Визначення маркерів компенсованих, субкомпенсованих та декомпенсованих станів за кишкової непрохідності
Міністерство освіти і науки України
Дніпропетровський національний університет ім. Олеся Гончара
Механіко-математичний факультет
Кафедра статистики й теорії ймовірностей
КУРСОВА РОБОТА
Визначення маркерів компенсованих, субкомпенсованих та декомпенсованих станів за кишкової непрохідності
Виконавець студентка
Бондаренко Наталія Сергіївна
Керівник роботи
к.ф.-м.н., доцент
Турчин Валерій Миколайович
м. Дніпропетровськ
2009 р.
Зміст
Вступ
Розділ 1. Перевірка гіпотези про нормальний розподіл параметрів загального аналізу крові для компенсованого, субкомпенсованого та декомпенсованого станів за кишкової непрохідності
Розділ 2. Перевірки гіпотези 010009000003100f00000000a00800000000a008000026060f003611574d464301000000000001002e170000000001000000141100000000000014110000010000006c00000000000000000000006a0000001b0000000000000000000000f10a0000dc02000020454d4600000100141100000c00000001000000000000000000000000000000900600001a040000b801000013010000000000000000000000000000c0b6060038320400460000002c00000020000000454d462b014001001c000000100000000210c0db0100000060000000600000004600000004030000f8020000454d462b224004000c000000000000001e4009000c00000000000000244001000c000000000000003040020010000000040000000000803f214007000c000000000000000840000550020000440200000210c0db01000000000000000000000000000000000000000100000089504e470d0a1a0a0000000d494844520000006b0000001c08030000005146b1470000000373424954050605330b8d80000000017352474200aece1ce9000000097048597300000ec400000ec401952b0e1b0000004b504c544500000000006b000094006db5009ace6b00006b6d6b6bbab56bbae7940000949a9494d3ffb56d00b56d94b5ebffce9a00ced394ceffffe7ba6bffd394ffebb5ffffcee7ffffffffe7ffffffc889e26e000001654944415448c7ed566b8f8320105cabde61f5a4055fffff97deee42150a3eb8d42697940f26cab003330308d3fb1a7cb85ec1d55700504c1a9f509fbd2e64c987695200627a03179148c8dad3b914938c0d5cee67735912b4ad8842d8cfefaa3858711d6eb2417675a56f97b2af9a12230fc766030e4c625b1de1325350512f25cc8d66bb0707ce5fcd03a3769961722eb6d3b6e0f0c89f559227eb00d14c7cc367f158c8e6bef0e10197e9a6c59b7259ab1da4490c76d6a694b7f650431f1e7059126d94ecab7ce8aba5220e16f3d6eb77c3e8c143ae7927335757e6c3d810d46483e5505fe8a5aab173ef6071e17d95b5ca0d01d86390e4a0cfcf5c9c52417b462c27cc465be0e3cf0dae423a2b84004b5c2b078886a31bda66b2f04a412038f9150fb84ebc06e4e5ee950aee2fcea1589967d23d403c9ec31071774d29b421e574a6292b578ab47bb92b930c6395feca35362211ef0a91c6a5d2a89e74f8fcb3fd2fae5f7471fcbc5d24bccd0000000049454e44ae42608200000840010824000000180000000210c0db01000000030000000000000000000000000000001b40000040000000340000000100000002000000000000bf000000bf0000d6420000e04103000000000000b3000000b3ffffd542000000b3000000b3ffffdf412100000008000000620000000c00000001000000150000000c00000004000000150000000c0000000400000051000000ac0c000000000000000000006a0000001b000000000000000000000000000000000000006b0000001c000000500000008c000000dc000000d00b0000000000002000cc006b0000001c000000280000006b0000001c0000000100080000000000000000000000000000000000190000000000000000000000ffffff00ceffff0000009400ce9a000094d3ff00ffd39400b56d0000ffffe7006bbae700e7ba6b00009ace006b000000ffebb500e7ffff00006db50094000000ffffce00b5ba6b00b5ebff0000006b006b6d6b00946db50094d3ce00949a9400010101010101010101010101010101010101010101010101010101010101010101010101010101010101010101010101010101010101010101010101010101010101010101010101010101010101010101010101010101010101010101010101010101010101010101010100010101010101010101010101010101010101010101010101010101010101010101010101010101010101010101010101010101010101010101010101010101010101010101010101010101010101010101010101010101010101010101010101010101010101010101010100010101010101010101010101010101010101010101010101010101010101010101010101010101010101010101010101010101010101010101010101010101010101010101010101010101010101010101010101010101010101010101010101010101010101010101010100010101010101010101010101010101010101010101010101010101010101010101010101010101010101010101010101010101010101010101010101010101010101010101010101010101010101010101010101010101010101010101010101010101010101010101010100010101010101010101010101010101010101010101010101010101010101010101010101010101010101010101090a010101010101010101010101010101010101010101010101010101010101010101010101010101010101010101011314040101010101010101010101000101010101010101010101010101010101010101010101010101010101010101010101010101010101010101010e0f0a0101010101010101010101010101010101010101010101010101010101010101010101010101010101010101010e0f10110101010101010101010100010101010101010101010101010101010101010101010101010101010101010101010101010101010101010101131404010101010101010101010101010101010101010101010101010101010101010101010101010101010101010101010b0c0d0101010101010101010143010101010101010101010101010101010e0f00000401010101010101010101010101010101010101010101020300101101010101010101010101010101010101010101010101010101010101010101010101010101010101010105000a010900060101010101010101010100010101010101010101010101010101010b0c0d05000a01010101010101010101010101010101010101010109000a01010101010101010101010101010101010101010101010101010101010101010101010101010101010101010203070813140a0101010101010101010100010101010101010101010101010101020307080203070801010101010101010101010101010101010101010500060101010101010101010101010101010101010101010101010101010101010101010101010101010101010101010b10110203070801010101010101010100010101010101010101010101010101131407080e0f101101010101010101010101010101010101010101010105000401010101010101010101010101010101010101010101010101010101010101010101010101010101010101010900040e0f10110101010101010101017c050000000006010b00000010110101131407080e0f0c0d010109000a01010101131400000a020300000a0101010500000a010101010101010101010101010101010101010101010101010101010101131400000a020300000a0e161700180a0b0c0d01010101010101010100010500000a0101010b000006010101131407080e0f0c0d010109000a0101010e0f000401091500101109060113140a010101010101010101010101010101010101010101010101010101010101010e0f0004010915001011090602030c0d0900101101010101010101010100011314000401010105000006010101020307080203101101010101010101010203000a01010b000c0d010101020304010101010101010101010101010101010101010101010101010101010101010203000a01010b000c0d0101010101010101010101010101010101010100010e0f000708010113140004010101010b0c0d05000401010101010101010102030004010113140006010101010e0f101101010101010101010101010b000000000000000000000708010101010102030004010113140006010101010101010101010101010101010101010001010b000c0d01010203000708010101010b000007080101010101010101010e0f000708010e0f0004010101010b0000000a010101010101010101010101010101010101010101010101010101010e0f000708010e0f000401010101010101010101010101010101010101000101090000060101010b0010110101010101010101010101010101010101010109000c0d01010b0007080101010101010101010101010101010101010101010101010101010101010101010101010109000c0d01010b000708010101010101010101010101010101010101ff0101131400000000000000000601010101010101010101010109000a010101011314000a010109000c0d0101010101010101010101010101010101010b0000000000000000000007080101010101011314000a010109000c0d010101010101010101010101010101010101000101020300070801011314000a01010101010101010101010109000a010101010105000006010b000006010101010101010101010101010101010101010101010101010101010101010101010101010105000006010b0000060101010101010101010101010101010101010001010e0f001011010102030004010101010101010101010101010101010101010101020300000012030401010101010101010101010101010101010101010101010101010101010101010101010101010102030000001203040101010101010101010101010101010101010001010109000c0d01010e0f001011010101010101010101010101010101010101010101010101010101010101010101010101010101010101010101010101010101010101010101010101010101010101010101010101010101010101010101010101010101010101010101000101010500000a0101010b000c0d01010101010101010101010101010101010101010101010101010101010101010101010101010101010101010101010101010101010101010101010101010101010101010101010101010101010101010101010101010101010101010109010101050000070801010900000a010101010101010101010101010101010101010101010101010101010101010101010101010101010101010101010101010101010101010101010101010101010101010101010101010101010101010101010101010101010101010101000101020300000004010500000000060101010101010101010101010101010101010101010101010101010101010101010101010101010101010101010101010101010101010101010101010101010101010101010101010101010101010101010101010101010101010101ff0101010101010101010101010101010101010101010101010101010101010101010101010101010101010101010101010101010101010101010101010101010101010101010101010101010101010101010101010101010101010101010101010101010101010101010101ff0101010101010101010101010101010101010101010101010101010101010101010101010101010101010101010101010101010101010101010101010101010101010101010101010101010101010101010101010101010101010101010101010101010101010101010101000101010101010101010101010101010101010101010101010101010101010101010101010101010101010101010101010101010101010101010101010101010101010101010101010101010101010101010101010101010101010101010101010101010101010101010101000101010101010101010101010101010101010101010101010101010101010101010101010101010101010101010101010101010101010101010101010101010101010101010101010101010101010101010101010101010101010101010101010101010101010101010101004c0000006400000000000000000000006a0000001b00000000000000000000006b0000001c0000002900aa0000000000000000000000803f00000000000000000000803f0000000000000000000000000000000000000000000000000000000000000000220000000c000000ffffffff460000001c00000010000000454d462b024000000c000000000000000e000000140000000000000010000000140000000400000003010800050000000b0200000000050000000c021c006b00030000001e00040000000701040004000000070104003b060000410b2000cc001c006b00000000001c006b0000000000280000006b0000001c0000000100080000000000000000000000000000000000190000000000000000000000ffffff00ceffff0000009400ce9a000094d3ff00ffd39400b56d0000ffffe7006bbae700e7ba6b00009ace006b000000ffebb500e7ffff00006db50094000000ffffce00b5ba6b00b5ebff0000006b006b6d6b00946db50094d3ce00949a9400010101010101010101010101010101010101010101010101010101010101010101010101010101010101010101010101010101010101010101010101010101010101010101010101010101010101010101010101010101010101010101010101010101010101010101010100010101010101010101