Сфера и шар
Сфера и шар
Работа ученика 11 класса
средней школы №1906
юго-западного округа
г.Москвы
Кашина Виталия.
Сфера и шар.
Сфера-это фигура, состоящая из всех точек пространства, удалённых от данной точки на данном расстоянии. {1,2}

Точка О называется центром сферы, R-радиус сферы.
Любой отрезок, соединяющий центр и какую-нибудь точку сферы, называется радиусом сферы. Отрезок, соединяющий две точки сферы и проходящий через её центр, называется диаметром сферы.
Шар-это фигура, состоящая из всех точек пространства, находящихся на расстоянии не большем данного от данной точки
(или фигура, ограниченная сферой).
Уравнение сферы. {3}

M(x;y;z)-произвольная точка, принадлежащая сфере.
след.
MC=
т.к. MC=R, то

если
т.М не лежит на сфере, то MC
R,
т.е. координаты точки М
не удовлетворяют уравнению.Следовательно, в прямоугольной системе координат уравнение сферы радиуса R с центром C(x0;y0;z0;) имеет вид : {4}

Взаимное расположение сферы и плоскости.
{5,6,7}



d - расстояние от центра сферы до плоскости.
след.
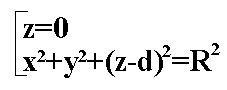
C(0;0;d), поэтому сфера имеет уравнение
{8}
плоскость совпадает с Оxy, и поэтому её уравнение имеет вид z=0
Если т.М(x;y;z) удовлетворяет обоим уравнениям, то она лежит и в плоскости и на сфере, т.е. является общей точкой плоскости и сферы.
след. возможны 3 решения системы :
{9}
1) d<R , d^2<R^2 , x^2 + y^2 = R^2 - d^2 > 0
уравнение имеет б.м. решений, пересечение сферы и плоскости - окружность C(0;0;0) и r^2=R^2 - d^2
2) d=R , x^2 + y^2 =0 , x=y=0 след. сфера пересекается плоскостью в точке О(0;0;0)
3) d>R , d^2>R^2 R^2 - d^2 < 0
x^2 + y^2 >=0 , x^2+y^2=R^2 - d^2 не имеет решений
Касательная плоскость к сфере.
Плоскость, имеющая со сферой только одну общую точку, называется касательной плоскостью к сфере, а их общая точка называется точкой касания плоскости и сферы.
Теорема:
Радиус сферы, проведённый в точку касания сферы и плоскости, перпендикулярен к касательной плоскости. {10}

Доказательство:
Предположим, что ОА не перпендикулярен плоскости, след. ОА-наклонная к плоскости, след. ОА > R , но т.А принадлежит сфере, то получаем противоречие, след. ОА перпендикулярен плоскости.
ч.т.д.
Теорема:
Если радиус сферы перпендикулярен к плоскости, проходящей через его конец, лежащий на сфере, то эта плоскость является касательной к сфере.
Доказательство:
Из условия теоремы следует, что данный радиус является перпендикуляром, проведённым из центра сферы к данной плоскости. Поэтому расстояние от центра сферы до плоскости равно радиусу сферы, и, следовательно, сфера и плоскость имеют только одну общую точку. Это означает, что данная плоскость является касательной к сфере.
ч.т.д.
Площадь сферы:
Для определения площади сферы воспользуемся понятием описанного многогранника. Многогранник называется описанным около сферы (шара) , если сфера касается всех его граней. При этом сфера называется вписанной в многогранник.
Пусть описанный около сферы многогранник имеет n-граней. Будем неограниченно увеличивать n таким образом, чтобы наибольший размер кождой грани стремился к нулю. За площадь сферы примем предел последовательности площадей поверхностей описанных около сферы многогранников при стремлении к нулю наибольшего размера кождой грани. Можно доказать, что этот предел существует, и получить формулу для вычесления площади сферы радиуса R :
S=4ПR^2
-