Происхождение Луны. Российская концепция против «американской»
Происхождение Луны. Российская концепция против «американской»
Э.М. Галимов, академик, ГЕОХИ РАН
Проблема происхождения Луны обсуждается в научной литературе уже более ста лет. Ее решение имеет большое значение для понимания ранней истории Земли, механизмов формирования Солнечной системы, происхождения жизни. До настоящего времени была широко распространена гипотеза возникновения Луны в результате столкновения Земли с крупным телом, размером с Марс. Эта гипотеза, выдвинутая двумя группами американских ученых, удачно объясняла дефицит железа на Луне и динамические характеристики системы Земля – Луна. Однако в дальнейшем она встретилась с трудностями в объяснении некоторых факторов, которые обсуждаются в данной статье. В последние годы российские ученые выдвинули и обосновали новую концепцию образования Земли и Луны – в результате фрагментации пылевого сгущения.
Несколько слов из истории проблемы
Из планет внутренней части Солнечной системы, которые включают Меркурий, Венеру, Землю и Марс только Земля имеет массивный спутник – Луну. Спутники есть также у Марса: Фобос и Деймос, но это небольшие тела неправильной формы. Больший из них, Фобос, в максимальном измерении всего 20 км, в то время как диаметр Луны 3560 км.
Луна и Земля обладают разной плотностью. Это вызвано не только тем, что Земля имеет большие размеры и, следовательно, ее недра находятся под б?льшим давлением. Средняя плотность Земли, приведенная к нормальному давлению (1 атм) – 4.45 г/см3, плотность Луны – 3.3 г/см3. Различие обусловлено тем, что Земля содержит массивное железо-никелиевое ядро (с примесью легких элементов), в котором сосредоточено 32% массы Земли. Размер ядра Луны остается невыясненным. Но с учетом низкой плотности Луны и ограничения, налагаемого величиной момента инерции (0.3931) Луна не может содержать ядро, превосходящее 5% ее массы. Наиболее вероятным, исходя из интерпретации геофизических данных, считается интервал 1–3%, то есть радиус лунного ядра составляет 250–450 км.
К середине прошлого века сформировалось несколько гипотез происхождения Луны: отделение Луны от Земли; случайный захват Луны на околоземную орбиту; коаккреция Луны и Земли из роя твердых тел. Эта проблема до недавнего времени решалась специалистами в области небесной механики, астрономии и планетофизики. Геологи и геохимики в ней участия не принимали, поскольку о составе Луны до начала ее изучения космическими аппаратами ничего не было известно.
Уже в 30 гг. прошлого столетия было показано, что гипотеза отрыва Луны от Земли, выдвигавшаяся, кстати, Дж. Дарвиным, сыном Ч. Дарвина, несостоятельна. Суммарный вращательный момент Земли и Луны недостаточен для возникновения даже в жидкой Земле ротационной неустойчивости (потеря вещества под действием центробежной силы).
В 60-е гг. специалисты в области небесной механики пришли к выводу, что захват Луны на околоземную орбиту – крайне маловероятное событие. Оставалась гипотеза коаккреции, которая была разработана отечественными исследователями, учениками О.Ю. Шмидта В.С. Сафроновым и Е.Л. Рускол. Ее слабая сторона – неспособность объяснить разную плотность Луны и Земли. Изобретались хитроумные, но малоправдоподобные сценарии того, как Луна могла бы потерять избыточное железо. Когда стали известны детали химического строения и состава Луны, эта гипотеза была окончательно отвергнута. Как раз в середине 1970-х гг. появился новый сценарий образования Луны. Американские ученые А.Камерон и В. Уорд и одновременно В. Хартман и Д. Дэвис в 1975 г. предложили гипотезу образования Луны в результате катастрофического столкновения с Землей крупного космического тела, размером с Марс (гипотеза мегаимпакта). В результате огромная масса земной материи и частично материала ударника (небесного тела, столкнувшегося с Землей) расплавилась и была выброшена на околоземную орбиту. Этот материал быстро аккумулировался в компактное тело, которое стало Луной. Несмотря на кажущуюся экзотичность эта гипотеза стала общепринятой, поскольку она предлагала простое решение целого ряда проблем. Как показало компьютерное моделирование, с динамической точки зрения, столкновительный сценарий вполне осуществим. Сверх того, он дает объяснение повышенному значению углового момента системы Земля – Луна, наклону оси Земли. Легко объясняется и более низкое содержание железа в Луне, так как предполагается, что катастрофическое столкновение произошло после образования ядра Земли. Железо оказалось в основном сконцентрированным в ядре Земли, а Луна образовалась из каменного вещества земной мантии.