010101010101010101010101010101010101010101010101010101010101010101010101010101010101010101010101010101010101010101010101010101010101010101010101010101010101010101010101010101010101010101010101010100010101010101010101010101010101010101010101010101010101010101010101010101010101010101010101010101010101010101010101010101010101010101010101010101010101010101010101010101010101010101010101010101010101010101010101010100010101010101010101010101010101010101010101010101010101010101010101010101010101010101010101010101010101010101010101010101010101010101010101010101010101010101010101010101010101010101010101010101010101010101010101010100010101010101010101010101010101010101010101010101010101010101010101010101010101010101010101090a010101010101010101010101010101010101010101010101010101010101010101010101010101010101010101011314040101010101010101010101000101010101010101010101010101010101010101010101010101010101010101010101010101010101010101010e0f0a0101010101010101010101010101010101010101010101010101010101010101010101010101010101010101010e0f10110101010101010101010100010101010101010101010101010101010101010101010101010101010101010101010101010101010101010101131404010101010101010101010101010101010101010101010101010101010101010101010101010101010101010101010b0c0d0101010101010101010143010101010101010101010101010101010e0f00000401010101010101010101010101010101010101010101020300101101010101010101010101010101010101010101010101010101010101010101010101010101010101010105000a010900060101010101010101010100010101010101010101010101010101010b0c0d05000a01010101010101010101010101010101010101010109000a01010101010101010101010101010101010101010101010101010101010101010101010101010101010101010203070813140a0101010101010101010100010101010101010101010101010101020307080203070801010101010101010101010101010101010101010500060101010101010101010101010101010101010101010101010101010101010101010101010101010101010101010b10110203070801010101010101010100010101010101010101010101010101131407080e0f101101010101010101010101010101010101010101010105000401010101010101010101010101010101010101010101010101010101010101010101010101010101010101010900040e0f10110101010101010101017c050000000006010b00000010110101131407080e0f0c0d010109000a01010101131400000a020300000a0101010500000a010101010101010101010101010101010101010101010101010101010101131400000a020300000a0e161700180a0b0c0d01010101010101010100010500000a0101010b000006010101131407080e0f0c0d010109000a0101010e0f000401091500101109060113140a010101010101010101010101010101010101010101010101010101010101010e0f0004010915001011090602030c0d0900101101010101010101010100011314000401010105000006010101020307080203101101010101010101010203000a01010b000c0d010101020304010101010101010101010101010101010101010101010101010101010101010203000a01010b000c0d0101010101010101010101010101010101010100010e0f000708010113140004010101010b0c0d05000401010101010101010102030004010113140006010101010e0f101101010101010101010101010b000000000000000000000708010101010102030004010113140006010101010101010101010101010101010101010001010b000c0d01010203000708010101010b000007080101010101010101010e0f000708010e0f0004010101010b0000000a010101010101010101010101010101010101010101010101010101010e0f000708010e0f000401010101010101010101010101010101010101000101090000060101010b0010110101010101010101010101010101010101010109000c0d01010b0007080101010101010101010101010101010101010101010101010101010101010101010101010109000c0d01010b000708010101010101010101010101010101010101ff0101131400000000000000000601010101010101010101010109000a010101011314000a010109000c0d0101010101010101010101010101010101010b0000000000000000000007080101010101011314000a010109000c0d010101010101010101010101010101010101000101020300070801011314000a01010101010101010101010109000a010101010105000006010b000006010101010101010101010101010101010101010101010101010101010101010101010101010105000006010b0000060101010101010101010101010101010101010001010e0f001011010102030004010101010101010101010101010101010101010101020300000012030401010101010101010101010101010101010101010101010101010101010101010101010101010102030000001203040101010101010101010101010101010101010001010109000c0d01010e0f001011010101010101010101010101010101010101010101010101010101010101010101010101010101010101010101010101010101010101010101010101010101010101010101010101010101010101010101010101010101010101010101000101010500000a0101010b000c0d01010101010101010101010101010101010101010101010101010101010101010101010101010101010101010101010101010101010101010101010101010101010101010101010101010101010101010101010101010101010101010109010101050000070801010900000a010101010101010101010101010101010101010101010101010101010101010101010101010101010101010101010101010101010101010101010101010101010101010101010101010101010101010101010101010101010101010101000101020300000004010500000000060101010101010101010101010101010101010101010101010101010101010101010101010101010101010101010101010101010101010101010101010101010101010101010101010101010101010101010101010101010101010101ff0101010101010101010101010101010101010101010101010101010101010101010101010101010101010101010101010101010101010101010101010101010101010101010101010101010101010101010101010101010101010101010101010101010101010101010101ff0101010101010101010101010101010101010101010101010101010101010101010101010101010101010101010101010101010101010101010101010101010101010101010101010101010101010101010101010101010101010101010101010101010101010101010101000101010101010101010101010101010101010101010101010101010101010101010101010101010101010101010101010101010101010101010101010101010101010101010101010101010101010101010101010101010101010101010101010101010101010101010101000101010101010101010101010101010101010101010101010101010101010101010101010101010101010101010101010101010101010101010101010101010101010101010101010101010101010101010101010101010101010101010101010101010101010101010101000c00000040092900aa000000000000001c006b0000000000040000002701ffff030000000000про рівність середніх значень параметрів загального аналізу крові для компенсованого, субкомпенсованого та декомпенсованого станів за кишкової непрохідності
Розділ 3. Перевірка гіпотези про незалежність параметрів загального аналізу крові для компенсованого, субкомпенсованого та декомпенсованого станів за кишкової непрохідності
Висновки
Список використаних джерел
Додатки
Вступ
Товста кишка є одним з найбільш розповсюджених місць локалізації злоякісного процесу. Незважаючи на можливості сучасних діагностичних методів, кількість ускладнених форм раку товстої кишки залишається високою. У структурі ускладненого раку товстої кишки провідне місце займає товстокишкова непрохідність.
Розрізняють три ступіні товстокишкові непрохідності.
Компенсована ступінь – це рання ступінь непрохідності, характеризується посиленою перистальтикою кишечника, при цьому вміст травного каналу намагається подолати перешкоду, що виникла – пухлину.
Субкомпенсована ступінь характеризується частковим порушенням проходження вмісту травного каналу, зумовленим пухлиною.
Декомпенсована ступінь характеризується повним порушенням проходження вмісту травного каналу внаслідок пухлини.
В роботі розглядаються дані 289 хворих з кишковою непрохідністю: у 102 хворих – компенсована ступінь, у 103 хворих – субкомпенсована ступінь, у 84 хворих – декомпенсована ступінь непрохідності.
Медиками були запропоновано розглянути такі фактори, що можуть суттєво впливати на диференціацію хворих з компенсованою та декомпенсованою ступінню, компенсованою та субкомпенсованою ступінню, субкомпенсованою та декомпенсованою ступінню непрохідності, а, отже, і на прийняття рішення щодо невідкладної операції: вік хворого та параметри загального аналізу крові, а саме гемоглобін, еритроцити, кольоровий показник, гематокрит, лейкоцити, швидкість осідання еритроцитів, еозінофіли, нейтрофіли палочкоядерні, нейтрофіли сегментоядерні, лімфоцити та моноцити.
Необхідно встановити зв’язок між значеннями цих факторів та ймовірністю диференціації декомпенсованої (субкомпенсованої) ступіні кишкової непрохідності у хворого.
При первинній обробці даних було розглянуто 14 параметрів загального аналізу крові, що могли б диференціювати (відрізняти) компенсований, субкомпенсований та декомпенсований стани за кишкової непрохідності. Це гемоглобін, еритроцити, ЦП, Ht, лейкоцити, СОЕ, базофіли, еозінофіли, міелоцити, юні, нейтрофіли палочкоядерні, нейтрофіли сегментоядерні, лімфоцити та моноцити.
Крім вищезазначених параметрів розглядалися також такі параметри як стать, вік, діагноз (1- рак сліпої кишки, 2 - рак висхідної ободової кишки, 3 - рак печінкового вигину ободової кишки, 4 - рак поперечної ободової кишки, 5 - рак селезінкового вигину ободової кишки, 6 - рак низхідної ободової кишки, 7 - рак сигмовидної кишки, 8 - ураження ободової кишки, яке виходить за межі вищезазначених локалізацій, 9 - рак ободової кишки, неуточнений, 10 - рак ректосигми), характеристика пухлини (1 - пухлина інфільтрує підслизову оболонку, 2 - пухлина інфільтрує м’язову оболонку, 3 - пухлина інфільтрує підсерезну основу або тканину, яка прилягає до неперитонізованих ділянок ободової кишки, 4 - пухлина поширюється на інші органи або структури і (або)проростає вісцеральну очеревину, 5 - недостатньо даних, 6 -первинна пухлина не визначається), наявні метастази (1- N1 - метастази в 1-3 периколічних ЛВ, 2 - метастази в 4 і більше ЛВ, 3 - метастази в ЛВ вздовж судинних стовбурів, 4 -недостатньо даних для оцінки ЛВ, 5 - немає ознак враження ЛВ), віддалені метастази (0 - немає віддалених метастазів, 1 - наявні віддалені метастази, 2 - недостатньо даних), стадія (1 - стадія 1 - Т1-2N0M0, 2 - стадія 2 - Т3-4N0M0, 3 - стадія 3 - Т1-4N1-3M0, 4 - стадія 4 - Т1-4, любі N, M).
При виконанні курсової роботи застосований програмно-методичний апарат комплексу статистичного аналізу та побудови графічної інтерпретації результатів “STATISTIKA 6.0”.
Розділ 1. Перевірка гіпотези про нормальний розподіл параметрів загального аналізу крові для компенсованого, субкомпенсованого та декомпенсованого станів за кишкової непрохідності
Нехай
- вибірка з невідомого розподілу
,
стосовно якого висувається гіпотеза
.
Для
перевірки гіпотези
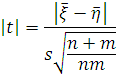
скористаємося критерієм
.
Невідомі параметри
і
оцінюються за вибіркою згідно з методом
максимальної правдоподібності.
Спільною
щільністю розподілу незалежних випадкових
величин
є

