том, что для любого твердого тела указанное на отрезке АВ пространственно-временное соотношение между l, v и c сохраняется при любом расстоянии между двумя точками и для любой скорости абсолютного движения тела. Оно и лежит в основе преобразований Лоренца. Есть ли на концах отрезка длиной l “синхронизированные” часы, или их нет, не имеет значения. Важно то, что это - объективно реальное соотношение между той формой движения, которую представляет собой само тело, и скоростью распространения электромагнитных процессов в пространстве. Именно оно и лежит в основе той потенциальной возможности так выставить показания часов вдоль направления движения тела, чтобы по отношению к нему выполнялся ПО, а следовательно, была бы одной и той же и измеряемая скорость света.
Это единство пространственной разметки системы координат, построенной на основе твердых тел, и определённым образом упорядоченных между собой показаний часов в разных её точках и даёт нам то, что мы называем “пространство-время”. И здесь, как мы видели выше на нашем простом примере, измерение временного промежутка между двумя разноместными событиями не всегда соответствует той временной длительности, которая фактически разделяет их даже по темпу хода часов самой системы. Однако у нас нет никакой другой возможности физически, т. е. на практике, организовать свои пространственные и временные измерения в движущейся ИСО, чтобы они были однозначными и носили объективный характер. К счастью для нас, природа “устроена” так, что мы при этом получаем ту форму взаимоотношений между различными физическими характеристиками явления, которая и существует между ними в их “самостоятельном существовании”.
Таким образом, мы должны совершенно чётко осознать, что “пространство-время” – это всего лишь своеобразная форма пространственно-временной конструкции для проведения физических измерений в ней, чтобы наше математическое описание явлений имело физический смысл. Это всего лишь приём измерения и описания в абсолютно движущейся ИСО. И не более того!
Как известно, уже через много лет после создания ОТО Эйнштейн стал склоняться к тому, что введение “эфира” в СТО не противоречит этой теории. Но “вследствие того, - утверждает он, - что говорить в абсолютном смысле об одновременных событиях в разных местах эфира оказалось уже невозможно, эфир стал в известной степени четырехмерным, ибо никакого объективного упорядочивания его состояний по одному только времени не существовало” (СНТ, т.2, с.157-158). И мы видим, что он переносит четырехмерную форму ИСО, как средства измерения, на само физическое пространство и делает отсюда совершенно неправомерный вывод: “Четырехмерный континуум, - заключает Эйнштейн, - не распадается объективно на сечения, среди которых были бы сечения, содержащие все одновременные события; для пространственно протяженного мира понятие “сейчас” теряет свой объективный смыл. В связи с этим пространство и время должны рассматриваться как объективно не распадающийся четырехмерный континуум…” (СНТ, т.2, с.753). Это серьёзная ошибка Эйнштейна.
В нашем примере выше мы наглядно показали, как в движущейся ИСО мы получаем при измерении “неправильные” временные промежутки, но точно так же получаются и “неправильные” измерения длины, массы и других физических величин. Поэтому можно образно сказать, что выполняя в движущейся ИСО с помощью её четырёхмерной измерительной конструкции свои “неправильные” измерения различных физических величин, мы, тем не менее, благодаря выполнению в природе ПО, получаем “правильные” физические законы. Приходится только восхищаться Природой!
Эйнштейн во всех своих статьях по СТО подчеркивал, что в каждой ИСО мы имеем “своё физическое время”, “своё особое время”, “время данной системы”, пригодное для измерений лишь в ней. Более того, он неоднократно называл “временем” системы отсчёта именно “совокупность показаний” всех неподвижных и синхронизированных между собой часов в ней, в каждой её точке. К сожалению, он так и не осознал всю условность такого “времени”, а также той “синхронизации” часов, которую мы получаем в движущихся ИСО. А отсюда и его совершенно неверный вывод, что “нельзя считать, что время имеет абсолютный, т. е. независимый от состояния движения системы отсчёта смысл” (СНТ, т.1, с.182). Это высказывание Эйнштейна, кстати сказать, прямо вступает в противоречие с его ответом Рейхенбаху (см. выше).
Таким образом, в СТО в движущихся ИСО с их системой координат и системой “синхронизированных” между собой часов мы имеем, с одной стороны, физическое время, действительно отсчитываемое часами, “размеченными” с помощью замедленного эталонного движения в ИСО. С другой стороны, мы имеем и некоторую, хотя и объективную, но всё же условную систему физического измерения времени. Для такой условной системы действительно невозможно дать определение течению времени. Течение времени отсчитывают только каждые часы в ИСО сами по себе, а разность показаний разноместных часов не всегда, как мы видели, отражает фактическое течение времени. Мы говорим не всегда, так как в движущихся ИСО в любой плоскости, перпендикулярной направлению абсолютного движения ИСО, все часы действительно синхронизированы абсолютно и “идут в фазе”. Постоянный сдвиг в показаниях по отношению друг к другу имеют только часы, расположенные в разных таких плоскостях и, следовательно, вовсе не идут в фазе. Всё это обеспечивается в ИСО принятой в СТО процедурой сверки разноместных часов с помощью световых сигналов.
В заключение данной статьи следует сделать ещё одно важное замечание, так как иногда даже в научной литературе всерьёз говорят о возможности превращения времени в пространство и наоборот. Эти чистейшей воды спекуляции не имеют под собой никакой научной основы и связаны с непониманием того, что собой в действительности представляет четырёхмерное пространство-время. Пространственные измерения связаны с протяжённостью тел и расстояний между различными “точечными” событиями. А временные промежутки связаны с длительностью протекания тех или иных физических явлений. И это две совершенно разные сущности.
Итак, подведём итоги. Понятие “время” неразрывно связано с понятием его течения. Само же понятие “течение времени” непротиворечиво можно связать с длением существования движущейся материи вообще, безотносительно к каким-либо его конкретным формам. Для непосредственного же измерения дления каких-либо конкретных форм движения, дления различных интервалов в этом движении принимается некоторый эталон дления, который должен отличаться стабильностью. Таким эталоном на сегодняшний день является определённый электромагнитный волновой процесс, отличающийся строгой периодичностью. Но, в природе не существует реальных форм движения материи, не подверженных влиянию тех физических условий, при которых они происходят. Поэтому и эталонное циклическое движение изменяется в зависимости от гравитационного потенциала, при котором оно протекает, а также от скорости движения его источника в пространстве. Эти изменения эталонного движения рассмотрены в ОТО и СТО и трактуются в них как замедление течения времени. Однако, мы можем, и вправе, ввести в эти теории некоторую глобальную АИСО, позволяющую оценивать всё происходящее в мире с позиций единого абсолютно текущего времени с некоторым абстрактным, но теоретически вполне допустимым, абсолютным эталоном дления. Это позволит исключить из трактовки указанных теорий разного рода недомолвки и противоречия, связанные с существующим трактованием понятия “время”.
Список литературы
Для подготовки данной применялись материалы сети Интернет из общего доступа