Спектр и спектральный анализ

Спектр и спектральный анализ.

Дисперсия

В 1666 году Исаак Ньютон, обратив внимание на радужную окраску изображений звезд в телескопе, поставил опыт, в результате которого открыл дисперсию света и создал новый прибор – спектроскоп. Ньютон направил пучок света на призму, а потом для получения более насыщенной полосы заменил круглое отверстие на щелевое. Дисперсия – зависимость показателя преломления вещества от длины волны света. Благодаря дисперсии белый свет разлагается в спектр при прохождении через стеклянную призму. Поэтому такой спектр называют дисперсионным.

Призма как спектральный прибор.

В телескопах для получения спектра используют специальные приборы – спектрографы, устанавливаемые за фокусом объектива телескопа. В прошлом все спектрографы были призменными, но теперь вместо призмы в них используют дифракционную решетку, которая также разлагает белый свет в спектр, его называют дифракционным спектром.

На компакт-диске нанесено настолько много бороздок, что он действует как дифракционная решетка.

Спектральный анализ

Излучение абсолютно черного тела, проходя через молекулярное облако, приобретает линии поглощения с своем спектре. У облака также можно наблюдать эмисионный спектр. Разложение электромагнитного излучения по длинам волн с целью их изучения называется спектроскопией. Анализ спектров – основной метод изучения астрономических объектов, применяемый в астрофизике.

Наблюдаемые спектры делятся на три класса:

линейчатый спектр излучения. Нагретый разреженный газ испускает яркие эмиссионные линии;

непрерывный спектр. Такой спектр дают твердые тела, жидкости или плотный непрозрачный газ в нагретом состоянии. Длина волны, на которую приходится максимум излучения, зависит от температуры;

линейчатый спектр поглощения. На фоне непрерывного спектра заметны темные линии поглощения. Линии поглощения образуются, когда излучение от более горячего тела, имеющего непрерывный спектр, проходит через холодную разреженную среду.

Изучение спектров дает информацию о температуре, скорости, давлении, химическом составе и о других важнейших свойствах астрономических объектов. История спектрального анализа началась в 1802 году, когда англичанин Волланстон, наблюдая спектр Солнца, впервые увидел темные линии поглощения. Он не смог объяснить их и не придал своему открытию особого значения.

Атом водорода.

В 1814 году немецкий физик Фраунгофер вновь обнаружил в солнечном спектре темные линии поглощения и верно смог объяснить их появление. С тех пор их называют линиями Фраунгофера. В 1868 году в спектре Солнца были обнаружены линии неизвестного элемента, названного гелием (греч. helios «Солнце»). Через 27 лет небольшое количество этого газа обнаружилось и в земной атмосфере. Сегодня известно, что гелий – второй по распространенности элемент во Вселенной. В 1918–1924 годах вышел в свет каталог Генри Дрепера, содержащий классификацию спектров 225 330 звезд. Этот каталог стал основой для Гарвардской классификации звезд. В спектрах большинства астрономических объектов наблюдаются линии водорода, возникающие при переходе на первый энергетический уровень. Это серия Лаймана, наблюдаемая в ультрафиолете; отдельные линии серии имеют обозначения Lα (λ = 121,6 нм), Lβ (λ = 102,6 нм), Lγ (λ = 97,2 нм) и так далее. В видимой области спектра наблюдаются линии водорода серии Бальмера. Это линии Hα (λ = 656,3 нм) красного, Hβ (λ = 486,1 нм) голубого, Hγ (λ = 434,0 нм) синего и Hδ (λ = 410,2 нм) фиолетового цвета. Линии водорода наблюдаются и в инфракрасной части спектра – серии Пашена, Брэккета и другие, более далекие.

Спектральные серии в спектре водорода.