Функцією
максимальної правдоподібності вибірки
є

диференційована
за
і
.
Точкою
,
в якій функція
набирає найбільшого значення, є
,
.
Статистикою критерію є величина
,
де
– імовірність того, що вибіркове значення
потрапить до множини
обчислена за гіпотетичним розподілом
,
–
кількість вибіркових значень, що
потрапили до множини
.
Гіпотезу
будемо відхиляти, якщо
,
і не будемо відхиляти в супротивному
разі; при цьому з імовірністю
гіпотеза
буде відхилятися, коли вона справджується,
–
верхня
–межа
–розподілу
з
ступенями вільності (рівень значущості
критерію дорівнює
).
Результати перевірки гіпотези про нормальний розподіл параметрів загального аналізу крові для компенсованого, субкомпенсованого та декомпенсованого станів в таблицях 1.1-1.21 (див. також відповідні рисунки при кожній таблиці).
Невідхилення
гіпотези
означає, що далі за розподіл параметра
крові ми можемо розглядати нормальний
розподіл.
Гемоглобін у стані компенсації

Таблиця 1.1
Результати
перевірки гіпотези
про нормальний розподіл гемоглобіна у
стані компенсації
|
Показник |
Обсяг вибір-ки n |
Оцінки параметрів (a; 010009000003ee0300000000cc0200000000cc02000026060f008e05574d464301000000000001006b2200000000010000006c050000000000006c050000010000006c00000000000000000000000f000000130000000000000000000000a20100000b02000020454d46000001006c0500000c00000001000000000000000000000000000000900600001a040000b801000013010000000000000000000000000000c0b6060038320400460000002c00000020000000454d462b014001001c000000100000000210c0db01000000600000006000000046000000f8010000ec010000454d462b224004000c000000000000001e4009000c00000000000000244001000c000000000000003040020010000000040000000000803f214007000c000000000000000840000544010000380100000210c0db01000000000000000000000000000000000000000100000089504e470d0a1a0a0000000d4948445200000010000000140803000000b3bc4d450000000373424954050605330b8d80000000017352474200aece1ce9000000097048597300000ec400000ec401952b0e1b00000042504c544500000000006b000094006db5009ace6b00006b00946b6db56bbae794000094d3ffb56d00b56d94b5ebffceffffe7ba6bffd394ffebb5ffffcee7ffffffffe7ffffff4c85ffc4000000624944415428cfad8fc11280200844b7cc322dd1c4ffffd5d043131d9a0e7182c7b2b3a03e0a6f2001a6dc405ecab17a7dc25bd480bc3625d74d3940caf5398947b6ae49c5d40af7e0d076a65c39f21c3548d27398aa52d0b0dfa21330c68fcffd064e3977175b7549af980000000049454e44ae42608200000840010824000000180000000210c0db01000000030000000000000000000000000000001b40000040000000340000000100000002000000000000bf000000bf000080410000a04103000000000000b3000000b3ffff7f41000000b3000000b3ffff9f412100000008000000620000000c00000001000000150000000c00000004000000150000000c00000004000000510000001002000000000000000000000f000000130000000000000000000000000000000000000010000000140000005000000080000000d000000040010000000000002000cc0010000000140000002800000010000000140000000100080000000000000000000000000000000000160000000000000000000000ffffff0094d3ff00b56d0000ffffe700b5ebff00b56d6b00ceffff0000009400ffd39400e7ffff00946db500ffffce006bbae700e7ba6b00006db50000006b0094006b00ce9a00006b000000ffebb50094000000010101010101010101010101010101010101010101010101010101010101010101010101010101010101010101010101010101010101010101010101010101010101010101010101010101010101010101010101010101010101010101010101010d0000150c0101010101010101010105110c010d1314010101010101010101020304010a0f1201010101010101010105110c01010d030401010101010101010a0f0e01010d030401010101010101010105100e010d0901010105100000000901010a0f000000000e01010d0e0102090101010101010101010101010d0e0101010101010101010101010101010d0901010101010101010101010101010a0b0c010101010101010101010506040708090101010101010101010101020000030401010101010101010101010101010101010101010101010101010101010101014c0000006400000000000000000000000f00000013000000000000000000000010000000140000002900aa0000000000000000000000803f00000000000000000000803f0000000000000000000000000000000000000000000000000000000000000000220000000c000000ffffffff460000001c00000010000000454d462b024000000c000000000000000e000000140000000000000010000000140000000400000003010800050000000b0200000000050000000c0214001000030000001e0004000000070104000400000007010400ed000000410b2000cc00140010000000000014001000000000002800000010000000140000000100080000000000000000000000000000000000160000000000000000000000ffffff0094d3ff00b56d0000ffffe700b5ebff00b56d6b00ceffff0000009400ffd39400e7ffff00946db500ffffce006bbae700e7ba6b00006db50000006b0094006b00ce9a00006b000000ffebb50094000000010101010101010101010101010101010101010101010101010101010101010101010101010101010101010101010101010101010101010101010101010101010101010101010101010101010101010101010101010101010101010101010101010d0000150c0101010101010101010105110c010d1314010101010101010101020304010a0f1201010101010101010105110c01010d030401010101010101010a0f0e01010d030401010101010101010105100e010d0901010105100000000901010a0f000000000e01010d0e0102090101010101010101010101010d0e0101010101010101010101010101010d0901010101010101010101010101010a0b0c010101010101010101010506040708090101010101010101010101020000030401010101010101010101010101010101010101010101010101010101010101010c00000040092900aa000000000000001400100000000000040000002701ffff030000000000) |
Значення
|
Число
|
|
Гіпотеза
|
|
Гемоглобін |
104 |
(110,09; 819,83) |
3,86 |
7 |
14,07 |
Не відхиляється |
Гемоглобін у стані декомпенсації

Таблиця 1.2
Результати
перевірки гіпотези
про нормальний розподіл гемоглобіна у
стані декомпенсації
|
Показник |
Обсяг вибір-ки n |
Оцінки параметрів (a; 010009000003ee0300000000cc0200000000cc02000026060f008e05574d464301000000000001006b2200000000010000006c050000000000006c050000010000006c00000000000000000000000f000000130000000000000000000000a20100000b02000020454d46000001006c0500000c00000001000000000000000000000000000000900600001a040000b801000013010000000000000000000000000000c0b6060038320400460000002c00000020000000454d462b014001001c000000100000000210c0db01000000600000006000000046000000f8010000ec010000454d462b224004000c000000000000001e4009000c00000000000000244001000c000000000000003040020010000000040000000000803f214007000c000000000000000840000544010000380100000210c0db01000000000000000000000000000000000000000100000089504e470d0a1a0a0000000d4948445200000010000000140803000000b3bc4d450000000373424954050605330b8d80000000017352474200aece1ce9000000097048597300000ec400000ec401952b0e1b00000042504c544500000000006b000094006db5009ace6b00006b00946b6db56bbae794000094d3ffb56d00b56d94b5ebffceffffe7ba6bffd394ffebb5ffffcee7ffffffffe7ffffff4c85ffc4000000624944415428cfad8fc11280200844b7cc322dd1c4ffffd5d043131d9a0e7182c7b2b3a03e0a6f2001a6dc405ecab17a7dc25bd480bc3625d74d3940caf5398947b6ae49c5d40af7e0d076a65c39f21c3548d27398aa52d0b0dfa21330c68fcffd064e3977175b7549af980000000049454e44ae42608200000840010824000000180000000210c0db01000000030000000000000000000000000000001b40000040000000340000000100000002000000000000bf000000bf000080410000a04103000000000000b3000000b3ffff7f41000000b3000000b3ffff9f412100000008000000620000000c00000001000000150000000c00000004000000150000000c00000004000000510000001002000000000000000000000f000000130000000000000000000000000000000000000010000000140000005000000080000000d000000040010000000000002000cc0010000000140000002800000010000000140000000100080000000000000000000000000000000000160000000000000000000000ffffff0094d3ff00b56d0000ffffe700b5ebff00b56d6b00ceffff0000009400ffd39400e7ffff00946db500ffffce006bbae700e7ba6b00006db50000006b0094006b00ce9a00006b000000ffebb50094000000010101010101010101010101010101010101010101010101010101010101010101010101010101010101010101010101010101010101010101010101010101010101010101010101010101010101010101010101010101010101010101010101010d0000150c0101010101010101010105110c010d1314010101010101010101020304010a0f1201010101010101010105110c01010d030401010101010101010a0f0e01010d030401010101010101010105100e010d0901010105100000000901010a0f000000000e01010d0e0102090101010101010101010101010d0e0101010101010101010101010101010d0901010101010101010101010101010a0b0c010101010101010101010506040708090101010101010101010101020000030401010101010101010101010101010101010101010101010101010101010101014c0000006400000000000000000000000f00000013000000000000000000000010000000140000002900aa0000000000000000000000803f00000000000000000000803f0000000000000000000000000000000000000000000000000000000000000000220000000c000000ffffffff460000001c00000010000000454d462b024000000c000000000000000e000000140000000000000010000000140000000400000003010800050000000b0200000000050000000c0214001000030000001e0004000000070104000400000007010400ed000000410b2000cc00140010000000000014001000000000002800000010000000140000000100080000000000000000000000000000000000160000000000000000000000ffffff0094d3ff00b56d0000ffffe700b5ebff00b56d6b00ceffff0000009400ffd39400e7ffff00946db500ffffce006bbae700e7ba6b00006db50000006b0094006b00ce9a00006b000000ffebb50094000000010101010101010101010101010101010101010101010101010101010101010101010101010101010101010101010101010101010101010101010101010101010101010101010101010101010101010101010101010101010101010101010101010d0000150c0101010101010101010105110c010d1314010101010101010101020304010a0f1201010101010101010105110c01010d030401010101010101010a0f0e01010d030401010101010101010105100e010d0901010105100000000901010a0f000000000e01010d0e0102090101010101010101010101010d0e0101010101010101010101010101010d0901010101010101010101010101010a0b0c010101010101010101010506040708090101010101010101010101020000030401010101010101010101010101010101010101010101010101010101010101010c00000040092900aa000000000000001400100000000000040000002701ffff030000000000) |
Значення
|
Число
|
|
Гіпотеза
|
|
Гемоглобін |
86 |
(124,5; 584,1) |
0,86 |
3 |
7,82 |
Не відхиляється |
Гемоглобін у стані субкомпенсації

