Законы Кеплера (работа 2)
Законы Кеплера.
Три закона движения планет относительно Солнца были выведены эмпирически немецким астрономом Иоганном Кеплером в начале XVII века. Это стало возможным благодаря многолетним наблюдениям датского астронома Тихо Браге.
Первый закон Кеплера. Каждая планета движется по эллипсу, в одном из фокусов которого находится Солнце.
Второй закон Кеплера (закон равных площадей). Радиус-вектор планеты за равные промежутки времени описывает равновеликие площади. Другая формулировка этого закона: секториальная скорость планеты постоянна.
Третий закон Кеплера. Квадраты периодов обращений планет вокруг Солнца пропорциональны кубам больших полуосей их эллиптических орбит.
Современная формулировка
первого закона дополнена так: в
невозмущенном движении орбита движущегося
тела есть кривая второго порядка –
эллипс, парабола или гипербола. В отличие
от двух первых, третий закон Кеплера
применим только к эллиптическим орбитам.
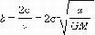
Скорость движения планеты в перигелии:
где
vc – средняя или круговая
скорость планеты при r =
a. Скорость движения в
афелии:
Кеплер
открыл свои законы эмпирическим путем.
Ньютон вывел законы Кеплера из закона
всемирного тяготения. Для определения
масс небесных тел важное значение имеет
обобщение Ньютоном третьего закона
Кеплера на любые системы обращающихся
тел.
010009000003daa700000000b5a7000000000400000003010800050000000b0200000000050000000c029000c900030000001e000400000007010400b5a70000410b2000cc008f00c800000000008f00c8000000000028000000c80000008f0000000100180000000000284f010000000000000000000000000000000000fffffffffffffffffffffffffffffffffffffffffffffffffffffffffffffffffffffffffffffffffffffffffffffffffffffffffffffffffffffffffffffffffffffffffffffffffffffffffffffffffffffffffffffffffffffffffffffffffffffffffffffffffffffffffffffffffffffffffffffffffffffffffffffffffffffffffffffffffffffffffffffffffffffffffffffffffffffffffffffffffffffffffffffffffffffffffffffffffffffffffffffffffffffffffffffffffffffffffffffffffffffffffffffffffffffffffffffffffffffffffffffffffffffffffffffffffffffffffffffffffffffffffffffffffffffffffffffffffffffffffffffffffffffffffffffffffffffffffffffffffffffffffffffffffffffffffffffffffffffffffffffffffffffffffffffffffffffffffffffffffffffffffffffffffffffffffffffffffffffffffffffffffffffffffffffffffffffffffffffffffffffffffffffffffffffffffffffffffffffffffffffffffffffffffffffffffffffffffffffffffffffffffffffffffffffffffffffffffffffffffffffffffffffffffffffffffffffffffffffffffffffffffffffffffffffffffffffffffffffffffffffffffffffffffffffffffffffffffffffffffffffffffffffffffffffffffffffffffffffffffffffffffffffffffffffffffffffffffffffffffffffffffffffffffffffffffffffffffffffffffffffffffffffffffffffffffffffffffffffffffffffffffffffffffffffffffffffffffffffffffffffffffffffffffffffffffffffffffffffffffffffffffffffffffffffffffffffffffffffffffffffffffffffffffffffffffffffffffffffffffffffffffffffffffffffffffffffffffffffffffffffffffffffffffffffffffffffffffffffffffffffffffffffffffffffffffffffffffffffffffffffffffffffffffffffffffffffffffffffffffffffffffffffffffffffffffffffffffffffffffffffffffffffffffffffffffffffffffffffffffffffffffffffffffffffffffffffffffffffffffffffffffffffffffffffffffffffffffffffffffffffffffffffffffffffffffffffffffffffffffffffffffffffffffffffffffffffffffffffffffffffffffffffffffffffffffffffffffffffffffffffffffffffffffffffffffffffffffffffffffffffffffffffffffffffffffffffffffffffffffffffffffffffffffffffffffffffffffffffffffffffffffffffffffffffffffffffffffffffffffffffffffffffffffffffffffffffffffffffffffffffffffffffffffffffffffffffffffffffffffffffffffffffffffffffffffffffffffffffffffffffffffffffffffffffffffffffffffffffffffffffffffffffffffffffffffffffffffffffffffffffffffffffffffffffffffffffffffffffffffffffffffffffffffffffffffffffffffffffffffffffffffffffffffffffffffffffffffffffffffffffffffffffffffffffffffffffffffffffffffffffffffffffffffffffffffffffffffffffffffffffffffffffffffffffffffffffffffffffffffffffffffffffffffffffffffffffffffffffffffffffffffffffffffffffffffffffffffffffffffffffffffffffffffffffffffffffffffffffffffffffffffffffffffffffffffffffffffffffffffffffffffffffffffffffffffffffffffffffffffffffffffffffffffffffffffffffffffffffffffffffffffffffffffffffffffffffffffffffffffffffffffffffffffffffffffffffffffffffffffffffffffffffffffffffffffffffffffffffffffffffffffffffffffffffffffffffffffffffffffffffffffffffffffffffffffffffffffffffffffffffffffffffffffffffffffffffffffffffffffffffffffffffffffffffffffffffffffffffffffffffffffffffffffffffffffffffffffffffffffffffffffffffffffffffffffffffffffffffffffffffffffffffffffffffffffffffffffffffffffffffffffffffffffffffffffffffffffffffffffffffffffffffffffffffffffffffffffffffffffffffffffffffffffffffffffffffffffffffffffffffffffffffffffffffffffffffffffffffffffffffffffffffffffffffffffffffffffffffffffffffffffffffffffffffffffffffffffffffffffffffffffffffffffffffffffffffffffffffffffffffffffffffffffffffffffffffffffffffffffffffffffffffffffffffffffffffffffffffffffffffffffffffffffffffffffffffffffffffffffffffffffffffffffffffffffffffffffffffffffffffffffffffffffffffffffffffffffffffffffffffffffffffffffffffffffffffffffffffffffffffffffffffffffffffffffffffffffffffffffffffffffffffffffffffffffffffffffffffffffffffffffffffffffffffffffffffffffffffffffffffffffffffffffffffffffffffffffffffffffffffffffffffffffffffffffffffffffffffffffffffffffffffffffffffffffffffffffffffffffffffffffffffffffffffffffffffffffffffffffffffffffffffffffffffffffffffffffffffffffffffffffffffffffffffffffffffffffffffffffffffffffffffffffffffffffffffffffffffffffffffffffffffffffffffffffffffffffffffffffffffffffffffffffffffffffffffffffffffffffffffffffffffffffffffffffffffffffffffffffffffffffffffffffffffffffffffffffffffffffffffffffffffffffffffffffffffffffffffffffffffffffffffffffffffffffffffffffffffffffffffffffffffffffffffffffffffffffffffffffffffffffffffffffffffffffffffffffffffffffffffffffffffffffffffffffffffffffffffffffffffffffffffffffffffffffffffffffffffffffffffffffffffffffffffffffffffffffffffffffffffffffffffffffffffffffffffffffffffffffffffffffffffffffffffffffffffffffffffffffffffffffffffffffffffffffffffffffffffffffffffffffffffffffffffffffffffffffffffffffffffffffffffffffffffffffffffffffffffffffffffffffffffffffffffffffffffffffffffffffffffffffffffffffffffffffffffffffffffffffffffffffffffffffffffffffffffffffffffffffffffffffffffffffffffffffffffffffffffffffffffffffffffffffffffffffffffffffffffffffffffffffffffffffffffffffffffffffffffffffffffffffffffffffffffffffffffffffffffffffffffffffffffffffffffffffffffffffffffffffffffffffffffffffffffffffffffffffffffffffffffffffffffffffffffffffffffffffffffffffffffffffffffffffffffffffffffffffffffffffffffffffffffffffffffffffffffffffffffffffffffffffffffffffffffffffffffffffffffffffffffffffffffffffffffffffffffffffffffffffffffffffffffffffffffffffffffffffffffffffffffffffffffffffffffffffffffffffffffffffffffffffffffffffffffffffffffffffffffffffffffffffffffffffffffffffffffffffffffffffffffffffffffffffffffffffffffffffffffffffffffffffffffffffffffffffffffffffffffffffffffffffffffffffffffffffffffffffffffffffffffffffffffffffffffffffffffffffffffffffffffffffffffffffffffffffffffffffffffffffffffffffffffffffffffffffffffffffffffffffffffffffffffffffffffffffffffffffffffffffffffffffffffffffffffffffffffffffffffffffffffffffffffffffffffffffffffffffffffffffffffffffffffffffffffffffffffffffffffffffffffffffffffffffffffffffffffffffffffffffffffffffffffffffffffffffffffffffffffffffffffffffffffffffffffffffffffffffffffffffffffffffffffffffffffffffffffffffffffffffffffffffffffffffffffffffffffffffffffffffffffffffffffffffffffffffffffffffffffffffffffffffffffffffffffffffffffffffffffffffffffffffffffffffffffffffffffffffffffffffffffffffffffffffffffffffffffffffffffffffffffffffffffffffffffffffffffffffffffffffffffffffffffffffffffffffffffffffffffffffffffffffffffffffffffffffffffffffffffffffffffffffffffffffffffffffffffffffffffffffffffffffffffffffffffffffffffffffffffffffffffffffffffffffffffffffffffffffffffffffffffffffffffffffffffffffffffffffffffffffffffffffffffffffffffffffffffffffffffffffffffffffffffffffffffffffffffffffffffffffffffffffffffffffffffffffffffffffffffffffffffffffffffffffffffffffffffffffffffffffffffffffffffffffffffffffffffffffffffffffffffffffffffffffffffffffffffffffffffffffffffffffffffffffffffffffffffffffffffffffffffffffffffffffffffffffffffffffffffffffffffffffffffffffffffffffffffffffffffffffffffffffffffffffffffffffffffffffffffffffffffffffffffffffffffffffffffffffffffffffffffffffffffffffffffffffffffffffffffffffffffffffffffffffffffffffffffffffffffffffffffffffffffffffffffffffffffffffffffffffffffffffffffffffffffffffffffffffffffffffffffffffffffffffffffffffffffffffffffffffffffffffffffffffffffffffffffffffffffffffffffffffffffffffffffffffffffffffffffffffffffffffffffffffffffffffffffffffffffffffffffffffffffffffffffffffffffffffffffffffffffffffffffffffffffffffffffffffffffffffffffffffffffffffffffffffffffffffffffffffffffffffffffffffffffffffffffffffffffffffffffffffffffffffffffffffffffffffffffffffffffffffffffffffffffffffffffffffffffffffffffffffffffffffffffffffffffffffffffffffffffffffffffffffffffffffffffffffffffffffffffffffffffffffffffffffffffffffffffffffffffffffffffffffffffffffffffffffffffffffffffffffffffffffffffffffffffffffffffffffffffffffffffffffffffffffffffffffffffffffffffffffffffffffffffffffffffffffffffffffffffffffffffffffffffffffffffffffffffffffffffffffffffffffffffffffffffffffffffffffffff7f7f7fffffffffffffffffff7f7f7fffffffffffffffffffffffffffffffffffffffffffffffffffffffffffffffffff7f7f7fffffffffffffffffff7f7f7fffffffffffffffffff7f7f7fffffffffffffffffff7f7f7fffffffffffffffffffffffffffffffffffffffffffffffffffffffffffffffffff7f7f7fffffffffffffffffff7f7f7fffffffffffffffffffffffffffffffffffffffffffffffffffffffffffffffffff7f7f7fffffff7f7f7ffffffffffffffffffffffffffffffffffffffffffffffffffffffffffffffffffffffffffffffffffffffffffffffffffffffffffffffffffffffffffffffffffffffffffffffffffffffffffffffffffffffffffffffffffffffffffffffffffffffffffffffffffffffffffffffffffffffffffffffffffffffffffffffffffffffffffffffffffffffffffffffffffffffffffffffffffffffffffffffffffffffffffffffffffffffffffffffffffffffffffffffffffffffffffffffffffffffffffffffffffffffffffffffffffffffffffffffffffffffffffffffffffffffffffffffffffffffffffffffffffffffffffffffffffffffffffffffffffffffffffffffffffffffffffffffffffffffffffffffffffffffffffffffffffffffffffffffffffffffffffffffffffffffffffffffffffffffffffffffffffffffffffffffffffffffffffffffffffffffffffffffffffffffffffffffffffffffffffffffffffffffffffffffffffffffffefefeffffffffffffff7f7f7ffffffffffffffffffffffffadadadfffffffffffffffffffffffffffffffffffffffffff7f7f7cececeffffffa5a5a5ffffffffffffffffffffffffffffffffffffefefefcececeffffffffffffffffffffffffffffffffffffffffffffffffadadadffffffffffffffffffffffffffffffffffffffffffffffffffffffffffffffffffffffffffffffffffffffffffffffffffffffffffffffffffffffffffffffffffffffffffffffffffffffffffffffffffffffffffffffffffffffffffffffffffffffffffffadadadffffffffffffffffffffffffffffffffffffffffffffffffffffffffffffffffffffffffffffffffffffffffffffffffffffffffffffffffffffffffffffffffffffffffffffffffffffffffffffffffffffffffffffffffffffffffffffffffffffffffffffffffffffffffffffffffffffffffffffffffffffffffffffffffffffffffffffffffffffffffffffffffffffffffffffffffffffffffffffffffffffffffffffffffffffffffffffffffffffffffffffffffffffffffffffffffffffffffffffffffffffffffffffffffffffffffffffffffffffffffffffffffffffffffffffffffffffffffffffffffffffffffffffffffffffffffffffffffffffffffffffffffffffffffffffffffffffffffffffffffffffffffffffffffffffffffffffffffffffffffffffffffffffffffffffffffffffffffffffffffffffffffffffffffffffffffffffffffffffffffffffffffffffffffffffffffffffffffffffffffffffffffffffffffffffffffffffffffffffffffffefefefffffffd6d6d6d6d6d6dededed6d6d6cecece949494adadad7b7b7b7b7b7bc6c6c6adadadefefefbdbdbda5a5a5848484bdbdbd5252527b7b7b9c9c9cffffffbdbdbd6b6b6bbdbdbdb5b5b58c8c8ca5a5a5737373737373dededeadadad848484dedede9c9c9c7373737373736b6b6bb5b5b58c8c8cc6c6c6c6c6c6ffffff7b7b7bd6d6d6cececec6c6c6c6c6c6b5b5b5dededef7f7f7b5b5b5efefefa5a5a5b5b5b5dededec6c6c6949494a5a5a59c9c9cf7f7f7cececec6c6c68c8c8cadadadffffffbdbdbdb5b5b58c8c8ca5a5a5b5b5b5cecece848484ffffffbdbdbdd6d6d6c6c6c6c6c6c68c8c8cb5b5b5ffffffa5a5a5fffffffffffff7f7f7ffffffffffffffffffffffffffffffffffffffffffffffffffffffffffffffffffffffffffffffffffffffffffffffffffffffffffffffffffffffffffffffffffffffffffffffffffffffffffffffffffffffffffffffffffffffffffffffffffffffffffffffffffffffffffffffffffffffffffffffffffffffffffffffffffffffffffffffffffffffffffffffffffffffffffffffffffffffffffffffffffffffffffffffffffffffffffffffffffffffffffffffffffffffffffffffffffffffffffffffffffffffffffffffffffffffffffffffffffffffffffffffffffffffffffffffffffffffffffffffffffffffffffffffffffffffffffffffffffffffffffffffffffffffffffffffffffffffffffffffffffffffffffffffffffffffffffffffffffffffffffffffffffffffffffffffffffffffffffffffffffffffffffffffffffffffffffffffffffffffffffffffffffffffffffffffa5a5a5adadade7e7e79c9c9ca5a5a5525252b5b5b56b6b6bb5b5b5737373636363737373737373949494b5b5b58c8c8ca5a5a5393939e7e7e7ffffff8c8c8cc6c6c69494945a5a5abdbdbd6363639c9c9cb5b5b56b6b6b8c8c8c6363637b7b7badadad4a4a4a848484dedede6b6b6b8c8c8cadadad525252a5a5a55252526b6b6b636363d6d6d6949494525252adadadffffff8c8c8cefefef8c8c8c8484848c8c8c9494946363637373734242429c9c9c5a5a5a9494946363638c8c8cffffffa5a5a59494945252526b6b6b7b7b7bc6c6c6ffffffffffffbdbdbda5a5a5bdbdbd3939399494947b7b7bffffff636363fffffffffffffffffffffffff7f7f7fffffffffffffffffffffffffffffffffffffffffffffffffffffffffffffffffffffffffffffffffffffffffffffffffffffffffffffffffffffffffffffffffffffffffffffffffffffffffffffffffffffffffffffffffffffffffffffffffffffffffffffffffffffffffffffffffffffffffffffffffffffffffffffffffffffffffffffffffffffffffffffffffffffffffffffffffffffffffffffffffffffffffffffffffffffffffffffffffffffffffffffffffffffffffffffffffffffffffffffffffffffffffffffffffffffffffffffffffffffffffffffffffffffffffffffffffffffffffffffffffffffffffffffffffffffffffffffffffffffffffffffffffffffffffffffffffffffffffffffffffffffffffffffffffffffffffffffffffffffffffffffffffffffffffffffffffffffffffffffffffffffffffffffffffffffffffffffffffffffff7f7f7ffffffadadadc6c6c6f7f7f7a5a5a5adadad5a5a5a6b6b6b5252529494949c9c9c8c8c8c9c9c9c636363949494949494a5a5a5b5b5b5393939f7f7f7f7f7f78c8c8ca5a5a5848484636363efefef7b7b7b6b6b6ba5a5a59494948484844a4a4a949494adadad5a5a5a8c8c8cffffff6b6b6b5252528484846363638c8c8c4a4a4ac6c6c65a5a5aa5a5a5adadad5a5a5abdbdbdf7f7f77b7b7b9494949c9c9c8484845a5a5a9494948484846363636b6b6b9c9c9c7b7b7b8c8c8c5a5a5a6b6b6bcecece6b6b6b636363636363c6c6c6adadadadadadf7f7f7ffffffdedede6b6b6b8c8c8c737373525252737373d6d6d6525252d6d6d6f7f7f7fffffffffffff7f7f7ffffffffffffffffffffffffffffffffffffffffffffffffffffffffffffffffffffffffffffffffffffffffffffffffffffffffffffffffffffffffffffffffffffffffffffffffffffffffffffffffffffffffffffffffffffffffffffffffffffffffffffffffffffffffffffffffffffffffffffffffffffffffffffffffffffffffffffffffffffffffffffffffffffffffffffffffffffffffffffffffffffffffffffffffffffffffffffffffffffffffffffffffffffffffffffffffffffffffffffffffffffffffffffffffffffffffffffffffffffffffffffffffffffffffffffffffffffffffffffffffffffffffffffffffffffffffffffffffffffffffffffffffffffffffffffffffffffffffffffffffffffffffffffffffffffffffffffffffffffffffffffffffffffffffffffffffffffffffffffffffffffffffffffffffffffffffffffffffffffffffffffffffffadadad6b6b6b848484949494e7e7e7bdbdbde7e7e7e7e7e7adadadefefefe7e7e7efefefd6d6d6d6d6d6adadadffffffcececeb5b5b5ffffffffffffefefefa5a5a5efefef5a5a5a424242b5b5b5d6d6d6a5a5a5ffffffcececec6c6c6ffffffefefefcececedededef7f7f7e7e7e7bdbdbdf7f7f7cececeffffffc6c6c6ffffffdededef7f7f7e7e7e7c6c6c6efefefffffffadadada5a5a5dededecececea5a5a5efefefdededec6c6c6dededeffffffefefefefefefbdbdbddededec6c6c6adadadbdbdbdefefefffffffefefeff7f7f7fffffffffffff7f7f7adadadb5b5b5f7f7f7b5b5b5e7e7e7d6d6d6a5a5a5dededeffffffffffffffffffffffffffffffffffffffffffffffffffffffffffffffffffffffffffffffffffffffffffffffffffffffffffffffffffffffffffffffffffffffffffffffffffffffffffffffffffffffffffffffffffffffffffffffffffffffffffffffffffffffffffffffffffffffffffffffffffffffffffffffffffffffffffffffffffffffffffffffffffffffffffffffffffffffffffffffffffffffffffffffffffffffffffffffffffffffffffffffffffffffffffffffffffffffffffffffffffffffffffffffffffffffffffffffffffffffffffffffffffffffffffffffffffffffffffffffffffffffffffffffffffffffffffffffffffffffffffffffffffffffffffffffffffffffffffffffffffffffffffffffffffffffffffffffffffffffffffffffffffffffffffffffffffffffffffffffffffffffffffffffffffffffffffffffffffffffffffffffffffffffffffffffffffffffffffe7e7e7b5b5b5adadadcececefffffffffffff7f7f7fffffffffffffffffffffffffffffffffffffffffff7f7f7fffffffffffffffffff7f7f7ffffffffffffffffffffffffe7e7e7b5b5b5d6d6d6fffffffffffff7f7f7fffffffffffff7f7f7fffffffffffffffffffffffffffffffffffffffffffffffffffffff7f7f7f7f7f7fffffff7f7f7ffffffefefeffffffffffffffffffffffffffffffff7f7f7fffffff7f7f7fffffff7f7f7ffffffffffffefefeffffffffffffffffffffffffffffffff7f7f7f7f7f7fffffffffffffffffffffffff7f7f7f7f7f7fffffffffffff7f7f7ffffffffffffffffffffffffefefeffffffffffffffffffffffffffffffffffffffffffffffffffffffffffffffffffffffffffffffffffffffffffffffffffffffffffffffffffffffffffffffffffffffffffffffffffffffffffffffffffffffffffffffffffffffffffffffffffffffffffffffffffffffffffffffffffffffffffffffffffffffffffffffffffffffffffffffffffffffffffffffffffffffffffffffffffffffffffffffffffffffffffffffffffffffffffffffffffffffffffffffffffffffffffffffffffffffffffffffffffffffffffffffffffffffffffffffffffffffffffffffffffffffffffffffffffffffffffffffffffffffffffffffffffffffffffffffffffffffffffffffffffffffffffffffffffffffffffffffffffffffffffffffffffffffffffffffffffffffffffffffffffffffffffffffffffffffffffffffffffffffffffffffffffffffffffffffffffffffffffffffffffffffffffffffffffffff7f7f7ffffffffffffffffffffffffffffffffffffffffffffffffffffffefefeff7f7f7fffffff7f7f7fffffffffffff7f7f7fffffff7f7f7ffffffefefefffffffefefeffffffffffffffffffff7f7f7ffffffffffffffffffffffffffffffffffffffffffffffffffffffffffffffffffefefefefefeffffffff7f7f7f7f7f7ffffffefefeffffffff7f7f7fffffffffffffffffffffffffffffff7f7f7efefefffffffffffffffffffffffffffffffffffffffffffffffffffffffffffffefefeffffffffffffffffffff7f7f7f7f7f7ffffffffffffffffffffffffefefeff7f7f7fffffff7f7f7fffffffffffffffffffffffffffffffffffffffffffffffffffffffffffffffffffffffffffffffffffffffffffffffffffffffffffffffffffffffffffffffffffffffffffffffffffffffffffffffffffffffffffffffffffffffffffffffffffffffffffffffffffffffffffffffffffffffffffffffffffffffffffffffffffffffffffffffffffffffffffffffffffffffffffffffffffffffffffffffffffffffffffffffffffffffffffffffffffffffffffffffffffffffffffffffffffffffffffffffffffffffffffffffffffffffffffffffffffffffffffffffffffffffffffffffffffffffffffffffffffffffffffffffffffffffffffffffffffffffffffffffffffffffffffffffffffffffffffffffffffffffffffffffffffffffffffffffffffffffffffffffffffffffffffffffffffffffffffffffffffffffffffffffffffffffffffffffffffffffffffffffffffffffffffffffffffffffffffffffffffffffffffffffffff7fffff7f7f7f7fffffffffff7f7f7f7f7f7fffffffffffff7f7f7fffffffffffff7fffffffffffffffffffffffffffffffffffffffff7fffffffffff7f7f7fffffffffffff7fffff7f7f7fffffff7f7f7fffffffffffff7f7f7fffffff7f7f7ffffffffffffeff7f7ffffffeff7f7fffffffffffff7f7f7ffffffffffffe7efeffffffffffffff7fffff7f7f7fffffffffffffffffff7f7f7fffffffffffff7f7f7f7f7f7fffffff7f7f7ffffffeff7f7ffffffeff7f7fffffff7f7f7ffffffefefeffffffff7fffffffffffffffffffffff7fffffffffff7f7f7fffffff7fffff7f7f7fffffff7f7f7fffffffffffffffffffffffffffffffffffff7f7f7fffffffffffffffffffffffffffffffffffffffffffffffffffffffffffffffffffffffffffffffffffffffffffffffffffffffffffffffffffffffffffffffffffffffffffffffffffffffffffffffffffffffffffffffffffffffffffffffffffffffffffffffffffffffffffffffffffffffffffffffffffffffffffffffffffffffffffffffffffffffffffffffffffffffffffffffffffffffffffffffffffffffffffffffffffffffffffffffffffffffffffffffffffffffffffffffffffffffffffffffffffffffffffffffffffffffffffffffffffffffffffffff7fffffffffffffffffffff7fff7fffffffffffffffffffffffffffffffffffffffffffffffffffffffffffffffffffffffffffffffffffffffffffffffffffffffffffffffffffffffffffffffffffffffffffffffffffffffffffffffffffffffff7fffffffffffffffffffffffffffffffffffffffffffffffffffffffffffffffffffffffffffffffffffffffffffffffffffffffffffffffffffffffffffffffffffffffffffffffffffffffffffffffffffffffffffffffffffffffff7fffff7fff7fffffff7f7f7f7fffffffffffffffffffffffffffffffffff7fff7fffffffffffffffffffffffffffffffffffffffffffffffffffffffffffffffffffffffffffffffffffffffffffffffffffffffffffffffffffffffffffffff7fffffffffff7f7f7ffffffffffffeff7f7fffffff7fffff7fffffffffffffffffffffffffffffffffff7fff7fffffffffffffffffffffffffffffffffffffffffffffffffffffffffffffffffffffffffffffffffffffffffff7fffffffffffffffff7ffffffffffffffffefefeffffffff7fff7ffffffeff7effffffff7fffffffffffffffffffffffffffffffffffffffffffffffffffffffffffffffffffffffffffffffffffffffffffffffffffffffffffffffffffffffffffffffffffffffffffffffffffff7f7effffff7fffffff7f7f7fffffffffff7fffffffffff7fffffffffffffffffffffffffffffffffffffffffffffffffffffffffffffffffffffffffffffffffffffffffffffffffffffffffffffffffffffffffffffffffffffffffffffffffffffffffffffffffffffffffff7fffffffffff7fffffffff7fff7fffffffffff7fffff7fffff7fffffffffffffffffffffffffffffffffffffffffffffffffffffffffffffffffffffffffffffffffffffffffffffffffffffffffffffffffffffffffffffffffffffffffffffffff7fffff7ffffefefeffffffffffffff7fffffffffff7fffffffffffffffffffffffffffffffffffffffffffffffffffffffffffffffffffffffffffffffffffffffffffffffffffffffffffffffffffffffffffffffffffffffffffffff7f7f7fffffffffffffffffffffffffffffffffffff7fff7fffffffffffff7fff7fffffffffffffffffff7fff7fffffffffffffffffffffffffffffffffffffffffffffffffffffffffffffffffffffffffffffffffffffffffffffffffffffffffffffffffff7fffffffffff7f7f7fffffffffffffffffffffffffffffff7f7f7fffffffffffffffffff7fffffffffffffffffffffffffffffffffffffffffffffffffffffffffff7fffffffffffffffffffffffffffffffffff7ffffffffffeff7f7fffffffffffff7fffffffffffffffffffffffffffff7fffffffffff7f7f7fffffffffffff7fffff7f7f7fffffffffffffffffffffffffffffffffffffffffffffffffffffffffffffffffffffffffffffffffffffffffffffffffffffff7fff7fffffffffffffffffffffffffffffff7f7f7fffffffffffffffffffffff7fffffffffffff7f7effffffffffffffffffffffffffffffffffffffffffffffffffffffffffffffffffffffffffffffffffffffffffffffffffffffffffffffffffffffffffffffffffffffffffffffffffffffffffffffffffff7eff7ffffff7b8484adbdadfffffffffffff7fff7fffffffffffffffffffffffffffffffffffffffffffffffffffffffffffffffffffffffffffffffffffffffffffffffffffffffffffffffffffffffffffffffffffffffffffffffff7f7f7f7f7f7848484adadaddedede737373eff7f7fffffffffffffffffffffffffffffffffffffffffffffffffffffffffffffffffffffffffffffffffffffffffffffffffffffffffffffffffffffffffffffffffffffffffffffffffffffffffffff7f7f7848c8cb5b5b5a5a5a5949494d6d6d67b8484dededeffffffffffffffffffffffffffffffffffffffffffffffffffffffffffffffffffffffffffffffffffffffffffffffffffffffffffffffffffffffffffffffffffffffffffefefefffffffdedede5a5a5abdbdbd636363e7e7e79c9c9c949494e7e7e7fffffffffffff7ffffffffffffffffffffffffffffffffffffffffffffffffffffffffffffffffffffffffffffffffffffffffffffffffffffffffffffffffffffffffffffefefefeff7f75a5a5a8c8c8cbdbdbd7b8484e7e7e7737b7bc6c6c6fffffff7fffff7f7f7f7ffffffffffffffffffffffffffffffffffffffffffffffffffffffffffffffffffffffffffffffffffffffffffffffffffffffffffffffffffffffffffffffffffadada5524a4aadada5737373c6c6bdbdbdb58c8c84f7f7f7fffffffffffffffffffff7f7fffffffffffffffffffffffffffffffffffffffffffffffffffffffffffffffffffffffffffffffffffffffffffffffffffffffffffffffffffffffffffffffffffffffffffffffffffffff7eff7ffffffa5a5a5949c94949c94e7efe7f7fff7fffffffffff7ffffffffffffffffffffffffffffffffffffffffffffffffffffffffffffffffffffffffffffffffffffffffffffffffffffffffffffffffffffffffffffffffffffffffffffffffffffffe7dede948c8c7b7b7b736b6b949494ffffffffffffffffffffffffffffffffffffffffffffffffffffffffffffffffffffffffffffffffffffffffffffffffffffffffffffffffffffffffffffffffffffffffffffffffffffffffffffffffff949494a5a5a5a5a5a5949494636363b5b5b59c9c9cffffffffffffffffffffffffffffffffffffffffffffffffffffffffffffffffffffffffffffffffffffffffffffffffffffffffffffffffffffffffffffffffffffffffffffffffffffffdedede7b7b7bffffffe7e7e7423939bdbdbd8c8484d6d6d6fffffffffffffffffffffffffffffffffffffffffffffffffffffffffffffffffffffffffffffffffffffffffffffffffffffffffffffffffffffffffffffffffffffffffffffffff7efef9c9c9c847b7b7b7373848484949494a5a5a5848484fffffffffffffffffffffffffffffffffffffffffffffffffffffffffffffffffffffffffffffffffffffffffffffffffffffffffffffffffffffffffffffffffffffffffffffff7ffffffefefef5a5a5ac6c6bde7e7de8c8c848c8c846b6b63cec6c6fffffffffff7fffffffffffffffffffffffffffffffffffffffffffffffffffffffffffffffffffffffffffffffffffffffffffffffffffffffffffffffffffffffffffffffffffffffffffffffffffffffffffffffffff7f7f7ffffffa5ada59494949ca594e7efe7fffffffffffffffffffffffffffffffffffffffffffffffffffffffffffffffffffffffffffffffffffffffffffffffffffffffffffffffffffffffffffffffffffffffffffffffffffffffff7f7ffffffffffffa59ca57b73739c949c847b84cec6c6ffffffffffffffffffffffffffffffffffffffffffffffffffffffffffffffffffffffffffffffffffffffffffffffffffffffffffffffffffffffffffffffffffffffffffffffffffffffffffffffffff9c949cc6bdbdb5adb59c94946b6363c6bdbda59ca5fffffffffffffff7f7ffffffffffffffffffffffffffffffffffffffffffffffffffffffffffffffffffffffffffffffffffffffffffffffffffffffffffffffffffffffffffffffffffffefe7e79c9c9cefefef736b6b949494b5b5b58c8c8cd6d6d6ffffffffffffffffffffffffffffffffffffffffffffffffffffffffffffffffffffffffffffffffffffffffffffffffffffffffffffffffffffffffffffffffffffffffffffffffffffffbdbdbdada5a57b73738c8c8c848484ada5a5847b7bfffffffff7fffffffffffffffffffffffffffffffffffffffffffffffffffffffffffffffffffffffffffffffffffffffffffffffffffffffffffffffffffffffffffffffffffffff7efeff7f7f7b5adadb5adad948c8c8c8c8c8c8c8c636363cececeffffffffffffffffffffffffffffffffffffffffffffffffffffffffffffffffffffffffffffffffffffffffffffffffffffffffffffffffffffffffffffffffffffffffffffffffffffffffffffffffffffffffffffffffffffeff7efffffff84847badadadfffffffffffff7fff7fffff7ffffffffffffffffffffffffffffffffffffffffffffffffffffffffffffffffffffffffffffffffffffffffffffffffffffffffffffffffffffffffffffffffffffffffffffffffffffffb5adadadadadbdbdbd6b6b6bcec6ceffffffffffffffffffffffffffffffffffffffffffffffffffffffffffffffffffffffffffffffffffffffffffffffffffffffffffffffffffffffffffffffffffffffffffffffffffffffffffffffffff847b7be7dedea59c9c9c9494bdbdbd948c8cded6d6fffffffff7f7fffffffffffffffffffffffffffffffffffffffffffffffffffffffffffffffffffffffffffffffffffffffffffffffffffffffffffffffffffffffffffffffff7f7ffffffded6d6948c8cefe7e7a5a5a5bdb5b5a59c9c948c8cefe7e7fffffffffffff7f7f7ffffffffffffffffffffffffffffffffffffffffffffffffffffffffffffffffffffffffffffffffffffffffffffffffffffffffffffffffffffffffffffffe7e7e78c848cb5adb5b5adad7b737bded6d6736b6bcec6c6fff7fffffffff7f7f7fffffffffffffffffffffffffffffffffffffffffffffffffffffffffffffffffffffffffffffffffffffffffffffffffffffffffffffffffffff7f7ffffffffffffc6c6bd636363efefefada5a5bdb5b5adadad8c8484efefeffffffffffffffffffff7f7f7fffffffffffffffffffffffffffffffffffffffffffffffffffffffffffffffffffffffffffffffffffffffffffffffffffffffffffffffffffffffffffffffffffffffffffffffffffffffffffffffffffffff7f7fff7fffffffffffffffffffffff7fffffffffffffffffffffffffffffffffffffffffffffffffffffffffffffffffffffffffffffffffffffffffffffffffffffffffffffffffffffffffffffffffffffffffffffffffffffffffffffffffff7eff7fffffff7efeffffffffffffffffffffffffffffffffffffffffffffffffffffffffffffffffffffffffffffffffffffffffffffffffffffffffffffffffffffffffffffffffffffffffffffffffffffffffffffffff7fffffffffffffffffffffffffffffffffffffffff7f7fffffffffffffffffffffffffffffffffffffffffffffffffffffffffffffffffffffffffffffffffffffffffffffffffffffffffffffffffffffffffffffffffffffffffffffffffffffff7eff7fffffff7efeffffffffff7fffff7f7fffffffffffffffffffffffffffffffffffffffffffffffffffffffffffffffffffffffffffffffffffffffffffffffffffffffffffffffffffffffffffffffffffffffffffffffffffffffffffffffffffffffffff7f7fffffffffffffffffffffffffffffffffffffff7fffffffffffffffff7fffffffffffffffffffffffffffffffffffffffffffffffffffffffffffffffffffffffffffffffffffffffffffffffffffffffffffffffffffffff7fffffffffff7f7fffffffffffffffffff7f7f7ffffffffffffffffffffffffffffffefefeffffffffffffffffffffffffffffffffffffffffffffffffffffffffffffffffffffffffffffffffffffffffffffffffffffffffffffffffffffffffffffffffffffffffffffffffff7f7f7fffffffffffff7fff7fffffffffffffffffffffffffffffffffffff7fff7fffffff7fff7f7fffff7fffffffffffffffffffffffffffffffffff7fffffffffffffffffffffffffffffffffffffffffffffffffffffffffffffffffffffffffffffffffffff7f7fffffffffffffffffff7f7f7fffffffffffffffffffffffffffffffffffffffffffffffffffffffffffffffffffffffffffffffffffffffffffffffffffffffffffffffffffffffffffffffffffffffffffffffffffffffffffffffffffffffffffffffffffffff7f7fffffffffffffffffffffffffffffffffffffffffffffffffff7fffffffffffffffffffffffffffffffffffffffffffffffffffffffffffffffffffffffffffffffffffffffffffffffffffffffffffffffffffffff7f7fffffffffffffffffff7f7f7fffffffffffffffffffff7f7fffffffffffffffffffffffffffffffffffffffffffffffffffffffffffffffffffffffffffffffffffffffffffff7fffffffffffffffffffffffffffffffffffffffffffffffffffffffffffffffffffffff7fffffffffff7f7fffffffffffff7eff7fffffffffffffffffffffffffffffffffffffffffffffffffffffffffffffffffffffffffffffffffffffffffffffffffffffffffffffffffffffffffffffffffffffffffffffffffffffffffffffff7f7fffffffffffffffffffffffffffffffffffffffffffffffffffffff7f7f7ffffffffffffffffffffffffffffffffffffffffffffffffffffffffffffffffffffffffffffffffffffffffffffffffffffffffffffffffffefefefffffffffffffefefefefefeffffffffffffffffffffff7f7fff7fffffffffff7fffff7fffff7fffffffff7fffff7ffffeffff7f7fffffffffffffffffff7ffffffffeff7f7f7fffffffffff7f7fff7ffffffffffe7efeffffffffffffffffffffffffffffffffffffffffffff7f7fffffffffffffffffffff7f7fffffffffffffff7f7fffffffffffffffffffffffffffffffffffffffffffffffffffffffffffffff7f7fffffffffffffffffffffffffffffffff7fffffffffffffffffffffffffffffffffffffffffffffffffffffffffffffffffffffffffffff7f7fff7f7f7fffffffffffffffffffffffffffffffffffffffffffffffffffffffffffffffffffffffffffffffffffffffffffffffffffffffffffffffffffffffffffffffffffffffffffffffffffffffffffff7fffffffffffffffff7fffff7f7fffffffff7fffff7fffffffffffffffffffffffffffffffffffffffffffffffffffffffffffffffffffffffffffffffffffffffffffffffffffffffffffffffffffffffffffffffffffffffffffffffffffffffffffffffffffffff7f7fffffffffffffffffffff7f7fffffffffffffffffffffffffffffffffffffffffffffffffffffffffffffffffffff7fffffffffffffffffffffffffffffffffffffffffffffffffffffffffffffffffffffffffffffffffffffffff7f7f7f7f7f7fffffffffffff7fffffffffffffffffffffffffffffffffffffffffffffffffffffffffffffffffffffffffffffffffffffffffffffffffffffffffffffffffffffffffffffffffffffffffffffffffffffffffffffffff7f7f7ffffffefefefffffffd6d6d6636363bdbdbdffffffe7efefffffffffffffffefffffe7fffff7fffffffff7fffff7ffffe7fff7e7fff7effffffffffff7f7ffffffffffffffffffffeff7fff7fffffffffff7fffffffffffffffff7fffff7fffff7fffffffffff7fffffffffffffffffffffffffffffffffff7f7fffffffffffffffffffff7fffff7fffff7fffffffffffffffffffffff7ffffffffffffffffffffffffffffffffffffffffffffffeff7fff7fffffffffffffffff7fffffffffff7fffffffffff7fffffffffff7fffffffffff7fffff7ffffeff7fffffffffffffffffffffffffffffffff7fffffffffff7fffffffffff7fffffffffff7fffffffffff7fffffffffffffffffffffff7fffff7fffff7fffffffffff7fffffffffff7fffffffffff7fffffffffff7fffffffffffffffff7ffffeff7f7fffffffffffffffffffffffffffffff7fffffffffff7fffffffffff7fffffffffffffffffffffffffffffffffff7fffffffffffffffffffffff7fffffffffff7fffffffffff7fffffffffff7fffffffffff7fffffffffff7fffffffffffffffffffffffffffffffffff7fffffffffff7fffffffffffffffffffffff7fffffffffffffffffffffff7fffffffffffffffffffffff7fffffffffffffffffffffff7fffffffffff7fffffffffff7fffffffffff7fffffffffff7fffffffffffffffffffffff7fffff7ffffeff7f7fffffffffffffffffffffffffffffffffffffffffffffffffffffffffffffffffffffffffffffffffffffffffffffffffffffffffffffffffffffffffffffffffffffffffffffffffffffffffffffffffff7f7f7fffffff7f7f78c8c8c8c8c8c949494ffffffffffffefdeefa58cadb58cb5b594bdb59cbd948ca594a5a57b9c948cb59c84ad947b9c8c849494a5adb594949c8494948494949cadad94a5a57b848c8c9c9c848c9484949494a5a58c949c8c9ca58c9c9c8c9c9c84949c8c9ca5849494849494949ca59cadad9cadad7b8c948c949c8c9c9c8c9c9c8c9ca58c9c9c949ca58c9c9c8c9ca58c9c9c949ca58c9c9c949ca58c9c9c94a5a58c9c9c8494947b8c8c8c9c9c8c9c9c8c9c9c8c9c9c8c9ca58c9c9c8c9c9c8c9c9c8c9ca58c9c9c9cadad8c9c9c8494948c9c9c9cadad7b8c8c9cadad8494948c9c9c8c9c9c8c9ca58c9c9c8c9c9c8c9c9c8c9ca58c9c9c8c9c9c8c9c9c94a5a58c9ca58c9c9c7b8c948c949c8c9c9c8c9c9c8c9c9c8c9ca58c9c9c8c9c9c8c9c9c8c9ca58c9c9c94a5a584949c8c9c9c949ca594a5ad6b737b8c9c9c949ca58c9c9c8c9c9c8c9ca58c9c9c8c9ca58c9c9c949ca58c9c9c949ca58c9c9c8c9c9c8c9c9c8c9c9c8494948c9c9c8c949c8c9c9c8c9c9c8c9ca58c9c9c8c9c9c8c9c9c8c9ca58c9c9c8c9ca58c9c9c94a5a58c949c94a5a58494947384848c9c9c8c9ca58c9c9c949ca58c9c9c8c9ca58c9c9c949ca58c9c9c8c9c9c8c9c9c949ca58c9c9c8c9ca58c9c9c8c9c9c84949c8c9c9c8c9c9c8c9ca58c9c9c8c9c9c8c9c9c8c9ca58c9c9c8c9c9c8494948c9c9c8c9c9c8494948c949494a5a5c6cecefffffffffffffffffffffffffffffffffffffffffffffffffffffffffffffffffffffffffffffffffffffffffffffffffffffffffffffffffffffffffffffffffffffffffffffffff7f7f7fffffff7f7f7ffffffffffffa5a5a56b6b6ba5a5a5f7f7f7ffffff947b943110314a184a9c73a5ceadd6c6b5ceb5bdc6a5c6bda5cebda5d6bda5cebda5c6bdc6ced6b5bdc6c6d6d6b5c6c6bdcece737b84738c8ccededeadbdbdbdd6d6b5c6ceadc6c6adc6c6adc6c69cbdbda5bdbdadc6c6b5cecea5c6c6adc6c69cb5b59cb5b55a73738ca5a5a5bdbdb5d6d6adc6c6adc6c6adc6c6adc6c6adc6c6adc6c6adc6c6adc6c6adc6c6adc6c6adc6c6adc6c69cb5b59cbdbda5bdbdadc6c6adc6c6adc6c6adc6c6adc6c6adc6c6adc6c6adc6c6adc6c694adadadceceb5ceceadc6c694adad5273739cb5b5adceceadc6c6adc6c6adc6c6adc6c6adc6c6adc6c6adc6c6adc6c6a5bdbdadc6c6adc6c6adcecea5bdbda5bdbda5bdbdadc6c6adc6c6adc6c6adc6c6adc6c6adc6c6adc6c6adc6c6adc6c6a5bdbdadc6c6adc6c6b5cecea5bdbd6b84849cb5b5adceceadc6c6adc6c6adc6c6adc6c6adc6c6adc6c6adc6c6adc6c6adc6c6adc6c6a5bdbdadc6c6adc6c6a5c6c6a5bdbda5c6c6adc6c6adc6c6adc6c6adc6c6adc6c6adc6c6adc6c6adc6c6adc6c6b5ceceadc6c6a5c6c6adc6c69cb5b57b9494a5bdbdadc6c6adc6c6adc6c6adc6c6adc6c6adc6c6adc6c6adc6c6adc6c6adc6c6adc6c6adc6c6adc6c6a5c6c6a5bdbda5bdbdadc6c6adc6c6adc6c6adc6c6adc6c6adc6c6adc6c6adc6c6adc6c6a5c6bdadc6bdb5ceceb5c6c6b5cec68c9c9c9cadadf7fffffffffff7fffffffffffffffffffffffffffffffffffffffffffffffffffffffffffffffffffffffffffffffffffffffffffffffffffffffffffffffffffffffffffffffffffffffffffffffffffff7f7f7ffffffe7e7e7949494d6d6defffffffff7ffb594b54a21524a104a844a8cffeffffff7fff7ffffe7ffffc6ffe7ceffefe7ffffe7ffffe7f7ffeff7ffc6d6d6adbdbdefffff94adad94a5adbdd6d6efffffdef7f7adcecebddededeffffe7ffffe7ffffdeffffdeffffd6ffffe7ffffe7ffffe7ffffe7ffffc6e7e7e7ffffe7ffffd6f7f7e7ffffdeffffe7ffffdeffffe7ffffdeffffe7ffffdeffffe7ffffdeffffe7ffffdeffffdeffffdeffffe7ffffdeffffe7ffffdeffffe7ffffdeffffe7ffffdeffffe7ffffdeffffefffffe7ffffdeffffd6ffffefffffbddedee7ffffdeffffe7ffffdeffffe7ffffdeffffe7ffffdeffffe7ffffdeffffe7ffffdeffffe7ffffdeffffe7ffffdeffffe7ffffdeffffe7ffffdeffffe7ffffdeffffe7ffffdeffffe7ffffdeffffe7ffffdeffffe7ffffdeffffefffffb5dedee7ffffdeffffe7ffffdeffffe7ffffdeffffe7ffffdeffffe7ffffdeffffe7ffffdeffffe7ffffdeffffe7ffffdeffffe7ffffdeffffe7ffffdeffffe7ffffdeffffe7ffffdeffffe7ffffdeffffe7ffffe7ffffe7ffffdeffffefffffd6f7f7c6e7e7e7ffffe7ffffdeffffe7ffffdeffffe7ffffdeffffe7ffffdeffffe7ffffdeffffe7ffffdeffffe7ffffdeffffdeffffd6ffffe7ffffdeffffe7ffffdeffffe7ffffdeffffe7ffffe7ffffefffffe7ffffefffffe7ffffefffffefffffadc6c694a5a5f7fffff7ffffffffffffffffffffffffffffffffffffffffffffffffffffffffffffffffffffffffffffffffffffffffffffffffffffffffffffffffffffffffffffffffffffffffffffffffffffefefefffffffefefefffffffffffffffffffefeff7ffefffceadce5a29635a18636b3173ffd6ffffefffd6deefdeffff4a846bceffe729634aa5cec673848cc6ced67b8c948c9c9c6b7b7b7b9494526b6b738c8c94b5b58cadad5a7b7b739c9ca5cec6cef7f7cef7f7cef7f7cefff7d6ffffd6ffffd6ffffcef7f7cefff79ccecec6efefd6ffffd6ffffd6ffffd6ffffd6ffffd6ffffd6ffffd6ffffd6ffffd6ffffd6ffffceffffd6ffffd6ffffceffffd6ffffd6ffffceffffd6ffffd6ffffd6ffffd6ffffd6ffffd6ffffd6ffffd6ffffc6f7efd6ffffd6ffffd6ffffc6f7efa5ceced6ffffd6ffffd6ffffd6ffffd6ffffd6ffffd6ffffd6ffffd6ffffd6ffffd6ffffd6ffffcefff7d6ffffd6ffffd6ffffd6ffffd6ffffd6ffffd6ffffd6ffffd6ffffd6ffffd6ffffd6ffffd6ffffd6ffffd6ffffcef7f7ceffffdeffffbdefefd6ffffd6ffffceffffd6ffffd6ffffd6ffffd6ffffd6ffffd6ffffd6ffffd6ffffd6ffffd6ffffd6ffffd6ffffd6ffffd6ffffd6ffffd6ffffd6ffffd6ffffd6ffffd6ffffd6ffffd6ffffd6ffffcef7f7d6ffffd6ffffd6ffffdeffffcef7f7b5deded6ffffd6ffffd6ffffd6ffffd6ffffd6ffffd6ffffd6ffffd6ffffcefff7d6ffffd6ffffd6ffffd6ffffd6ffffd6ffffd6ffffd6ffffd6ffffd6ffffd6ffffd6ffffd6ffffd6ffffd6ffffd6ffffd6ffffd6ffffcef7f7ceefefe7ffffa5bdbd9cadb5effffff7fffff7fffffffffffffffffffffffffffffffffffffffffffffffffffffffffffffffffffffffffffffffffffffffffffffffffffffffffffffffffffffffffffffffffff7f7f7fffffffffffff7f7f7ffffffffffffefefeffffffffffffffff7fff7cef76b397352085a4a0852ad84c6f7deffefffffd6fff76ba58c73b594528c73527b737b8c8cbdced6849c9cb5cece5a73739cb5bdb5d6d6c6e7e76b8c8c7ba5a5cef7f7c6f7efd6ffffd6ffffceffffbdf7f7ceffffd6ffffceffffceffffdeffffd6ffffb5e7e7bdefefd6ffffd6ffffceffffceffffd6ffffceffffceffffceffffd6ffffceffffd6ffffc6fff7d6ffffceffffceffffceffffd6ffffceffffd6ffffceffffd6ffffceffffd6ffffceffffd6ffffceffffd6ffffd6ffffd6ffffceffffcefff7b5e7e7d6ffffc6fff7d6ffffceffffd6ffffceffffd6ffffceffffd6ffffceffffd6ffffceffffceffffceffffd6ffffceffffd6ffffceffffd6ffffceffffd6ffffceffffd6ffffceffffd6ffffceffffd6ffffceffffd6ffffd6ffffceffffb5e7e7c6f7f7ceffffceffffceffffd6ffffceffffd6ffffceffffd6ffffceffffd6ffffceffffd6ffffceffffd6ffffceffffd6ffffceffffd6ffffceffffd6ffffceffffd6ffffceffffd6ffffceffffd6ffffceffffd6ffffceffffceffffbdf7efb5efe7c6fff7ceffffceffffd6ffffceffffceffffceffffd6ffffceffffceffffceffffd6ffffceffffd6ffffceffffd6ffffceffffd6ffffceffffd6ffffceffffd6ffffceffffd6ffffceffffceffffcefff7deffffdeffffdeffffe7ffff9cbdbd8ca5a5f7fffff7fffffffffffffffffffffffffffffffffffffffffffffffffffffffffffffffffffffffffffffffffffffffffffffffffffffffffffffffffffffffffffffffffffffffffffffffffffffffffff7f7f7f7f7f7fffffffffffffffffff7f7fffff7ffffefffe7b5e75a185a521052845a94fff7ffd6deefe7ffff528c7b296b52b5efd6739c944a6b63c6dede526b6b39525273949484a5a54a6b6b7394947b9c9c84a5a55a84846b9c9c94c6c6c6f7f7ceffffceffffc6ffffbdffffceffffceffffceffffc6fff7b5e7e7c6f7f7ceffffceffffceffffceffffceffffceffffceffffceffffc6ffffceffffceffffceffffceffffceffffc6ffffceffffceffffceffffceffffceffffceffffceffffceffffceffffceffffceffffceffffceffffceffffc6ffffb5e7e7b5efefc6fff7ceffffceffffceffffceffffceffffceffffceffffceffffceffffceffffceffffceffffceffffceffffceffffceffffceffffceffffceffffceffffceffffceffffceffffceffffceffffceffffc6fff7ceffffd6ffffceffffbdf7efb5e7e7d6ffffceffffceffffceffffceffffceffffceffffceffffceffffceffffceffffceffffceffffceffffceffffc6ffffceffffceffffceffffceffffceffffceffffceffffceffffceffffceffffceffffceffffceffffc6ffffc6fff7bdefefceffffceffffceffffceffffceffffceffffceffffceffffceffffceffffceffffc6ffffceffffc6fff7ceffffc6fff7c6ffffceffffceffffceffffceffffceffffceffffceffffceffffd6ffffc6f7f7ceffffcefff7d6fff7e7ffff9cb5b594adadeffffff7fffff7ffffffffffffffffffffffffffffffffffffffffffffffffffffffffffffffffffffffffffffffffffffffffffffffffffffffffffffffffffffffffffffffffffffffffffffffffffffffffffffffffffffffffffffffffffffffffefeff7ffffffefcee77b4a6b946384734a6bf7defff7f7ffe7ffff396b635a948cd6ffffaddece294a42d6ffef94bdb59cc6c6bde7e7deffffadd6ce7ba5a5d6ffffcef7f784adad84b5b5d6ffffc6ffffceffffc6ffffc6ffffceffffd6ffffceffffd6ffffd6ffffaddedeb5e7e7deffffceffffd6ffffceffffceffffceffffceffffceffffd6ffffc6ffffceffffceffffceffffceffffceffffceffffceffffceffffceffffceffffceffffceffffceffffceffffceffffceffffd6ffffceffffd6ffffceffffc6ffffaddeded6ffffceffffceffffceffffceffffc6ffffceffffceffffceffffc6ffffd6ffffceffffd6ffffceffffd6ffffceffffd6ffffceffffd6ffffceffffd6ffffceffffd6ffffceffffd6ffffceffffd6ffffceffffd6ffffceffffd6ffffb5e7e7ceffffceffffd6ffffceffffd6ffffceffffd6ffffceffffd6ffffceffffceffffceffffceffffceffffceffffceffffceffffceffffceffffceffffceffffceffffceffffceffffceffffceffffceffffceffffceffffceffffd6ffffc6f7f7bdefefceffffd6ffffceffffceffffceffffceffffceffffceffffc6ffffceffffceffffceffffc6ffffceffffceffffceffffc6ffffceffffceffffceffffc6ffffceffffceffffceffffceffffd6ffffd6ffffceffffd6ffffdeffffe7ffffa5bdbd94adadf7fffff7ffffffffffffffffffffffffffffffffffffffffffffffffffffffffffffffffffffffffffffffffffffffffffffffffffffffffffffffffffffffffffffffffffffffffffffffffffffffffffffffffffffffffffffffffffffffffeffffff7ffffffffffdec6cea58494ffefff4a2139bda5bdefefffe7f7ffa5c6ceb5e7e7ceffffc6f7ef8cb