Элементарная теория сумм Гаусса
Элементарная теория сумм Гаусса

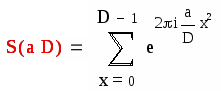
Рассмотрим следующую сумму – сумму Гаусса :
где D – целое положительное и (a, D)=1.
Покажем, что значение суммы будет одним и тем же, если х пробегает любую полную систему вычетов по модулю D.
Действительно, пусть х пробегает полную систему вычетов по модулю D. Тогда х=qD+k , где k =0, 1, …, D-1 , q є Z


Будем иметь :


что и требовалось.
Лемма 1.

Пусть (a, D)=1. Тогда:

Доказательство:

По свойству модуля комплексного числа :
Имеем:

Сделаем замену x = x + t . Когда х и х пробегают полную систему вычетов по модулю D , от х и t пробегают независимо полные системы вычетов по модулю D.
Действительно, пусть х и х пробегают полную систему вычетов по модулю D . Тогда х = qD + k k=0, 1, …, D-1 , q є Z
х = pD + i i=0, 1, …, D-1 , p є Z
Следовательно, t = x – x = (q – p)D + (k – i) = l D + m , где m=0, 1, …, D-1 , l є Z

а) Пусть D – нечетное, т.е. (2а, D)=1

если D делит t.


Если же D не делит t, то последнюю сумму можно записать в виде :

Получили :
Тогда

Отсюда

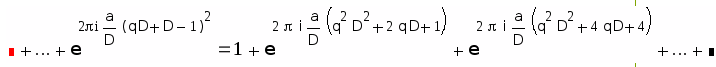
б) Пусть D делится на 4, т.е. возможно представление : D = 2D , где D – четное и ( a, D )=1 .


Получим :


Так как D четное, то

Следовательно
в) Пусть D = 2 (mod 4) , т.е. D = 4q + 2 , q є Z

Тогда из предыдущего случая имеем : D = 2 (2q+1)= 2D , D - нечетное. Имеем :


Что и требовалось.
Лемма 2.
Если D и D взаимно простые числа, то

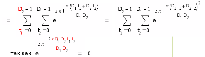
S ( aD>1> , D>2> ) S ( aD>2> , D>1> ) = S ( a , D>1> D>2> )

В этих суммах t>1 > пробегает полную систему вычетов по модулю D>2> , а t>2 > пробегает полную систему вычетов по модулю D>2. >При этом D>1>t>1 >+ D>2>t>2> пробегает полную систему вычетов по модулю D>1>D>2 >. Действительно , всего членов в сумме D>1>D>2> и никакие два несравнимы между собой. Действительно, предположим противное : пусть D>1>t>1> + D>2>t>2> = D>1>t>1> + D>2>t>2 >( mod D>1>D>2> )
Отсюда D>1> (t>1> – t>1>) = D>2> (t>2 >– t>2> ) (mod D>1>D>2>) Тогда
D>1> (t>1> – t>1>) = D>2> (t>2 >– t>2> ) (mod D>2>) А так как D>2> (t>2 >– t>2> ) = 0 (mod D>2>)
То по свойству сравнений имеем D>1> (t>1> – t>1>) = 0 (mod D>2>) Отсюда так как (D>1>, D>2>)=1 , то t>1> – t>1> = 0 (mod D>2>) Аналогично получим t>2 >– t>2> = 0 (mod D>1>)
Т.е. имеем t>1> = t>1> (mod D>2>) и t>2 >= t>2> (mod D>1>) . Но это противоречит тому, что t>1 > пробегает полную систему вычетов по модулю D>2> , а t>2 > пробегает полную систему вычетов по модулю D>2>, так как в полной системе вычетов любые два числа не сравнимы. Следовательно наше предположение было неверным и действительно D>1>t>1 >+ D>2>t>2> пробегает полную систему вычетов по модулю D>1>D>2 >.

Поэтому
Лемма 3.

Пусть p простое нечетное число и не делит a . Тогда


Доказательство:





что и требовалось доказать.
-6-
Лемма 4.

Если р простое нечетное число , то
Доказательство :
Из леммы 3. получим

Так как произведение сопряженных величин дает квадрат модуля, то

Лемма 5.
Если р и q различные простые числа , то

Доказательство :
Так как ( р, q )= 1 , мы можем воспользоваться леммой 2 : в нашем случае



Итак , мы показали, что

что и требовалось доказать.