Таблиця 1.3
Результати
перевірки гіпотези
про нормальний розподіл гемоглобіна у
стані субкомпенсації
|
Показник |
Обсяг вибір-ки n |
Оцінки параметрів (a; 010009000003ee0300000000cc0200000000cc02000026060f008e05574d464301000000000001006b2200000000010000006c050000000000006c050000010000006c00000000000000000000000f000000130000000000000000000000a20100000b02000020454d46000001006c0500000c00000001000000000000000000000000000000900600001a040000b801000013010000000000000000000000000000c0b6060038320400460000002c00000020000000454d462b014001001c000000100000000210c0db01000000600000006000000046000000f8010000ec010000454d462b224004000c000000000000001e4009000c00000000000000244001000c000000000000003040020010000000040000000000803f214007000c000000000000000840000544010000380100000210c0db01000000000000000000000000000000000000000100000089504e470d0a1a0a0000000d4948445200000010000000140803000000b3bc4d450000000373424954050605330b8d80000000017352474200aece1ce9000000097048597300000ec400000ec401952b0e1b00000042504c544500000000006b000094006db5009ace6b00006b00946b6db56bbae794000094d3ffb56d00b56d94b5ebffceffffe7ba6bffd394ffebb5ffffcee7ffffffffe7ffffff4c85ffc4000000624944415428cfad8fc11280200844b7cc322dd1c4ffffd5d043131d9a0e7182c7b2b3a03e0a6f2001a6dc405ecab17a7dc25bd480bc3625d74d3940caf5398947b6ae49c5d40af7e0d076a65c39f21c3548d27398aa52d0b0dfa21330c68fcffd064e3977175b7549af980000000049454e44ae42608200000840010824000000180000000210c0db01000000030000000000000000000000000000001b40000040000000340000000100000002000000000000bf000000bf000080410000a04103000000000000b3000000b3ffff7f41000000b3000000b3ffff9f412100000008000000620000000c00000001000000150000000c00000004000000150000000c00000004000000510000001002000000000000000000000f000000130000000000000000000000000000000000000010000000140000005000000080000000d000000040010000000000002000cc0010000000140000002800000010000000140000000100080000000000000000000000000000000000160000000000000000000000ffffff0094d3ff00b56d0000ffffe700b5ebff00b56d6b00ceffff0000009400ffd39400e7ffff00946db500ffffce006bbae700e7ba6b00006db50000006b0094006b00ce9a00006b000000ffebb50094000000010101010101010101010101010101010101010101010101010101010101010101010101010101010101010101010101010101010101010101010101010101010101010101010101010101010101010101010101010101010101010101010101010d0000150c0101010101010101010105110c010d1314010101010101010101020304010a0f1201010101010101010105110c01010d030401010101010101010a0f0e01010d030401010101010101010105100e010d0901010105100000000901010a0f000000000e01010d0e0102090101010101010101010101010d0e0101010101010101010101010101010d0901010101010101010101010101010a0b0c010101010101010101010506040708090101010101010101010101020000030401010101010101010101010101010101010101010101010101010101010101014c0000006400000000000000000000000f00000013000000000000000000000010000000140000002900aa0000000000000000000000803f00000000000000000000803f0000000000000000000000000000000000000000000000000000000000000000220000000c000000ffffffff460000001c00000010000000454d462b024000000c000000000000000e000000140000000000000010000000140000000400000003010800050000000b0200000000050000000c0214001000030000001e0004000000070104000400000007010400ed000000410b2000cc00140010000000000014001000000000002800000010000000140000000100080000000000000000000000000000000000160000000000000000000000ffffff0094d3ff00b56d0000ffffe700b5ebff00b56d6b00ceffff0000009400ffd39400e7ffff00946db500ffffce006bbae700e7ba6b00006db50000006b0094006b00ce9a00006b000000ffebb50094000000010101010101010101010101010101010101010101010101010101010101010101010101010101010101010101010101010101010101010101010101010101010101010101010101010101010101010101010101010101010101010101010101010d0000150c0101010101010101010105110c010d1314010101010101010101020304010a0f1201010101010101010105110c01010d030401010101010101010a0f0e01010d030401010101010101010105100e010d0901010105100000000901010a0f000000000e01010d0e0102090101010101010101010101010d0e0101010101010101010101010101010d0901010101010101010101010101010a0b0c010101010101010101010506040708090101010101010101010101020000030401010101010101010101010101010101010101010101010101010101010101010c00000040092900aa000000000000001400100000000000040000002701ffff030000000000) |
Значення
|
Число
|
|
Гіпотеза
|
|
Гемоглобін |
108 |
(107,7; 518,3) |
3,56 |
3 |
7,82 |
Не відхиляється |
Еритроцити у стані компенсації

Таблиця 1.4
Результати
перевірки гіпотези
про нормальний розподіл еритроцитів у
стані компенсації
|
Показник |
Обсяг вибір-ки n |
Оцінки параметрів (a; 010009000003ee0300000000cc0200000000cc02000026060f008e05574d464301000000000001006b2200000000010000006c050000000000006c050000010000006c00000000000000000000000f000000130000000000000000000000a20100000b02000020454d46000001006c0500000c00000001000000000000000000000000000000900600001a040000b801000013010000000000000000000000000000c0b6060038320400460000002c00000020000000454d462b014001001c000000100000000210c0db01000000600000006000000046000000f8010000ec010000454d462b224004000c000000000000001e4009000c00000000000000244001000c000000000000003040020010000000040000000000803f214007000c000000000000000840000544010000380100000210c0db01000000000000000000000000000000000000000100000089504e470d0a1a0a0000000d4948445200000010000000140803000000b3bc4d450000000373424954050605330b8d80000000017352474200aece1ce9000000097048597300000ec400000ec401952b0e1b00000042504c544500000000006b000094006db5009ace6b00006b00946b6db56bbae794000094d3ffb56d00b56d94b5ebffceffffe7ba6bffd394ffebb5ffffcee7ffffffffe7ffffff4c85ffc4000000624944415428cfad8fc11280200844b7cc322dd1c4ffffd5d043131d9a0e7182c7b2b3a03e0a6f2001a6dc405ecab17a7dc25bd480bc3625d74d3940caf5398947b6ae49c5d40af7e0d076a65c39f21c3548d27398aa52d0b0dfa21330c68fcffd064e3977175b7549af980000000049454e44ae42608200000840010824000000180000000210c0db01000000030000000000000000000000000000001b40000040000000340000000100000002000000000000bf000000bf000080410000a04103000000000000b3000000b3ffff7f41000000b3000000b3ffff9f412100000008000000620000000c00000001000000150000000c00000004000000150000000c00000004000000510000001002000000000000000000000f000000130000000000000000000000000000000000000010000000140000005000000080000000d000000040010000000000002000cc0010000000140000002800000010000000140000000100080000000000000000000000000000000000160000000000000000000000ffffff0094d3ff00b56d0000ffffe700b5ebff00b56d6b00ceffff0000009400ffd39400e7ffff00946db500ffffce006bbae700e7ba6b00006db50000006b0094006b00ce9a00006b000000ffebb50094000000010101010101010101010101010101010101010101010101010101010101010101010101010101010101010101010101010101010101010101010101010101010101010101010101010101010101010101010101010101010101010101010101010d0000150c0101010101010101010105110c010d1314010101010101010101020304010a0f1201010101010101010105110c01010d030401010101010101010a0f0e01010d030401010101010101010105100e010d0901010105100000000901010a0f000000000e01010d0e0102090101010101010101010101010d0e0101010101010101010101010101010d0901010101010101010101010101010a0b0c010101010101010101010506040708090101010101010101010101020000030401010101010101010101010101010101010101010101010101010101010101014c0000006400000000000000000000000f00000013000000000000000000000010000000140000002900aa0000000000000000000000803f00000000000000000000803f0000000000000000000000000000000000000000000000000000000000000000220000000c000000ffffffff460000001c00000010000000454d462b024000000c000000000000000e000000140000000000000010000000140000000400000003010800050000000b0200000000050000000c0214001000030000001e0004000000070104000400000007010400ed000000410b2000cc00140010000000000014001000000000002800000010000000140000000100080000000000000000000000000000000000160000000000000000000000ffffff0094d3ff00b56d0000ffffe700b5ebff00b56d6b00ceffff0000009400ffd39400e7ffff00946db500ffffce006bbae700e7ba6b00006db50000006b0094006b00ce9a00006b000000ffebb50094000000010101010101010101010101010101010101010101010101010101010101010101010101010101010101010101010101010101010101010101010101010101010101010101010101010101010101010101010101010101010101010101010101010d0000150c0101010101010101010105110c010d1314010101010101010101020304010a0f1201010101010101010105110c01010d030401010101010101010a0f0e01010d030401010101010101010105100e010d0901010105100000000901010a0f000000000e01010d0e0102090101010101010101010101010d0e0101010101010101010101010101010d0901010101010101010101010101010a0b0c010101010101010101010506040708090101010101010101010101020000030401010101010101010101010101010101010101010101010101010101010101010c00000040092900aa000000000000001400100000000000040000002701ffff030000000000) |
Значення
|
Число
|
|
Гіпотеза
|
|
Еритроцити |
104 |
(3,77; 0,44) |
0,43 |
1 |
3,84 |
Не відхиляється |
Еритроцити у стані декомпенсації

