К парадоксу близнецов
К парадоксу близнецов
Солонар Д. П.
Многими авторами рассматривался “парадокс близнецов” и большинство из них придерживаются выводов А. Эйнштейна по этому вопросу в той или иной форме видоизменяя его.
Поэтому в данной статье рассмотрены некоторые вопросы, по теории относительности А. Эйнштейна и показаны ряд неточностей и ошибок, которые, в конечном итоге, привели к неверным выводам и постулатам этой теории. Показано, что положение А. Эйнштейна о влиянии движения системы на возраст живых, заключенных в футляр, является не верным, т.к. оно противоречит постулату о равенстве физических законов в инерциальных системах.
Введение.
По мнению А. Денисова [1] теория относительности привела к отказу от материального эфира в физическом пространстве и к замене его идеальным полем векторов и скаляров в пространстве координат.
Эйнштейновское замедление времени – это единственный миф, имеющий реальные основания, а его мифичность состоит в неверной формализации указанного процесса. В частности, она породила миф о парадоксе близнецов, который, конечно же, не может иметь место. Дело в том, что время по Эйнштейну может только замедляться. В действительности же по мере удаления движущегося близнеца его местное время уменьшается, но по мере возвращения – на столько же увеличивается.Часы местного времени, движущиеся вместе со световой волной, вообще стоят, то есть показывают одно и то же время. Это означает, что все процессы в движущихся со скоростью света системах протекают бесконечно долго, если ориентированы на местное время (очевидно, время в движущемся объекте.)
А. Гернек пишет [2]. Из постоянства скорости вытекает один из парадоксов теории относительности, который касается замедления часов в быстро движущихся системах по сравнению с часами, находящимися в системе, покоящейся по отношению к первой. Из этого следует, что космонавт в космическом корабле, который в течение длительного времени с очень большой скоростью летит через Вселенную, при своем возвращении на Землю окажется моложе своего брата близнеца, оставшегося дома. Это объясняется тем, что часы космонавта, а вместе с ними и все физические процессы идут медленнее, чем часы и процессы на Земле.
Согласно А. Н. Матвееву [3], никакого парадокса близнецов не возникает, поскольку в системе координат, связанной с Землей, течение времени в ракете, летящей от Земли замедляется, а в летящей к Земле ускоряется. Интервал времени между событиями, измеренный движущимися часами меньше чем интервал времени между теми же событиями, измеренными покоящимися часами. Это означает, что темп хода движущихся часов замедлен относительно неподвижных.
Д. Джанколи [4] отметил, что время, измеренное наблюдателем на Земле, будет меньше чем время, измеренное на борту космического корабля. Это общий результат специальной теории относительности замедление времени и означает, что движущиеся часы идут медленнее.
В действительности, парадокс близнецов не является парадоксом. Дело в том, что все следствия специальной теории относительности, в частности замедления времени, применимы только к наблюдателю, находящемуся в инерциальной системе отсчета, а космический корабль ускоряется в начале и в конце своего полета.
Как пишет В.Л. Гинзбург [5], одно из первых подтверждений замедления времени было получено в опытах по исследованию мюонов. Если имеет место эффект замедления времени, то среднее время жизни мюона, согласно преобразований Лоренца, должно быть тем больше, чем больше его скорость. Эксперимент подтвердил данный вывод.
Как видно из краткого анализа многими авторами рассматривался “парадокс близнецов” и большинство из них придерживаются выводов А. Эйнштейна по этому вопросу, в той или иной форме видоизменяя его. Поэтому в данной статье рассмотрены некоторые вопросы, по теории относительности А. Эйнштейна и показаны ряд неточностей и ошибок, которые, в конечном итоге, привели к неверным выводам и постулатам этой теории.
Результаты исследования. В работе (6) А. Эйнштейн пишет: Пусть в покоящемся пространстве даны две координатные системы S и S1, каждая с тремя взаимно-перпендикулярными осями, выходящими из одной точки.
Пусть
оси Х обоих систем совпадают, а оси Y и
Z соответственно параллельны. Пусть
часы в системе S1 идут синхронно с часами
покоящейся системы, т.е. показания их
соответствуют “времени покоящейся
системы” в тех местах, в которых эти
часы как раз находятся и, следовательно,
стрелки этих часов, по выражению А.