5a5ceffefd6ffffd6ffffdeffffdeffffc6e7e7e7ffffdeffffdeffffdeffffd6ffffd6ffffceffffc6ffffceffffbdf7ffceffffc6ffffceffffbdf7efdeffffaddeded6ffffdeffffceffffd6ffffd6ffffceffffceffffceffffceffffc6ffffceffffceffffceffffceffffceffffceffffceffffceffffceffffceffffceffffceffffceffffceffffceffffceffffceffffceffffceffffceffffd6ffffc6f7f7addedeceffffceffffceffffceffffceffffceffffc6ffffceffffc6ffffceffffceffffceffffceffffceffffceffffceffffceffffceffffceffffceffffceffffceffffceffffceffffceffffceffffceffffceffffceffffceffffceffffb5e7e7c6f7f7ceffffceffffceffffceffffceffffceffffceffffceffffceffffceffffceffffceffffceffffceffffceffffceffffceffffceffffceffffceffffceffffceffffceffffceffffceffffc6ffffceffffceffffceffffceffffceffffb5e7e7d6ffffceffffd6ffffceffffceffffceffffceffffc6ffffceffffc6ffffceffffc6ffffceffffc6ffffceffffc6ffffceffffc6ffffceffffc6ffffceffffc6ffffceffffc6ffffceffffceffffd6ffffcefff7d6ffffd6f7f7e7ffff9cb5b59cadadf7ffffffffffffffffffffffffffffffffffffffffffffffffffffffffffffffffffffffffffffffffffffffffffffffffffffffffffffffffffffffffffffffffffffffffffffffffffffffffffffffffffffffffffffffffffffffffffffffeffff7f7ffffffffffcec6cead94a5ffffff846b7b392942efefffefffffd6f7ffd6ffffceffffc6f7efd6ffffd6ffffdeffffbdefe7deffffdeffffe7ffffdeffffceeff7deffffdeffffdeffffd6ffffceffffd6ffffceffffc6ffffceffffceffffd6ffffdeffffdeffffadded6c6efefdeffffd6ffffdeffffceffffceffffceffffd6ffffceffffceffffceffffceffffceffffd6ffffceffffd6ffffceffffd6ffffceffffd6ffffceffffd6ffffceffffd6ffffceffffd6ffffceffffd6ffffceffffd6ffffd6ffffcef7f7addeded6ffffceffffd6ffffceffffd6ffffceffffceffffceffffceffffceffffceffffc6ffffceffffc6ffffceffffc6ffffceffffc6ffffceffffc6ffffceffffc6ffffceffffc6ffffceffffc6ffffceffffc6ffffceffffceffffceffffade7e7c6ffffc6ffffceffffc6ffffceffffc6ffffceffffc6ffffceffffceffffceffffceffffd6ffffceffffd6ffffceffffd6ffffceffffd6ffffceffffd6ffffceffffd6ffffceffffd6ffffceffffceffffceffffd6ffffceffffd6ffffcef7f7bdefefd6ffffd6ffffceffffd6ffffceffffd6ffffceffffceffffceffffceffffceffffceffffceffffceffffceffffceffffceffffceffffceffffceffffceffffceffffceffffceffffceffffceffffceffffceffffd6ffffdeffffe7ffffa5bdbd9cadadf7fffff7fffffffffffffffffffffffffffffffffffffffffffffffffffffffffffffffffffffffffffffffffffffffffffffffffffffffffffffffffffffffffffffffffffffffffffffffffffffffffffffffffffffffffffffffffff7fffff7fffff7fffff7ffffd6d6d6948c94f7efffded6e73131427b7b8ceff7ffd6eff7deffffd6ffffcef7f7ceffffcefff7c6f7efd6ffffd6ffffc6efefd6ffffcef7f7deffffe7ffffceeff7deffffdeffffd6ffffd6ffffc6f7ffceffffc6f7ffd6ffffd6ffffc6f7f7cef7f7bde7e7cef7f7deffffcef7f7cef7f7d6ffffcefff7cefff7ceffffd6ffffc6f7f7ceffffceffffceffffceffffceffffceffffceffffceffffceffffceffffceffffceffffceffffceffffceffffceffffd6ffffd6ffffd6ffffceffffd6ffffc6f7f7b5deded6ffffceffffceffffceffffceffffceffffceffffceffffceffffceffffceffffceffffc6ffffceffffceffffceffffc6ffffceffffceffffceffffc6ffffceffffceffffceffffc6ffffceffffceffffceffffc6ffffceffffceffffb5e7e7c6f7f7ceffffc6ffffceffffc6ffffceffffceffffceffffceffffceffffceffffceffffceffffceffffceffffceffffceffffceffffceffffceffffceffffceffffceffffceffffceffffceffffceffffceffffceffffceffffd6ffffceffffb5e7e7d6ffffd6ffffd6ffffceffffd6ffffceffffceffffc6ffffceffffceffffceffffceffffceffffceffffceffffceffffceffffceffffceffffceffffceffffceffffceffffceffffceffffceffffd6ffffcefff7d6ffffd6fff7e7ffff9cb5b59cadadf7fffffffffffffffffffffffffffffffffffffffffffffffffffffffffffffffffffffffffffffffffffffffffffffffffffffffffffffffffffffffffffffffffffffffffffffffffffff7f7f7ffffffffffffffffffffffffffffffffffffffffffeffff7ffffffbdc6ce8c949cf7ffffeff7ffadb5c6293142949cb5f7ffffd6efffd6f7ffcef7ffd6ffffc6ffffd6ffffdeffffe7ffffd6ffffe7ffffdeffffdeffffdeffffefffffdeffffdeffffcef7ffcef7ffceffffdeffffc6f7f7ceffffd6ffffdeffffdeffffbde7e7cef7f7e7ffffdeffffdeffffdeffffe7ffffcefff7d6ffffd6ffffceffffceffffd6ffffd6ffffd6ffffceffffd6ffffd6ffffd6ffffceffffd6ffffd6ffffd6ffffceffffd6ffffd6ffffd6ffffd6ffffdeffffd6ffffd6ffffd6ffffcef7ffb5dededeffffceffffd6ffffceffffd6ffffceffffd6ffffceffffd6ffffceffffdeffffdeffffdeffffdeffffdeffffdeffffdeffffdeffffdeffffdeffffdeffffdeffffdeffffdeffffdeffffdeffffe7ffffd6ffffdeffffdeffffe7ffffc6e7e7d6ffffdeffffdeffffdeffffdeffffdeffffdeffffdeffffdeffffd6ffffdeffffd6ffffd6ffffceffffd6ffffd6ffffd6ffffceffffd6ffffd6ffffd6ffffceffffd6ffffd6ffffd6ffffceffffd6ffffceffffd6ffffceffffdeffffcef7f7bdefefd6ffffdeffffd6ffffd6ffffd6ffffd6ffffceffffd6ffffceffffd6ffffceffffd6ffffceffffd6ffffceffffd6ffffceffffd6ffffceffffd6ffffceffffd6ffffceffffd6ffffceffffd6ffffd6ffffd6ffffd6ffffdeffffe7ffffa5bdbd9cadadffffffffffffffffffffffffffffffffffffffffffffffffffffffffffffffffffffffffffffffffffffffffffffffffffffffffffffffffffffffffffffffffffffffffffffffffffffffffffffffffffffffffffffffffffffefefeffffffffffffff7f7f7f7ffffbdced6738c94efffffd6e7f7f7ffff73738c393952dedef7eff7ffd6efffd6f7ffd6ffffd6ffffd6ffffcef7f7d6ffffdeffffcef7f7e7ffffc6efefdeffffd6ffffdeffffdeffffe7ffffd6ffffdeffffdeffffdeffffdeffffe7ffffceefefe7ffffb5d6d6efffffd6eff79cbdbdd6f7f7d6f7f7e7ffffdeffffcef7f7deffffd6ffffdeffffceffffd6ffffd6ffffd6ffffd6ffffd6ffffd6ffffd6ffffd6ffffd6ffffd6ffffd6ffffd6ffffd6ffffd6ffffd6ffffd6ffffd6ffffd6ffffdeffffc6f7f7b5dee7d6ffffd6ffffd6ffffd6ffffceffffd6ffffceffffd6ffffceffffd6ffffd6ffffdeffffdeffffdeffffd6ffffdeffffdeffffdeffffd6ffffdeffffdeffffdeffffd6ffffdeffffdeffffdeffffdeffffdeffffdeffffdeffffdeffffc6e7efd6f7f7deffffd6ffffdeffffdeffffdeffffd6ffffdeffffdeffffdeffffd6ffffd6ffffd6ffffd6ffffd6ffffd6ffffd6ffffd6ffffd6ffffd6ffffd6ffffd6ffffd6ffffd6ffffd6ffffd6ffffceffffd6ffffd6ffffd6ffffd6ffffd6ffffbde7e7d6ffffd6ffffdeffffd6ffffd6ffffd6ffffd6ffffceffffd6ffffceffffd6ffffceffffd6ffffceffffd6ffffceffffd6ffffceffffd6ffffceffffd6ffffceffffd6ffffceffffd6ffffceffffd6ffffcefff7d6ffffd6f7f7e7ffffa5b5b59cadadf7ffffffffffffffffffffffffffffffffffffffffffffffffffffffffffffffffffffffffffffffffffffffffffffffffffffffffffffffffffffffffffffffffffffffffffffffffffffffffffffffffffffffffffffd6d6d6bdbdbdefefeffffffffffffff7ffffcee7e7738c94deffffe7ffffe7f7ffd6d6ef4a425a8c7b9cefe7fff7ffffdef7ffcef7ffc6f7ffbdefefc6efefdeffff94b5b58cadb5ceefefefffffbddededeffffbddeded6f7ffb5dedee7ffffbddee7c6e7efdeffffb5d6deceefefefffffd6f7f78ca5a5a5bdbdbdd6de738c8ca5c6c694b5b5d6f7f7e7ffffd6f7f7d6ffffd6ffffd6ffffd6ffffd6ffffd6ffffd6ffffd6ffffd6ffffd6ffffd6ffffd6ffffd6ffffd6ffffd6ffffd6ffffd6ffffd6ffffd6ffffdeffffd6ffffdeffffd6ffffcef7f7b5dededeffffd6ffffd6ffffd6ffffd6ffffceffffd6ffffceffffd6ffffceffffceffffc6ffffceffffceffffceffffc6ffffceffffceffffceffffc6ffffceffffceffffceffffc6ffffceffffceffffceffffc6ffffceffffceffffceffffade7e7c6ffffceffffceffffc6ffffceffffceffffceffffceffffceffffceffffd6ffffd6ffffd6ffffd6ffffd6ffffd6ffffd6ffffd6ffffd6ffffd6ffffd6ffffd6ffffd6ffffd6ffffd6ffffd6ffffd6ffffceffffd6ffffd6ffffdeffffcef7f7c6efefd6ffffdeffffd6ffffdeffffd6ffffd6ffffceffffd6ffffceffffd6ffffceffffd6ffffceffffd6ffffceffffd6ffffceffffd6ffffceffffd6ffffceffffd6ffffceffffd6ffffceffffceffffceffffceffffd6ffffdeffffe7ffffa5bdbd94adadf7fffff7fffffffffffffffffffffffffffffffffffffffffffffffffffffffffffffffffffffffffffffffffffffffffffffffffffffffffffffffffffffffffffffffffffffffffffffffffffff7f7f7f7f7f7ffffffd6d6d67b7b7ba59c9cfff7f7ffffffffffffb5cece638c8cd6f7ffceefffdeefffeff7ffbdb5ce211031ad9cbdded6f7deefffcee7ffe7ffff739c9c84a5ad94bdbd5a7b847b9ca5739494bddee7426b6bd6f7ff7b9c9c7b9c9c314a52ceefef84a5ada5c6cedeffff63848494b5b5def7ff8cadad5a7373638484b5cece5a7b7b637b7b527373adcecee7ffffd6f7f7d6ffffceefefd6ffffcef7ffd6ffffcef7ffd6ffffcef7ffd6ffffcef7f7d6ffffcef7ffd6ffffcef7ffd6ffffcef7ffd6ffffcef7ffd6ffffd6f7ffd6ffffcef7f7d6ffffc6efefb5deded6ffffcef7ffcef7ffd6ffffcef7ffceffffceffffceffffcef7ffceffffc6ffffc6ffffc6ffffc6ffffc6ffffc6ffffc6ffffc6ffffc6ffffc6ffffc6ffffc6ffffc6ffffc6ffffc6ffffc6ffffc6ffffc6ffffc6ffffc6ffffc6ffffade7e7bdf7f7c6ffffc6ffffc6ffffc6f7f7c6ffffc6ffffc6ffffc6ffffceffffceffffd6ffffcef7ffd6ffffcef7ffd6ffffcef7ffd6ffffcef7ffd6ffffcef7ffd6ffffcef7ffd6ffffcef7ffceffffceffffceffffceffffceffffd6ffffcef7f7bddee7d6f7ffd6f7ffd6ffffd6f7ffd6ffffcef7ffd6ffffcef7ffceffffceffffd6ffffcef7ffceffffceffffd6ffffcef7ffceffffceffffd6ffffcef7ffceffffceffffd6ffffcef7ffceffffcefff7d6ffffc6f7f7d6ffffd6f7f7e7ffff9cb5b594adadf7fffffffffffffffffffffffffffffffffffffffffffffffffffffffffffffffffffffffffffffffffffffffffffffffffffffffffffffffffffffffffffffffffffffffffffffffffffffffffffffffff7f7f7f7f7f7ffffff8c8c8ca5a59cffffffffefefffffffbdcece395a5aadd6d6bddee7bdcededee7f7ded6ef634a633921425a5273d6d6f7c6d6efcee7ff8cadb563848c6b8c94d6f7ffdeffff6b8c948cadad6b8c8cdeffff739c9c84a5a54a6b6b84a5a55273739cbdc6d6f7ff6b8c8c9cbdbdd6f7f75a7373739494637b7b9cb5b55a737be7ffff738c8c94b5b5c6efefbde7e7b5dedeb5dedeb5dedeb5dee7b5dedeb5dedeb5dedeb5dee7b5dedeb5dedeb5dedeb5dedeb5dedeb5dedeaddedeb5dedeb5dedeb5dedeaddedebddee7b5dedeb5dedebde7e7bde7e7a5cecebdefefadd6d6b5dedeb5dedeb5dedeaddedeb5dedeaddedeaddedeaddedebddedebddedebddedebdd6debddedebddedebddedebdd6debddedebddedebddedebdd6debddedebddedebddedebdd6dec6dee7bdd6debddedebdd6dec6e7e7adcecebddedebddedebddee7bddedebddedebddedebddee7bddedebddedeb5dedeb5dedeb5dedeb5dedeaddedeb5dedeb5dedeb5dedeaddedeb5dedeb5dedeb5dedeaddedeb5dedeb5dedeb5dedeaddedeb5dee7addedeb5e7e7addedec6e7efb5dedeadced6bddee7bddedeb5dedeb5dedeaddedeb5dedeaddedeaddedeaddedeb5dedeaddedeb5dedeaddedeb5dedeaddedeb5dedeaddedeb5dedeaddedeb5dedeaddedeb5dedeaddedeb5dedeaddedeaddedeaddedeaddedeb5dedebddedeceefef9cadad94a5a5fffffffffffffffffffffffffffffffffffffffffffffffffffffffffffffffffffffffffffffffffffffffffffffffffffffffffffffffffffffffffffffffffffffffffffffffffffffffffffff7f7f7f7f7f7ffffffefefef6b6b6bc6bdbdfffffffff7ffffffffd6dede637b7bdeffffdeffffe7ffffeff7ffe7deef52395a39294239294affffffdedefff7ffff94adb52139425a7b84deffffe7ffff8cadb57b9c9c4a6b6ba5c6c6426b6b84a5ad73949cdeffff31525aa5c6cebddede4a73735a8484bdd6dea5bdbd6384845a7b7b94adad5a7b7b6b8c8c5a7b7badcecedeffffc6efefd6ffffd6ffffd6ffffceffffd6ffffd6ffffd6ffffceffffd6ffffd6ffffd6ffffd6ffffd6ffffd6ffffd6ffffd6ffffd6ffffd6ffffd6ffffd6f7ffd6ffffd6f7ffd6ffffcef7f7bde7e7deffffcef7ffd6ffffd6ffffd6ffffd6ffffceffffd6ffffceffffd6ffffdeffffdeffffdeffffdeffffdeffffdeffffdeffffdeffffdeffffdeffffdeffffdeffffdeffffdeffffdeffffdeffffdeffffdeffffdef7ffdeffffdeffffceefefdef7ffdeffffdef7ffdeffffdef7ffdeffffdef7ffdeffffdef7ffdeffffd6ffffd6ffffd6ffffd6ffffd6ffffd6ffffd6ffffd6ffffd6ffffd6ffffd6ffffd6ffffd6ffffd6ffffd6ffffd6ffffcef7ffceffffceffffd6ffffd6ffffd6f7ffbde7e7d6ffffd6ffffdeffffd6ffffd6ffffceffffd6ffffceffffd6ffffceffffd6ffffd6ffffd6ffffceffffd6ffffd6ffffd6ffffceffffd6ffffd6ffffd6ffffceffffd6ffffd6ffffd6ffffcefff7d6ffffcef7f7d6ffffd6f7f7e7ffffa5bdbda5b5b5f7ffffffffffffffffffffffffffffffffffffffffffffffffffffffffffffffffffffffffffffffffffffffffffffffffffffffffffffffffffffffffffffffffffffffffffffffffffffffffffffffffffffffffffffffffffd6d6d6f7efeffffffffff7f7ffffffced6d67b8c8ce7ffffe7ffffe7ffffe7f7ffffffffb5adc67b738c423952948ca5f7f7ffffffff8c9cad84949c738c94bdd6dedeffff63848cb5d6dea5cece84adada5cecedeffffbde7e7deffffcef7f7d6f7f79cc6c69cbdbd84a5a5c6e7e7d6f7f784a5a5a5c6c6e7ffffceefef9cbdbd9cbdbddeffffe7ffffd6ffffdeffffdeffffcef7f7d6ffffd6ffffdeffffd6ffffd6ffffd6ffffdeffffd6ffffd6ffffd6ffffd6ffffd6ffffd6ffffd6ffffd6ffffd6ffffdeffffd6ffffdeffffd6ffffcef7f7b5dee7deffffceffffd6ffffd6ffffd6ffffd6ffffd6ffffceffffd6ffffceffffceffffceffffd6ffffceffffceffffceffffd6ffffceffffceffffceffffd6ffffceffffceffffceffffd6ffffceffffceffffc6ffffd6ffffceffffceffffb5e7e7ceffffceffffd6ffffceffffd6ffffceffffd6ffffceffffd6ffffceffffd6ffffd6ffffd6ffffd6ffffd6ffffd6ffffd6ffffd6ffffd6ffffd6ffffd6ffffd6ffffd6ffffd6ffffd6ffffd6ffffd6ffffceffffd6ffffd6ffffdeffffcef7ffc6efefd6ffffdeffffd6ffffdeffffd6ffffd6ffffd6ffffd6ffffceffffd6ffffceffffd6ffffceffffd6ffffceffffd6ffffceffffd6ffffceffffd6ffffceffffd6ffffceffffd6ffffceffffd6ffffd6ffffd6ffffd6ffffdeffffe7ffffa5bdbd94adadf7fffff7fffffffffffffffffffffffffffffffffffffffffffffffffffffffffffffffffffffffffffffffffffffffffffffffffffffffffffffffffffffffffffffffffffffffffffffffffffffffffffffffff7f7f7fffffffffffffff7f7ffffffffffffffffffced6d67b8c8cefffffd6eff7deffffdeffffefffffeff7ffefefffada5bd211831847394ffffffadb5c6adc6ceefffff637b84425a63bddededeffffc6eff7deffffcef7ffd6ffffd6ffffcef7f7deffffcef7f7e7ffffd6fff7deffffd6ffffe7ffffb5d6d6deffffe7ffffe7ffffe7ffffd6ffffdeffffd6ffffceffffdeffffceffffd6ffffceffffd6ffffceffffd6ffffd6ffffd6ffffceffffd6ffffceffffd6ffffceffffd6ffffceffffd6ffffceffffd6ffffd6ffffd6ffffd6ffffd6ffffc6efefb5dee7d6ffffceffffceffffceffffceffffceffffceffffceffffceffffceffffc6ffffc6ffffc6ffffc6ffffc6ffffc6ffffc6ffffc6ffffc6ffffc6ffffc6ffffc6ffffc6ffffc6ffffc6ffffc6ffffc6ffffc6ffffc6ffffc6ffffc6ffffade7e7bdf7f7c6ffffc6ffffceffffc6ffffc6ffffc6ffffceffffc6ffffceffffceffffd6ffffceffffd6ffffceffffd6ffffceffffd6ffffceffffd6ffffceffffd6ffffceffffd6ffffceffffd6ffffceffffceffffceffffceffffd6ffffceffffbde7e7d6ffffd6ffffd6ffffd6ffffd6ffffceffffceffffceffffceffffceffffceffffceffffceffffceffffceffffceffffceffffceffffceffffceffffceffffceffffceffffceffffceffffceffffd6ffffcefff7d6ffffd6fff7e7ffff9cb5b594adadf7fffffffffffffffffffffffffffffffffffffffffffffffffffffffffffffffffffffffffffffffffffffffffffffffffffffffffffffffffffffffffffffffffffffffffffffffffffffffffffffffffffffffffffff7f7f7ffffffffffffffffffffffffffffffcecece8c9494efffffdef7ffdeffffd6ffffd6ffffd6f7ffeffffff7ffff9c94ad292139a594adffffffe7f7ffdeeff7e7ffffefffffdef7ffdeffffcef7f7c6efefd6ffffd6ffffceffffdeffffc6f7f7deffffc6efefd6ffffdeffffd6ffffcefff7c6efefd6ffffcef7f7cef7f7deffffd6ffffd6ffffceffffd6ffffceffffceffffd6ffffd6ffffceffffd6ffffceffffd6ffffceffffd6ffffceffffd6ffffd6ffffd6ffffd6ffffd6ffffd6ffffd6ffffd6ffffd6ffffd6ffffdeffffd6ffffceffffb5dee7deffffceffffd6ffffd6ffffd6ffffceffffd6ffffceffffd6ffffceffffdeffffd6ffffdeffffd6ffffdeffffd6ffffdeffffd6ffffdeffffd6ffffdeffffd6ffffdeffffd6ffffdeffffd6ffffdeffffd6ffffdeffffd6ffffdeffffbde7e7d6ffffd6ffffdeffffd6ffffdeffffd6ffffdeffffd6ffffdeffffd6ffffd6ffffd6ffffd6ffffd6ffffd6ffffd6ffffd6ffffd6ffffd6ffffd6ffffd6ffffd6ffffd6ffffd6ffffd6ffffd6ffffd6ffffceffffd6ffffceffffdeffffceffffc6efefd6ffffdeffffd6ffffdeffffd6ffffd6ffffd6ffffd6ffffceffffd6ffffceffffd6ffffceffffd6ffffceffffd6ffffceffffd6ffffceffffd6ffffceffffd6ffffceffffd6ffffceffffd6ffffd6ffffd6ffffd6ffffdeffffe7ffffa5bdbd9cadadfffffffffffffffffffffffffffffffffffffffffffffffffffffffffffffffffffffffffffffffffffffffffffffffffffffffffffffffffffffffffffffffffffffffffffffffffffffffffffff7f7f7fffffffffffffffffffffffffffffff7f7f7f7fffff7ffffc6cece7b8484efffffd6f7efd6ffffbdefefd6ffffc6f7ffc6f7ffd6efffffffff847b8c312139c6cedef7ffffdeeff7f7ffffdef7ffceeff7deffffd6ffffceffffceffffc6f7f7ceffffc6fff7ceffffceffffd6ffffceffffceffffc6f7f7ceffffaddedec6f7efdeffffdeffffcef7f7d6ffffd6ffffceffffceffffceffffc6f7f7c6ffffceffffceffffceffffceffffceffffceffffceffffceffffceffffceffffceffffceffffceffffceffffceffffceffffcef7ffceffffceffffd6ffffc6efefaddedeceffffceffffceffffceffffceffffceffffc6ffffceffffceffffceffffceffffd6ffffd6ffffd6ffffd6ffffd6ffffd6ffffd6ffffd6ffffd6ffffd6ffffd6ffffd6ffffd6ffffd6ffffd6ffffd6ffffd6ffffd6ffffd6ffffd6ffffbde7e7cef7f7d6ffffd6ffffd6ffffd6ffffd6ffffd6ffffd6ffffd6ffffd6ffffceffffceffffceffffceffffceffffceffffceffffceffffceffffceffffceffffceffffceffffceffffceffffceffffc6ffffc6ffffc6ffffceffffceffffcef7ffb5e7e7d6ffffceffffd6ffffceffffceffffceffffceffffc6ffffceffffc6ffffceffffceffffceffffc6ffffceffffceffffceffffc6ffffceffffceffffceffffc6ffffceffffceffffceffffceffffd6ffffc6f7f7d6ffffd6f7f7e7ffff9cb5b594adadf7fffffffffffffffffffffffffffffffffffffffffffffffffffffffffffffffffffffffffffffffffffffffffffffffffffffffffffffffffffffffffffffffffffffffffffffffffffff7f7f7fffffffffffff7f7f7ffffffffffffefefeffffffff7ffffffffffced6d6849494efffffdeffffceffffc6ffffb5ffffbdffffceffffd6f7ffe7f7ffefe7f7736373293139bdc6d6ffffffdeefffdeffffdeffffc6efefcef7ffceffffbdefefdeffffc6f7f7d6ffffd6ffffc6fff7c6fff7d6ffffc6f7f7deffffd6ffffb5e7e7bdefefd6ffffceffffd6ffffd6ffffceffffc6ffffd6ffffceffffceffffc6ffffd6ffffceffffd6ffffceffffd6ffffceffffd6ffffceffffd6ffffceffffd6ffffceffffd6ffffceffffd6ffffceffffd6ffffceffffd6ffffd6ffffceffffb5e7e7deffffceffffd6ffffceffffd6ffffceffffceffffceffffceffffceffffceffffceffffd6ffffceffffd6ffffceffffd6ffffceffffd6ffffceffffd6ffffceffffd6ffffceffffd6ffffceffffd6ffffceffffd6ffffceffffd6ffffb5e7e7ceffffceffffd6ffffceffffd6ffffceffffd6ffffceffffd6ffffceffffd6ffffceffffd6ffffceffffd6ffffceffffd6ffffceffffd6ffffceffffd6ffffceffffd6ffffceffffd6ffffceffffceffffceffffceffffceffffd6ffffceffffbdefefd6ffffd6ffffd6ffffd6ffffceffffceffffceffffceffffceffffceffffceffffceffffceffffceffffceffffceffffceffffceffffceffffceffffceffffceffffceffffceffffceffffd6ffffd6ffffd6ffffd6ffffdeffffe7ffffa5bdbd94adadf7fffff7fffffffffffffffffffffffffffffffffffffffffffffffffffffffffffffffffffffffffffffffffffffffffffffffffffffffffffffffffffffffffffffffffffffffff7f7f7fffffffffffffffffffffffffffffff7f7f7fffffff7ffffeffffff7ffffc6d6d67b8c8cefffffd6fff7ceffffbdfff7b5ffffb5ffffbdffffd6ffffdeffffeff7fff7f7ff63526b312942c6c6d6f7ffffcee7f7deffffd6ffffceffffceffffceffffc6f7efceffffd6ffffc6f7f7d6ffffd6ffffc6f7f7d6ffffceffffceffffaddedeceffffceffffd6ffffd6ffffd6ffffc6f7f7d6ffffceffffc6f7f7c6f7f7ceffffceffffceffffceffffceffffceffffceffffceffffceffffceffffceffffceffffceffffceffffceffffceffffceffffceffffd6ffffceffffceffffc6f7f7b5e7e7d6ffffceffffceffffceffffceffffceffffceffffceffffc6ffffceffffc6ffffceffffc6ffffceffffc6ffffceffffc6ffffceffffc6ffffceffffc6ffffceffffc6ffffceffffc6ffffceffffc6ffffc6ffffc6ffffc6ffffc6ffffb5efefc6f7f7c6ffffc6ffffceffffc6ffffc6ffffc6ffffceffffc6ffffceffffceffffceffffceffffceffffceffffceffffceffffceffffceffffceffffceffffceffffceffffceffffceffffceffffc6ffffceffffceffffceffffceffffceffffb5e7e7ceffffd6ffffd6ffffceffffceffffceffffceffffc6ffffceffffceffffceffffceffffceffffceffffceffffceffffceffffceffffceffffceffffceffffceffffceffffceffffceffffceffffd6ffffc6f7f7d6ffffd6ffffe7ffff9cb5b594a5a5f7fffffffffffffffffffffffffffffffffffffffffffffffffffffffffffffffffffffffffffffffffffffffffffffffffffffffffffffffffffffffffffffffffffffffffffffffffffffffffffffffffffffffffffff7f7f7fffffff7ffffffffffffffffffffffc6d6d67b9494e7ffffcef7f7ceffffceffffc6ffffc6ffffc6ffffd6ffffd6ffffdeffffe7f7ffffefff734a7339294ab5bdd6e7ffffc6f7ffc6ffffc6ffffceffffcefff7deffffc6efe7e7ffffdeffffcef7efd6ffffdeffffd6f7ffdeffffd6ffffb5dedec6f7f7d6ffffceffffceffffceffffdeffffc6f7f7d6ffffceffffcef7f7deffffdeffffceefefdeffffdeffffdeffffdeffffc6efefd6ffffd6ffffd6ffffd6ffffceffffd6ffffceffffd6ffffceffffd6ffffd6ffffd6ffffd6ffffceffffb5e7dedeffffceffffd6ffffceffffd6ffffceffffd6ffffceffffd6ffffceffffd6ffffd6ffffd6ffffceffffd6ffffd6ffffd6ffffceffffd6ffffd6ffffd6ffffceffffd6ffffd6ffffd6ffffceffffd6ffffceffffd6ffffceffffd6ffffb5efe7ceffffceffffd6ffffceffffd6ffffceffffd6ffffceffffd6ffffceffffd6ffffd6ffffd6ffffceffffd6ffffd6ffffd6ffffceffffd6ffffd6ffffd6ffffceffffd6ffffd6ffffd6ffffceffffd6ffffceffffd6ffffceffffdeffffcef7ffc6efefd6ffffdeffffdeffffdeffffd6ffffd6ffffd6ffffd6ffffceffffd6ffffd6ffffd6ffffceffffd6ffffd6ffffd6ffffceffffd6ffffd6ffffd6ffffceffffd6ffffd6ffffd6ffffceffffdeffffd6ffffd6ffffceffffdeffffdeffffa5bdbd94adadffffffffffffffffffffffffffffffffffffffffffffffffffffffffffffffffffffffffffffffffffffffffffffffffffffffffffffffffffffffffffffffffffffffffffffffffffffffefefeffffffff7f7f7ffffffffffffefefeffffffff7f7f7fffffff7ffffbdcece738c8ce7ffffcefff7d6ffffc6ffffc6ffffc6ffffceffffc6ffffceffffcef7ffdef7ffe7defffff7ff5a4a6b29314ab5cededeffffc6f7f7c6ffffc6f7f7cefff7cef7efe7ffffceefefe7ffffe7ffffdeffffdef7ffe7ffffd6f7ffdeffffbddee7cef7ffc6eff7deffff63949494bdbdd6ffffbde7de7ba5a5e7ffffd6ffffdeffffd6f7f7e7ffffd6ffffd6f7f7c6efefdeffffdeffffcef7f7ceffffceffffceffffceffffceffffceffffc6ffffceffffceffffd6ffffceffffd6ffffc6f7f7b5deded6ffffceffffceffffceffffceffffceffffceffffceffffceffffceffffceffffceffffceffffd6ffffceffffceffffceffffd6ffffceffffceffffceffffd6ffffceffffceffffceffffceffffceffffceffffceffffceffffceffffb5efe7c6f7f7ceffffceffffceffffceffffceffffceffffceffffceffffceffffceffffceffffceffffd6ffffceffffceffffceffffd6ffffceffffceffffceffffd6ffffceffffceffffceffffd6ffffceffffceffffceffffd6ffffd6ffffcef7f7bde7e7d6ffffd6ffffd6ffffd6ffffd6ffffceffffceffffceffffceffffceffffceffffceffffd6ffffceffffceffffceffffd6ffffceffffceffffceffffd6ffffceffffceffffceffffd6ffffceffffd6ffffceffffceffffd6ffffdeffff9cbdb594adadf7ffffffffffffffffffffffffffffffffffffffffffffffffffffffffffffffffffffffffffffffffffffffffffffffffffffffffffffffffffffffffffffffffffffffffffffffffffffffffffffffffffffffffffffefefefffffffffffffffffffffffffffffffc6d6d67b9494e7ffffcefff7ceffffd6ffffceffffceffffceffffd6ffffceffffd6ffffd6ffffe7ffffe7efffeff7ff4a4a63212139b5b5d6e7f7ffefffffe7ffffd6f7ffcef7ffd6ffffcef7ef94b5adb5d6ceceefe7def7f794b5b5a5c6ceb5ced6c6e7e7bddee7cef7f7ceeff7d6ffff638484a5cecedeffff3152529cbdbdb5d6d6d6f7f7c6e7e7ceefefbddededeffffe7ffffd6ffffcef7f7d6ffffd6ffffd6ffffd6ffffceffffd6ffffceffffd6ffffceffffdeffffd6ffffd6ffffd6ffffceffffb5e7dedeffffceffffd6ffffceffffd6ffffceffffd6ffffceffffd6ffffceffffd6ffffd6ffffd6ffffd6ffffd6ffffd6ffffd6ffffd6ffffd6ffffd6ffffd6ffffd6ffffd6ffffd6ffffd6ffffd6ffffd6ffffceffffd6ffffceffffd6ffffb5efe7ceffffceffffd6ffffceffffd6ffffceffffd6ffffceffffd6ffffceffffd6ffffd6ffffd6ffffd6ffffd6ffffd6ffffd6ffffd6ffffd6ffffd6ffffd6ffffd6ffffd6ffffd6ffffd6ffffd6ffffd6ffffceffffd6ffffd6ffffdeffffcef7ffc6efefdeffffdeffffd6ffffdeffffd6ffffd6ffffd6ffffd6ffffceffffd6ffffd6ffffd6ffffd6ffffd6ffffd6ffffd6ffffd6ffffd6ffffd6ffffd6ffffd6ffffd6ffffd6ffffd6ffffd6ffffdeffffd6ffffdeffffd6ffffdeffffdeffffa5bdbd94adadfffffffffffffffffffffffffffffffffffffffffffffffffffffffffffffffffffffffffffffffffffffffffffffffffffffffffffffffffffffffffffffffffffffffffffffffffffffffffffff7f7f7ffffffe7e7e7fffffff7f7f7f7f7f7f7f7f7f7f7fff7ffffc6d6d67b8c8cefffffd6fff7d6ffffceffffceffffceffffceffffceffffd6ffffceffffceffffc6f7f7d6ffffd6efffffffff847394211039947ba5ada5cee7efffdeefffd6f7ffdeffff739c94638c7b7ba58c7b9c8c738c846b848c7b9494637b7bceefef7394947b9c9cdeffffc6e7e75a7b7b527373deffff395252738c8c849c9c8ca5a55a737bd6f7f75273739cc6c6deffffcef7f7c6efefdeffffceffffd6ffffceffffceffffceffffceffffc6ffffceffffd6ffffd6ffffcefff7d6ffffc6f7f7b5e7ded6ffffceffffceffffceffffceffffceffffceffffceffffceffffceffffceffffd6ffffceffffd6ffffceffffd6ffffceffffd6ffffceffffd6ffffceffffd6ffffceffffd6ffffceffffd6ffffceffffceffffceffffceffffceffffbdefe7c6f7f7ceffffceffffceffffceffffceffffceffffceffffceffffd6ffffceffffd6ffffceffffd6ffffceffffd6ffffceffffd6ffffceffffd6ffffceffffd6ffffceffffd6ffffceffffceffffceffffceffffceffffceffffd6ffffcef7ffbde7e7d6ffffd6ffffd6ffffd6ffffd6ffffceffffd6ffffceffffceffffceffffd6ffffceffffd6ffffceffffd6ffffceffffd6ffffceffffd6ffffceffffd6ffffceffffd6ffffceffffd6ffffd6ffffd6ffffd6ffffceffffd6ffffdeffff94b5b594adadf7fffffffffffffffffffffffffffffffffffffffffffffffffffffffffffffffffffffffffffffffffffffffffffffffffffffffffffffffffffffffffffffffffffffffffffffffffffff7f7f7ffffffc6c6c6424242b5b5b5525252cececeffffffffffffffffffcedede7b8c8ce7ffffdeffffd6ffffd6ffffceffffd6ffffceffffd6ffffd6ffffd6ffffceffffceffffceffffc6efefdeefffffffffad94bd39184a31104aa58cc6fff7ffeff7ffd6efff426363e7ffffeffff7e7ffef7b9c948ca5a5a5bdbd738c8ce7ffff8ca5a594b5b5e7ffff8cadad94b5adadc6c67b94946b7b84f7ffff84949c849ca53152524a6b6b396363d6ffffe7ffffdeffffd6ffffdeffffd6ffffd6ffffd6ffffceffffd6ffffceffffceffffceffffdeffffd6ffffd6ffffd6ffffceffffb5e7dedeffffceffffd6ffffceffffd6ffffceffffd6ffffceffffd6ffffceffffd6ffffceffffd6ffffceffffd6ffffceffffd6ffffceffffd6ffffceffffd6ffffceffffd6ffffceffffd6ffffd6ffffd6ffffd6ffffd6ffffd6ffffdeffffbdefe7d6ffffd6ffffd6ffffd6ffffd6ffffd6ffffd6ffffd6ffffd6ffffd6ffffd6ffffceffffd6ffffceffffd6ffffceffffd6ffffceffffd6ffffceffffd6ffffceffffd6ffffceffffd6ffffceffffd6ffffceffffd6ffffceffffdeffffcef7ffc6efefd6ffffdeffffd6ffffdeffffd6ffffd6ffffd6ffffd6ffffceffffd6ffffceffffd6ffffceffffd6ffffceffffd6ffffceffffd6ffffceffffd6ffffceffffd6ffffceffffd6ffffd6ffffdeffffd6ffffd6ffffceffffdeffffdeffffa5c6c69cb5b5fffffffffffffffffffffffffffffffffffffffffffffffffffffffffffffffffffffffffffffffffffffffffffffffffffffffffffffffffffffffffffffffffffffffffffffffff7f7f7ffffffffffffefefefc6c6c68c8c8c949494949494fffffffff7fff7ffffbdc6c64a6363bddedeb5d6d6b5e7deb5e7deb5e7e7b5e7e7b5e7e7b5e7e7bde7e7bddee7b5e7e79cefd694e7ceb5efe7cee7efdedef7a58cbd3110424a215a4a2963ceade7e7deffdee7ff395252defff7cef7e7bde7d694ada5213931314a4a8ca5a58ca5a5395a52425a5a84a5a5395a5abddedeb5ced66b848442525a7b8c9473848c9cadb56b8c8ccef7f7638484a5ceceadd6d6bde7e7b5e7e7add6d6b5e7e7bde7e7b5e7e7b5efe7b5e7e7b5e7e7b5e7e7b5efe7bde7e7bde7e7b5e7e7bdefefaddede9ccecebdefefb5e7e7b5e7e7b5e7e7b5e7e7b5efe7b5e7e7b5e7e7b5e7e7b5efe7b5e7e7b5e7efb5e7e7b5e7efb5e7e7b5e7efb5e7e7b5e7efb5e7e7b5e7efb5e7e7b5e7efb5e7e7b5e7efb5e7e7bde7efb5e7e7bde7e7bde7e7bde7e7b5e7e7a5ceceb5dedebde7e7b5e7e7bde7e7b5e7e7bde7e7b5e7e7bde7e7b5e7e7bde7e7b5e7e7b5e7efb5e7e7b5e7efb5e7e7b5e7efb5e7e7b5e7efb5e7e7b5e7efb5e7e7b5e7efb5e7e7b5e7efb5e7e7b5e7efb5e7e7b5e7e7b5e7e7b5e7e7bde7e7b5dee7a5cecebde7e7bde7e7bde7e7bde7e7bde7efb5e7e7b5e7e7b5e7e7b5efefb5e7e7b5e7e7b5e7e7b5e7efb5e7e7b5e7e7b5e7e7b5e7efb5e7e7b5e7e7b5e7e7b5e7efb5e7e7b5e7e7b5e7e7bde7efb5e7e7bde7e7b5e7e7b5e7e7bde7e7c6efef8cadad8ca5a5f7ffffffffffffffffffffffffffffffffffffffffffffffffffffffffffffffffffffffffffffffffffffffffffffffffffffffffffffffffffffffffffffffffffffffffffffffffffffffffffffffffe7e7e77373739c9c9c636363ada5a5fffffffff7ffffffffced6d66b7b7bdef7f7deffffd6ffffceffffc6fff7ceffffceffffd6ffffcef7ffd6ffffcefff7c6ffefc6fff7deffffc6f7f7def7ffd6deffa594bd8c6b9c734a7b52295ab58cb5ffefff949cad9cadb59cc6c66b948ccef7efd6f7efdef7f7d6f7f7bdded6c6e7debddeded6f7efdeffffd6f7f7deffffe7ffffdef7f7c6dededeeff7def7ffceefefdeffffc6efefcef7f7deffffd6ffffceffffdeffffceffffcefff7ceffffceffffceffffc6fff7ceffffceffffd6ffffcefff7d6ffffd6ffffcef7f7addeded6ffffcefff7ceffffcefff7ceffffceffffceffffc6fff7ceffffceffffceffffceffffceffffceffffceffffceffffceffffceffffceffffceffffceffffceffffceffffceffffceffffceffffd6ffffcef7f7d6ffffceffffd6ffffb5e7decef7f7ceffffd6ffffcefff7d6ffffceffffd6ffffcefff7d6ffffceffffceffffceffffceffffceffffceffffceffffceffffceffffceffffceffffceffffceffffceffffceffffceffffceffffceffffc6ffffceffffcef7ffd6ffffc6f7f7bde7e7cef7ffd6ffffcef7ffd6ffffceffffceffffceffffceffffceffffceffffceffffceffffceffffceffffceffffceffffceffffceffffceffffceffffceffffceffffceffffceffffceffffd6ffffceffffd6ffffc6f7f7d6ffffd6ffffa5c6bd9cadadfffffffffffffffffffffffffffffffffffffffffffffffffffffffffffffffffffffffffffffffffffffffffffffffffffffffffffffffffffffffffffffffffffffffffffffffffffffff7f7f7ffffffd6d6d6a5a5a5f7f7f7a5a5a5dededefffffffff7ffffffffd6dede738484efffffdeffffd6ffffceffffd6ffffceffffd6ffffd6ffffdeffffd6ffffdeffffdeffffceffffceffffceffffcef7ffdeffffeff7ffffffffffdeff9c7ba5310831ad8cadf7efffadb5c663848cb5d6dee7ffffdeffffe7ffffdeffffb5ded6deffffdeffffd6ffffd6ffffcef7efdeffffdeffffdef7f7deffffe7ffffdeffffd6f7f7d6ffffdeffffd6ffffd6ffffbdefefdeffffcefff7ceffffd6ffffceffffd6ffffceffffd6ffffceffffceffffd6f
Третий закон Кеплера.
Скорости близких к Солнцу планет
значительно больше, чем скорости далеких.