Таблиця 1.5
Результати
перевірки гіпотези
про нормальний розподіл еритроцитів у
стані декомпенсації
|
Показник |
Обсяг вибір-ки n |
Оцінки параметрів (a; 010009000003ee0300000000cc0200000000cc02000026060f008e05574d464301000000000001006b2200000000010000006c050000000000006c050000010000006c00000000000000000000000f000000130000000000000000000000a20100000b02000020454d46000001006c0500000c00000001000000000000000000000000000000900600001a040000b801000013010000000000000000000000000000c0b6060038320400460000002c00000020000000454d462b014001001c000000100000000210c0db01000000600000006000000046000000f8010000ec010000454d462b224004000c000000000000001e4009000c00000000000000244001000c000000000000003040020010000000040000000000803f214007000c000000000000000840000544010000380100000210c0db01000000000000000000000000000000000000000100000089504e470d0a1a0a0000000d4948445200000010000000140803000000b3bc4d450000000373424954050605330b8d80000000017352474200aece1ce9000000097048597300000ec400000ec401952b0e1b00000042504c544500000000006b000094006db5009ace6b00006b00946b6db56bbae794000094d3ffb56d00b56d94b5ebffceffffe7ba6bffd394ffebb5ffffcee7ffffffffe7ffffff4c85ffc4000000624944415428cfad8fc11280200844b7cc322dd1c4ffffd5d043131d9a0e7182c7b2b3a03e0a6f2001a6dc405ecab17a7dc25bd480bc3625d74d3940caf5398947b6ae49c5d40af7e0d076a65c39f21c3548d27398aa52d0b0dfa21330c68fcffd064e3977175b7549af980000000049454e44ae42608200000840010824000000180000000210c0db01000000030000000000000000000000000000001b40000040000000340000000100000002000000000000bf000000bf000080410000a04103000000000000b3000000b3ffff7f41000000b3000000b3ffff9f412100000008000000620000000c00000001000000150000000c00000004000000150000000c00000004000000510000001002000000000000000000000f000000130000000000000000000000000000000000000010000000140000005000000080000000d000000040010000000000002000cc0010000000140000002800000010000000140000000100080000000000000000000000000000000000160000000000000000000000ffffff0094d3ff00b56d0000ffffe700b5ebff00b56d6b00ceffff0000009400ffd39400e7ffff00946db500ffffce006bbae700e7ba6b00006db50000006b0094006b00ce9a00006b000000ffebb50094000000010101010101010101010101010101010101010101010101010101010101010101010101010101010101010101010101010101010101010101010101010101010101010101010101010101010101010101010101010101010101010101010101010d0000150c0101010101010101010105110c010d1314010101010101010101020304010a0f1201010101010101010105110c01010d030401010101010101010a0f0e01010d030401010101010101010105100e010d0901010105100000000901010a0f000000000e01010d0e0102090101010101010101010101010d0e0101010101010101010101010101010d0901010101010101010101010101010a0b0c010101010101010101010506040708090101010101010101010101020000030401010101010101010101010101010101010101010101010101010101010101014c0000006400000000000000000000000f00000013000000000000000000000010000000140000002900aa0000000000000000000000803f00000000000000000000803f0000000000000000000000000000000000000000000000000000000000000000220000000c000000ffffffff460000001c00000010000000454d462b024000000c000000000000000e000000140000000000000010000000140000000400000003010800050000000b0200000000050000000c0214001000030000001e0004000000070104000400000007010400ed000000410b2000cc00140010000000000014001000000000002800000010000000140000000100080000000000000000000000000000000000160000000000000000000000ffffff0094d3ff00b56d0000ffffe700b5ebff00b56d6b00ceffff0000009400ffd39400e7ffff00946db500ffffce006bbae700e7ba6b00006db50000006b0094006b00ce9a00006b000000ffebb50094000000010101010101010101010101010101010101010101010101010101010101010101010101010101010101010101010101010101010101010101010101010101010101010101010101010101010101010101010101010101010101010101010101010d0000150c0101010101010101010105110c010d1314010101010101010101020304010a0f1201010101010101010105110c01010d030401010101010101010a0f0e01010d030401010101010101010105100e010d0901010105100000000901010a0f000000000e01010d0e0102090101010101010101010101010d0e0101010101010101010101010101010d0901010101010101010101010101010a0b0c010101010101010101010506040708090101010101010101010101020000030401010101010101010101010101010101010101010101010101010101010101010c00000040092900aa000000000000001400100000000000040000002701ffff030000000000) |
Значення
|
Число
|
|
Гіпотеза
|
|
Еритроцити |
86 |
(124,5; 584,15) |
0,86 |
3 |
7,82 |
Не відхиляється |
Еритроцити у стані субкомпенсації

Таблиця 1.6
Результати
перевірки гіпотези
про нормальний розподіл еритроцитів у
стані субкомпенсації
|
Показник |
Обсяг вибір-ки n |
Оцінки параметрів (a; 010009000003ee0300000000cc0200000000cc02000026060f008e05574d464301000000000001006b2200000000010000006c050000000000006c050000010000006c00000000000000000000000f000000130000000000000000000000a20100000b02000020454d46000001006c0500000c00000001000000000000000000000000000000900600001a040000b801000013010000000000000000000000000000c0b6060038320400460000002c00000020000000454d462b014001001c000000100000000210c0db01000000600000006000000046000000f8010000ec010000454d462b224004000c000000000000001e4009000c00000000000000244001000c000000000000003040020010000000040000000000803f214007000c000000000000000840000544010000380100000210c0db01000000000000000000000000000000000000000100000089504e470d0a1a0a0000000d4948445200000010000000140803000000b3bc4d450000000373424954050605330b8d80000000017352474200aece1ce9000000097048597300000ec400000ec401952b0e1b00000042504c544500000000006b000094006db5009ace6b00006b00946b6db56bbae794000094d3ffb56d00b56d94b5ebffceffffe7ba6bffd394ffebb5ffffcee7ffffffffe7ffffff4c85ffc4000000624944415428cfad8fc11280200844b7cc322dd1c4ffffd5d043131d9a0e7182c7b2b3a03e0a6f2001a6dc405ecab17a7dc25bd480bc3625d74d3940caf5398947b6ae49c5d40af7e0d076a65c39f21c3548d27398aa52d0b0dfa21330c68fcffd064e3977175b7549af980000000049454e44ae42608200000840010824000000180000000210c0db01000000030000000000000000000000000000001b40000040000000340000000100000002000000000000bf000000bf000080410000a04103000000000000b3000000b3ffff7f41000000b3000000b3ffff9f412100000008000000620000000c00000001000000150000000c00000004000000150000000c00000004000000510000001002000000000000000000000f000000130000000000000000000000000000000000000010000000140000005000000080000000d000000040010000000000002000cc0010000000140000002800000010000000140000000100080000000000000000000000000000000000160000000000000000000000ffffff0094d3ff00b56d0000ffffe700b5ebff00b56d6b00ceffff0000009400ffd39400e7ffff00946db500ffffce006bbae700e7ba6b00006db50000006b0094006b00ce9a00006b000000ffebb50094000000010101010101010101010101010101010101010101010101010101010101010101010101010101010101010101010101010101010101010101010101010101010101010101010101010101010101010101010101010101010101010101010101010d0000150c0101010101010101010105110c010d1314010101010101010101020304010a0f1201010101010101010105110c01010d030401010101010101010a0f0e01010d030401010101010101010105100e010d0901010105100000000901010a0f000000000e01010d0e0102090101010101010101010101010d0e0101010101010101010101010101010d0901010101010101010101010101010a0b0c010101010101010101010506040708090101010101010101010101020000030401010101010101010101010101010101010101010101010101010101010101014c0000006400000000000000000000000f00000013000000000000000000000010000000140000002900aa0000000000000000000000803f00000000000000000000803f0000000000000000000000000000000000000000000000000000000000000000220000000c000000ffffffff460000001c00000010000000454d462b024000000c000000000000000e000000140000000000000010000000140000000400000003010800050000000b0200000000050000000c0214001000030000001e0004000000070104000400000007010400ed000000410b2000cc00140010000000000014001000000000002800000010000000140000000100080000000000000000000000000000000000160000000000000000000000ffffff0094d3ff00b56d0000ffffe700b5ebff00b56d6b00ceffff0000009400ffd39400e7ffff00946db500ffffce006bbae700e7ba6b00006db50000006b0094006b00ce9a00006b000000ffebb50094000000010101010101010101010101010101010101010101010101010101010101010101010101010101010101010101010101010101010101010101010101010101010101010101010101010101010101010101010101010101010101010101010101010d0000150c0101010101010101010105110c010d1314010101010101010101020304010a0f1201010101010101010105110c01010d030401010101010101010a0f0e01010d030401010101010101010105100e010d0901010105100000000901010a0f000000000e01010d0e0102090101010101010101010101010d0e0101010101010101010101010101010d0901010101010101010101010101010a0b0c010101010101010101010506040708090101010101010101010101020000030401010101010101010101010101010101010101010101010101010101010101010c00000040092900aa000000000000001400100000000000040000002701ffff030000000000) |
Значення
|
Число
|
|
Гіпотеза
|
|
Еритроцити |
108 |
(3,59; 0,266) |
4,32 |
3 |
7,82 |
Не відхиляється |
7. Ht у стані компенсації

Таблиця 1.7
Результати
перевірки гіпотези
про нормальний розподіл Ht у стані
компенсації
|
Показник |
Обсяг вибір-ки n |
Оцінки параметрів (a; 010009000003ee0300000000cc0200000000cc02000026060f008e05574d464301000000000001006b2200000000010000006c050000000000006c050000010000006c00000000000000000000000f000000130000000000000000000000a20100000b02000020454d46000001006c0500000c00000001000000000000000000000000000000900600001a040000b801000013010000000000000000000000000000c0b6060038320400460000002c00000020000000454d462b014001001c000000100000000210c0db01000000600000006000000046000000f8010000ec010000454d462b224004000c000000000000001e4009000c00000000000000244001000c000000000000003040020010000000040000000000803f214007000c000000000000000840000544010000380100000210c0db01000000000000000000000000000000000000000100000089504e470d0a1a0a0000000d4948445200000010000000140803000000b3bc4d450000000373424954050605330b8d80000000017352474200aece1ce9000000097048597300000ec400000ec401952b0e1b00000042504c544500000000006b000094006db5009ace6b00006b00946b6db56bbae794000094d3ffb56d00b56d94b5ebffceffffe7ba6bffd394ffebb5ffffcee7ffffffffe7ffffff4c85ffc4000000624944415428cfad8fc11280200844b7cc322dd1c4ffffd5d043131d9a0e7182c7b2b3a03e0a6f2001a6dc405ecab17a7dc25bd480bc3625d74d3940caf5398947b6ae49c5d40af7e0d076a65c39f21c3548d27398aa52d0b0dfa21330c68fcffd064e3977175b7549af980000000049454e44ae42608200000840010824000000180000000210c0db01000000030000000000000000000000000000001b40000040000000340000000100000002000000000000bf000000bf000080410000a04103000000000000b3000000b3ffff7f41000000b3000000b3ffff9f412100000008000000620000000c00000001000000150000000c00000004000000150000000c00000004000000510000001002000000000000000000000f000000130000000000000000000000000000000000000010000000140000005000000080000000d000000040010000000000002000cc0010000000140000002800000010000000140000000100080000000000000000000000000000000000160000000000000000000000ffffff0094d3ff00b56d0000ffffe700b5ebff00b56d6b00ceffff0000009400ffd39400e7ffff00946db500ffffce006bbae700e7ba6b00006db50000006b0094006b00ce9a00006b000000ffebb50094000000010101010101010101010101010101010101010101010101010101010101010101010101010101010101010101010101010101010101010101010101010101010101010101010101010101010101010101010101010101010101010101010101010d0000150c0101010101010101010105110c010d1314010101010101010101020304010a0f1201010101010101010105110c01010d030401010101010101010a0f0e01010d030401010101010101010105100e010d0901010105100000000901010a0f000000000e01010d0e0102090101010101010101010101010d0e0101010101010101010101010101010d0901010101010101010101010101010a0b0c010101010101010101010506040708090101010101010101010101020000030401010101010101010101010101010101010101010101010101010101010101014c0000006400000000000000000000000f00000013000000000000000000000010000000140000002900aa0000000000000000000000803f00000000000000000000803f0000000000000000000000000000000000000000000000000000000000000000220000000c000000ffffffff460000001c00000010000000454d462b024000000c000000000000000e000000140000000000000010000000140000000400000003010800050000000b0200000000050000000c0214001000030000001e0004000000070104000400000007010400ed000000410b2000cc00140010000000000014001000000000002800000010000000140000000100080000000000000000000000000000000000160000000000000000000000ffffff0094d3ff00b56d0000ffffe700b5ebff00b56d6b00ceffff0000009400ffd39400e7ffff00946db500ffffce006bbae700e7ba6b00006db50000006b0094006b00ce9a00006b000000ffebb50094000000010101010101010101010101010101010101010101010101010101010101010101010101010101010101010101010101010101010101010101010101010101010101010101010101010101010101010101010101010101010101010101010101010d0000150c0101010101010101010105110c010d1314010101010101010101020304010a0f1201010101010101010105110c01010d030401010101010101010a0f0e01010d030401010101010101010105100e010d0901010105100000000901010a0f000000000e01010d0e0102090101010101010101010101010d0e0101010101010101010101010101010d0901010101010101010101010101010a0b0c010101010101010101010506040708090101010101010101010101020000030401010101010101010101010101010101010101010101010101010101010101010c00000040092900aa000000000000001400100000000000040000002701ffff030000000000) |
Значення
|
Число
|
|
Гіпотеза
|
|
Ht |
104 |
(31,49; 73,03) |
3,13 |
1 |
3,84 |
Не відхиляється |
8. Ht у стані декомпенсації

Таблиця 1.8
Результати
перевірки гіпотези
про нормальний розподіл Ht у стані
декомпенсації
|
Показник |
Обсяг вибір-ки n |
Оцінки параметрів (a; 010009000003ee0300000000cc0200000000cc02000026060f008e05574d464301000000000001006b2200000000010000006c050000000000006c050000010000006c00000000000000000000000f000000130000000000000000000000a20100000b02000020454d46000001006c0500000c00000001000000000000000000000000000000900600001a040000b801000013010000000000000000000000000000c0b6060038320400460000002c00000020000000454d462b014001001c000000100000000210c0db01000000600000006000000046000000f8010000ec010000454d462b224004000c000000000000001e4009000c00000000000000244001000c000000000000003040020010000000040000000000803f214007000c000000000000000840000544010000380100000210c0db01000000000000000000000000000000000000000100000089504e470d0a1a0a0000000d4948445200000010000000140803000000b3bc4d450000000373424954050605330b8d80000000017352474200aece1ce9000000097048597300000ec400000ec401952b0e1b00000042504c544500000000006b000094006db5009ace6b00006b00946b6db56bbae794000094d3ffb56d00b56d94b5ebffceffffe7ba6bffd394ffebb5ffffcee7ffffffffe7ffffff4c85ffc4000000624944415428cfad8fc11280200844b7cc322dd1c4ffffd5d043131d9a0e7182c7b2b3a03e0a6f2001a6dc405ecab17a7dc25bd480bc3625d74d3940caf5398947b6ae49c5d40af7e0d076a65c39f21c3548d27398aa52d0b0dfa21330c68fcffd064e3977175b7549af980000000049454e44ae42608200000840010824000000180000000210c0db01000000030000000000000000000000000000001b40000040000000340000000100000002000000000000bf000000bf000080410000a04103000000000000b3000000b3ffff7f41000000b3000000b3ffff9f412100000008000000620000000c00000001000000150000000c00000004000000150000000c00000004000000510000001002000000000000000000000f000000130000000000000000000000000000000000000010000000140000005000000080000000d000000040010000000000002000cc0010000000140000002800000010000000140000000100080000000000000000000000000000000000160000000000000000000000ffffff0094d3ff00b56d0000ffffe700b5ebff00b56d6b00ceffff0000009400ffd39400e7ffff00946db500ffffce006bbae700e7ba6b00006db50000006b0094006b00ce9a00006b000000ffebb50094000000010101010101010101010101010101010101010101010101010101010101010101010101010101010101010101010101010101010101010101010101010101010101010101010101010101010101010101010101010101010101010101010101010d0000150c0101010101010101010105110c010d1314010101010101010101020304010a0f1201010101010101010105110c01010d030401010101010101010a0f0e01010d030401010101010101010105100e010d0901010105100000000901010a0f000000000e01010d0e0102090101010101010101010101010d0e0101010101010101010101010101010d0901010101010101010101010101010a0b0c010101010101010101010506040708090101010101010101010101020000030401010101010101010101010101010101010101010101010101010101010101014c0000006400000000000000000000000f00000013000000000000000000000010000000140000002900aa0000000000000000000000803f00000000000000000000803f0000000000000000000000000000000000000000000000000000000000000000220000000c000000ffffffff460000001c00000010000000454d462b024000000c000000000000000e000000140000000000000010000000140000000400000003010800050000000b0200000000050000000c0214001000030000001e0004000000070104000400000007010400ed000000410b2000cc00140010000000000014001000000000002800000010000000140000000100080000000000000000000000000000000000160000000000000000000000ffffff0094d3ff00b56d0000ffffe700b5ebff00b56d6b00ceffff0000009400ffd39400e7ffff00946db500ffffce006bbae700e7ba6b00006db50000006b0094006b00ce9a00006b000000ffebb50094000000010101010101010101010101010101010101010101010101010101010101010101010101010101010101010101010101010101010101010101010101010101010101010101010101010101010101010101010101010101010101010101010101010d0000150c0101010101010101010105110c010d1314010101010101010101020304010a0f1201010101010101010105110c01010d030401010101010101010a0f0e01010d030401010101010101010105100e010d0901010105100000000901010a0f000000000e01010d0e0102090101010101010101010101010d0e0101010101010101010101010101010d0901010101010101010101010101010a0b0c010101010101010101010506040708090101010101010101010101020000030401010101010101010101010101010101010101010101010101010101010101010c00000040092900aa000000000000001400100000000000040000002701ffff030000000000) |
Значення
|
Число
|
|
Гіпотеза
|
|
Ht |
86 |
(34,85; 3839) |
3,04 |
1 |
3,84 |
Не відхиляється |
9. Ht у стані субкомпенсації

Таблиця 1.9
Результати
перевірки гіпотези
про нормальний розподіл Ht у стані
субкомпенсації
|
Показник |
Обсяг вибір-ки n |
Оцінки параметрів (a; 010009000003ee0300000000cc0200000000cc02000026060f008e05574d464301000000000001006b2200000000010000006c050000000000006c050000010000006c00000000000000000000000f000000130000000000000000000000a20100000b02000020454d46000001006c0500000c00000001000000000000000000000000000000900600001a040000b801000013010000000000000000000000000000c0b6060038320400460000002c00000020000000454d462b014001001c000000100000000210c0db01000000600000006000000046000000f8010000ec010000454d462b224004000c000000000000001e4009000c00000000000000244001000c000000000000003040020010000000040000000000803f214007000c000000000000000840000544010000380100000210c0db01000000000000000000000000000000000000000100000089504e470d0a1a0a0000000d4948445200000010000000140803000000b3bc4d450000000373424954050605330b8d80000000017352474200aece1ce9000000097048597300000ec400000ec401952b0e1b00000042504c544500000000006b000094006db5009ace6b00006b00946b6db56bbae794000094d3ffb56d00b56d94b5ebffceffffe7ba6bffd394ffebb5ffffcee7ffffffffe7ffffff4c85ffc4000000624944415428cfad8fc11280200844b7cc322dd1c4ffffd5d043131d9a0e7182c7b2b3a03e0a6f2001a6dc405ecab17a7dc25bd480bc3625d74d3940caf5398947b6ae49c5d40af7e0d076a65c39f21c3548d27398aa52d0b0dfa21330c68fcffd064e3977175b7549af980000000049454e44ae42608200000840010824000000180000000210c0db01000000030000000000000000000000000000001b40000040000000340000000100000002000000000000bf000000bf000080410000a04103000000000000b3000000b3ffff7f41000000b3000000b3ffff9f412100000008000000620000000c00000001000000150000000c00000004000000150000000c00000004000000510000001002000000000000000000000f000000130000000000000000000000000000000000000010000000140000005000000080000000d000000040010000000000002000cc0010000000140000002800000010000000140000000100080000000000000000000000000000000000160000000000000000000000ffffff0094d3ff00b56d0000ffffe700b5ebff00b56d6b00ceffff0000009400ffd39400e7ffff00946db500ffffce006bbae700e7ba6b00006db50000006b0094006b00ce9a00006b000000ffebb50094000000010101010101010101010101010101010101010101010101010101010101010101010101010101010101010101010101010101010101010101010101010101010101010101010101010101010101010101010101010101010101010101010101010d0000150c0101010101010101010105110c010d1314010101010101010101020304010a0f1201010101010101010105110c01010d030401010101010101010a0f0e01010d030401010101010101010105100e010d0901010105100000000901010a0f000000000e01010d0e0102090101010101010101010101010d0e0101010101010101010101010101010d0901010101010101010101010101010a0b0c010101010101010101010506040708090101010101010101010101020000030401010101010101010101010101010101010101010101010101010101010101014c0000006400000000000000000000000f00000013000000000000000000000010000000140000002900aa0000000000000000000000803f00000000000000000000803f0000000000000000000000000000000000000000000000000000000000000000220000000c000000ffffffff460000001c00000010000000454d462b024000000c000000000000000e000000140000000000000010000000140000000400000003010800050000000b0200000000050000000c0214001000030000001e0004000000070104000400000007010400ed000000410b2000cc00140010000000000014001000000000002800000010000000140000000100080000000000000000000000000000000000160000000000000000000000ffffff0094d3ff00b56d0000ffffe700b5ebff00b56d6b00ceffff0000009400ffd39400e7ffff00946db500ffffce006bbae700e7ba6b00006db50000006b0094006b00ce9a00006b000000ffebb50094000000010101010101010101010101010101010101010101010101010101010101010101010101010101010101010101010101010101010101010101010101010101010101010101010101010101010101010101010101010101010101010101010101010d0000150c0101010101010101010105110c010d1314010101010101010101020304010a0f1201010101010101010105110c01010d030401010101010101010a0f0e01010d030401010101010101010105100e010d0901010105100000000901010a0f000000000e01010d0e0102090101010101010101010101010d0e0101010101010101010101010101010d0901010101010101010101010101010a0b0c010101010101010101010506040708090101010101010101010101020000030401010101010101010101010101010101010101010101010101010101010101010c00000040092900aa000000000000001400100000000000040000002701ffff030000000000) |
Значення
|
Число
|
|
Гіпотеза
|
|
Ht |
104 |
(29,02; 42,04) |
4,583 |
2 |
5,99 |
Не відхиляється |
10. Лейкоцити у стані компенсації