Рис. 1 – Столкновение Земли с небесным телом размером примерно с Марс, в результате которого произошел выброс расплавленного вещества, образовавшего Луну (гипотеза мегаимпакта).
Рисунок В.Е. Куликовского.
К середине 1970-х гг., когда на Землю доставили образцы лунного грунта, достаточно хорошо были изучены геохимические свойства Луны, и она по ряду параметров действительно показывала неплохое сходство с составом земной мантии. Поэтому такие видные геохимики, как А. Рингвуд (Австралия) и Х. Венке (Германия), поддержали гипотезу мегаимпакта. Вообще, проблема происхождения Луны из разряда астрономических перешла скорее в разряд геолого-геохимических, так как именно геохимические аргументы стали решающими в системе доказательств той или иной версии образования Луны. Эти версии различались лишь в деталях: относительные размеры Земли и ударника, каков был возраст Земли, когда произошло столкновение. Сама же ударная концепция считалась незыблемой. Между тем некоторые подробности геохимического анализа ставят под сомнение гипотезу в целом.
Проблема «летучих» и изотопного фракционирования
Вопрос дефицита железа на Луне играл решающую роль при обсуждении происхождения Луны. Другая фундаментальная проблема – сверхобедненность естественного спутника Земли летучими элементами – оставалась в тени.

Луна содержит во много раз меньше K, Na и других летучих элементов по сравнению с углистыми хондритами. Состав углистых хондритов рассматривается как наиболее близкий к первоначальному космическому веществу, из которого формировались тела Солнечной системы. В качестве «летучих» мы привычно воспринимаем соединения углерода, азота, серы и воду, которые легко испаряются при прогреве до температуры 100–200оС. При температурах 300–500оС, в особенности в условиях низких давлений, например, при соприкосновении с космическим вакуумом, летучесть свойственна элементам, которые мы обычно наблюдаем в составе твердых веществ. Земля тоже содержит мало летучих элементов, но Луна заметно обеднена ими даже по сравнению с Землей.
Казалось бы в этом нет ничего удивительного. Ведь в соответствии с ударной гипотезой предполагается, что Луна образовалась в результате выброса расплавленного вещества на околоземную орбиту. Понятно, что при этом часть вещества могла испариться. Все бы хорошо объяснялось, если бы не одна деталь. Дело в том, что при испарении происходит явление, называемое фракционированием изотопов. Например, углерод состоит из двух изотопов 12С и 13С, кислород имеет три изотопа – 16О, 17О и 18О, элемент Mg содержит стабильные изотопы 24Mg и 26Mg и т.д. При испарении легкий изотоп опережает тяжелый, поэтому остаточное вещество должно обогатиться тяжелым изотопом того элемента, который был утрачен. Американский ученый Р. Клейтон с сотрудниками показал экспериментально, что при наблюдаемой потере калия Луной отношение 41K/39K должно было бы измениться в ней на 60‰ . При испарении 40% расплава изотопное отношение магния (26Mg/24Mg) изменилось бы на 11–13‰, а кремния (30Si/28Si) – на 8–10‰. Это очень большие сдвиги, если учесть, что современная точность измерения изотопного состава этих элементов не хуже 0.5‰. Между тем никакого сдвига изотопного состава, то есть каких-либо следов изотопного фракционирования летучих в лунном веществе не обнаружено.
Возникла драматическая ситуация. С одной стороны импактная гипотеза была провозглашена незыблемой, особенно в американской научной литературе, с другой – она не совмещалась с изотопными данными.
Р. Клейтон (1995 г.) отмечал: «Эти изотопные данные несовместимы почти со всеми предложенными механизмами обеднения летучими элементами путем испарения конденсированного вещества». Х. Джонс и Х. Палме (2000 г.) заключили, что «испарение не может рассматриваться в качестве механизма, приводящего к обеднению летучими из-за неустранимого изотопного фракционирования».
Модель образования Луны
Десять лет назад я выдвинул гипотезу, смысл которой состоял в том, что Луна сформировалась не вследствие катастрофического удара, а как двойная система одновременно с Землей в результате фрагментации облака пылевых частиц. Так образуются двойные звезды. Железо, которым Луна обеднена, было утрачено вместе с другими летучими в результате испарения.

