Исследование предельных процессов для числовых последовательностей с применением графических калькуляторов
Исследование предельных процессов для числовых последовательностей с применением графических калькуляторов
В.В. Богун
Введение
Как известно, в вузах и иных учебных заведениях многие вычислительные задачи, в том числе и по математике, требующие большого количества проводимых расчетов, обычно выполняются студентами на персональных компьютерах, причем в специально отведенных дисплейных классах, оборудованных различными мультимедийными системами и персональными устройствами.
Однако для решения многих сложных вычислительных задач с использованием различных условий удобным и эффективным аналогом персонального компьютера является графический калькулятор.
Отметим некоторые особенности использования графического калькулятора:
1. Наличие большого числа встроенных функциональных возможностей, что приближает его к персональным компьютерам даже с установленными на них мощными системами компьютерной математики (MATHCAD, MATLAB, MATHEMATIKA и т.д.).
2. Возможность совместимости с персональным компьютером. Предусмотрено подключение калькуляторов к персональному компьютеру (хранение библиотек программ и данных с возможностью экспорта-импорта по взаимосвязанной цепи графический калькулятор - персональный компьютер, распечатки листинга программ, снятие копий с экрана калькулятора, замена и обновление программного обеспечения через Интернет).
3. Меньшие по сравнению с персональным компьютером габариты (карманные размеры).
4. Длительное время работы от батарей, что обуславливает удобство эксплуатации в условиях отсутствия близкого доступа к силовой сети и необходимости длительной работы от автономных источников электропитания (в школе, университете, самолете и т.д.).
5. Заметно более низкая по сравнению с персональными компьютерами стоимость машинного времени.
6. Превосходство над компьютерами по мобильности и удобству пользования.
7. Низкая стоимость графических калькуляторов (100 - 200$) по сравнению с персональными компьютерами (от 500$ и выше).
8. Отсутствие вредного для здоровья человека излучения дисплея.
9. Абсолютная бесшумность в процессе работы.
10. По сравнению же с малогабаритными ноутбуками графические калькуляторы имеют еще более колоссальную вилку цен (ценовой знаменатель составляет не менее одного десятка), а также не менее впечатляющую разницу во времени работы от аккумуляторных батарей (в данном случае знаменатель составляет уже не менее двух десятков).
11. Возможность соединения как двух, так и объединения нескольких калькуляторов в локальную сеть (организация учебного процесса на основе графических калькуляторов представлена на интернет-сайтах корпораций CASIO и Texas Instruments).
12. Возможность подключения графического калькулятора к проектору изображения с экрана калькулятора на больший экран, что весьма актуально для учебного класса в процессе обучения.
Примером одного из самых мощных графических калькуляторов в настоящее время является калькулятор CASIO ALGEBRA FX 2.0 PLUS, приведенный на рис. 1.
Как было сказано выше, довольно скромные габариты графических калькуляторов и, как следствие, их дисплея являются серьезной проблемой для обучения работе на них, для решения которой фирмами изготовителями калькуляторов разработаны специальные проекционные комплекты для работы в классе (рис. 2), благодаря которым преподаватель, держа в руках калькулятор, может проецировать изображение с экрана калькулятора на большой экран.
В графическом калькуляторе имеется огромное количество встроенных математических функций (в частности, CASIO ALGEBRA FX 2.0 PLUS имеет 1095 функций), однако стоит отметить, что для полноценного решения сложных математических задач, связанных с наглядным моделированием, необходимо использование стандартных функций калькулятора в различных комбинациях и сочетаниях. Для реализации подобных проектов в калькуляторе имеется режим программирования PRoGraM (PRGM).
Особенность работы в режиме программирования заключается в наличии возможности манипуляции всем набором стандартных функций, причем в качестве связующего звена используется язык, аналогичный Бейсику, только немного упрощенный с целью более простого написания программ и экономии памяти калькулятора.
Именно благодаря режиму программирования у студентов и у школьников, во-первых, появляется обширный простор для креативной деятельности с целью наглядного моделирования реальных процессов, а, во-вторых, некоторые навыки программирования на примерах написания программ для решения отдельных математических или иных задач, причем написанные на калькуляторе программы должны иметь простой, удобный, а местами даже симпатичный интерфейс. Стоит отметить, что на сегодняшний день в России очень мало вузов всерьез занимается внедрением графических калькуляторов в учебный процесс, что обуславливается или полным отсутствием информации о данных калькуляторах, или отсутствием необходимости в заложенных в калькуляторах возможностях, или отсутствием соответствующих материальных и финансовых средств, или "все в одном".
Постановка задачи
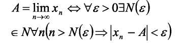
В данной статье рассматривается одна из задач курса математического анализа, имеющая непосредственное отношение к предельным процессам, а именно, решение задачи о нахождении минимального номера N()ε по заданному ε > 0 в структуре определения предела последовательности. Наглядное выявление данных зависимостей позволяет глубже осознать понятие предельного процесса, осуществляя при этом комплексный блок математических действий.
Углубление содержания понятия предела числовой последовательности xn происходит за счет нахождения минимального номера N()ε, начиная с которого выполняется неравенство xn − A < ε . Следует отметить, что процедура нахождения N()ε трудоемкая и основана на аналитических действиях.
Именно данный повод послужил стимулом для написания удобной и простой в использовании и к тому же симпатичной программы под названием "NUMBERS" (в переводе с английского "ЧИСЛА"), с помощью которой возможны следующие действия:
1. Определение минимального номера N(ε) по заданным коэффициентам последовательности a0, a1, a2, b0, b1, b2 и ε.