Пояснение к рисунку справа - Скорости
близких к Солнцу планет значительно
больше, чем скорости далеких. В обобщенном
виде этот закон обычно формулируется
так: квадраты периодов T1
и T2 обращения двух тел
вокруг Солнца, помноженные на сумму
масс каждого тела (соответственно M1
и M2) и Солнца (М ), относятся
как кубы больших полуосей a1
и a2 их орбит: При этом
взаимодействие между телами M1
и M2 не учитывается. Если
пренебречь массами этих тел в сравнении
с массой Солнца (т.е. M1 <<
М , M2 << М ), то получится
формулировка третьего закона, данная
самим Кеплером:

Третий закон Кеплера
можно также выразить как зависимость
между периодом T обращения
по орбите тела с массой M
и большой полуосью орбиты a
(G – гравитационная
постоянная):

Здесь необходимо сделать следующее замечание. Для простоты часто говорится, что одно тело обращается вокруг другого, но это справедливо только для случая, когда масса первого тела пренебрежимо мала по сравнению с массой второго (притягивающего центра). Если же массы сравнимы, то следует учитывать и влияние менее массивного тела на более массивное. В системе координат с началом в центре масс орбиты обоих тел будут коническими сечениями, лежащими в одной плоскости и с фокусами в центре масс, с одинаковым эксцентриситетом. Различие будет только в линейных размерах орбит (если тела разной массы). В любой момент времени центр масс будет лежать на прямой, соединяющей центры тел, а расстояния до центра масс r1 и r2 тел массой M1 и M2 соответственно связаны следующим соотношением: r1/r2 = M2/M1. Перицентры и апоцентры своих орбит (если движение финитно) тела также будут проходить одновременно. Третий закон Кеплера можно использовать, чтобы определить массу двойных звезд.
Эллипс определяется как геометрическое место точек, для которых сумма расстояний от двух заданных точек (фокусов F1 и F2) есть величина постоянная и равная длине большой оси: r1 + r2 = |AA´| = 2a. Степень вытянутости эллипса характеризуется его эксцентриситетом е. Эксцентриситет е = ОF/OA. При совпадении фокусов с центром е = 0, и эллипс превращается в окружность. Большая полуось а является средним расстоянием от фокуса (планеты от Солнца): a = (AF1 + F1A')/2. Так как при движении по эллипсу полная энергия отрицательна, большая полуось больше нуля. Длина малой полуоси b зависит от секториальной скорости тела (т.е. скорости изменения площади, заметаемой радиус-вектором). Круговые орбиты являются вырожденным случаем эллиптических. Записывая второй закон Ньютона, получим, что кинетическая и потенциальная энергия тела на круговой орбите связаны соотношением: 2K = –U. Применяя закон сохранения энергии, легко получить, что K = –E. Т.о. при круговом движении сумма полной и кинетической энергии всегда равна нулю. Элементы орбиты характеризуют форму, размеры и ориентацию в пространстве орбиты небесного тела, а также положение тела на этой орбите. В настоящее время для описания положения планеты или спутника широко используются оскуллирующие элементы.
010009000003e2ae00000000bdae000000000400000003010800050000000b0200000000050000000c029600c900030000001e000400000007010400bdae0000410b2000cc009500c800000000009500c8000000000028000000c8000000950000000100180000000000385d010000000000000000000000000000000000adadadadadadadadadadadadadadadadadadadadadadadadadadadadadadadadadadadadadadadadadadadadadadadadadadadadadadadadadadadadadadadadadadadadadadadadadadadadadada5a5a5adadada5a5a5adadadadadadadadadadadadadadadadadadadadadadadadadadadadadadadadadadadadadadadadadadadadadadadadadadadadadadadadadadadadadadadadadadadadadadadadadadadadadadadadadadadadadadadadadadadadadadadadadadadadadadadadadadadadadadadadadadadadadadadadadadadadadadadadadadadadadadadadadadadadadadadadadadadadadadadadadadadadadadadadadadadadadadadadadadadadadadadadada5a5a5adadadb5b5b5adadadb5b5b5a5a5a5adadadadadadadadadadadadadadadadadadadadadadadadadadadadadadadadadadadadadadadadadada5a5a5adadadadadadadadadadadadadadadadadadadadadadadadadadadadadadadadadb5b5b5adadadadadadadadadb5b5b5adadadadadadb5b5b5adadadadadadadadadadadadadadadadadadadadadadadadadadadadadadadadadadadadadadadadadadadadadadadadadadadadadadadadadadadadadadadadadadadadadb5b5b5adadadadadadadadadadadadadadadadadadadadadadadadadadadadadadadadadadadadadadadadadadadadadadadadadadadadadadadadadadadadadadadadadadadadadadadadadadadb5b5b5adadadb5b5b5adadadadadadadadadadadadadadadadadadadadadadadadadadadadadadadadadadadada5a5a5adadadb5b5b5b5b5b5adadadb5b5b5a5a5a5efefef0000000000000808080000000000000000000808080000000000000000000808080000000000000000000808080000000000000000000808080000000000000000000808080000000000000000000808080808080808080000000808080808080808080000000808080000000808080000000808080000000000000000000808080000000000000000000808080000000000000000000808080000000000000000000808080000000808080000000808080000000808080000000808080000000808080000000808080000000808080000000808080000000808080000000808080000000808080000000808080000000000000000000808080000000000000000000808080000000808080000000000000000001818180000000808080000000808080000000808080000000000000000000808080808080808080808080808080000000000000000000808080000000808080000000808080000000808080000000808080000000000000808080808080000000808080808081010100000000808080000000808080000000808080000000808080000000808080000000808080000000808080000000808080000000808080808080808080000000808080000000808080000000808080000000808080000000808080000000808080000000808080000000808080000000808080000000808080000000808080000000808080000000808080000000808080000000808080000000808080000000808080000000808080000000808080000000808080000000808080000000808080000000808080000000000000000000000000000000808087b7b7b0000000000000000000000000000000000000000000000000000000000000000000000000000000000000000000000000000000000000000000000000000000000000000000000000000001010101818182121211818181010100808080808080000000808080000000808080000000808080000000808080000000000000000000000000000000000000000000000000000000000000000000000000000000000000000000000000000000808080000000000000000000808080000000000000000000808080000000000000000000808080000000000000000000808080000000000000000000808080000000000000000000000000000000000000000000000000000000000000000001010100000000808080808080000000000001010100000000808080000000808080000000808080000000808080000000000000000000808080000000808080000000000000000000808080000000000000000000808080000000000000000000000000808081818182929291010100000000808080000000808080000000808080000000808080000000808080000000808080000000000000000000808080000000000000808080808080000000808080000000808080000000000000000000808080000000000000000000808080000000808080000000808080000000808080000000808080000000000000000000808080000000000000000000808080000000000000000000808080000000808080000000808080000000000000000000000000000000000000000000808080000000000000808080000000000001010100000000808080000009494940808080000000000000000000808080000000000000000000808080000000000000000000808080000000000000000000808080000000000000000000808080000000000000000000000000000001010101010101010100000000000000000000808080000000808080000000808080000000808080000000808080000000000000000000808080000000000000000000808080000000000000000000808080000000000000000000808080000000808080000000808080000000808080000000808080000000808080000000808080000000808080000000808080000000808080000000808080000000808080000000808080000000000000000000808080000000000000000000000000000001010100000000000001818180000000000000808080000000808080000000808080000000808080808081818180000000000000000000808080000000000000000000808080000000808080000000808080000000808080000001010100000001010102929294a4a4a1010100000001010100808080000000808080000000808080000000808080000000808080000000000000000000808080000000000000000000808080808080808080000000808080000000808080000000808080000000000000000000808080000000808080000000808080000000808080000000808080000000808080000000808080000000808080000000808080000000808080000000808080000000808080000000808080000000808080000000808080000000000000000000808080000000808080000000808080000001010101010100808080808080000008c8c8c0000000000000000000808080000000000000000000808080000000000000000000808080000000000000000000808080000000000000000000808080000000000000000000808080000000000000000000000000000000000000000000808080000000000000000000808080000000000000000000808080000000000000000000808080000000000000000000808080000000000000000000808080000000000000000000808080000000000000000000808080000000000000000000808080000000000000000000808080000000000000000000808080000000000000000000808080000000000000000000808080000000000000000000808080000000000000000000808080808080000000808080808081818186b6b6b0808080000000000000000000000000000000000000808080808081010103939391818180000000000000000000000000000000808080000000000000000000808080000000000000000000808080000000808080000000000001010100808080000000808080000000000000000000808080000000000000000000808080000000000000000000000000000000000000000000000000000000808080000000808080000000808080808080808080000000000000000000000000000000000000000000808080000000808080000000808080000000000000000000000000000000000000000000808080000000000000000000808080000000808080000000808080000000808080000000808080000000000000000000808080000000808080000000808080808080808080808080808080000001010100000008c8c8c0808080000000808080000000808080000000808080000000808080000000808080000000000000000000808080000000808080000000808080000000808080000000808080000000808080000000808080000000808080000000808080000000808080000000808080000000808080000000808080000000000000000000808080000000808080000000808080808080000000000000808080808080808080000000808080808080808080000000808080000000808080000000808080808080808080000000808080000000808080000000808080000000808080000000808080000000808080808080808080000000000000000000808080000000000000000000808080000000000000808081010100000004242421818180000001010100808080000000808080808080808080000000808080000000808080000000808080000000808080000000808080000000808080000000808080000000000000000000808080000000000000000000808080000000808080808080808080000000808080000000808080000000808080000000808080000000808080000000808080000000000000000000808080000000808080808080808080000000808080000001010102121212121210808080000000000000808080808080808080808080808080808080808080000000808080000000808080000000000000000000808080000000000000000000808080808080808080000000808080000000000000000000000000000000808080000000808080000000808080000000808080000000808080000000808080000000808080808080000008c8c8c0000000000000000000000000000000000000000000000000000000000000000000000000000000000000000000000000000000000000000000000000000000000000000000000000000000808080000000000000000000808080000000000000000000000000000000000000000000808080000000808080000000808080000000000000000000000000000000000000808081010100000000000000000000808080000000808080000000000000000000000000000000808080000000808080000000000000000000808080000000808080000000808080808080808080000000000000000000808080000000808080000000808080000000808080808080808080000000000000808080000000000000000000000000000000808080000000000000808080000000808080000000808080000000000000000000808080000000000000000000808080000000000000000000808080000000808080000000808080000000808080000000808080000000000000000000808080000000000000000000000000000000000000000000000000000000000000000000000000000000808080000000808080000000000000000000808080000000000000000000000000000001010101010100808080000000000000000000000000000000808080000000000000000000000000000000808080000000000000000000808080000000808080000000808080000000808080000000808080000000808080000000000000000000000000000000000000000000000000000000808080000000808080000000808080000000000000000001010100000008c8c8c0808080000000808080000000808080000000808080000000808080000000808080000000808080000000808080000000808080000000808080000000808080000000808080000000808080000000808080000000808080000000808080000000808080000000808080000000808080000000808080000000808080000000808080000000808080000000808080000000808080808080808080000001010100808080000000000000808080000000000000000000808080000000808080000000808080000000808080000000808080000000000000808080808080000000808080808080808080000000000000808080808080000000000000808081010100808080000000000000808080000000000001010100000000000001818180000000808080000000808080000000808080000000808080000000808080000000808080000000808080000000808080000000808080000000808080808081010100808080808080000000808080808080808080000000000000000000808080000000808080000000808080000000808080000000808080000000808080000000808080808080808080000000808080000000808080000000000000000000808080000000000000000000808080000000000000000000808080000000000000808080808080000000000000000000808080000000808080000000808080000000808080000000808080000000808080808080808080000000808080808080808080000000808080000000808080000000808080000000808080000000808080000000808080000000808080000000808080808080000008c8c8c0000000000000000000000000000000000000000000000000000000000000000000000000000000000000000000000000000000000000000000000000000000000000000000000000000000000000000000808080000000000000000000808080000000000000000000808080000000000000000000808080000000000000000000000000000000000000000000808080000000808080808080808080000000000000000000808080000000000000000000000000000000000000000000808080000000000000000000808080000000000000000000808080808080000000000000808080808080808080808082121211818180808080000000000000000000000000000000808080000000808080000000808080000000808080000000808080000000000000000000808080000000000000000000000000000000000000000000808080000000000000000000808080000000000000000000808080000000808080000000000000000000808080000000808080000000808080808080808080000000000000000000808080000000000000000000808080000000000000808081010100000000000000000000000000000000000000000000000000808080808080000000000000000000000000000000808080000000000000000000808080000000808080000000808080000000808080000000000000000000000000000000808080000000000000000000808080000000808080000000808080000000808080000000808080000000000000000000808080000000000000000000808080000000808080000000000000000000808080000009494940808080000000808080000000808080000000808080000000808080000000808080000000000000000000808080000000808080000000808080000000808080000000808080000000808080000000808080000000808080000000808080000000808080000000808080000000808080000000808080000000808080000000808080000000808080000000808080000000808080808080808080000000808080000000000000000000808080000000808080000000000000000000808080000000000000000000808080000000808080000001010101818182121210000000808080000000000000808081818183131312929291010100808080000000808080000000000000000001010100000000808080000000808080000000000000808080000000000000808080000000808080000000808080000000808080000000808080000000808080000000808080000000000000000000808080000000808080000000808080000000808080000000808080808080808080000000808080808080808080000000808080000000808080000000808080000000808080000001010101010100808080000000808080000000000000000000808080000000808080000000808080808080808080000000808080000000808080000000808080808080808080000000808080000000808080000000808080000000808080000000808080808080808080808080808080808080808080000000808080808080808080000000808080000000808080000000808080000000808080000000808080000000808080808080808080000000000000808080000008c8c8c0000000000000000000000000000000000000000000000000000000808080000000000000000000000000000000000000000000000000000000000000000000000000000000000000000000808080000000000000000000808080000000000000000000000000000000000000000000808080000000808080000000808080000000000000000000000000000000000000808080808080000000808081818182121210808080000000000000000000000000000000000000000000000000000000000000000000000000000000000000808080808081010101010100808080000000808080000000000000000001818181010100808080000000808080000000000000000000000000808080000000808080000000000000808080000000808080000000000000000000000000000000000000000000000000000000808080000000000000000000808080000000000000000000808080000000000000000000808080000000808080000000000000000000808080000000000000000000808080000000808080000000000000000000808080000000000000000000808080808081010100000000000000000000000000000000808080000000000000000000000000000000808080000000808080000000000000000000808080000000000000000000000000000000000000000000808080000000000000000000808080000000808080000000808080000000000000000000808080000000808080000000000000000000808080000000000000000000000000000000808080000000808080000000808080000000000000000000808080000008c8c8c0808080000000808080000000808080000000808080000000808080000000808080000000808080808080808080808080808080000000808080000000808080000000808080000000808080000000808080000000808080000000808080000000808080000000808080000000808080000000808080000000808080808080808080000000808080000000000000000000000000000000000001010102929292121211010100000000808080000000000000000000808080000000000000000000808080000000000000000000808080000000000000000000808080000000808080808080808080000000000000000000000000000000000000000000808080808080808080000000000002121210000000000000808080000000808080000000808080000000808080000000808080000000808080000000808080000000808080000000808080000000808080000000808080000000808080000000808080808080808080808080808080000000808080000000808080000000808080808080808080000000808080000000808080000000808080000000808080000000808080808080808080000000808080000000808080808080808080000000000000000000000000000000808080000000000000000000808080000000808080000000808080000000000000000000808080000000808080000000808080000000000000000000808080000000808080000000808080000000808080000000808080000000808080808080808080000000808080000000808080000000808080000000808080808080808080000000808080808080000008c8c8c000000000000000000000000000000000000000000000000000000000000000000080808000000080808080808101010000000000000000000000000000000000000000000000000000000000000000000080808000000000000000000080808000000000000000000080808000000000000000000080808000000000000000000000000000000000000000000080808000000080808000000000000000000000000000000080808000000000000000000000000000000000000000000000000000000000000000000080808000000080808000000080808080808000000000000000000000000080808000000080808000000080808000000000000000000080808080808080808080808737373000000000000101010080808000000101010000000000000000000080808000000000000000000000000000000000000000000080808000000000000000000080808000000000000000000080808000000080808000000080808000000000000000000080808000000080808080808181818000000080808000000080808000000080808000000080808080808080808080808080808000000080808000000000000000000101010000000000000000000080808000000080808000000000000000000080808000000080808000000000000000000080808000000080808000000000000000000000000000000000000000000080808000000080808000000000000000000000000000000000000000000080808080808101010000000000000000000080808000000000000000000080808000000000000000000080808000000101010000000949494000000080808000000080808000000000000080808080808000000000000080808000000080808080808212121292929080808000000080808000000080808000000080808000000080808000000080808000000000000000000080808080808101010000000080808000000000000080808080808000000080808000000080808000000000000000000080808000000080808000000080808080808080808000000080808080808000000000000080808000000080808000000080808000000000000000000080808000000080808000000080808000000080808000000080808000000080808000000080808000000101010000000080808000000080808101010000000101010101010212121080808101010000000000000080808080808000000000000080808080808101010000000000000000000000000000000080808000000080808000000080808000000080808000000080808000000080808000000080808000000000000080808000000000000101010000000424242adadad2121210000001010100000000808080808080000000808083131311818180000000000001010100808080808080808080000000000000808080000000808080000000000000000000808080000000000000808080808080000000808080000000808080000000808080000000808080000000808080000000000000000000808080808080808080000000808080000000808080000000808080000000808080808080808080000000808080000000808080808080808080000000808080808080000000000000808080000000808080808080000008c8c8c0000000808080000000808080000000808080000000000000000000808080000000000000000000808080808081010100000000000000000000000000000000000000000000000000000000808080000000000000000000808080808081010100808080000000000000808080000000808080000000000000000000808080000000000000000000808080000000808080000000000000000000808080000000808080000000808080000000808080000000000000000000000000000000000000000000000000000000000000000000808080000000000000000000000000000000000000000000000000000000000000000000000000808080808080000000808080000000000000000001818180000000000000000001010100808080000000000000808080000000000000000000808080000001010100000000000000000000000000000000000000000000000000000000808080000000000000000000808080000000000000000000808080000000808080808080000001818186363630808080000000808080000000808082121210000000000000808081010100808080808080000000000000000000000000000000808080000000000000000000808080000000808080000000808080000000000000000000808080000001010100000000808080000000000000000000000000000000000000000000808080808080808080000000000000000000000000000000000000000000000000000000808080000000000000000000808080000000808080000000808080000000808080000000808080000000808080000001010100000008c8c8c0000000000000000000808080000000808080808080000000808080000000808080000000808080000000808080000000808080000000808080000000808080000000808080000000808080000000808080000000808080808081010101010100808080000000000000000000808080000000808080808080808080000000808080000000808080000000808080000000808080000000000000000000808080000000000000000000808080000000808080000000808080000000000000000000808080000000808080000000808080000000808080000000808080000000808080000000808080000000808080000000808080808080000000808080808080000001818180808081010100808080808081818183131310808080000000808080808080808080000000000000808080808080000000808080808080000000808080000000808080000000808080000000808080000000808080000000808080000000808080000000808080808080808080808081010100000000000001010100808080000000808080808080808082929290808080000000000000000000808080000000808081818182121210000000808080808080808080000000808080000000808080000000808080808080808080000000808080000000000000000000808080000000808080000000808080000000000000000000808080000000808080808080808080000000808080000000808080000000808080000000808080000000808080000000000000000000808080000000808080000000808080000000808080000000808080000000808081010100000008c8c8c0000000000000000000808080000001010100000000808080000000000000000000808080000000000000000000000000000000000000000000000000000000000000000000000000000000808080000000000000000000000000000000808080808081010100000000000000000000000000000000000000000000000000000000808080000000808080000000000000000000000000000000808080000000000000000000000000000000000000000000000000000000000000000000808080000000808080000000000000000000000000000000808080000000000000000000000000000000000000000000000000000000808080000000808080808080000000000000000000808080000000808081010101818180808080808080808080000000808080000000808080000000808080000000000000000000000000000000000000000000000000000000808080000000000000000000808080000000000000000000808080000000808080000000808080000000808080000000000000000000000000000000000000000001818180000000808080808080000000000000808080000002121212929290808080000000000000000000808080000000808080000000000000000000000000808080808080808080808080808080000000000000000000000000000000000000000000000000000000000000000000000000808080000000000000000000808080000000808080000000808080000000808080000000808080000000000000000000808080000000000000000000000000000000000000000000