Проверка гипотезы о независимости двух случайных величин для любого типа шкал
Проверка гипотезы о независимости двух случайных величин для любого типа шкал.
С.В. Усатиков, кандидат физ-мат наук, доцент; С.П. Грушевский, кандидат физ-мат наук, доцент; М.М. Кириченко, кандидат социологических наук
Во многих практических задачах мы исследуем объекты, обладающие несколькими (двумя или более) признаками, и хотим выяснить, насколько эти признаки связаны между собой. Например, у каждого человека есть возраст и место рождения, уровень образования и годовой доход, пол и социальная принадлежность и т.п. Вопрос состоит в том, можно ли по степени выраженности одного признака судить о степени выраженности другого, либо же знание об одном ничего не добавляет к знанию о другом (т.е. эти признаки проявляются независимо друг от друга). Ответы на такие вопросы могут иметь значительную практическую ценность. Например, если мы установим, что признаки “профессия” и “политические убеждения” независимы, то социологические опросы по предсказанию результатов выборов можно проводить без учета профессии опрашиваемых.
Прежде всего следует дать определение интуитивно понятной вероятностной независимости. А именно, случайное событие А независимо от случайного события В, если вероятность одновременного появления и события А, и события В в опыте равна произведению вероятностей этих событий.
Иногда признаки связаны жестко: если профессия - горняк или сталевар, то пол, несомненно, мужской. Тем самым по некоторым значениям признака “профессия” можно узнать значение признака “пол”. Другая крайность - отсутствие связи: если глаза серые, то какая профессия? Исследователя в подобных задачах интересует, насколько точно можно предсказать значение одного признака по значению другого. Этой проблеме должна предшествовать более простая: надо сначало проверить существует ли вообще какая-либо связь между этими признаками? Таким образом, возникает и требует проверки следующая нулевая гипотеза: проявления одного признака независимы от проявлений другого в опыте.
Отметим еще одно важное обстоятельство. Ведь необходимо исследуемые признаки как-то измерить, представить в виде делений какой-то шкалы, и очень часто это не деления секундомера или линейки. Как измерить” профессию”, “политические убеждения” или “степень доверия”? Если присвоить проявлениям признака какие-либо числовые значения, очень часто эти числа нельзя даже упорядочить по возрастанию.
Заметим еще также, что к проверке независимых признаков очень часто можно свести задачу однофакторного анализа об отсутствии эффекта обработки. Тогда одним признаком становится отклик, а другим - способ обработки. Причем в отличие от рассмотренного в предыдущем пункте критерия Вилкоксона, Манна и Уитни, способов обработки может быть и два, и три, и больше трех.
Пусть первый признак имеет шкалу х1,...,хк. Например, признак “лекарство” может быть х1=“первое”, х2=“второе”, х3=“третье”. Второй признак имеет шкалу у1,...,уl. Например, признак “результат” может быть у1=“благоприятный” или у2=“неблагоприятный”
Проведено n экспериментов, в которых nij ряд деления шкал xi (1Ј iЈ k) и y1 (1Ј jЈ l) появились вместе. Эти числа nij удобно записать в виде таблицы сопряженности признаков размера k· l.
Например:
|
результат yi |
первое= х1 |
второе=х2 |
третье= х3 |
всего |
|
у1=благоприятный |
29=n11 |
38=n21 |
53=n31 |
120=N1 |
|
у2=неблагоприятный |
1=n12 |
2=n22 |
7=n32 |
10=N2 |
|
всего |
30=n1 |
40=n2 |
60=n3 |
130=n |
Здесь “лекарство” можно трактовать как способ обработки, а “результат” как отклик. Отсутствие эффекта обработки означает, что все эти три лекарства действуют одинаково и признаки независимы.
В этом примере проведено n =130 экспериментов, в которых n11=29 раз первое лекарство помогло,n12=1 раз от первого лекарства стало хуже и т.п.
Обозначим ni (1Ј iЈ k) сумму чисел по столбцам таблицы, а Nj (1Ј jЈ l) сумму чисел по строкам таблицы. В данном примере n1 =30 по первому столбцу, n2=40 по второму столбцу, N1=120 по первой строке и т.п. Ясно, что ni/n есть оценка вероятности появления деления xi шкалы, а Nj/n - вероятность для yj. В свою очередь nij/n есть оценка вероятности одновременного появления делений xi и yj на шкалах первого и второго признаков.
Требуется проверить нулевую гипотезу о независимости признаков.
Прежде всего назначим уровень значимости a - вероятность ошибочно отвергнуть правильную нулевую гипотезу. Теперь будем искать то явление, чья вероятность при верной нулевой гипотезе мала и равна a . Если в опыте это явление происходит, то мы смело отвергаем нулевую гипотезу (с риском ошибки a ).
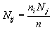
По определению вероятностной независимости, в ячейках таблицы сопряженности признаков должны стоять (при верной нулевой гипотезе) следующие числа Nij:
или

которые мы называем ожидаемыми частотами. Если Nij и nij не совпадают, это еще ничего не означает, т.к. такие отклонения могут быть вызваны случайностью. Числа nij являются суммой большего числа случайных величин - отдельных испытаний, поэтому по центральной предельной теореме они пожчиняются нормальному закону (рис.1). Можно доказать, что средняя m этого нормального закона равна ожидаемой частоте Nij, а среднее отклонение: s =Ц Nij. Следовательно числа

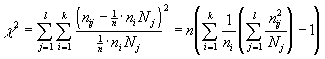
подчиняются Z- закону Гаусса, а число

подчиняется c 2-закону Пирсона с n =(к-1)(L-1) степенями свободы (рис.2). Практически должно быть для ожидаемых частот Nij і 4, а если n і 8 и n і 40, то можно Nij і 1. В противном случае необходимы соответствующие строки и столбцы объединить с соседними стороками и столбцами таблицы сопряженности признаков.
Вспомнив правило “трех s ” для c 2-закона,
можно сказать, что при a =0,1 величина c 2Ј
n +
.
Таким образом, при уровне значимости
10% (т.е. с риском ошибиться в 1 случае из
10) гипотеза о независимости признаков
отвергается, если подсчитанное числоc
2> n +
.
В противном случае наблюдения не
противоречат гипотезе о независимости.
Заметим, что при других уровнях значимости a величину критического значения c 2 необходимо брать из таблиц распределения Пирсона в статистических справочниках или учебниках.
Вернемся к нашему примеру. Считаем по формуле c 2:

Число степеней свободы n =(2-1)(3-1)=2,
следовательно критическое значение c
2 равно n +
=4.
Поскольку вычисленное c 2» 2,5 не превосходит
критического 4, нулевая гипотеза о
независимости не может быть отвергнута,
т.е. все три лекарства действуют примерно
одинаково.
Список литературы
Для подготовки данной применялись материалы сети Интернет из общего доступа