Биномиальный критерий
Биномиальный критерий
Биномиальный критерий — это непараметрический метод, позволяющий легко проверить, повлияла ли независимая переменная на выполнение задания испытуемыми, при этом методе сначала подсчитывают число испытуемых, у которых результаты снизились, а затем сравнивают его с тем числом, которого можно было ожидать на основе чистой случайности (в нашем случае вероятность случайного события 1:2). Далее определяют разницу между этими двумя числами, чтобы выяснить, насколько она достоверна.
Биномиальный критерий особенно часто используют при анализе данных, получаемых в исследованиях по парапсихологии. С помощью этого критерия легко можно сравнить, например, число так называемых телепатических или психокинетических реакций (X) с числом сходных реакций, которое могло быть обусловлено чистой случайностью (п/2).
При подсчетах результаты, свидетельствующие о повышении эффективности, берут со знаком плюс, а о снижении — со знаком минус; случаи отсутствия разницы не учитывают.
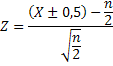
Расчет ведется по следующей формуле:

где Х — сумма «плюсов» или сумма «минусов»;
п/2 — число сдвигов в ту или в другую сторону при чистой случайности один шанс из двух. (Такая вероятность характерна, например, для п бросаний монеты. В случае же если п раз бросают игральную кость, то вероятность выпадения той или иной грани уже равна одному шансу из 6 (п/6))
0,5 — поправочный коэффициент, который добавляют к X, если X<п/2, или вычитают, если X>п/2.
Таблица Z для критических значений для уровня значимости α=0,01 и α=0,05
|
Достоверные значения Z |
|
|
α |
Z |
|
0,05 |
1,64 |
|
0,01 |
2,33 |
Пример 1. Гипотеза Н0: Под действием независимой переменной глазодвигательная координация людей после эксперимента улучшилась.
|
До |
12 |
21 |
10 |
15 |
15 |
19 |
17 |
14 |
13 |
11 |
20 |
15 |
15 |
14 |
17 |
|
После |
8 |
20 |
6 |
8 |
17 |
10 |
10 |
9 |
7 |
8 |
14 |
13 |
16 |
11 |
12 |
|
Знак |
- |
- |
- |
- |
+ |
- |
- |
- |
- |
- |
- |
- |
+ |
- |
- |
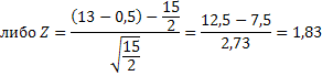
Итак, в 13 случаях результаты ухудшились, а в 2 — улучшились. Теперь нам остается вычислить Z для одного из этих двух значений X:


Из таблицы значений Z можно узнать, что Z для уровня значимости α=0,05 составляет 1,64. Поскольку полученная нами величина Z оказалась выше табличной, нулевую гипотезу следует отвергнуть; значит, под действием независимой переменной глазодвигательная координация действительно ухудшилась.
Пример 2. Гипотеза Н0: СОЭ в группе больных пневмонией до и после приема антибиотиков снизилось.
|
До |
32 |
15 |
45 |
8 |
46 |
51 |
15 |
7 |
4 |
27 |
|
После |
25 |
8 |
18 |
9 |
12 |
25 |
9 |
12 |
8 |
18 |
|
Знак |
- |
- |
- |
+ |
- |
- |
- |
+ |
+ |
- |
В 7 случаях результат снизился, в 3 случаях увеличился в пределах нормы.
Вычислим значения Z для «+» и «-».


Для уровня значимости α=0,05 и Zкр=1,64 при Zэмп<Zкр можно сделать вывод, что действительно прием антибиотиков повлиял на снижение и стабилизацию СОЭ у больных пневмонией.
Пример 3. Гипотеза Н0: Память у студентов, принимавших витамины на протяжении 1 месяца, улучшилась.
|
До |
25 |
10 |
2 |
35 |
60 |
35 |
20 |
75 |
50 |
65 |
45 |
30 |
50 |
|
После |
45 |
20 |
35 |
45 |
15 |
60 |
40 |
85 |
50 |
90 |
35 |
70 |
70 |
|
Знак |
+ |
+ |
+ |
+ |
- |
+ |
+ |
+ |
= |
+ |
- |
+ |
+ |
Исходя из расчетов эксперимента, у 10 из 13 студентов увеличились показатели запоминаемости, у 2 снизились и у 1 не изменились.
Вычисляя значения Z получим:


Проверим гипотезу для уровня значимости α=0,01. Zкр=2,33, следовательно Zэмп<Zкр, что позволяет сделать вывод об улучшении памяти студентов, принимавших витамины.
Список литературы
1. Годфруа Ж. Что такое психология. — М., 1992.
2. Chatillon G., 1977. Statistique en Sciences humaines, Trois-Rivieres, Ed. SMG.
3. Gilbert N.. 1978. Statistiques, Montreal, Ed. HRW.
4. Moroney M.J., 1970. Comprendre la statistique, Verviers, Gerard et Cie.
5. Siegel S., 1956. Non-parametric Statistic, New York, MacGraw-Hill Book Co.
Для подготовки данной применялись материалы сети Интернет из общего доступа