Исходя из постановки задачи определения минимального номера N()ε по
заданному ε, начиная с которого выполняется неравенство:

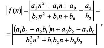
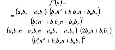
рассмотрим функцию f (n ):

(экстраполируя f на положительную полуось R+)
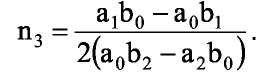
От рассмотрения функции f(n)
перейдем к рассмотрению функции f (n ), так как график функции f()n отличается от графика функции f()n (в смысле выявления точек экстремума, точек несуществования производной) только появлением дополнительных угловых точек графика на оси абсцисс.
Как же ведет себя функция f(n)?
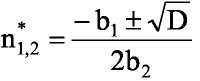
Во-первых, она может иметь точки раз-
* * рыва n1* и n*2:


Если же D < 0, то f непрерывна на
R+
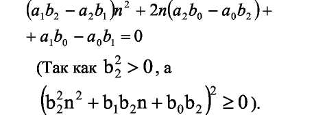
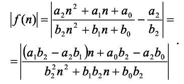
Во-вторых, она имеет точки экстремума, для определения которых необходимо решить уравнение: f(nj = 0 и выявить характер критических точек.

От рассмотрения уравнения f (n ) = 0 перейдем к рассмотрению уравнения:

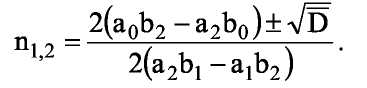
Вычислим критические точки n1 и n2 функции f(n): Если a1b2 − a2b1 ≠ 0, то, учитывая

получим: Если D≥0,то

Если D < 0, то действительных критических точек нет. Если же a2b1 − a1b2 = 0, то

Нахождение угловых точек осуществляется в результате анализа функции

Угловые точки означают пересечение графика данной функции с осью абсцисс, то есть точки, где график функции резко меняет направление, поскольку данная функция является зеркальным отображением функции f ()n j (то есть отрицательные области графика зеркально отображаются относительно оси абсцисс).
Исходя из числителя функции, которая является линейной, очевидно нали-
чие либо одной такой точки, либо вовсе ее отсутствие.