Почти все звезды имеют линии поглощения в спектре. Наиболее интенсивная линия гелия расположена в желтой части спектра: D3 (λ = 587,6 нм). В спектрах звезд типа Солнца наблюдаются также линии натрия: D1 (λ = 589,6 нм) и D2 (λ = 589,0 нм), линии ионизованного кальция: Н (λ = 396,8 нм) и К (λ = 393,4 нм). Фотосферы звезд дают непрерывный спектр, пересеченный отдельными темными линиями, которые возникают при прохождении излучения через более холодные слои атмосферы звезды. По спектру поглощения (точнее, по наличию определенных линий в спектре) можно судить о химическом составе атмосферы звезды. Яркие линии в спектре показывают, что звезда окружена расширяющейся оболочкой из горячего газа. У красных звезд с низкой температурой в спектре видны широкие полосы молекул окиси титана, оксидов. Ионизированный межзвездный газ, нагретый до высоких температур, дает спектры с максимумом излучения в ультрафиолетовой области. Необычные спектры дают белые карлики. У них линии поглощения во много раз шире, чем у обычных звезд и имеются линии водорода, которые отсутствуют при таких температурах у обычных звезд. Это объясняется высоким давлением в атмосферах белых карликов.

Эффект Доплера

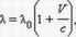
Опыт Доплера. Неподвижный наблюдатель отмечает фальшивые ноты движущегося оркестра (см. изображ. слева). В 1842 году австрийский физик и астроном Христиан Доплер установил, что длина волны λ, принятая наблюдателем, связана с длиной волны источника излучения соотношением: где V– проекция скорости источника на луч зрения. Открытый им закон получил название закона Доплера.

Продольный эффект Доплера. По оси абсцисс отложена скорость источника, по оси ординат – наблюдаемая длина волны. Смещение линий в спектре звезды относительно спектра сравнения в красную сторону говорит о том, что звезда удаляется от нас, смещение в фиолетовую сторону спектра – что звезда приближается к нам. Вследствие обращения Земли вокруг Солнца со скоростью V = 30 км/с, линии в спектрах звезд, удаляющихся от Земли, смещены в красную сторону на Δλ/λ = V/c = 10–4. Для линии λ = 500 нм смещение составит 0,05 нм (0,5 Å). Для звезд, приближающихся к Земле, линии будут смещены на такую же величину в фиолетовую сторону.

Эффект Доплера.

Если линии в спектре периодически изменяются, то звезда имеет спутник и они обращаются вокруг общего центра масс. Эффект Доплера дает возможность оценить скорость вращения звезд. Например, вследствие вращения Солнца западный край Солнца удаляется от нас, а восточный край – приближается к нам. Поэтому наибольшая линейная скорость вращения Солнца, которая наблюдается на экваторе, равная 2 км/с, дает доплеровское смещение линии l = 500 нм (5000 Å) в Δl = 0,035Å. При этом на полюсах Солнца доплеровское смещение линий уменьшается до нуля.

Эффект Зеемана.

Даже когда излучающий газ не имеет относительного движения, спектральные линии, излучаемые отдельными атомами, будут смещаться относительно лабораторного значения из-за беспорядочного теплового движения. Для общей массы газа это будет выражаться в уширении спектральных линий. При этом квадрат доплеровской ширины спектральной линии пропорционален температуре: T ~ (Δl)2. Поэтому особенно сильно линии уширяются в спектрах горячих звезд. Таким образом, по ширине спектральной линии можно судить о температуре излучающего газа. Линии могут уширяться не только за счет эффекта Доплера. Не менее важной причиной является столкновение атомов. В 1896 году нидерландским физиком Зееманом был открыт эффект расщепления линий спектра в сильном магнитном поле. С помощью этого эффекта теперь стало возможно «измерять» космические магнитные поля. Похожий эффект (он называется эффектом Штарка) наблюдается в электрическом поле. Он проявляется, когда в звезде кратковременно возникает сильное электрическое поле. Близко расположенные спектральные линии могут сливаться. Получившаяся линия называется блендой.

Список литературы

Для подготовки данной применялись материалы сети Интернет из общего доступа