Таблиця 1.10
Результати
перевірки гіпотези
про нормальний розподіл лейкоцитів у
стані компенсації
|
Показник |
Обсяг вибір-ки n |
Оцінки параметрів (a; 010009000003ee0300000000cc0200000000cc02000026060f008e05574d464301000000000001006b2200000000010000006c050000000000006c050000010000006c00000000000000000000000f000000130000000000000000000000a20100000b02000020454d46000001006c0500000c00000001000000000000000000000000000000900600001a040000b801000013010000000000000000000000000000c0b6060038320400460000002c00000020000000454d462b014001001c000000100000000210c0db01000000600000006000000046000000f8010000ec010000454d462b224004000c000000000000001e4009000c00000000000000244001000c000000000000003040020010000000040000000000803f214007000c000000000000000840000544010000380100000210c0db01000000000000000000000000000000000000000100000089504e470d0a1a0a0000000d4948445200000010000000140803000000b3bc4d450000000373424954050605330b8d80000000017352474200aece1ce9000000097048597300000ec400000ec401952b0e1b00000042504c544500000000006b000094006db5009ace6b00006b00946b6db56bbae794000094d3ffb56d00b56d94b5ebffceffffe7ba6bffd394ffebb5ffffcee7ffffffffe7ffffff4c85ffc4000000624944415428cfad8fc11280200844b7cc322dd1c4ffffd5d043131d9a0e7182c7b2b3a03e0a6f2001a6dc405ecab17a7dc25bd480bc3625d74d3940caf5398947b6ae49c5d40af7e0d076a65c39f21c3548d27398aa52d0b0dfa21330c68fcffd064e3977175b7549af980000000049454e44ae42608200000840010824000000180000000210c0db01000000030000000000000000000000000000001b40000040000000340000000100000002000000000000bf000000bf000080410000a04103000000000000b3000000b3ffff7f41000000b3000000b3ffff9f412100000008000000620000000c00000001000000150000000c00000004000000150000000c00000004000000510000001002000000000000000000000f000000130000000000000000000000000000000000000010000000140000005000000080000000d000000040010000000000002000cc0010000000140000002800000010000000140000000100080000000000000000000000000000000000160000000000000000000000ffffff0094d3ff00b56d0000ffffe700b5ebff00b56d6b00ceffff0000009400ffd39400e7ffff00946db500ffffce006bbae700e7ba6b00006db50000006b0094006b00ce9a00006b000000ffebb50094000000010101010101010101010101010101010101010101010101010101010101010101010101010101010101010101010101010101010101010101010101010101010101010101010101010101010101010101010101010101010101010101010101010d0000150c0101010101010101010105110c010d1314010101010101010101020304010a0f1201010101010101010105110c01010d030401010101010101010a0f0e01010d030401010101010101010105100e010d0901010105100000000901010a0f000000000e01010d0e0102090101010101010101010101010d0e0101010101010101010101010101010d0901010101010101010101010101010a0b0c010101010101010101010506040708090101010101010101010101020000030401010101010101010101010101010101010101010101010101010101010101014c0000006400000000000000000000000f00000013000000000000000000000010000000140000002900aa0000000000000000000000803f00000000000000000000803f0000000000000000000000000000000000000000000000000000000000000000220000000c000000ffffffff460000001c00000010000000454d462b024000000c000000000000000e000000140000000000000010000000140000000400000003010800050000000b0200000000050000000c0214001000030000001e0004000000070104000400000007010400ed000000410b2000cc00140010000000000014001000000000002800000010000000140000000100080000000000000000000000000000000000160000000000000000000000ffffff0094d3ff00b56d0000ffffe700b5ebff00b56d6b00ceffff0000009400ffd39400e7ffff00946db500ffffce006bbae700e7ba6b00006db50000006b0094006b00ce9a00006b000000ffebb50094000000010101010101010101010101010101010101010101010101010101010101010101010101010101010101010101010101010101010101010101010101010101010101010101010101010101010101010101010101010101010101010101010101010d0000150c0101010101010101010105110c010d1314010101010101010101020304010a0f1201010101010101010105110c01010d030401010101010101010a0f0e01010d030401010101010101010105100e010d0901010105100000000901010a0f000000000e01010d0e0102090101010101010101010101010d0e0101010101010101010101010101010d0901010101010101010101010101010a0b0c010101010101010101010506040708090101010101010101010101020000030401010101010101010101010101010101010101010101010101010101010101010c00000040092900aa000000000000001400100000000000040000002701ffff030000000000) |
Значення
|
Число
|
|
Гіпотеза
|
|
Лейкоцити |
104 |
(6,9; 4,84) |
13,52 |
1 |
3,84 |
відхиляється |
11. Лейкоцити у стані декомпенсації

Таблиця 1.11
Результати
перевірки гіпотези
про нормальний розподіл лейкоцитів у
стані декомпенсації
|
Показник |
Обсяг вибір-ки n |
Оцінки параметрів (a; 010009000003ee0300000000cc0200000000cc02000026060f008e05574d464301000000000001006b2200000000010000006c050000000000006c050000010000006c00000000000000000000000f000000130000000000000000000000a20100000b02000020454d46000001006c0500000c00000001000000000000000000000000000000900600001a040000b801000013010000000000000000000000000000c0b6060038320400460000002c00000020000000454d462b014001001c000000100000000210c0db01000000600000006000000046000000f8010000ec010000454d462b224004000c000000000000001e4009000c00000000000000244001000c000000000000003040020010000000040000000000803f214007000c000000000000000840000544010000380100000210c0db01000000000000000000000000000000000000000100000089504e470d0a1a0a0000000d4948445200000010000000140803000000b3bc4d450000000373424954050605330b8d80000000017352474200aece1ce9000000097048597300000ec400000ec401952b0e1b00000042504c544500000000006b000094006db5009ace6b00006b00946b6db56bbae794000094d3ffb56d00b56d94b5ebffceffffe7ba6bffd394ffebb5ffffcee7ffffffffe7ffffff4c85ffc4000000624944415428cfad8fc11280200844b7cc322dd1c4ffffd5d043131d9a0e7182c7b2b3a03e0a6f2001a6dc405ecab17a7dc25bd480bc3625d74d3940caf5398947b6ae49c5d40af7e0d076a65c39f21c3548d27398aa52d0b0dfa21330c68fcffd064e3977175b7549af980000000049454e44ae42608200000840010824000000180000000210c0db01000000030000000000000000000000000000001b40000040000000340000000100000002000000000000bf000000bf000080410000a04103000000000000b3000000b3ffff7f41000000b3000000b3ffff9f412100000008000000620000000c00000001000000150000000c00000004000000150000000c00000004000000510000001002000000000000000000000f000000130000000000000000000000000000000000000010000000140000005000000080000000d000000040010000000000002000cc0010000000140000002800000010000000140000000100080000000000000000000000000000000000160000000000000000000000ffffff0094d3ff00b56d0000ffffe700b5ebff00b56d6b00ceffff0000009400ffd39400e7ffff00946db500ffffce006bbae700e7ba6b00006db50000006b0094006b00ce9a00006b000000ffebb50094000000010101010101010101010101010101010101010101010101010101010101010101010101010101010101010101010101010101010101010101010101010101010101010101010101010101010101010101010101010101010101010101010101010d0000150c0101010101010101010105110c010d1314010101010101010101020304010a0f1201010101010101010105110c01010d030401010101010101010a0f0e01010d030401010101010101010105100e010d0901010105100000000901010a0f000000000e01010d0e0102090101010101010101010101010d0e0101010101010101010101010101010d0901010101010101010101010101010a0b0c010101010101010101010506040708090101010101010101010101020000030401010101010101010101010101010101010101010101010101010101010101014c0000006400000000000000000000000f00000013000000000000000000000010000000140000002900aa0000000000000000000000803f00000000000000000000803f0000000000000000000000000000000000000000000000000000000000000000220000000c000000ffffffff460000001c00000010000000454d462b024000000c000000000000000e000000140000000000000010000000140000000400000003010800050000000b0200000000050000000c0214001000030000001e0004000000070104000400000007010400ed000000410b2000cc00140010000000000014001000000000002800000010000000140000000100080000000000000000000000000000000000160000000000000000000000ffffff0094d3ff00b56d0000ffffe700b5ebff00b56d6b00ceffff0000009400ffd39400e7ffff00946db500ffffce006bbae700e7ba6b00006db50000006b0094006b00ce9a00006b000000ffebb50094000000010101010101010101010101010101010101010101010101010101010101010101010101010101010101010101010101010101010101010101010101010101010101010101010101010101010101010101010101010101010101010101010101010d0000150c0101010101010101010105110c010d1314010101010101010101020304010a0f1201010101010101010105110c01010d030401010101010101010a0f0e01010d030401010101010101010105100e010d0901010105100000000901010a0f000000000e01010d0e0102090101010101010101010101010d0e0101010101010101010101010101010d0901010101010101010101010101010a0b0c010101010101010101010506040708090101010101010101010101020000030401010101010101010101010101010101010101010101010101010101010101010c00000040092900aa000000000000001400100000000000040000002701ffff030000000000) |
Значення
|
Число
|
|
Гіпотеза
|
|
Лейкоцити |
86 |
(9,28; 11,489) |
2,43 |
2 |
5,99 |
Не відхиляється |
12. Лейкоцити у стані субкомпенсації