Откуда

Итак, когда найдены B1 и B2 - точки разрыва, и E1, E2 - точки экстремума f()n и угловая точка G для функции
f ()n, определим интервал [nx;n0], на котором следует искать минимальный N()ε:
nx =max{B1,B2,E1,E2,G},
n0 - теоретически найденный номер аналитическим методом.
Теперь непосредственно рассмотрим вычислительные процедуры для нахождения N()ε, то есть три численных метода, которые применялись для вычисления минимального номера N(ε) при разработке программы "NUMBERS".
Метод золотого сечения
Золотое сечение, открытое Евклидом, состоит в разбиении интервала [а; b] точкой x на две части таким образом, чтобы отношение длины всего интервала к большей части было равно отношению большей части к меньшей:

Золотое сечение производят две точки:

где

(в качестве точки x будем
брать точку х1).
Алгоритм метода золотого сечения для интервала []nx;n0 J следующий:
1. Вычислить значение x.
2. Вычислить значение f()x.
3. Если f(x)< ε, то для дальнейшего деления оставляют интервал [nx;x].
4. Если f(x)≥ ε, то для дальнейшего деления оставляют интервал [x;n0].
Процесс деления продолжают до тех пор, пока длина интервала неопределенности не станет равной 1, то есть точки nx и n0 станут соседними. Искомым N(ε) будет номер n0.
При написании программы использованы стандартные функции: int - получение целой части числа, frac - получение дробной части числа.
Метод Фибоначчи
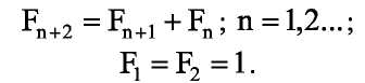
Как известно, числа Фибоначчи определяются соотношениями:

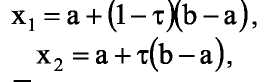
Используя числа Fn, строим n-точечный последовательный метод, который принято называть методом Фибоначчи. Как и метод золотого сечения, метод Фибоначчи состоит в задании на интервале [a;b] точки х1 или симметричной ей точки х2:

В качестве x - точки разбиения интервала будем брать точку хь Алгоритм метода Фибоначчи совпадает с алгоритмом метода золотого сечения. Единственный недостаток метода Фибоначчи в том, что нужно заранее задать количество проходов.
Интересно заметить, что

то есть при достаточно больших n (больше 10) точки разбиения методом Фибоначчи и золотого сечения практически совпадают. Это означает, что в данном случае метод Фибоначчи и метод золотого сечения по своей эффективности одинаковы, что и было подтверждено практическими испытаниями.
Метод дихотомии (бисекции)
Метод дихотомии состоит в разбиении интервала [a;b] точкой x пополам. Алгоритм метода дихотомии аналогичен алгоритму метода золотого сечения. Метод дихотомии является менее эффективным в данном случае, чем методы золотого сечения и Фибоначчи.
Описание лабораторной работы
Лабораторная работа по нахождению минимального номера N()ε может быть разделена на три этапа: I этап "Творческий поиск"
Студентам индивидуально-аналитическим методом оценок предлагается найти номер n0, начиная с которого выполняется xn − A < ε (например, ε = 0,05). Ввиду индивидуальности задания и различия способов оценки неравенства пути поиска решения проблемы могут быть весьма различными. IIэтап "Соревнование"
Данный этап подразумевает отыскание более точного значения номера n0 с аналогичными условиями выполнения. Студенты разделяются на m групп по 3 -4 человека, находят оптимальный общий метод оценки, благодаря чему вносится элемент соревнования, основанный на нахождении каждой из групп более точной оценки.
Преподаватель фиксирует найденные в группах номера nk (k = 1, 2, ….. , m) и оценивает правильность и эффективность оценочных процедур. /// этап "Нахождение минимального номера N()ε"
Данный этап является заключительным, поскольку именно здесь студенты получают возможность вычислить минимальный номер N(ε), начиная с которого выполняется неравенство

Предлагаются два возможных пути решения данной задачи: - Последовательное снижение по номерам вниз до тех пор, пока выполняется

< ε (что является трудоемким процессом и неэффективным);
- Использование одного из численных методов (золотого сечения, Фибоначчи или метод дихотомии (бисекции));
- Использование метода случайного поиска.
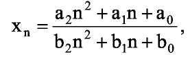
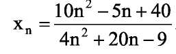
Ниже представлено описание соответствующей программы для нахождения N(ε) при ε = 0,05 и n0 =10000 для последовательности