Ейнштейна, должны занимать одно и тоже
положение. Каждому набору значений х,
y, z, t, которые полностью определяют место
и время события в покоящейся системе,
соответствуют значения

,
устанавливающие это событие в движущейся
системе.
Далее
А. Эйнштейн пишет. Пусть координатной
системе S1 сообщается постоянная скорость
v в направлении возрастания значений х
в другой покоящейся систем S . Из начала
координат О системы S1 в момент времени
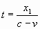
посылается
луч света вдоль оси Х в точку х1 и
отражается оттуда в момент времени
назад,
в начало координат, куда он приходит в
момент времени
Тогда
должно существовать соотношение,
(1)
или,
выписывая аргументы функции
и
применяя принцип постоянства скорости
света в покоящейся системе, после
некоторых преобразований, имеем
,
(2)
где х1 - координата точки , находящейся на оси Х движущейся системы;
с- скорость луча света;
v-скорость движения системы S1;
-показания
часов, покоящихся в системе S1.
Как
следует из [6], относительно начала
координат системы S1 луч света при
измерении, проведенном в покоящейся
системе, движется со скоростью
,
вследствие чего время движения луча
света к точке х1 при измерении, проведенном
из покоящейся системы.
,
в связи с чем уравнение (2) преобразуется к виду
.
(3)
Равенство (1) было бы выполнимо при условии что, луч света распространяется в покоящейся системе, в которой время движения этого луча от начала координат к точке x1 и обратно к началу координат одинаково.
Однако,
луч света распространяется в движущейся
системе S1, в которой он движется от
начала координат этой системы к точке
x1 со скоростью ( c-v), а затем от x1 к началу
координат со скоростью (c+v ). Поэтому,
время движения луча из О к точке х1,
равное
,
не равно времени движения луча из х1 к
началу координат О, то есть
и
, следовательно, 1/2
Результирующее время движения луча от начала координат этой системы к точке x1 и обратно к началу координат
,
(4)
а время движения луча от x1 к началу координат.
.
(5)
В связи
с этим должно существовать соотношение
и,
поэтому, необходимо записать
(
)
(6)
или
(
)
.
(7)
Откуда,
получается, что
,
т.е.
не является функцией координат движущейся
системы и не изменяется в этой системе.
По мнению ученых [9] время является одним из видов энергии, которая способствует жизненным процессам и не есть понятие производное, а поэтому не может быть ни доказано, ни анализируемо. Время есть нечто всецело созданное нашим мышлением. Т.е., согласно этому высказыванию нельзя брать производную времени по координате или тем более по времени.
Очевидно, время можно представить полем, которое изменяется в пространстве по соответствующим законам. При движении тел в этом поле, оно может оказывать соответствующее влияние на физические и физиологические процессы, протекающие в этих телах, замедляя или ускоряя их.
Причем,
вопреки законам физики, А. Эйнштейном
было принято [8], что вдоль оси Х также
как и вдоль осей Y и Z, движущейся системы,
при условии параллельности осей Х систем
S и S1, и при измерении, проведенном из
покоящейся системы. луч света
распространяется еще и со скоростью
.
Тогда, согласно А. Эйнштейну, время
движения луча света вдоль этой оси
.
На основании этого предположения и равенства (2) для определения временной зависимости события, происходящего в системах S1 и S по оси Х, при условии, что оси Y и Z этих систем в момент времени t параллельны между собой, а оси Х обоих систем совпадают, А. Эйнштейн, предложил выражения
(8)
или при х=0
,
(9)
где
-
коэффициент, характеризующий составляющие
скоростей луча света на оси Y и Z
Если
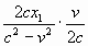
проанализировать уравнения (2) и (3), то
выражение
,
которое можно привести к виду
,
характеризует время движения луча от
начала координат системы S1 к точке х1
со скоростью (c-v) и обратно, от х1 к началу
координат этой же системы со скоростью
(c+v).
Причем,
как следует из уравнений (3) и (9) при
определении

А.