Рис. 2 – Формирование Земли и Луны из общего пылевого диска в соответствии с гипотезой автора о происхождении Земли и Луны как двойной системы.
Но может ли в действительности возникнуть такая фрагментация при тех значениях массы, углового момента и прочего, которые имеет система Земля – Луна? Это оставалось неизвестным. Несколько исследователей объединились в группу для изучения этой проблемы. В нее вошли известные специалисты в области космической баллистики: академик Т.М. Энеев, еще в 70-е г.г. исследовавший возможность аккумуляции планетных тел путем объединения пылевых сгущений; известный математик академик В.П. Мясников (к сожалению, уже ушедший из жизни); крупный специалист в области газодинамики и суперкомпьютеров член-корреспондент РАН А.В. Забродин; доктор физико-математических наук М.С. Легкоступов; доктор химических наук Ю.И. Сидоров. Позже к нам присоединился доктор физико-математических наук, специалист в области компьютерного моделирования А.М. Кривцов из Санкт-Петербурга, внесший существенный вклад в решение проблемы. Наши усилия были направлены на решение динамической задачи образования Луны и Земли.
Однако идея утраты Луной железа в результате испарения, казалось бы, находилась в таком же противоречии с отсутствием следов изотопного фракционирования на Луне, как и импактная гипотеза. На самом деле здесь наблюдалось замечательное различие. Дело в том, что изотопное фракционирование происходит, когда изотопы необратимо покидают поверхность расплава. Тогда, вследствие большей подвижности легкого изотопа возникает кинетический изотопный эффект (приведенные выше величины изотопных сдвигов обусловлены именно этим эффектом). Но, возможна другая ситуация, когда испарение происходит в закрытой системе. В этом случае испарившаяся молекула может вновь вернуться в расплав. Тогда устанавливается некоторое равновесие между расплавом и паром. Понятно, что более летучие компоненты накапливаются в паровой фазе. Но вследствие того, что существует как прямой, так и обратный переход молекул между паром и расплавом изотопный эффект оказывается очень небольшим. Это –термодинамический изотопный эффект. При повышенных температурах он может быть пренебрежимо мал. Идея закрытой системы неприменима к расплаву, выброшенному на околоземную орбиту и испаряющемуся в космическое пространство. Но она вполне соответствует процессу, протекающему в облаке частиц. Испаряющиеся частицы окружены своим паром, и облако в целом находится в условиях закрытой системы.