Описание программы
Итак, перейдем непосредственно к программе "NUMBERS", реализующей следующие задачи:
1. Определение минимального номера N(ε) по заданным коэффициентам последовательности a0, a1, a2, b0, b1, b2 и ε.
2. Отслеживание на графике характера функции f(n), определение ее точек разрыва, экстремума и угловой точки, интервалов возрастания и убывания.
Сначала необходимо из окна главного меню войти в режим программирования (PRGM), находящийся под восьмым номером, при помощи активации соответствующей пиктограммы нажатием клавиши "EXE" (рис. 3,a). Затем из представленного списка выбрать программу с именем "NUMBERS"и активизировать ее аналогичным способом (рис. 3,b). Началом работы программы является окно приветствия с полным названием программы "PROGRAM MIN N(E) OF
SQRT POSL" (программа определения номера N()ε, рис. 3,c). Очередное нажатие клавиши "EXE" открывает диалоговое окно для последовательного ввода значений коэффициентов последовательности a0, a1, a2, b0, b1, b2, а также ε и n0.
После ввода значений вышеуказанных параметров последующее нажатие клавиши "EXE" приводит к появлению меню со следующими составляющими (рис. 3,d):
- CONTINUING CALC (1) - подтверждение выполнения последующих вычислительных операций;
- RELOAD FUNCT (2) - только перезагрузка коэффициентов последовательности a0, a1, a2, b0, b1, b2;
- RELOAD LIMIT (3) - только перезагрузка значений ε и n0;
- RELOAD ALL (4) - перезагрузка коэффициентов последовательности a0, a1, a2, b0, b1, b2 и значений ε и n0;
- EXIT (5) - выход из программы.
После очевидного выбора продолжения расчетов путем ввода цифры "1" и нажатия клавиши "EXE" мы попадаем в следующее меню с ниже перечисленными составляющими (рис. 3, e):
- FIND POINTS RAZR (1) - вычисление значений n, при которых функция, отражающая последовательность, имеет точки разрыва (точки B1 и В2);
- FIND POINTS EXTR (2) - вычисление значений n, при которых функция, отражающая последовательность, имеет точки экстремума (точки Е1 и Е2);
- FIND POINTS ANGL (3) - вычисление значения n, при которой функция, отражающая последовательность, имеет угловую точку (точка G);
- FIND NUMBER N(E) (4) - выбор номера nx как наибольшего из выше найденных, то есть
- nx =max{B1,B2,E1,E2,G};
- CALCUL N(E) (5) - переход к выполнению расчетов минимального номера N(ε);
- EXIT (6) - возврат в предыдущее меню.
Особого внимания заслуживают первые три позиции списка, поскольку процесс нахождения точек осуществляется, во-первых, аналитическим методом (согласно описанным выше алгоритмам нахождения соответствующих точек), а, во-вторых, графическим методом (строится соответствующий график, на котором можно визуально отследить правильность результатов вычислений), что отражено в следующих копиях с экранов калькулятора: определение точек разрыва (рис. 3, g и рис. 3, h), точек экстремума (рис. 3, i и рис. 3, k) и, наконец, угловой точки (рис. 3,l и рис. 3, m).
В очередной раз после очевидного выбора продолжения расчетов путем ввода цифры "4" и нажатия клавиши "EXE" мы попадаем в следующее меню с ниже перечисленными составляющими (рис. 3, f):
- MET GOLD SECHEN (1) - вычисление значения N(ε) с помощью метода золотого сечения (рис. 3, n);
- MET FIBONACH (2) - вычисление значения N(ε) с помощью метода Фибоначчи (рис. 3, o);
- MET DIHOPTR (3) - вычисление значения N(ε) с помощью метода дихотомии (бисекции) (рис. 3, p);
- ITOGY (4) - просмотр сравнительных итогов полученных результатов с последовательным указанием методов вычислений со значениями количества шагов вычислений (STEPS) и N(ε) (в программе NE) (рис. 3, n, o, p) и выводом результирующей таблицы (рис. 4,
q);