Эйнштейн исходил из двух различных
предпосылок. В равенстве (3) скорость
луча света принималась равной (с-v) и
(с+v), в зависимости от его направления,
а в уравнении (9) при определении одного
и того же времени
,скорость
этого же луча принималась равной
.
Кроме того, необходимо еще отметить, что все уравнения выводились
А.
Эйнштейном, исходя из равенства
,
которое выполнимо только при движении
луча света в неподвижной системе, когда
его скорость к точке х1 и обратно от х1
к началу координат будет одинаковой.
Но так как А. Эйнштейн рассматривал свою
теорию при условии, что луч света
распространяется в движущейся системе
только в направлении оси Х в сторону
возрастания координат, то применение
равенства (2) приводит к ошибочным
выводам.
Поэтому,
как следует из приведенного анализа,
не
определяет время движения луча света
в движущейся системе вдоль оси Х в
сторону возрастания координат при
измерении, проведенном в движущейся
системе, как это предлагалось А.
Эйнштейном, .
Таким образом, на основании только рассмотренной части работы А. Эйнштейна, можно сделать выводы о том, что в связи с большим количеством ошибок, допущенных А. Эйнштейном, предложенные уравнения, определяющие взаимосвязь между временем события в движущейся и покоящейся системах, являются не верными
Однако, несмотря па приведенные замечания можно, очевидно, продолжить рассмотрение данной работы.
Как пишет А. Эйнштейн [7]Отсюда, т.е. из уравнения (2), вытекает своеобразное следствие. Если в точке А находятся двое синхронно идущих часов и мы перемещаем одни из них по замкнутой кривой с постоянной скоростью до тех пор, пока они не вернутся в А, то эти часы по прибытии в А будут отставать по сравнению с часами, оставшимися неподвижными.
И далее - пусть часы приобретают очень большую скорость (почти равную с) и будут равномерно двигаться. Когда они снова возвратятся в исходный пункт, откуда они начали движение, то окажется, что положение стрелок этих часов в течение всего их путешествия не изменилось, тогда как на тождественных часах, оставшихся в состоянии покоя в пункте отправления, положение стрелок за это время изменилось весьма существенно
Однако так ли это.
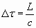
Пусть в системах S и S1 , которые расположены на некотором расстоянии L друг от друга в покоящемся состоянии, находятся приемник и источник сигнала с часами, которые способны регистрировать начало и окончание этого сигнала и, по которым можно определять длительность события в системах. Причем, часы синхронизированы между собой, т.е. показания часов системы S1 соответствуют “времени покоящейся системы” в тех местах, в которых эти часы как раз находятся и, следовательно, стрелки часов в начальный момент времени занимают одно и то же положение.
О
событии, длительностью
t,
происшедшем в системе S1 сообщается
сигналом, например, лучом света, который
посылается источником и фиксируются в
системе S часами приемника.
Так как
сигнал должен пройти расстояние L с
конечной скоростью с, то приемник
зарегистрирует этот сигнал через время
и
поэтому, согласно показаниям часов
приемника, начало и окончание события
в системе S1 должно сдвигаться по отношению
к системе S на это же время, т.е. на
.
Если же учесть тот фактор, что часы представляют собой независимые физические системы, находящиеся в инерциальных системах S и S1,то физические процессы, протекающие в часах, будут проходить по одним и тем же законам. Поэтому, если можно было бы мгновенно сравнить показания часов в системе S1 с часами в системе S в любой момент времени, а также в момент отправки и приема сигнала, то их показания были бы одинаковыми.
Следовательно, длительность события в системе S1 и зарегистрированного в системе S будут одинаковыми.
Причем, если в системе S можно определить время прихода сигнала из системы S1, характеризующего начало и окончание события, возникшего в системе S1, то, как практически можно определить из покоящейся системы начало и окончание события, возникшего в движущейся системе, в связи с конечной скоростью распространения сигнала и возможностью изменения его скорости. Это же касается и определению из системы S1 начала и окончания события, зарегистрированного в системе S.
Пусть часы источника и приемника находятся в начале координат систем S и S1 и синхронизированы между собой, т.е. их показания одинаковы.
Пусть начала координат систем S и S1в момент времени t=0 совпадают, а оси этих систем при их движении будут оставаться параллельными.