Рис. 3 – Кинетический и термодинамический изотопные эффекты: а) кинетический изотопный эффект при испарении расплава приводит к обогащению пара легкими изотопами летучих элементов, а расплава – тяжелыми изотопами; б) термодинамический изотопный эффект, возникающий при равновесии между жидкостью и паром. Он может быть пренебрежимо мал при повышенных температурах; в) закрытая система частиц, окруженных своим паром. Испарившиеся частицы могут вновь возвращаться в расплав.
Предположим теперь, что облако сжимается в результате гравитации. Происходит его коллапс. Тогда перешедшая в пар часть вещества выжимается из облака, а оставшиеся частицы оказываются обедненными летучими. При этом фракционирования изотопов почти не наблюдается!
Было рассмотрено несколько версий решения динамической задачи. Наиболее удачной оказалась модель динамики частиц (вариант модели молекулярной динамики), предложенная А.М. Кривцовым.
Представим, что имеется облако частиц, каждая из которых движется в соответствии с уравнением второго закона Ньютона, как известно, включающего массу, ускорение и силу, вызывающую движение. Сила взаимодействия между каждой частицей и всеми остальными частицами f включает несколько слагаемых: гравитационное взаимодействие, упругую силу, действующую при соударении частиц (проявляется на очень малых расстояниях), и неупругую часть взаимодействия, в результате которого энергия столкновения переходит в тепло.
Необходимо было принять определенные начальные условия. Решение проводилось для облака частиц, имеющего массу системы Земля – Луна, и обладающего угловым моментом, характеризующим систему этих тел. На самом деле данные параметры для первоначального облака могли несколько отличаться как в большую, так и в меньшую сторону. Исходя из удобства компьютерного расчета, рассматривалась двумерная модель – диск c неравномерно распределенной поверхностной плотностью. С целью описать поведение реально трехмерного объекта в параметрах двумерной модели вводились критерии подобия при помощи безразмерных коэффициентов. Еще одно условие: нужно было приписать частице помимо угловой некую хаотическую скорость. Математические выкладки и некоторые другие технические подробности здесь можно опустить.
Компьютерный расчет модели, основанной на приведенных принципах и условиях, хорошо описывает коллапс облака частиц. При этом формировалось центральное тело повышенной температуры. Однако не было главного. Не происходила фрагментация облака частиц, то есть возникало одно тело, а не двойная система Земля – Луна. Вообще говоря, в этом ничего неожиданного не было. Как уже упоминалось, попытки смоделировать образование Луны путем отрыва от быстро вращающейся Земли и ранее оказывались безуспешными. Угловой момент системы Земля-Луна был недостаточен для разделения общего тела на два фрагмента. То же получилось и с облаком частиц.
Однако ситуация коренным образом изменилась, когда приняли во внимание явление испарения.
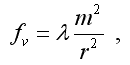
Процесс испарения с поверхности частицы вызывает эффект отталкивания. Сила этого отталкивания обратно пропорциональна квадрату расстояния от испаряющейся частицы:

где λ – коэффициент пропорциональности, учитывающий величину потока, испаряющегося с поверхности частицы; m – масса частицы.
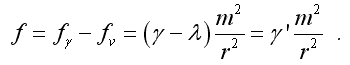
Структура формулы, характеризующей газодинамическое отталкивание, выглядит аналогично выражению для гравитационной силы, если вместо λ подставить γ - гравитационную постоянную. Строго говоря, полного подобия этих сил нет, так как гравитационное взаимодействие является дальнодействующим, а отталкивающая сила испарения – локальной. Тем не менее, в первом приближении их можно объединить:

Отсюда получается некая эффективная постоянная γ', меньшая, чем γ.
Ясно, что уменьшение коэффициента γ приведет к появлению ротационной неустойчивости при меньших значениях углового момента. Вопрос в том, каков должен быть поток испарения, чтобы требования к начальной угловой скорости облака снизились настолько, чтобы реальный угловой момент системы Земля – Луна, оказался достаточным для появления фрагментации.
Выполненные оценки показали, что поток должен быть совсем небольшим и вписываться во вполне правдоподобные значения времени и массы. А именно, для хондр (сферических частиц, из которых состоят метеориты хондриты) размером примерно 1мм, с температурой порядка 1000 К и плотностью ~ 2 г/см3, поток должен составлять величину примерно 10–13 кг/м2•с. В этом случае уменьшение массы испаряющейся частицы на 40% займет время порядка (3 - 7) •104 лет, что согласуется с возможным порядком 105 лет для временной шкалы начальной аккумуляции планетных тел. Компьютерное моделирование с использованием реальных параметров отчетливо показало появление ротационной неустойчивости, завершающейся формированием двух нагретых тел, одному из которых предстоит стать Землей, а другому – Луной.