- EXIT (5) - возврат в предыдущее меню.
Следует отметить один важный плюс данной программы, который заключается в том, что при просмотре сравнительных итогов (ITOGY (4)) дополнительно выдается таблица (рис. 3, r), в столбцах которой последовательно отражается следующая информация:
чений пяти номеров выше; - разница между значениями функции
f()n иε.
Однако на одной таблице дело не заканчивается.
После нажатия клавиши "EXE" возникает графическое окно (рис. 3, s), в котором строятся два графика, один из которых - график функции f ()n, а другой - график прямой линии f(x) = ε,
при этом масштабы окна автоматически формируются таким образом, чтобы картинка реально и четко отражала место их взаимного пересечения - графическая интерпретация нахождения минимального номера N()ε.
Необходимо отметить, что в данной программе реализован принцип сохранения значений всех промежуточных вычислений в соответствующие последовательно идущие таблицы или списки (рис. 3,u), доступ к которым возможен только после окончательного выполнения программы через главное меню путем активации с помощью клавиши "EXE" режима выполнения статистических расчетов, размещенного в виде пиктограммы под цифрой "2" (STAT) в данном меню. Содержимое листа или списка под номером 20 соответствует полученному в ходе выполнения программы ряда Фибоначчи, для которого в процессе выполнения программы вручную задаются начальный и конечный номер членов для построения ряда.
Результаты расчетов (рис. 3, q) оседают в матрице "Z", а содержимое таблицы (рис. 3, r) оседает в матрице "V". Их можно всегда с успехом просмотреть.
Завершая описание программы, отметим полученные в результате ее работы итоги расчетов в таблице 1 с указанием для каждого из трех методов вычисления N(ε) количества шагов, минимального найденного номера и времени расчета..
1TINUING CRLC (I)
RELOFlD FUNCT <2>
RELORD LIMIT (3)
RELORD FILL <А)
EXIT <5>?
Ргоэгт List GEOTRIflN IB
LEBEG LERH
EXE lEOITlHEW I DEL I QELft I C> I
MET GOLD SECHEN <1>
MET FIBONRCH <2>
MET DIHOPTR C3?
: ITOGV C4>
OR EXIT <5>?
f)
(1)
263.00000
- Oisp -
I QftfHlCftLOfErfflHT R FDIJ T [
TUTCftlTyM
TWO_POINTS POSL EXTI 3.30964:
IJOC-
-1.0369151 - Disp
Таблица 1
Результаты проведенных на калькуляторе расчетов минимального номера N(ε) для заданной числовой последовательности
|
Параметры расчета |
Наименование расчетного метода минимального номера N(ε) |
||
|
Метод золотого сечения |
Метод Фибоначчи |
Метод дихотомии (би-секции) |
|
|
Количество шагов |
12 |
12 |
13 |
|
Минимальный номер N(ε) |
268 |
268 |
268 |
|
Время расчета |
я 5 сек. |
я 8 сек. |
я 5 сек. |
Заключение
В заключении статьи необходимо отметить особую важность написания программ, подобной выше изложенной, по нескольким причинам:
- В качестве задачи берется реально существующая проблемная ситуация - отличный пример наглядного моделирования.
- Необходимость построения листинга программ с учетом трех методов решения представленной проблемы.
- Обширная область для построения дизайна программы с учетом удобства пользовательского интерфейса. После окончания работы с программой имеется возможность просмотреть и проследить все шаги выполнения промежуточных расчетов для последующего анализа
Список литературы
1. Дидактический модуль по математическому анализу: Теория и практика: Учебное пособие / Под ред. Е И. Смирнова. Ярославль: Изд-во ЯГПУ, 2002. 181с.
2. Подготовка учителя математики: Инновационные подходы: Учеб. пособие / Под ред. В.Д. Шадри-кова. М.: Гардарики, 2002. 383 с.: ил.
3. Современные зарубежные микрокалькуляторы / В.П. Дьяконов. М.: СОЛОН-Р. 400 с.
Для подготовки данной применялись материалы сети Интернет из общего доступа