В момент
времени t=0 система S1 начинает удаляться
от покоящейся системы S с постоянной
скоростью v, а источник посылает сигнал,
длительностью
,
определяющий событие в системе S1. Момент
окончания сигнала и, следовательно,
длительность события в движущейся
системе, определенная по часам приемника,
должна составлять время
.
В связи с этим, продолжительность
события, определенная по часам покоящейся
системы, окажется большей действительной
длительности события, происшедшего в
движущейся системе.
Если система S1 возвращается в исходное состояние, то процессы отправки и приема сигнала будут аналогичны предыдущему, т.е. как и при удалении источника. Однако, в этом случае, продолжительность сигнала, зафиксированная часами приемника, в связи с уменьшением расстояния между системами S и S1, будет все время уменьшаться и когда источник возвратиться в исходное положение то, очевидно, длительность сигнала, отправленного источником и зафиксированного приемником, будет одинаковой.
Кроме того, согласно А. Эйнштейну [8] в качестве сигнала можно использовать, например, звуковые волны, которые распространяются между точками А и В, проходя через среду, неподвижную по отношению к этим точкам. С не меньшим успехом можно пользоваться световыми лучами, распространяющимися в пустоте или однородной среде, неподвижной по отношению к А и В. Оба эти способа передачи сигналов одинаково приемлемы.
В связи с таким утверждением, когда часы вернутся в пункт А, то они, согласно А. Эйнштейна, по прибытии в А будут отставать по сравнению с часами, оставшимися неподвижными еще на гораздо больший промежуток времени, который будет определяться не только скоростью этой системы, но и скоростью сигнала, скоростью звука, посылаемого источником движущейся системы, т.е., показания часов в системе S1 будет зависеть также и от субъективного фактора выбора сигнала.
Однако все это не означает, что время в покоящейся системе ускоряется, а в движущейся замедляется. Это означает только то, что длительность события, возникшего в движущейся системе, определяется при помощи сигнала, луча света или звуковой волны, распространяющегося с конечной скоростью между системами, находящимися в относительном движении.
Часы в системах представляют собой независимые физические системы, находящиеся в инерциальных системах. Вследствие постоянства законов физические процессы, происходящие в часах, будут подчиняться одним и тем же законам и, следовательно, показания часов в движущейся системе в любой момент времени будут соответствовать показаниям часов в покоящейся системе. Вследствие этого, движущиеся часы, по прибытию в пункт А после движения по кривой с постоянной скоростью, даже почти равной с, будут показывать одно и тоже время по сравнению с часами, оставшимися неподвижными. Поэтому окажется, что положение стрелок часов, находящихся в движущейся системе, при их возвращении из путешествия, будет тождественно положению стрелок на часах, оставшихся в состоянии покоя в пункте отправления.
Далее А. Эйнштейн пишет [7]. Следует отметить, что выводы, которые справедливы для этих часов остаются в силе и для любой замкнутой физической системы. Например, если бы мы поместили живой организм в некий футляр и заставили бы всю эту систему совершать такое же движение вперёд и обратно, то можно было бы достичь, что этот организм после возвращения в исходный пункт из своего сколь угодно длинного путешествия изменился бы как угодно мало, в то время как подобные ему организмы, оставшиеся в пункте отправления в состоянии покоя, давно бы уже уступили место новым поколениям.
Как видно, данное утверждение А. Эйнштейна противоречит постулату постоянства физических законов во всех инерциальных системах, т. к. и часы и живые организмы представляют собой физические системы, находящиеся в двух инерциальных системах S и S1 в связи с чем, все физиологические процессы, происходящие в этих организмах подчиняются одним и тем же законам. Поэтому, поскольку часы и живые организмы в системе S1 были синхронизированы в начальный период относительно часов и живых организмов покоящейся системы, то промежуток времени, прошедший в системе S1,будет равен промежутку времени, прошедшему в системе S.
Следовательно, если протекание процесса в этих организмах не будет зависеть непосредственно от скорости их движения, то когда часы и футляр возвращаются в исходный пункт, откуда они начали движение, положение стрелок на обоих часах будет одинаковым. Часы будут показывать время движения системы и футляра в прямом и обратном направлении, а возраст
живых организмов в системе S1 будет равен возрасту их собратьев, оставшихся в покоящейся системе S.