Рис. 4 – Компьютерная модель коллапса облака испаряющихся частиц. Показаны последовательные фазы фрагментации облака (а – г) и образования двойной системы (д – е). В расчете использовались реальные параметры, характеризующие систему Земля – Луна: кинетический момент K = 3.45•1034 кг•м2•с–1; общая масса Земли и Луны M = 6.05•1024кг, радиус твердого тела с общей массой Земли и Луны Rc = 6.41•106м; гравитационная постоянная "гамма" = 6.67•10–11 кг–1•м3•с–2; начальный радиус облака R0 = 5.51 Rc; число расчетных частиц N = 104, значение потока испарения 10–13 кг•м–2•с–1, отвечающее приблизительно 40% испарению массы частиц с размером хондры порядка 1 мм в течение 104 – 105 лет. Рост температуры условно показан изменением цвета от синего к красному.
Таким образом, предложенная динамическая модель объясняет возможность возникновения двойной системы Земля – Луна. При этом испарение приводит к утрате летучих элементов в условиях практически закрытой системы, обеспечивающей отсутствие заметного изотопного эффекта.
Проблема дефицита железа
Объяснение дефицита железа на Луне по сравнению с Землей (и первичным космическим веществом – углистыми хондритами) в свое время стало наиболее убедительным аргументом в пользу импактной гипотезы. Правда и здесь у импактной гипотезы имеются трудности. Действительно, Луна содержит меньше железа, чем Земля, но больше, чем земная мантия, из которой, как считается, она образовалась. Возможно, Луна унаследовала дополнительно железо ударника. Но тогда она должна быть обогащена не только железом относительно земной мантии, но и сидерофильными элементами (W, P, Mo, Co, Cd, Ni, Pt, Re, Os и др.), сопровождающими железо. В расплавах железо-силикат они присоединяются к железной фазе. Между тем Луна обеднена сидерофильными элементами, хотя в ней больше железа, чем в земной мантии. В последних моделях, чтобы согласовать ударную гипотезу с наблюдениями, все больше увеличивают массу ударника, столкнувшегося с Землей, и делается вывод о его преобладающем вкладе в состав вещества Луны. Но здесь возникает новое осложнение для импактной гипотезы. Вещество Луны, как следует из изотопных данных, строго родственно веществу Земли. Действительно, изотопные составы образцов Луны и Земли лежат на одной линии в координатах δ18О и δ17О (отношение изотопов кислорода 17O и 18O к 16O). Так ведут себя образцы, принадлежащие одному и тому же космическому телу. Образцы других космических тел занимают другие линии. До тех пор, пока Луна считалась образовавшейся из вещества мантии, совпадение изотопных характеристик свидетельствовало в пользу этой гипотезы. Однако, если вещество Луны в существенной мере образовано из вещества неизвестного небесного тела, совпадение изотопных характеристик уже не поддерживает ударную гипотезу.

Рис. 5 – Сравнительное содержание железа (Fe) и окиси железа (FeO) в Земле и Луне.

Рис. 6 – Диаграмма отношений изотопов кислорода δ17О и δ18О (δ17О и δ18О – величины, характеризующие сдвиги изотопных отношений кислорода 17О/16О и 18О/16О, относительно принятого стандарта SMOW). На этой диаграмме образцы Луны и Земли ложатся на общую линию фракционирования, что указывает на генетическое родство их состава.
Сверхобедненность Луны летучими элементами и роль испарения в динамике формирования системы Земля – Луна позволяют совершенно иначе истолковать проблемы дефицита железа.
На основании нашей модели предстоит выяснить, как возникает обедненность Луны железом, и почему Луна обеднена железом, а Земля – нет, при том, что в результате фрагментации возникают два аналогичных по условиям образования тела.
Лабораторные эксперименты показали, что железо – тоже относительно летучий элемент. Если испарять расплав, который имеет первичный хондритовый состав, то после испарения наиболее легколетучих компонентов (соединений углерода, серы и ряда других) начнут испаряться щелочные элементы (K, Na), а затем наступит очередь железа. Дальнейшее испарение приведет к улетучиванию Si, за ним Mg. В конечном счете расплав обогатится наиболее трудно летучими элементами Al, Ca, Ti. Перечисленные вещества относятся к числу породообразующих элементов. Они входят в состав минералов, слагающих основную массу (99%) пород. Другие элементы образуют примеси и второстепенные минералы.

