Методы решения уравнений в странах древнего мира
Методы решения уравнений в странах древнего мира
История алгебры уходит своими корнями в древние времена. Задачи, связанные с уравнениями, решались ещё в Древнем Египте и Вавилоне. Теория уравнений интересовала и интересует математиков всех времён и народов.
В Древнем Египте и Вавилоне использовался метод ложного положения (“фальфивое правило”)
Уравнение первой степени с одним неизвестным можно привести всегда к виду ах + Ь == с, в котором а, Ь, с — целые числа. По правилам арифметических действий ах = с — b,
>
>
Если Ь > с, то с — b число отрицательное. Отрицательные числа были египтянам и многим другим более поздним народам неизвестны (равноправно с положительными числами их стали употреблять в математике только в семнадцатом веке).
Для решения задач, которые мы теперь решаем уравнениями первой степени, был изобретен метод ложного положения.
В папирусе Ахмеса 15 задач решается этим методом. Решение первой из них позволяет понять, как рассуждал автор.
Египтяне имели особый знак для обозначения неизвестного числа, который до недавнего прошлого читали “хау” и переводили словом “куча” (“куча” или “неизвестное количество” единиц). Теперь читают немного менее неточно: “ага”.
bqt задача № 24 сборника Ахмеса:
“Куча. Ее седьмая часть ('подразумевается: “дают в сумме”) 19. Найти кучу”.
Запись задачи нашими знаками:

Решение Ахмеса может быть представлено в наших символах в следующих четырех столбцах:

Во многих задачах в начале или в конце встречаются слова: “Делай как делается”, другими словами: “Делай, как люди делают”.
Смысл решения Ахмеса легко понять.
Делается предположение, что.
куча есть 7; тогда >
>
ее часть есть 1. Это записано в первом
столбце.
Во втором столбце записано,
что при предположении х=7
куча и ее >
>
часть дали бы 8 вместо 19. Удвоение
предположения дает 16. Автор, в уме
очевидно, прикидывает, что дальше
удваивать предположение нельзя, так
как тогда получится больше 19. Он записывает
16, ставит перед числом две точки для
обозначения удвоения первоначального
предположения и отмечает значком (у нас
— звездочкой) результат; для получения
в сумме 19 первоначальное предположение
надо умножить -на 2 с некоторым добавлением,
так как для получения точного
результата, 19, не хватает еще 19—16=3. Ахмес
находит >
>
от 8, получает 4. Так как это больше
нехватки 3, то на >
>
предположение умножить нельзя. Но >
>
от 8 есть 2, >
>
от восьми 1. Ахмес видит, что >
>
и >
>
первоначального результата дают
точно те 3 единицы, которых не хватало.
Отметив >
>
и >
>
значками, Ахмес убедился, что первоначальное
предположение для кучи (7) надо помножить
на >
>
Умножение числа 7 на смешанное
число >
>
Ахмес заменяет умножением смешанного
числа >
>
на 7. В третьем столбце выписаны: >
>
часть искомой кучи есть >
>,
удвоенное это число: >
>
и учетверенное: >
>.
Сумма этих трех чисел, равная числу >
>,
есть произведение первоначального
предположения 7 на >
>.
Итак, куча равна >
>.
В последнем столбце Ахмес делает
проверку, складывая полученное
значение для кучи >
>
и его >
>
части >
>.
В сумме получается 19, и решение
заканчивается обычным для автора
заключением: “Будет хорошо”.
Способ решения, примененный Ахмесом, называется методом одного ложного положения. При помощи этого метода решаются уравнения вида ах == b. Его применяли как египтяне, так и вавилоняне.
У разных народов применялся метод двух ложных положений. Арабами этот метод был механизирован и получил ту форму, в которой он перешел в учебники европейских народов, в том числе в “Арифметику” Магницкого. Магницкий называет способ решения “фальшивым правилом” и пишет о части своей книги, излагающей этот метод:
Зело бо хитра есть сия часть,
Яко можеши ею все класть (вычислить. — И. Д.)
Не токмо что есть во гражданстве,
Но и высших наук в пространстве,
Яже числятся в сфере неба,
Якоже мудрым есть потреба.
Содержание стихов Магницкого можно вкратце передать так: эта часть арифметики весьма хитрая. При помощи ее можно вычислить не только то, что понадобится в житейской практике, но она решает и вопросы “высшие”, которые встают перед “мудрыми”.
Магницкий пользуется “фальшивым правилом” в форме, какую ему придали арабы, называя его “арифметикой двух ошибок” или “методой весов”.
Квадратные уравнения в Древнем Вавилоне
Необходимость решать уравнения не только первой, но и второй степени еще в древности была вызвана потребностью решать задачи, связанные с нахождением площадей земельных участков и с земляными работами военного характера, а также с развитием астрономии и самой математики. Квадратные уравнения умели решать около 2000 лет до н. э. вавилоняне. Применяя современную алгебраическую запись, можно сказать, что в их клинописных текстах встречаются, кроме неполных, и такие, например, полные квадратные уравнения:

Правило решения этих уравнений, изложенное в вавилонских текстах, совпадает по существу с современным, однако неизвестно, каким образом дошли вавилоняне до этого правила. Почти все найденные до сих пор клинописные тексты приводят только задачи с решениями, изложенными в виде рецептов, без указаний относительно того, каким образом они были найдены.
Несмотря на высокий уровень развития алгебры в Вавилоне, • в клинописных текстах отсутствуют понятие отрицательного числа и общие методы решения квадратных уравнений.
. Как составлял и решал Диофант квадратные уравнения ,
В “Арифметике” Диофанта нет систематического изложения алгебры, однако в ней содержится систематизированный ряд задач, сопровождаемых объяснениями и решаемых при помощи составления уравнений разных степеней.
При составлении уравнений Диофант для упрощения решения умело выбирает неизвестные.
Вот, к примеру, одна из его задач.
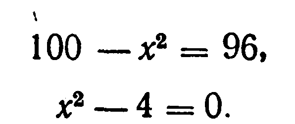
“Найти два числа, зная, что их сумма равна 20, а произведение — 96”.
Диофант рассуждает следующим образом: из условия задачи вытекает, что искомые числа не равны, так как если бы они были равны, то их произведение равнялось бы не 96, а 100. Таким образом, одно из них будет больше половины их суммы, т. е. 10 + х, другое же меньше, т. е. 10 — х. Разность между ними 2х. Отсюда уравнение


или же

Отсюда х = 2. Одно из искомых чисел равно 12, другое 8. Решение х = —2 для Диофанта не существует, так как греческая математика знала только положительные числа.
Если мы
решим эту задачу, выбирая в качестве
неизвестного одно из искомых чисел, то
мы придем к решению уравнения

Ясно, что, выбирая в качестве неизвестного полу разность искомых чисел, Диофант упрощает решение; ему удается свести задачу к решению неполного квадратного уравнения (1).
Квадратные уравнения в Индии.
Задачи на уравнения встречаются уже в астрономическом трактате “Ариабхаттаим”, составленном в 449 г. индийским математиком и астрономом Арибхаттой. Но это уже раннее средневековье.
В Алгебраическом трактате ал-Хорезми даётся классификация линейных и квадратных уравнений.
Индий учёные знали решения неопределённых уравнений в целых числах (в том числе и в отрицательных, чего сам Диофант избегал).
Формула решений квадратного уравнения.
Греческий математик Герон (I или II век нашего летоисчисления) вывел формулу для решения квадратного равнения ax2 + bx = c умножением всех членов на а и
прибавлением к обеим половинам
уравнения >
>
:

В индии пришли к более простому способу вывода, который встречается в школьных учебниках: они умножали на 4a и к обеим половинам по b2. Это даёт:
>
>
Индийские математики часто давали задачи в стихах.
Задача о лотосе.
Над озером тихим, с полмеры над водой,
Был виден лотоса цвет.
Он рос одиноко, и ветер волной
Нагнул его в сторону – и уж нет
Цветка над водой.
Нашёл его глаз рыбака
В двух мерах от места, где рос.
Сколько озера здесь вода глубока?
Тебе предложу я вопрос.
Ответ:>
>
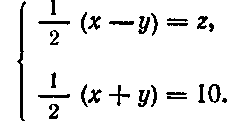
Из истории решения системы уравнений, содержащей одно уравнение второй степени и одно линейное
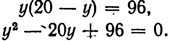
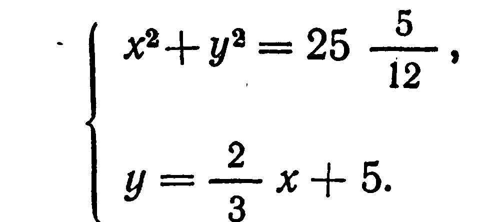
В древневавилонских текстах, написанных в III—II тысячелетиях до н. э., содержится немало задач, решаемых с помощью составления систем уравнений, в которые входят и уравнения второй степени. Вот одна из них.
. “Площади двух своих квадратов
я сложил: >
>.Сторона
второго квадрата равна >
>
стороны первого и еще 5”.
Соответствующая система уравнений в современной записи имеет вид:

Для решения системы (1) вавилонский автор возводит во втором уравнении у в квадрат и согласно формуле квадрата суммы, которая ему, видимо, была известна, получает:

Подставляя это значение у в первое из системы уравнений (1), автор приходит к квадратному уравнению:

Решая это уравнение по правилу, применяемому нами в настоящее время, автор находит х, после чего определяет у. Итак, хотя вавилоняне и не имели алгебраической символики, они решали задачи алгебраическим методом.
Диофант, который не имел обозначений для многих неизвестных, прилагал немало усилий для выбора неизвестного таким образом, чтобы свести решение системы к решению одного уравнения. Вот один пример из его “Арифметики”.
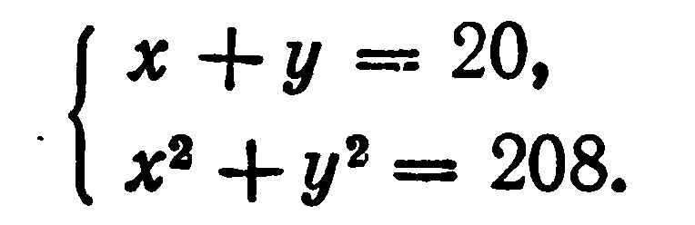
Задача 21. “Найти два числа, зная, что их сумма равна 20, а сумма их квадратов — 208”.
Эту задачу мы решили бы путем составления системы уравнений:

Диофант же, выбирая в качестве неизвестного половину разности искомых чисел, получает (в современных обозначениях):