000000000000808080000008c8c8c1010100000000808080000000808081010100808080000000000000000000808080808080808080000000808080808080808080000000808080000000808080000000808080000000808080000000808080000000808080000000808080000000000000808080808080808081818180808083131310808080808080000000808080000000808080000000808080000000808080000000808080000000808080000000000000000000808080000000808080000000808080000000808080808080808080000000808080000000000000000000808080000000808080000000808080000000808080000000808080000000808080808080808080000000808080808080808085252524242420000000808080000000000000000001818180000001010100808080000000000000000000808080000000808080000000000000808080000000808080000000808080000000808080000000808080000000808080000000808080000000808080000001010100000000000000808081010100000000808080000000808080000000808080000000808080000000808080000001010100808080000000000001818180808080808080000000808080808080808080000000808080808080808080000001010100000000808080000001818180000000808080000000808080000000808080000000808080000000000000000000808080000000808080000000808080000000808080000000808080808080808080000000808080808080808080000000808080808080808080000000808080000000000000000000808080000000808080808080000008c8c8c0000000808082121210808080000000808080000000808080000000808080000000808080000000000000000000808080000000000000000000000000000000000000000000000000000000000000000000808080000000808080000000000000000000808080000000000000000001818185a5a5a0808080808080808080000000000000000000808080000000000000000000000000000000000000000000000000000000808080000000000000000000000000000000808080000000808080000000808080000000000000000000808080000000808080000000000000000000000000000000000000000000000000000000000000808080000000000001010101818188484846363630808080000001010100808080808081010100000000000000808080000000808080808080808080000000808080000000000000000000000000000000000000000000000000000000808080000000000000000000000000000000808080000000808080808080808080000000808080808080000000000000000000000000000000808080000000000000000000000000000000000000808080000000000000000000000002121211818180808080808080000000000000000000808080808080000000000000000001010100808080808080000000000000808080000000000000000000000000000000000000000000000000000000000000000000808080000000000000000000000000000000808080000000808080000000808080808080808080000000808080000000808080000000000000000000808080000000000000000001010100000008c8c8c0808080808083131310808080000000000000000001010100808080000000808080808080808080000000000000000000808080000000808080000000808080000000808080000000808080000000808080000000808080808080808080000000808080000000808080808082121216b6b6be7e7e76b6b6b1010100808080808080000000808080000000808080000000808080000000000000000000808080000000808080808080808080000000808080000000808080000000808080000000808080000000808080000000808080000000808080000000808080000000808080000000808080000000808080000000000000000001010100808080808080000000000001818181818180000000808080000000808082929292121210000000000000000001818181010102121210808080808080000000808080000000808080000000808080000000808080000000808080000000808080000000808080000000808080000000808080808080808080808080808080000000808080000000000000000000808080000000808080000000808080000000808080000000000000000001010100808080808080000002929291818180808080808080808080000000000000000000808080808080000001010107373734a4a4a1818180000000808080000000808080000000808080000000000000000000808080000000000000000000808080000000808080000000808080808080808080000000808080000000808080000001010100808080808080000000808080000000808080000000808080808080808080000000808080808080000008c8c8c0808080000001010100000000000001010100000000000000000000000000000000808080808080808080000000000000000000000000000000000000000000000000000000000000000000000000000000000000000000000000000000808080000000000000808081010100808085a5a5ad6d6d6393939101010101010000000000000000000080808000000000000000000000000000000080808000000000000000000080808080808080808000000000000000000000000000000080808000000000000000000080808000000080808000000080808000000000000000000000000000000000000000000000000212121080808000000080808000000080808181818000000000000080808080808080808000000101018000000101010000008080808181818080808181818000000080008080808000000000000000000000000000000000000000000000800000000080808000000000000000000000000000000080808080808000000000000000000080808080808000000080808000000101010000000000000000000080808080808000000000000080808080808000000000000000000000000080808080808000000000000080808080808080808000000080808000000101010000000393939e7e7e7bdbdbd3131311010100000000000000000000000000000000000000000000000000000000000000000000000000000000000000000000808080808080808080808080808080000000000000000000808080808080808080000000000000000000000000000000000000000000808080000000000000000000808080000008c8c8c0000000808080808080000000808080000000000000808080808080000000808080000000808080000000808080000000808080000000808080808080808080000000000000808080808080000000000000000000808080808080808080000000808080000002929292929291010103131314242420000001818181010101010100000000000000000000808080808080808080000000808080000000808080000000808080000000808080000000808080000000808080000001010100000000808080000000808080000000808080000000808080000000808080000000808080000000808080000000808080000003131312118181008080000000800000808081008080000000000001010101818180000000808100000080808100000080808100800102121290000081010180000080800100000080808080000000008080008000008000000000008000008000008080000000808080000000808080000000808080000000808080000000808080000000808080000000808080000000808080000000000000000000808080808080808080000000808080000000808080000000808080000000808080000000808080000000000000808081010100000000000000808080808080000000808080808085a5a5a3939391818186b6b6b0808080808080808080000000808080000000000000000000808080000000808080000000000000000000808080808080808080000000808080000000808080000000808080000001818181010101010100808080808080000000808080000000808080000000808080808080000000808080000008c8c8c000000080808000000080808181818181818080808000000000000080808000000000000000000080808000000080808000000080808000000080808000000000000080808000000000000000000000000080808000000000000000000080808080808000000080808000000000000181818101010000000080808080808000000000000000000000000000000080808000000000000000000000000000000080808000000000000000000000000000000101010000000000000000000000000000000080808000000000000000000080808000000000000000000080808000000000000000000080808000000080000100810101010080000080000080000080808080000000000000000101818424a4a0008080008100000080000000000080000000808100000080000080000000000080808100000080000080008080000000808080008080008000000000008000000000808080000000000000000000808080000000000000000000808080000000000000000000808080000000000000000000000000000000000000000000808080000000000000000000808080000000000000000000808080000000000000000000000000000000000000000000000000000000808080808080808080808080000002121212121210000001818180000000000000808080808080000000000000000000808080000000808080000000000000000000000000000000808080000000808080000000808080000000808080000000000000808080808080000000000000000000000000000000808080000000000000000000808080000000808080000008c8c8c080808000000000000080808212121181818080808000000080808000000080808000000080808000000080808000000080808101010000000080808080808000000101010000000080808000000080808000000080808000000080808000000080808000000000000000000181818101010000000080808000000000000080808000000080808000000080808000000080808000000080808000000080808000000080808000000101010080808101010292929181818080808000000101010080808000000080808000000080808000000080808000000080808000000080808000000080808000000080808000000080008080008100808080008080808080808100808080008182121737373f7f7ff4a52521821210008080008080808102121210000000800000000000800000800000800001008080808080000000808080808080810100008080008080000000808080000000808080000000808080000000808080000000808080000000808080000000808080000000808080000000808080000000000000000000808080808080808080000000808080000000808080000000808080000000808080000000808080808080808080000000808080808081010100000001010100000001010100808080808081010100000000000001010100000000808081010100808080000000808080000000808080000000808080000000808080000000808080808080808080808080808080000000808080000000808080000000808080808080000000000000808080000000808080808080808080000000808080000000000000808080000008c8c8c000000080808000000000000000000080808000000080808000000000000000000080808000000000000000000080808000000000000000000080808000000000000000000080808080808080808000000000000000000080808000000000000000000080808000000101010212121212121000000101010000000000000000000080808000000080808000000000000000000080808000000080808000000080808000000080808000000000000000000212121080808000000000000080808000000000000000000080808000000000000000000080808000000000000000000000000000000000000000000080808000000080008080008080808000000080808080808080810080808525a5abdc6c63939421821211821210808100000000000000000000810000008000808000800000808000800000000000800000000000808080800080800080000080000080000000000000000000808080000000000000000000808080000000000000000000000000000000000000000000000000000000000000000000000000000000808080000000808080000000808080000000808080000000808080000000808080000000000000000000000000000000000000000000000000000000000000808082121210000000808080808083131312929290808080000000808080000000000000808080000000000000000000000000808080000000808080000000808080000000808080000000808080000000000000000000808080808080808080000000808080000000808080000000808080000000000000000000808080000000808080000008c8c8c0808080808080808080000000000000000000000000808080808080000000808080000000808080000000808080000000808080000001818180000000808081010100000000808080000000000000808080000000808080000000808080000001010100000000808080808081010101010100808080000000808080000000808080000000808080000000808080000000808080000000808080808080808080808080808080808080808080000000808080808080808080000000808080000000808080000000808080000000808080000000808080000000808080000000808080000000000000000000808080000000808080808080808080000000808080008080808100008080808080000002121210000001818180810100810100810101010081010080808000808001818080000001818080000000808000808001008080800000800100800101000100800100800080000000808080000000808080000000808080000000808080000000808080000000808080000000808080000000808080000000808080000000808080000000808080000000808080808080808080808080808080000000808080000000808080000000808081010101010100000000000000000000808080000000808081818181010100808080808083939393939390808080808080808080808080000001010100000000808080000000808080000000808080000000808080000000808080000000808080000000808080000000808080000000808080808080808080000000000000000000808080000000808080000000808080808080000000808080808088c8c8c0000000808080000000000000808080808080000000000000000000000000000000000000000000808080000000000000000001010102929290000000000003131310808080808080000000808080000000000000808081818181010100808080808080000000808080000000000000808080000000000000000000808080000000000000000000000000000000808080000000808080000000808080000000808080000000000000808080000000808080000000000000000000808080000000000000808080000000000000000000808080000000000000000000808080000000000000000000000000000000000000000000800080000000000080000080808080000000000000808080808080000000808080808080000000000001018180000000808000000000808000000000808000000000810000000000808000800000800000000000800100800100800100000000808080000000000000000000808080000000000000000000000000000000000000000000000000000000000000000000000000000000000000000000808080000000808080808080808080000000808080000000808080000000000000808080808080808081818181818180808080000000808080000001010100000000808081010100808080000001010100808080000000000000808080000000000000000000000000808080808080000000000000000000808080000000000000000000808080000000808080000000808080000000000000000000000000000000000000000000000000000000808080808080000000000000808080000001010100000008c8c8c0808080000000000000000001010100808080000000000000808080000000808080000000808080000000808080000000808081010102929290000000808082121211010100808081010100000000000000000001010101818181818180000000000000000000808080000000808080808080808080808080808080000000000000000000808080000000808080000000808080000000808080000000808080000000808080000000000000000000808080000000000000000000808080000000808080000000808080000000808080000000808080000000808080808080808080000000808080000000808080000000000000000000808080000000808080808080008080000000000080808080008080000000808080008080008000000000000080000001010100008007b7b73949c947b84730810000008000008000808080000000800080800080800100800080808080000000808080000000808080000000808080000000808080000000000000000000808080000000000000000000000000000000808080000000808080000000808080000000808080000000808080000000808080000000808080000000808080000000000000808080808080000000000000000000000000808080808080000001010100808080000000000000000000000000808080000000000000000000808080808081010100808080808080000000808080000000808080000000808080000000808080808080808080000000808080000000808080000000808080000000808080808080808080808080808080000000808080000000808081010100808088c8c8c000000080808000000000000000000000000000000080808000000000000000000000000000000000000000000080808000000000000000000000000000000000000000000080808000000080808000000000000000000080808080808080808000000080808000000000000000000000000000000212121000000080808000000080808000000000000000000000000000000000000000000080808000000080808000000080808000000080808000000101010000000080808000000000000000000000000000000080808000000000000000000080808080808080808000000080808000000000000000000080808000000080808000008000008000000000008000008000808000000000008000808000000000000000800000000080808000008080810000000293131b5b5b5212929b5bdb55a635a0000000810000810080808080000000800080800080800100000000000000000000808080000000000000000000808080000000000000000000000000000000000000000000000000000000000000000000000000000000000000000000808080000000000000000000000000000000000000000000808080000000808080808080808080000000808080000000000000000000000000000000808080808080000000808080808080000000808080000000000000000000808080808081010101010101010100808080808080000000808080000000808080000000808080000000808080808080808080000000000000000000000000000000808080000000808080808080808080808080000000000000808080000001010100000008c8c8c000000000000080808000000101010000000000000000000080808000000080808000000080808000000080808000000080808000000080808000000080808080808080808000000080808000000080808000000080808000000080808000000080808000000080808080808000000000000080808000000080808000000080808000000080808000000080808000000080808000000080808000000080808000000080808000000000000000000080808000000080808000000080808000000080808000000080808000000080808000000080808000000080808000000080808000000080808000000080808000000080808000000000808080808080810000008000008000008080810000008080008000000000000000800080800000800100818000010000010212131bdc6ce949ca5adbdb52939310008000000000810100810100000000808080800080808100808080000000808080000000808080000000808080000000808080000000808080000000808080000000808080000000808080000000808080000000808080000000808080000000808080000000808080000000808080000000808080808080808080808080808080808080808080808080808080000000808080000000808080000000808080000000808080000000000000808080000000000001010100000000808081010100000000000001010100808080000000000000000000000000808080000000808080808080808080000000808080000000808080000000808080000000808080000000808080000000808080000000808080808080808081010100808088c8c8c080808000000000000000000000000000000000000080808000000080808000000000000000000080808000000000000000000000000000000080808000000000000000000000000000000080808000000000000000000000000000000000000101010080808080808080808000000000000000000000000000000080808000000000000000000080808000000000000000000080808000000080808000000080808000000000000000000000000000000000000000000000000000000000000000000080808000000000000000000080808000000000000000000080808000000000000000000080808000000080808000000000000000000000000000000000008000000080008000000080008000000080808080800081000000800080000000008181029000010181829adb5bd313942b5c6c63139420000004a5a5a000000000000000000000808000000080808000000000000000000080808000000080808000000080808000000000000000000000000000000000000000000000000000000000000000000000000000000000000000000000000000000080808000000000000000000080808000000080808080808080808000000080808000000080808000000000000000000000000000000000000000000080808000000080808000000000000000000080808000000000000000000000000000000000000000000000000000000101010000000080808000000080808080808080808080808000000000000000000000000080808000000080808000000080808000000000000080808080808000000080808000000101010000000949494080808000000000000000000000000080808080808000000080808000000080808000000080808000000080808000000080808000000000000080808080808000000000000080808080808080808080808000000080808000000080808080808080808080808080808000000080808000000000000080808080808000000080808000000080808000000080808000000080808080808080808080808080808000000080808000000080808000000080808000000080808000000080808000000080808000000080808000000080808000000080808000000080808000000080808000000080808000000080808000000101810080808080808080008080808080008080010080008080008080000080000000000080800080000080800080000181018100810080008211821bdbdc68c94949ca5ad102121081018848c940008080000001010100008000808080000000008000000000808080808080808080000000808080000000808080000000808080000000808080000000808080000000808080000000808080000000808080000000808080000000808080000000808080000000808080000000808080000000808080808080808080000000808080000000808080000000808080000000808080000000808080000000808080000001010100000000808080000000000001010100808080808081010100000000000000808080808080000000000000000000808080808081010100808080808080000000808080808080808080808080808080000000808080808080808080000001010100808080808080808080808080808080808088c8c8c0000000000000000000808080000000808080808080000000000000000000000000808080000000000000000000808080000000000000000000808080000000000000808082121210808080808080000000808080000000808080000000808080000000808080000000000000808080808080000000808080000000000000000000000000000000000000000000000000000000808080000000808080000000808080000000808080000000000000000000808080000000000000000000000000000000000000000000808080000000000000000000808080000000000000000000808080000000808080000000808080808000808080800000800080000000800080800080800080800081000081000001008000800000808000808001810000800001000001810080808000800001818210000000000080000083139420000000008080000000808000808000808000000000808080808080808080000000000000000000808080000000000000000000808080000000000000000000808080000000000000000000808080000000000000000000808080000000000000000000000000000000000000000000808080000000000000000000808080000000808080808080808080000000000000000000808080000000808080000000808080000000000001010100808080000000808080000001818180000000000000808080000000000001010100808080000000000000000000808080808080808080808080808081010100000000808080808080808080000000808080000000000000808080808080000000808080000000808080000009494940808080808081010100808080808080000000808080000000808080000000808080000000808080000000808080000000808080000000000000808080808080000001010101818180808080000000000000000000808080808080808080000000808080808080808080000001010100808080000000000000808080000000808080000000808080000000808080000000808080000000808080000000808080000000808080000000808080000000808080000000808080000000808080000000808080000000808080000000808080000000808080000000808080000000808080000000808080000000808080808080808080808001008080800081008101000081008101000081000080800001808081808081810001008001810001810004231084231003929001008001810000800001810100000000800100000081008101008101008081008002110081008000808080000000808080808080808080000000808080808080808080000000808080000000808080000000808080000000808080000000808080000000808080000000808080000000808080000000808080000000808080000000808080000000808080000000808080000000808080808080808080808080808080000000808080000000808080000000808080000000000000000001010100000000808080000000808086363635252520808080000000000000000000000000808080808080808080000000808080808081010100808080808080808080000000000000808080000000808080000000808080000000808080000000808080808080000000808080000008c8c8c0808080808080808080000000808080000000000000808080000000808080000000000000000000808080000000000000000000000000000000808080000000000000000000808080000000000000000000000000000000808080000000000000000000808080000000000000000000000000000000808080000000000000000000000000000000000000000000000000000000000000000000000000000000000000000000000000000000808080000000808080000000808080000000000000000000808080000000000000000000808080000000000000000000808080000000000000000000808080000000808080800001008080800000800080800081000100800080800081000081000080800001008001000001808002118084231106352087363105242003121003121001808002118101000080800081008100800080800081000081000002110081000000000000000000000000000000000000808080000000808080000000808080000000000000000000808080000000000000000000808080000000000000000000808080000000000000000000000000000000808080000000808080000000000000000000000000000000000000000000808080000000000000000000808080000000808080000000808080000000808080000000808080000000000000000000808081818187b7b7b5a5a5a0808080000001010101010101010100000000808080808080808080000000808080808080808080000000000000000000808080000000000000000000808080000000000000000000000000000000808080000000808080000008c8c8c080808000000080808000000292929000000000000080808080808000000080808000000080808000000080808000000000000000000080808000000080808000000000000000000080808000000080808000000080808000000080808000000000000000000080808080808000000000000080808080808080808000000000000000000080808000000000000000000080808000000080808000000080808000000080808000000080808080808080808000000080808000000080808000000080808000000080808000000080808000000080808000000080808000000080808000000080808000000080808080000080000080000100000080000100008100008100010100008100010100000100000100000180800181000312910524210a58c31ad94299484215242002910001808001808002110081000081800101000081000082100101800083118101800001010100808080808080000000808080808080808080000000808080000000808080000000808080000000808080000000808080000000808080000000808080000000808080000000808080000000808080000000808080000000808080000000808080000000000000000000808080000000808080000000808080808080808080000000808080000000808080000000000000000000808080808081010100000000000001010101010100000001010100000000808083939393939390000000808080000000000000000000808080000000000000000000808080000000808080000000808080000000808080000000808080000000000000808080808080808080000008c8c8c0000000000000808080000003939390808080000000008080000000000000000000808080000000000000000000808080000000000000000000000000000000808080000000000000000000808080808081010100000000000000000000808080000001008082121212121210808080000000000000000000000000000000000000000000000000000000000000000000000000008000000000008080000000008080000000008080000000808080000000808080000000800000000000800000800000800000800000800080800000800000800000800080800000808080800000800080800000800000800000800001000001808081808082110102918183929314229314a31395a424a634a52735a5a846b6b7b6b63846b5a8473639c8c63b59c42bdad39ad9c399c8431947b429c845a8c73638463637b5a635a394a6342526b4a5a4221295231314221213118182110101810100800080808080800000808080800000800000800000800080800000808080800000800080800000808080800