Рис. 7 – После образования двух горячих зародышей (красные пятна), значительная часть более холодного (зеленый и синий цвет) материала исходного облака частиц остается в окружающем пространстве (размеры частиц увеличены).

Примечание: Ядро Земли (учтена его масса, составляющая 32% массы планеты) содержит, помимо железа никель и другие сидерофильные элементы, а также до 10% примеси легких элементов. Это могут быть кислород, сера, кремний, с меньшей вероятностью - примеси других элементов. Данные для Луны взяты по С. Тейлору (1979). Оценки состава Луны сильно варьируют у разных авторов. Нам представляется, что оценки С. Тейлора наиболее обоснованы (Галимов, 2004).
Луна обеднена Fe и обогащена трудно летучими элементами: Al, Ca, Ti. Более высокое содержание Si и Mg в составе Луны – это иллюзия, вызванная дефицитом железа. Если утрата летучих обусловлена процессом испарения, то содержание только наиболее трудно летучих элементов останется неизменным по отношению к исходному составу. Поэтому, чтобы производить сравнение между хондритами (CI), Землей и Луной, следует отнести все концентрации к элементу, содержание которого предполагается неизменным .

Тогда отчетливо выявляется обедненность Луны не только железом, но и кремнием и магнием. Исходя из экспериментальных данных, этого следовало ожидать при существенной потере железа в процессе испарения.

А. Хашимото (1983) подвергал испарению расплав, который изначально имел хондритовый состав. Анализ его эксперимента обнаруживает, что при 40% испарения, остаточный расплав приобретает состав, почти аналогичный лунному. Таким образом, состав Луны, в том числе наблюдаемый дефицит железа, могут быть получены при образовании спутника Земли из первичного хондритового вещества. И тогда нет необходимости в гипотезе катастрофического удара.
Асимметрия роста зародышей Земли и Луны
Остается второй из заданных выше вопросов – почему Земля не обеднена железом, а также кремнием и магнием в той же степени, что и Луна. Ответ на него потребовал решения еще одной компьютерной задачи. Прежде всего, отметим, что после фрагментации и образования в коллапсирующем облаке двух горячих тел, остается большое количество вещества в окружающем их облаке частиц. Окружающая масса вещества остается холодной по сравнению с относительно высокотемпературными консолидированными зародышами.