Складывая эти уравнения, а затем вычитая одно из другого (все это Диофант производит устно), получаем
x = 2 + 10; у = 10 —2.
Далее,
х2 + у2 = (г + lO)2 + (10 — г)2 == 2z2 + 200.
Таким образом,
2z2 + 200 = 208,
откуда
z = 2; х = 2 + 10 = 12; у = 10 — 2 = 8.
Диофантовы уравнения.
Задача Диофанта №80 (Из II книги его “Арифметики”)
Найти 2 таких числа, чтобы сумма квадрата каждого из них с другим искомым числом дала полный квадрат,
Решение Диофанта
Пусть первое число (I) будет s. Чтобы квадрат его •при прибавлении второго числа дал квадрат, второе число должно быть 2s + 1, так как в таком случае выполняется требование задачи: квадрат первого числа. сложенный со вторым, дает
s2 + 2s + 1, то есть полный квадрат (s + 1)2.
Квадрат второго числа, сложенный с первым, должен также дать квадрат, то есть число (2s + I)2 + s, равное
4s2 + 5s + 1 == t2
Положим, что t = 2s — 2; тогда t2 = 4s2 — 8s + 4. Это выражение должно равняться 4s2 + 5s + 1. Итак, должно быть:
4s2
— 8s + 4 == 4s2
+ 5s + l откуда
s=>
>
Значит, задаче удовлетворяют числа:
>
>.
Проверка;
>
>
Почему Диофант делает предположение, что t==2s—2, он не объясняет. Во всех своих задачах (в дошедших до нас шести книгах его их 189) он делает то или другое предположение, не давая никакого обоснования.
Вообще содержание 6 книг таково:
В “Арифметике” 189 задач, каждая снабжена одним или несколькими решениями. Задачи ставятся в общем виде, затем берутся конкретные значения входящих в нее величин и даются решения.
Задачи книги I в большинстве определенные. В ней имеются и такие, которые решаются с помощью систем двух уравнений с двумя неизвестными, эквивалентных квадратному уравнению. Для его разрешимости Диофант выдвигает условие, чтобы дискриминант был полным квадратом. Так, задача 30— найти таких два числа, чтобы их разность и произведение были заданными числами,— приводится к системе
х — у = а, х = b.
Диофант выдвигает “условие формирования”: требуется, чтобы учетверенное произведение чисел, сложенное с квадратом разности их, было квадратом, т. е. 4b + а2 = с2.
В книге II решаются задачи, связанные с неопределенными уравнениями и системами таких уравнений с 2, 3, 4, 5, 6 неизвестными степени не выше второй.
Диофант применяет различные приемы. Пусть необходимо решить неопределенное уравнение второй степени с двумя неизвестными f>2> (х, у) ==0. Если у него есть рациональное решение (x>0>, y>0>), то Диофант вводит подстановку
x = x>0> + t,
y = y>0> + kt,
в которой k рационально. После этого основное уравнение преобразуется в квадратное относительно t, у которого свободный член f>2> ( x>0>, у>0>) = 0. Из уравнения получается t>1> == 0 (это значение Диофант отбрасывает), t>2> — рациональное число. Тогда подстановка дает рациональные х и у.
В случае, когда задача приводилась к уравнению у2 = ax2 + bx + с, очевидно рациональное решение x>0> = О,y>0>=±C. Подстановка Диофанта выглядит так:
x = t,
y = kt ± c
Другим методом при решении задач книги II Диофант пользовался, когда они приводили к уравнению у2 == = a2x2 + bx + с. Он делал подстановку
x= t,
y = at + k,
после чего х и у выражались рационально через параметр k:
>
>
Диофант, по существу, применял теорему, состоящую в том,; что если неопределенное уравнение имеет хотя бы одно рациональное решение, то таких решений будет бесчисленное множество, причем значения х и у могут быть представлены в виде рациональных функций некоторого параметра”
В книге II есть задачи, решаемые с помощью “двойного неравенства”, т. е. системы
ах + b = и2,
сх + d == v2.
Диофант рассматривает случай а = с, но впоследствии пишет, что метод можно применить и при а : с = т2, Когда а == с, Диофант почленным вычитанием одного равенства из другого получает и2 —и2 = b — d. Затем разность b — d раскладывается на множители b — d = п1 и приравнивает и + v = I, и — v = п, после чего находит
и = (I + п)/2, v = (I - n)/2, х - (l2 + п2}/4a - {b + d)/2a.
Если задача сводится к системе из двух или трех уравнений второй степени, то Диофант находит такие рациональные выражения неизвестных через одно неизвестное и параметры, при которых все уравнения, кроме одного, обращаются в тождества. Из оставшегося уравнения он выражает основное неизвестное через параметры, а затем находит и другие неизвестные.
Методы, разработанные в книге II, Диофант применяет к более трудным задачам книги III, связанным с системами трех, четырех и большего числа уравнений степени не выше второй. Он, кроме того, до формального решения задач проводит исследования и находит условия, которым должны удовлетворять параметры, чтобы решения существовали.
В книге IV встречаются определенные и неопределенные уравнения третьей и более высоких степеней. Здесь дело обстоит значительно сложнее, потому что, вообще говоря, неизвестные невозможно выразить как рациональные функции одного параметра. Но, как и раньше, если известны одна или две рациональные точки кубической кривой fз (х, у) == 0, то можно найти и другие точки. Диофант при решении задач книги IV применяет новые методы”
Книга V содержит наиболее сложные задачи; некоторые из них решаются с помощью уравнений третьей и четвертой степеней от трех и более неизвестных. Есть и такие, в которых требуется разложить данное целое число на сумму двух, трех или четырех квадратов, причем эти квадраты должны удовлетворить определенным неравенствам.,
При решении задач Диофант дважды рассматривает уравнение Пелля ax2 + 1 = у2.
Задачи книги VI касаются прямоугольных треугольников с рациональными сторонами. К условию х2 + у2 == z2 в них добавляются еще условия относительно площадей, периметров, сторон треугольников.
В книге VI доказывается, что если уравнение ax2 + b == у2 имеет хотя бы одно рациональное решение, то их будет бесчисленное множество. Для решения задач книги VI Диофант применяет все употребляемые им способы.
Кстати, в одном из древних рукописных сборников задач в стихах жизнь Диофанта описывается в виде следующей алгебраиче-юй загадки, представляющей надгробную надпись на его могиле
Прах Диофанта гробница покоит; дивись ей—и камень
Мудрым искусством его скажет усопшего век.
Волей богов шестую часть жизни он прожил ребенком.
И половину шестой встретил с пушком на щеках.
Только минула седьмая, с подругою он обручился.
С нею пять лет проведя, сына дождался мудрец;
Только полжизни отцовской возлюбленный сын его прожил.
Отнят он был у отца ранней могилой своей.
Дважды два года родитель оплакивал тяжкое горе,
Тут и увидел предел жизни печальной своей.
Задача-загадка сводится к составлению и решению уравнения:
>
>
откуда х = 84 = вот сколько лет жил
Диофант.
Неопределённое уравнение x2 + y2 = z2
Такое неопределённое уравнение исследовали пиффагорийцы, целые решения которого поэтому называют “пифагоровыми тройками”, они нашли бесконечно много таких троек, имеющих вид:
>
>
Кубические уравнения
Более систематическое исследование задач, эквивалентных кубическим уравнениям, относится только к эпохе эллинизма. Архимед в сочинении “О шаре и цилиндре” (книга II, предложение 4) свел задачу о рассечении шара плоскостью на два сегмента, объемы которых имели бы заданное отношение т : п (т > п), к нахождению высоты х большего сегмента из пропорции
>
>
(1)
где а — радиус шара.
Архимед обобщает задачу: рассечь заданный отрезок а на две части х и а—х так, чтобы
(а — х) : с = S : х2, (2)
где с и S — заданные отрезок и площадь.
Заметив, что при такой общей постановке задача не всегда разрешима (имеются в виду только положительные действительные решения), Архимед приступает к ее исследованию с тем, чтобы наложить ограничения на с и S. Он говорит, что изложит полное решение задачи “в конце”, однако соответствующее место не сохранилось. Жившие на столетие позже Архимеда греческие геометры Диокл и Дионисодор уже не знали его. Они предложили собственные, гораздо более сложные решения, но никто из них не сумел провести анализ общего случая.
Только в VI в. н. э. комментатор Архимеда Евтокий нашел утраченное место. Архимед решает задачу с помощью двух конических сечений:
Параболы
>
>
(3)
и гиперболы
>
>
(4)
(здесь положено S = pb). Оба уравнения легко получить из пропорции (2). Для выяснения необходимых условий Архимед переходит от пропорции (2) к кубическому уравнению
x2(a-x) = Sc (5)
которое он выражает словесно как соотношение между объемами. Ясно, что уравнение (5) может иметь положительные корни, если
>
>
Итак, проблема сводится к нахождению экстремума х2 (а — х).
Оставим пока в стороне вопрос о методе экстремумов Архимеда, мы вернемся к этому, когда будем говорить об инфинитезимальных методах древних. Скажем только, что Архимед полностью исследовал условия существования положительных вещественных корней уравнения (5), а именно:
1) если Sc < 43/27, то на участке (0, а) имеются два таких корня;
2) если Sc = 4aз/27, то имеется один корень (как сказали бы мы,— двукратный);
3) если Sc > 4aз/27, то корня нет.
Здесь 4а3/27 есть максимум х2 (а — х), достигаемый при х = 2а/3. В конце письма, предпосланного книге “О коноидах и сфероидах” (греки называли сфероидами эллипсоиды вращения, прямоугольными коноидами — параболоиды вращения, а тупоугольными коноидами — полости двуполостных гиперболоидов вращения), Архимед пишет, что с помощью доказанных в книге теорем можно решить ряд задач, как, например: от данного сфероида или коноида отсечь сегмент плоскостью, проведенной параллельно заданной, так, чтобы отсеченный сегмент был равен данному конусу, цилиндру или шару. Перечисленные задачи, так же как и задачи о делении шара, сводятся к кубическим уравнениям, причем в случае тупоугольного коноида уравнение будет иметь вид
x2(a + x)=Sc
Из текста Архимеда можно заключить, что он проанализировал и решил это уравнение. Таким образом, Архимед рассмотрел кубические уравнения вида х3 + ax + b = 0 при различных значениях a и b и дал метод их решения. Однако исследование кубических уравнений оставалось для греков трудной задачей, с которой, в ее общем виде никто, кроме Архимеда, не мог справиться. Решение отдельных задач, эквивалентных кубическим уравнениям, греческие математики получали с помощью нового геометрического аппарата конических сечений. Этот метод впоследствии восприняли математики стран ислама, которые сделали попытку провести полный анализ всех уравнений третьей степени.
Но еще до этого, и притом греческими математиками, был сделан новый решительный шаг в развитии алгебры: геометрическая оболочка была сброшена, и началось построение буквенной алгебры на основе арифметики. Это произошло в первые века нашей эры.
Литература:
“История математики в древности” Э. Кольман.
“Решение уравнений в целых числах” Гельфонд.
“В мире уравнений” В.А.Никифоровский.
“История математики в школе” Г.И.Глейзер.
“Рассказы о старой и новой алгебре” И.Депман.
“Пифагор: рассказы о математике” Чистаков.
“Краткий очерк истории математики” Стройк Д.Я.
“Очерки по истории математики” Болгарский Б.В.
“История математики” (энциклопедия) под редакцией Юшкевича.
“Энциклопедический словарь юного математика” под редакцией Гнеденко.