000800080800000808080000000808080000000808080000000000000000000008080000000008080000000000000000000000000000000808080000000808080000000808080000000808080000000808080000000808080000000808080808080000000000000808080000000808081818180808080808080000001010101010100000001010101818180000000000000000000000000808080000000000000000000808080000000808080000000808080000000808080000000000000000000000000000000808080000000808080000008c8c8c0808080808081010101818181010100000000808080000000000000008080008080000000808080808080800000808080808080000000808080000000808080000000808080000000808080000000808080000000808080000000808080800001008081008081010101008080808080008080008080008080008000000000008080000000008080000000808080000000008000008000008080000000008000000000008080808080810080008080808080800000800080000000808081008081808081000001808081808081800081000001808081000001000001800082110102910183121214229315a424a635252846b639c847bad8c8c9c7b7ba58484ad8c8c9c847b735a52735a5273525284635a7b635a73524a523129735a4a846b4a9c8c52c6ad6b8c7b396b52216b52316342296b524273524a73525a73525a7b5a637b5a638c636b946b73a58484a584849c848c9484848c7b7b6b5a636352525242424231312110102918181000081000001000001000081000001000081808081808081000001000080800000800080800000808080808080000000000000008080008080810100008080008080000000808080000000808080000000000000000000808080808080808080000000808080800000808080800000808080808080808080000000808080000000808080808080808080808080808080000000808080808080808080000000808080000000808080000000808080000000808080000000808080000000000000000000808080000000808080000000808080000000808080000000808080000000808080808080000008c8c8c0800000800000000000000000808080000000008081818181010100808080810100000000000001010100800000000000000000000000000000000000000000000000000000000000000000808080000000000000000000808080000000808080000000800080800000808080000000008000000000000000000000008000000000008000000000808080000000000000008080010100008080810100010100810080000000000000000000800000800001008081008081008080800001000001808081800001000001000001000002108103921214a3139634a4a7b63638c737ba58c94a58c8c947b7b735a636b4a524a29295231293921182910082100002908082100002100001800002100001800002100002100004a29294a29215a3929635229a594634a3908312100291000210000180000210000180000210000180000210000180000210008210000210008392121392121392129523942634a527b63638c7373a58c8c9c84848c7b7b7b63636b5a5a5239423921211800081000001000001000000800001808081000001000001810104239390800001010101010100808080000000000000000000810100000000808080800000808080000000808080000000000000808080808080800000808080000000800000000000000000000000808080000000000000000000808080000000808080000000808080000000808080000000808080000000000000000000808080000000000000000000808080000000808080000000808080000000000000000000808080000000000000000000808080000000000000000001010100000008c8c8c0800001008081010100000001010100008080000004242421018180000001821210808080800000000000800000800000808080000000808080000000808080000000808080000000808080000000808080000000808080000000808080800000808080800000808080000000808080008080008080000000008080000000008080000000808080800000808080800000000000000000000000000000000000000001010101810101010101008081008081000001000081000001808081808081800002108104a39396b5a5a8473738c7b7b9c848c9c84847b636b634a524a31392918182110101800081800001000002910101808001800001800001808001808001808001808002108081808002910081000004231295242393121182110003129008c84522118001810001808001000001808001800002108101808082108101800082108081800081800081000002108081000001800081800082108081000002110103118213118183929296b52528c737ba58c8c9484848c737b7b6b6b634a523921211808081800081808081000001808102918181808101000000800000800001010101008080808080000000808080000000808080800000808080800000808080000001010100808080808080000000808080000000000000000000808080000000808080000000808080808080808080000000808080000000808080000000808080000000808080000000808080000000808080000000808080000000808080000000808080000000808080000000808080000000808080000000808080808080808080000000808080808080000008c8c8c000000100810000000000000000000101010182121b5b5b5949c9c081010080808000000000000080000080000080808000000000000000000000000000000000000000000000000000000000000000000080808000000000000000000080808080000080808000000080808000808080808000800000808000000000000000000000000000000080000080000080008080000100808100808100808080000080000080000100000080000100000100000180008100000291018423131634a529484848c7b7b847373846b735a4a4a422931211010100000100000100000100000100000100000180808100000100000080000080000080000100800100800100800080000100800100000080000180808100800635a5229211810000010080018100094946b101000181800100800100800100800100808080000080000080000100008100000100000100000100000080000180008180808180008080000100008100008180008100008100000080000100000100008291821423139634a52947b849c848494737b7b636b5a42423921291808081000001000001000001000081808080800000800000800001000000800000800080800081008080800000800000000000808080800000808080000000808080000000000000000000000000000000000000000000808080000000808080000000808080000000000000000000808080000000000000000000808080000000000000000000000000000000000000000000808080000000808080000000000000000000000000000000808080000000808080000000808080000000808080000008c8c8c080008000000080808000000101010080808292929bdbdbdadadad1818181818180000000808080000000800080000000808080000000808080000000808080000000808080000000808080000000808080000000808080000000808080000000808080000000808080000000008080008080008080000000008000000000808080800000800080800001000081000001800081000001000001000001808081800081808081000002108101800082910184a3139735a638c7373947b848c737b4a39423121212118181808081000081000001808081000001808101008081808081000001008081000081808081008081010100808081008080808000808000000000808000000001008080000000808001010086b63630800001010101010080810008c94730810000810000808000008000808000000000808080000080808080800000800080000000808000800001008081008081808101000001000081000001000080800001000081000001008081000081000080800001000001000001800002108084a29316b525a9c8484a58c94947b84735a634229312910181800001000001808082108102110101000001000080800081810101810101008080000000800000800000808080800000808080000000008080000000808080000000808080000000808080000000808080000000808080000000808080000000808080000000808080000000808080808080808080000000808080000000808080000000808080000000808080808080808080000000808080000000808080808080808080808080808080808080808080808080000008c8c8c0808080800001010101010103131310008080810105a63631821210000002121211010100000000000000000000808080000000000000000000000000000000000000000000000000000000000000000000000000000000808080000000000000000000008080000000000000000000008080000000000000000000000000000000800000800001000000800001000001000002108082100082100081800001800001800082910105a424a84636b9c8484a58c8c7b63634a3131210810180808100000080000080000100008100008180808100808100000080000080000080000100808100000100008080000080000000000000000000000000000000000000808000800000800000000101818000000181818424242000000000000000800000800848c730008000010000008000810080008080008080000080008080000000008000000000008000000000008000800000800000800002118182118181008080800001008080800000800000800001008080800000800000800001000002108081800081000001800001000002108085239398c7373947b84947b847b63635239422108101800001000001800080800001000000800001808101008081008080000000800000800000808080000000000000000000000000000000000000000000808080000000000000000000808080000000000000000000808080000000808080000000808080000000808080000000808080000000000000000000808080000000808080808080808080000000000000000000808080000000808080000000808080000000808080000000808080000009494941010100000000808080000002121210808081818182931310810100008081010100000000800000808081008080800000808080000000808080000000808080000000808080000000808080000000808080000000808080000000808080000000008080008080008080000000008080000000008080000000808080800001008080800001008081000001800081800002108082100001800001800003110185239428c7373ad8c94a5848c6b5252311821100000180000100000180000100000180810080000100808100808100808080000100808080000100810100808100808080000080000080000100808100808080808000808080808000808080810000808000008000000000008000808000000182121424a4a0008080000080008001018087b84730810000008000008000000000000000000000008080000080008080000000008080008000008000008000808080000000808081818182121210808080800000000000808080800000808080800000808080800081008081008081000081000001000001808082110101800001800082108082910184229317b5a63947b84a5848c7b63634a31312108082910181000001000001000001808101000081008080800001008080800000808080000000808080000000008080000000808080000000808080000000808080000000808080000000808080000000808080000000808080808080808080808080808080000000808080000000808080000000808080000000808080808080808080000000808080000000808080000000808080808080808080000000808080808080000008c8c8c000000101010000000181818000000081010000000000800000000080808000808000000000000080808000000080808000000000000000000000000000000000000000000000000000000000000000000000000000000000000000000000808000000000800000000000800000000000000000000080000080000080808080000100808100000180008100000180808100000210008392121735a639c84849c848c6b5252392929100000100000100000180808100000100000100000100808080000080000080000100808000000080000080000080808000000080000080000080808080000080008000000000000000000000000000000000808000000000000000000080808000808000000000000101018424a4a0000000000000008080008086b7b6b000800000800000000000808000008000808000000000808000000000808000000000800000000000800000000000000000000000000000000000000080000080808000000000000000000000000000000000000000000080000080000100808100000100000080000100808100000100000100000100000100000210810423131735a63947b84a594945239423121211000001000001000001000080800000800000000000800000000000800000000000000000000000808080000000000000000000000000000000808080000000000000000000000000000000000000000000808080000000808080000000000000000000000000000000000000000000808080000000808080000000808080000000808080000000000000000000808080808080808080000000808080000009494941008080808080808080000000808080808085a5a5a0008000808080008080808080000000808080000000808080000000808080000000808080000000808080000000808080000000000000000000808080000000808080000000808080000000008080008080008080000000808080800000800001008080800000800001008081000001000081808081808101000004a3139736363a58c8c8c737b5242421808081000001000001008081000081008080800000800000800001008081010100800000808080808080000000800000808081008080808080808080000000808080800000808080000000808080000000808080000000808080000080008080000000008080000000008080000000000081018184a52520000000808100000000810087b847b0808080000000808080000000808080000080000080000000008080000000008000000000008000000000008000000000808080000000000000000000808080000000808080000000808080000000808080000000808080000000808080000000800000800001008080800000800080800001008081000001008081000081000001000002910183929298c7b7b9484846b5a5a3929291000001808081008080800000800001008080800000000001810100808080800001008080808080000000000000000000808080000000808080000000808080000000808080000000808080000000808080000000808080000000808080808080808080000000808080000000808080000004a4a4a2929290000000808080000000808080808080000000808080808080808080808080000008c8c8c0000000800000000001818180000000000001018180000000008000008080000000008080000000800000000000000000000000000000000000000000000000000000000000000000000000000000000000000000000000808080000000000000808080000000000000008080000000800001010100800001008081008081008081808080800001808084a39397b6b6b94848463525a2110181000000800001808081000080800000800001008080800000800000000000000000000001010100808081010100808080800000808080808080000000800000000000808080000000800000000000808080000000800000000000800080000000800080000000800080000000800000000000800080000001818184a4a4a0000000800080000000808088484840800080000000800080800080000000800080800080800080000000000000000000808000000000808080000000008080000000000000000000008080000000000000000000000000000000000000000000000000000000000000000000000000000000008000000000000000000000000000000000800000000001008080800000800000800001808101000003121216b5a5aa59c9c84737b393131080000100808100808080000080000181010000000080000080000080000080000080808080808000000000000000000000000080808000000080808000000000000000000080808000000000000000000080808000000080808000000080808000000080808000000313131cececebdbdbd2121210000000000000808080000000000000000000808080000000808080000009494941810101010101818183939391818180008080008080808080808080008080808080000000808080000000800080000000808080000000808080000000808080000000808080000000808080000000808080000000808080000000808080000000000001010101010100000001810101008080800001000081808101000001000001000085a4a4a9c8c949c8c8c524a4a211818180810100808080000100808080808080808000000080808080808080808000000000808000000080808080808080808000000000000000000101010000000000000080808080808000000080808000000080808000000080808000000080808080000080808080000080808080000080008080000080808080000080000181018525252000000100808000000100810847b841008080000001008080800000808080800001008080800000808080800000808080800000808080800000000000008080808080000000008080000000008080000000008080000000008080000000008080000000008080000000008000008000008080000000008080000000008080000000808080000000808080808081008100800000800000000001000001810102110182110106b5a5aa5949c9484844231311000080800001810101008081000000800002118180800000800000000000000000000000808080000000000000000000808080000000808080000000808080000000808080000000808080808080808080808080808080000000808080000001010100808087373736363631010100808081010100000000808080000000808080808080808080808080000008c8c8c0000000800000000001010100000000808080000000000000000000008080000000008080000000800000000000800000000000000000000000808080000000000000000000808080000000000000000000000000000000000000000000808080000000000000000001008080000001000081808101808101808081808084a394294848c8c7b7b4a39421808101008080000000800000800000800080000000000000000000808080000000008080000000008080000000008000000000008080000000000000000000000000000000808080000000808080000000000000000000000000000000000000000000808080800000800080800000800080000000800000800000800080000000800000000001818184a4a4a0800000800080800000800088484840800080800000800000800000800000808080000000800000800001008080800000800000000000800000000000808080808080808080000000000000000000000000000000000000000000000000000000000000000000008000000000008080008080008000000000008080008000008080008080008080000000808080800000808080800001008081008081008081008081008080800001000004a42429c94948c7b7b4231310800001000001808081808100800001000000000000808080000000808082121212121210808080000000000000000000000000808080000000000000000000000000000000808080000000808080000000000000000000808080000000000001818181010100000000808080000000808080000000000000000000808080000000808080000008c8c8c0808080800000808080000000000001010100808080808080008080000000808080000000808080000000808080000000808080000000808080000000808080000000808080000000808080000000808080000000808080000000808080000001008080000001008081008081000000800001808081800083929296b5a5a8c7b84635252211818080000100808080000080000080000101010101010101010080808000000000000000808000000080808000000000808000000000808000800101010181818101010000000080808080808080808000000080808000000080808000000080808000000080808080808080808080000080808000000080008000000080808080000080008000000080000181818524a52000000100808000000100808847b7b1008080000001008080000001008080808000800000000001008080808000808080000000808080800000000000008081010100808080008080000000808080000000008080000000008080000000008080000000008080000000008080008000008080000000000000000000808080008080808080000000000000000000808080000000808080808081810100800080800002110181808081808101000082110106b636394848c7b6b6b2918181800081800001800081000081008081010100808081010103131312929291010100000000808080000000808080000000808080000000808080000000000000000000808080000000808080000000808080000000000000808082121211010100808080808080000000808080808080000000808080808080808080808080000008c8c8c080000080000080808000000000000000000000000000808000000000808000000000000000000080000000000080000000000000000000000000000000000080808000000080808000000080808000000000000000000000000000000080000000000181818100808080000100000100008291818735a639c848c6b5a5a3121211000000800000800000800000800000000000808080000000000000000000000000808081010100000000808080000000000000000000808080000000000001010102121211010100000000000000808080000000000000000000000000000000000000000000808080000000808080000000808080000000000000000000008000000000808000000000008000000001818184a4a4a0000000808000000000808088484840000000000000008000808000000000808080000000808080000000000000000000808080808081010100000000808080008080808080000000008080000000000000000000000000000000000000000000000000000000000000000000000000000000000000000000008080000000808080000000000000000000808080000000000000000000808080000001008081008103931391008080800000800003121211808083121217b6b6ba58c945a424a2108081800002108100000000808080000000808081010101010100000000000000000000808080000000000000000000000000000000000000000000808080000000808080000000808080000000808081010100000000000000000000000000808081010100000000000000000000000000808080000000808080000008c8c8c1008080000001008080808080808080000000008080000000008080000000008080000000808080000000800080000000808080000000808080000000808080808080808080000000808080808080808080000000808080000000808080800001008100800001000001000001800084a3939947b849484843121211000001000001808081810100800000800001010101010100800000800000000000808080808080800000000000808080800000808080000000808080000000808080000000808081010101008080000000808080808080808080800000808080000000800000000000808080800000808080808080808080008000008000000000008000000000008000008000008000000000008001018104a524a0000000810080000000810087b847b080808000000080808000800080808000800080808000800080808000000000808000000081010101010080808000808080808000000080808000808080808000000000808000000000808000000000808000000000808000000080808000000080000100808181010080808080000000000080808080000080808080808080808080808080808000000100810100808080008100808080000100808100000100808100000291818180008392129b5949c9c7b843110181000001008080808080808080808080808080000000808080808080808080000000808080000000808080000000000000000000808080000000808080000000808080000000808080808081010100808080808081010100808080000001010100000000808080000000000000808080808080808080000008c8c8c0800000800000000000808080000000000000808080000000000000000000000000000000000000800000000000800000000000000000000000808080000000808080000000808080808080808080000000000000000000000000000000808081000001800080800003121217b636b9c8c8c5a424a1000001000001008081000081000080000000808080800080800000000000800000800000808080000000800000000000808080800000800000000000000000000000800000000000800000000000808080000000808080808080800000000000808080000000800000000000000000000000800000800000808080000000008000000000008000000000008000000000008000000000008000000001018184a4a4a0000000008080000000008007b847b0008000000000008000008000008000008080000000008080008080810080000000000000000000000080000000008080000000000000000000808080000000008080000000000000000000000000000000000000000000000000800080800000000001810181818181008100000000808080000000800000000000800000000000808080800000808080000000000000808081008080800000800001000001808101810101000001000081000001800087b636bad949c7363630800000800000800001008080000000800000808080808080000000008080000000808080000000800000000000800000000000000000000000000000000000000000000000808080000001010100000000000000808080000000000000808080000000000000000000808080000000808080000008c8c8c080808000000101010000000080808000000181818212121000000080808080808000000080808080808000000000000080800000000000808000000000808000000080808000800636b6b0000000808080000000800000808080808080800001800081000005239429c84847b6b6b2110181000000800001008081008080800000800001010100800001008080800000808080000000808080000000808080000000808080000000808080000000808080000000808080000000808080000000808080000000808080000000808080000000808080000000808080000000808080000000000000000000808080000000000000808080000001010100000000808080808080000001010100000000808081818184242420008000000000008000000007b847b101008000800000800080808000800080808081010000000080808000808081010000000101010000808000000000000000000101010080808000000101010000000000000080808000000101010000000080808000000000000101010000000080808080808100808101010080000080808080000101010080000000000080808080808080808000000080808000000080808080000080808080000080808080000100808080000100808100808080000080000423939847b7b947b7b3118181800001000002118181008080000000008080008000000000808080008080800000800001008080800000808080000000808080000000808080000000808080808080000000000000808080000000808080000000808080000000000000000000808080808080808081010100000008c8c8c0000000000000000000000000000001818183131314a4a4a0000000808080000000808080000000000000000000808080000000008000000000008000000000008000000000008000000000000000810080000001818180800000000001810101800006b525a9c848c5a4a4a100000100000080000100808000000080808080000080808000000080000100808080000000000080808000000000000000000080808000000000000000000080808000000000000000000080808000000000000000000080808000000080808000000080808000000000000000000080808000000000000000000080808000000080808000
Важнейшие точки и линии эллипса.
Эллипс определяется
как геометрическое место точек, для
которых сумма расстояний от двух заданных
точек (фокусов F1 и F2)
есть величина постоянная и равная длине
большой оси: r1 + r2
= |AA´|
= 2a. Степень вытянутости
эллипса характеризуется его эксцентриситетом
е. Эксцентриситет е = ОF/OA.
При совпадении фокусов с центром е = 0,
и эллипс превращается в окружность.
Большая полуось а является средним
расстоянием от фокуса (планеты от
Солнца): a = (AF1
+ F1A')/2. Она
связана с механической энергией тела
следующим соотношением:
Так
как при движении по эллипсу полная
энергия отрицательна, большая полуось
больше нуля. Длина малой полуоси b
зависит от секториальной скорости тела
(т.е. скорости изменения площади,
заметаемой радиус-вектором):
Круговые
орбиты являются вырожденным случаем
эллиптических. Записывая второй закон
Ньютона, получим, что кинетическая и
потенциальная энергия тела на круговой
орбите связаны соотношением: 2K
= –U. Применяя закон
сохранения энергии, легко получить, что
K = –E. Т.о.
при круговом движении сумма полной и
кинетической энергии всегда равна нулю.
Элементы орбиты характеризуют форму,
размеры и ориентацию в пространстве
орбиты небесного тела, а также положение
тела на этой орбите. В настоящее время
для описания положения планеты или
спутника широко используются оскуллирующие
элементы. Точка орбиты тела, ближайшая
к притягивающему центру (фокусу), в общем
случае называется перицентром, а наиболее
удаленная от него (только у эллипса) –
апоцентром. Если притягивающим центром
является Земля, то эти точки называются
соответственно перигеем и апогеем.
Наиболее близкая точка к Солнцу называется
перигелий, наиболее удаленная – афелий.
Для Луны эти точки будут перилунием
(периселением) и аполунием (апоселением),
для произвольной звезды – периастром
и апоастром. Прямая, соединяющая перицентр
с фокусом (большая ось эллипса, ось
параболы или действительная ось
гиперболы), называется линией апсид.
Расстояние от притягивающего центра
до перицентра равно АF1 =
a (1 – e), до
апоцентра – F1A'
= a (1 + e).
Среднее расстояние от притягивающего
центра до тела, движущегося вокруг него
по эллипсу, равно длине большой полуоси.
Список литературы
Для подготовки данной применялись материалы сети Интернет из общего доступа