Принципы построения преобразователя параметров импеданса с интеллектуальными возможностями
Принципы построения преобразователя параметров импеданса с интеллектуальными возможностями
Асп. Чечетин В.А., проф. Хасцаев Б.Д., доц. Катаев Т.С.
Кафедра промышленной электроники.
Северо-Кавказский горно-металлургический институт (государственный технологический университет).
Кафедра физики. Северо-Осетинская государственная медицинская академия
Рассматриваются принципы построения преобразователей параметров импеданса, необходимых для построения высокоэффективных систем управления технологическими процессами и локальных измерительных приборов последнего поколения.
Наиболее перспективным направлением развития и совершенствования преобразователей параметров импеданса (ППИ),так же как многих технических устройств, является внедрение в них элементов искусственного интеллекта, иначе интеллектуализация ППИ [1, 2]. Однако в настоящее время публикации по данному направлению в области создания ППИ явно не хватает, и многие разработчики технических средств лишены необходимой информации. В связи с этим в работе авторы предлагают свой небольшой опыт создания интеллектуальных ППИ (ИППИ).
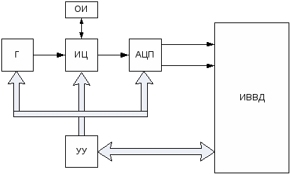
Для упрощения понимания принципов построения ИППИ вначале проанализируем структурную схему обычного ППИ на примере схемы, показанной на рис. 1.
Как видно из
рисунка, главными узлами ППИ являются:
измерительная цепь (ИЦ), выполняющая
основную роль в преобразовании параметров
импеданса в активные величины; генератор
сигналов для питания ИЦ (Г); аналогово-цифровой
преобразователь (АЦП), обеспечивающий
преобразование активных величин в
цифровые; объект исследования (ОИ);
устройство управления (УУ) для контроля
и синхронизации работы всех узлов ППИ;
интерфейс ввода и вывода данных (ИВВД),
необходимые пользователю для взаимодействия
с ППИ. УУ и ИВВД целесообразнее всего
разрабатывать в виде аппаратно-программного
продукта с применением персонального
компьютера. Это значительно упрощает
решение задачи интеллектуализации ППИ.
Следующим существенным шагом по пути
интеллектуализации ППИ является
организация баз знаний (БЗ) и их внедрение
в структуру ППИ. К важным функциям БЗ
относятся – формализация, структурирование
и хранение знаний. Другим шагом
интеллектуализации является применение
баз данных (БД). Заметим, что состав БД
определяется конкретными функциями
ППИ.

Рис.1. Структурная схема обычного ППИ.
Если взаимодействие пользователя с ППИ осуществлять с помощью интеллектуального интерфейса пользователя (ИИП), позволяющего выполнять полноценную работу неквалифицированным операторам, то это значительно упростит взаимодействие оператора с ППИ и повысит уровень интеллектуализации ППИ. Разработанная с учетом сказанного структурная схема ИППИ показана на рис. 2.

Рис. 2. Структурная схема интеллектуального ППИ.
Важными элементами ИППИ являются БД разного назначения, объединенные в схеме в единую базу и обозначенных на рис. 2 – БД РР. ИППИ также содержат базы данных по ОИ, Г, ИЦ, АЦП, обозначенных в схеме как БД ПЭ. Она может хранить данные по преобразуемым (измеряемым) параметрам импеданса, режимам работы, методам коррекции погрешностей и визуализации данных, а также по задачам преобразования.
Структурная схема ИППИ дополнена БЗ по задачам преобразования параметров импеданса (БЗ ЗП), а также узлом интеллектуального анализа данных (ИАД).
Работа предлагаемого ИПП заключается в следующем. После ввода первоначальных параметров задачи преобразования параметров импеданса ОИ через ИИП в устройстве формируется нужная система измерения (преобразования). Она может быть сформирована и на основе БЗ уже выполненных ранее задач преобразования ППИ. Узлы схемы: Г, ИЦ, АЦП, ОИ – являются синтезируемыми (формируемыми в ходе измерения). Они входят в БД по перестраиваемым элементам ППИ, обозначенном БД ПЭ. Таким образом, реализуется интеллектуализация функций ППИ на структурном уровне. Взаимодействие между БД РР и ИПП, и узлами схемы осуществляется с помощью универсальной системы управления (СУ). Функции данного узла – формирование структуры преобразователя на основе введенных пользователем данных, управления и контроль в ходе измерения основными элементами ППИ, обеспечение вывода измерительной информации.
Предлагаемые принципы построения ППИ с интеллектуальными возможностями могут быть применены для решения широкого класса задач в области преобразования первичной информации. На их основе могут быть построены как локальные средства измерения, контроля и управления, так и АСУ ТП. Материал статьи представляет интерес студентам старших курсов и аспирантам, разрабатывающим аппаратуру для научных исследований.
Список литературы
1. Ясницкий Л.Н. Введение в искусственный интеллект. М.: ACADEMIA, 2005.
2. Рассел Стюарт, Норвиг Питер. Искусственный интеллект: современный подход, 2-е изд.: Пер. с англ. М.: Издательский дом «Вильямс», 2006.
Для подготовки данной применялись материалы сети Интернет из общего доступа