Это связано с тем, что скорость движения футляра, системы, определяет только интенсивность увеличения расстояния между системами.
Чем
дальше система
удалена
от покоящейся системы S, тем больший
промежуток времени необходим сигналу,
чтобы пройти это расстояние для
регистрации события, возникшего в
системе
,
следовательно, тем больший промежуток
времени от начала события будет
зафиксирован на часах покоящейся
системы.
Выводы. Таким образом, на основании проведенного анализа можно сделать следующие выводы.
1.Время,
определенное по выражению
,
не определяет время движения луча света
в движущейся системе вдоль оси Х в
сторону возрастания координат при
измерении, проведенном в движущейся
системе, как это предполагал А. Эйнштейн.
2.Время
является
временем, за которое луч света проходит
расстояние между началом координат
движущейся системы и точкой х1 , со
средней скоростью
при
условии, что луч света распространяется
от начала координат системы к точке х1
и обратно к началу координат этой же
системы со скоростями (c-v) и
соответственно.
3.Выражения
или
при х=0
,
были выведены
А. Эйнштейном с нарушением основных законов физики. Поэтому, они не определяют действительной зависимости между временем события в движущейся и покоящейся системах.
4. Утверждение А. Эйнштейна о том, что при возвращении из дальнего путешествия показания часов в движущейся системе будут меньше показаний часов, оставшихся в исходном пункте, а также утверждение о том, что организмы после возвращения в исходный пункт изменятся мало, а подобные им организмы, оставшиеся в пункте отправления, давно бы уже уступили место новым поколениям являются ошибочными.
5.Если протекание процесса в живых организмах не будет зависеть непосредственно от скорости их движения, то когда часы и футляр возвращаются в исходный пункт, откуда они начали движение, то возраст живых организмов в системе S1, будет равен возрасту их собратьев, оставшихся в покоящейся системе S. Положение стрелок на обоих часах будет одинаковым, а часы в движущейся и покоящейся системах будут показывать время движения системы и футляра в прямом и обратном направлении.
6.Очевидно, можно сделать некоторые замечания и по вопросу увеличения времени жизни мюона при больших скоростях.
По мнению ученых [6] время является одним из видов энергии, которая способствует жизненным процессам. Время есть нечто всецело созданное нашим мышлением. Если время является энергией, то оно может иметь различную плотность в пространстве и при движении физических тел может оказывать соответствующее влияние на процессы, происходящие в этих телах. Поэтому, данный эффект можно объяснить не применяя преобразования Лоренца. -Почему бы не предположить, что время жизни мюона определяется изменением условий его существования при различных скоростях. Например, увеличением давления окружающей среды физического вакуума или внутри него, увеличением температуры и, очевидно, изменением других еще не известных параметров.
Список литературы
1.А. А. Денисов. Мифы теории относительности. Вильнус. НИИТИ. 1989г.
2. А. Гернек. Альберт Эйнштейн. Изд-во Мир. М. 1979г.
3.А. Н. Матвеев. Механика и теория относительности. М. Высшая школа 1986г.
4. Д. Джанколи. Физика. Перевод с английского Ю. А. Данилова, А. С. Доброславского. Знание. М. 1990г.
5. В. Л. Гинзбург. О теории относительности. М. Наука. 1979г.
6.А .Эйнштейн. К электродинамике движущихся тел (стр. 7-35).
.А. Эйнштейн. Собрание научных трудов. Работы по теории относительности. 1905-1920г.г. Издательство „Наука” Москва 1965г.
7.А.Эйнштейн.. Теория относительности (стр.114-188). А. Эйнштейн. Собрание научных трудов. Работы по теории относительности. 1905-1920г.г. Издательство „Наука” Москва 1965г.
8.А.Эйнштейн. Принцип относительности и его следствия в современной физике (стр.138-164). А. Эйнштейн. Собрание научных трудов. Работы по теории относительности. 1905-1920г.г. Издательство „Наука” Москва 1965г.
Для подготовки данной применялись материалы сети Интернет из общего доступа