Рис. 8 – Компьютерное моделирование показывает, что больший из образовавшихся зародышей (красный цвет) развивается гораздо быстрее и аккумулирует большую часть оставшегося исходного облака частиц (синий цвет).
Первоначально оба фрагмента, как тот, которому предстояло стать Луной, так и тот, которому предстояло стать Землей, были обеднены летучими и железом практически в одинаковой степени. Однако компьютерное моделирование показало, что если один из фрагментов оказался (случайно) несколько большей массы, чем другой, то дальнейшая аккумуляция вещества протекает крайне асимметрично. Зародыш большего размера растет гораздо быстрее. С увеличением разницы в размерах лавинообразно возрастает различие скоростей аккумуляции вещества из оставшейся части облака. В результате зародыш меньшего размера лишь немного изменяет свой состав, в то время как зародыш большего размера (будущая Земля), аккумулирует практически все первичное вещество облака и в конечном счете приобретает состав, весьма близкий к составу первичного хондритового вещества, за исключением наиболее летучих компонентов, безвозвратно покидающих коллапсирующее облако. Заметим еще раз, что утрата летучих элементов в этом случае происходит не за счет испарения в пространстве, а за счет выжимания остаточного пара коллапсирующим облаком.
Таким образом, предложенная модель объясняет сверхобедненность Луны летучими и дефицит железа в ней. Главная особенность модели –введение в рассмотрение фактора испарения, причем в условиях, исключающих или сводящих к малым величинам фракционирование изотопов. Этим преодолевается фундаментальная трудность, с которой сталкивается гипотеза мегаимпакта. Фактор испарения впервые позволил получить математическое решение развития двойной системы Земля – Луна при реальных физических параметрах. Нам представляется, что предложенная нами новая концепция происхождения Луны из первичного вещества, а не из мантии Земли, лучше согласуется с фактами, чем американская гипотеза мегаимпакта.
Предстоящие задачи
Хотя ответы на многие вопросы были получены, еще немало их остается, и встает новая крупная проблема. Она состоит в следующем. Мы в своих расчетах исходили из того, что Земля и Луна, по крайней мере их зародыши размером 2–3 тыс. км, возникли из облака частиц. Между тем существующая теория аккумуляции планет описывает образование планетных тел как результат соударения твердых тел (планетезималей) сначала метрового, потом километрового, стокилометрового и т.д. размеров. Следовательно, наша модель требует, чтобы в течение ранней стадии развития протопланетного диска в нем возникали и росли до почти планетарной массы крупные сгущения пыли, а не ансамбль твердых тел. Если это действительно так, то речь идет не только о модели происхождения системы Земля – Луна, но и о необходимости пересмотра теории аккумуляции планет в целом.
Остаются вопросы, касающиеся следующих аспектов гипотезы:
необходим более детальный расчет температурного профиля в коллапсирующем облаке, совмещенный с термодинамическим анализом распределения элементов в системе частица – пар на разных уровнях этого профиля (пока это не сделано, модель остается скорее качественной гипотезой);
следует получить более строгое выражение для газодинамического отталкивания с учетом локального характера действия этой силы в отличие от гравитационного взаимодействия.
в модели оставлен в стороне вопрос о влиянии Солнца, произвольно выбран радиус диска и не рассмотрено деформирующее влияние столкновения сгущений при формировании диска.
для получения более строгого решения важно было бы перейти к трехмерной постановке задачи и увеличить число модельных частиц;
необходимо рассмотреть случаи формирования двойной системы из протодиска меньшей массы, чем суммарная масса Земли и Луны, так как вполне вероятно, что процесс аккумуляции происходил в две стадии – на ранней стадии – коллапс пылевого сгущения с образованием двойной системы, а на поздней стадии – дополнительный рост за счет соударения образовавшихся к тому времени в Солнечной системе твердых тел;
в динамической части нашей модели остается не разработанным вопрос о причине высокого значения начального момента вращения системы Земля – Луна и заметного наклона оси Земли к плоскости эклиптики, в то время как гипотеза мегаимпакта такое решение предлагает.
Ответы на эти вопросы в значительной мере зависят от общего решения упомянутой выше проблемы эволюции сгущений в протопланетном вокругсолнечном газопылевом диске.
Наконец, следует иметь в виду, что наша гипотеза предполагает некоторые элементы гетерогенной аккреции (послойное формирование небесного тела), правда в смысле, противоположном принятому. Сторонники гетерогенной аккреции предполагали, что у планет сначала тем или иным способом образуется железное ядро, а затем уже нарастает преимущественно силикатная оболочка мантии. В нашей модели первоначально возникает зародыш, обедненный железом, и лишь последующая аккумуляция приносит обогащенный железом материал. Понятно, это существенным образом видоизменяет процесс формирования ядра и связанные с ним условия фракционирования сидерофильных элементов, и другие геохимические параметры. Таким образом, предложенная концепция открывает новые аспекты исследования в динамике формирования солнечной системы и в геохимии.
Список литературы
Для подготовки данной применялись материалы сети Интернет из общего доступа