Таблиця 1.12
Результати
перевірки гіпотези
про нормальний розподіл лейкоцитів у
стані субкомпенсації
|
Показник |
Обсяг вибір-ки n |
Оцінки параметрів (a; 010009000003ee0300000000cc0200000000cc02000026060f008e05574d464301000000000001006b2200000000010000006c050000000000006c050000010000006c00000000000000000000000f000000130000000000000000000000a20100000b02000020454d46000001006c0500000c00000001000000000000000000000000000000900600001a040000b801000013010000000000000000000000000000c0b6060038320400460000002c00000020000000454d462b014001001c000000100000000210c0db01000000600000006000000046000000f8010000ec010000454d462b224004000c000000000000001e4009000c00000000000000244001000c000000000000003040020010000000040000000000803f214007000c000000000000000840000544010000380100000210c0db01000000000000000000000000000000000000000100000089504e470d0a1a0a0000000d4948445200000010000000140803000000b3bc4d450000000373424954050605330b8d80000000017352474200aece1ce9000000097048597300000ec400000ec401952b0e1b00000042504c544500000000006b000094006db5009ace6b00006b00946b6db56bbae794000094d3ffb56d00b56d94b5ebffceffffe7ba6bffd394ffebb5ffffcee7ffffffffe7ffffff4c85ffc4000000624944415428cfad8fc11280200844b7cc322dd1c4ffffd5d043131d9a0e7182c7b2b3a03e0a6f2001a6dc405ecab17a7dc25bd480bc3625d74d3940caf5398947b6ae49c5d40af7e0d076a65c39f21c3548d27398aa52d0b0dfa21330c68fcffd064e3977175b7549af980000000049454e44ae42608200000840010824000000180000000210c0db01000000030000000000000000000000000000001b40000040000000340000000100000002000000000000bf000000bf000080410000a04103000000000000b3000000b3ffff7f41000000b3000000b3ffff9f412100000008000000620000000c00000001000000150000000c00000004000000150000000c00000004000000510000001002000000000000000000000f000000130000000000000000000000000000000000000010000000140000005000000080000000d000000040010000000000002000cc0010000000140000002800000010000000140000000100080000000000000000000000000000000000160000000000000000000000ffffff0094d3ff00b56d0000ffffe700b5ebff00b56d6b00ceffff0000009400ffd39400e7ffff00946db500ffffce006bbae700e7ba6b00006db50000006b0094006b00ce9a00006b000000ffebb50094000000010101010101010101010101010101010101010101010101010101010101010101010101010101010101010101010101010101010101010101010101010101010101010101010101010101010101010101010101010101010101010101010101010d0000150c0101010101010101010105110c010d1314010101010101010101020304010a0f1201010101010101010105110c01010d030401010101010101010a0f0e01010d030401010101010101010105100e010d0901010105100000000901010a0f000000000e01010d0e0102090101010101010101010101010d0e0101010101010101010101010101010d0901010101010101010101010101010a0b0c010101010101010101010506040708090101010101010101010101020000030401010101010101010101010101010101010101010101010101010101010101014c0000006400000000000000000000000f00000013000000000000000000000010000000140000002900aa0000000000000000000000803f00000000000000000000803f0000000000000000000000000000000000000000000000000000000000000000220000000c000000ffffffff460000001c00000010000000454d462b024000000c000000000000000e000000140000000000000010000000140000000400000003010800050000000b0200000000050000000c0214001000030000001e0004000000070104000400000007010400ed000000410b2000cc00140010000000000014001000000000002800000010000000140000000100080000000000000000000000000000000000160000000000000000000000ffffff0094d3ff00b56d0000ffffe700b5ebff00b56d6b00ceffff0000009400ffd39400e7ffff00946db500ffffce006bbae700e7ba6b00006db50000006b0094006b00ce9a00006b000000ffebb50094000000010101010101010101010101010101010101010101010101010101010101010101010101010101010101010101010101010101010101010101010101010101010101010101010101010101010101010101010101010101010101010101010101010d0000150c0101010101010101010105110c010d1314010101010101010101020304010a0f1201010101010101010105110c01010d030401010101010101010a0f0e01010d030401010101010101010105100e010d0901010105100000000901010a0f000000000e01010d0e0102090101010101010101010101010d0e0101010101010101010101010101010d0901010101010101010101010101010a0b0c010101010101010101010506040708090101010101010101010101020000030401010101010101010101010101010101010101010101010101010101010101010c00000040092900aa000000000000001400100000000000040000002701ffff030000000000) |
Значення
|
Число
|
|
Гіпотеза
|
|
Лейкоцити |
108 |
(7,59; 8,35) |
9,62 |
1 |
3,84 |
Відхиляється |
13. Нейтрофіли палочкоядерні у стані компенсації

Таблиця 1.13
Результати
перевірки гіпотези
про нормальний розподіл нейтрофіли
палочкоядерні у стані компенсації
|
Показник |
Обсяг вибір-ки n |
Оцінки параметрів (a; 010009000003ee0300000000cc0200000000cc02000026060f008e05574d464301000000000001006b2200000000010000006c050000000000006c050000010000006c00000000000000000000000f000000130000000000000000000000a20100000b02000020454d46000001006c0500000c00000001000000000000000000000000000000900600001a040000b801000013010000000000000000000000000000c0b6060038320400460000002c00000020000000454d462b014001001c000000100000000210c0db01000000600000006000000046000000f8010000ec010000454d462b224004000c000000000000001e4009000c00000000000000244001000c000000000000003040020010000000040000000000803f214007000c000000000000000840000544010000380100000210c0db01000000000000000000000000000000000000000100000089504e470d0a1a0a0000000d4948445200000010000000140803000000b3bc4d450000000373424954050605330b8d80000000017352474200aece1ce9000000097048597300000ec400000ec401952b0e1b00000042504c544500000000006b000094006db5009ace6b00006b00946b6db56bbae794000094d3ffb56d00b56d94b5ebffceffffe7ba6bffd394ffebb5ffffcee7ffffffffe7ffffff4c85ffc4000000624944415428cfad8fc11280200844b7cc322dd1c4ffffd5d043131d9a0e7182c7b2b3a03e0a6f2001a6dc405ecab17a7dc25bd480bc3625d74d3940caf5398947b6ae49c5d40af7e0d076a65c39f21c3548d27398aa52d0b0dfa21330c68fcffd064e3977175b7549af980000000049454e44ae42608200000840010824000000180000000210c0db01000000030000000000000000000000000000001b40000040000000340000000100000002000000000000bf000000bf000080410000a04103000000000000b3000000b3ffff7f41000000b3000000b3ffff9f412100000008000000620000000c00000001000000150000000c00000004000000150000000c00000004000000510000001002000000000000000000000f000000130000000000000000000000000000000000000010000000140000005000000080000000d000000040010000000000002000cc0010000000140000002800000010000000140000000100080000000000000000000000000000000000160000000000000000000000ffffff0094d3ff00b56d0000ffffe700b5ebff00b56d6b00ceffff0000009400ffd39400e7ffff00946db500ffffce006bbae700e7ba6b00006db50000006b0094006b00ce9a00006b000000ffebb50094000000010101010101010101010101010101010101010101010101010101010101010101010101010101010101010101010101010101010101010101010101010101010101010101010101010101010101010101010101010101010101010101010101010d0000150c0101010101010101010105110c010d1314010101010101010101020304010a0f1201010101010101010105110c01010d030401010101010101010a0f0e01010d030401010101010101010105100e010d0901010105100000000901010a0f000000000e01010d0e0102090101010101010101010101010d0e0101010101010101010101010101010d0901010101010101010101010101010a0b0c010101010101010101010506040708090101010101010101010101020000030401010101010101010101010101010101010101010101010101010101010101014c0000006400000000000000000000000f00000013000000000000000000000010000000140000002900aa0000000000000000000000803f00000000000000000000803f0000000000000000000000000000000000000000000000000000000000000000220000000c000000ffffffff460000001c00000010000000454d462b024000000c000000000000000e000000140000000000000010000000140000000400000003010800050000000b0200000000050000000c0214001000030000001e0004000000070104000400000007010400ed000000410b2000cc00140010000000000014001000000000002800000010000000140000000100080000000000000000000000000000000000160000000000000000000000ffffff0094d3ff00b56d0000ffffe700b5ebff00b56d6b00ceffff0000009400ffd39400e7ffff00946db500ffffce006bbae700e7ba6b00006db50000006b0094006b00ce9a00006b000000ffebb50094000000010101010101010101010101010101010101010101010101010101010101010101010101010101010101010101010101010101010101010101010101010101010101010101010101010101010101010101010101010101010101010101010101010d0000150c0101010101010101010105110c010d1314010101010101010101020304010a0f1201010101010101010105110c01010d030401010101010101010a0f0e01010d030401010101010101010105100e010d0901010105100000000901010a0f000000000e01010d0e0102090101010101010101010101010d0e0101010101010101010101010101010d0901010101010101010101010101010a0b0c010101010101010101010506040708090101010101010101010101020000030401010101010101010101010101010101010101010101010101010101010101010c00000040092900aa000000000000001400100000000000040000002701ffff030000000000) |
Значення
|
Число
|
|
Гіпотеза
|
|
Нейтрофіли палочкоядерні |
104 |
(6,; 18,2) |
5,23 |
2 |
5,99 |
Не відхиляється |
14. Нейтрофіли палочкоядерні у стані декомпенсації

Таблиця 1.14
Результати
перевірки гіпотези
про нормальний розподіл нейтрофіли
палочкоядерні
у стані декомпенсації
|
Показник |
Обсяг вибір-ки n |
Оцінки параметрів (a; 010009000003ee0300000000cc0200000000cc02000026060f008e05574d464301000000000001006b2200000000010000006c050000000000006c050000010000006c00000000000000000000000f000000130000000000000000000000a20100000b02000020454d46000001006c0500000c00000001000000000000000000000000000000900600001a040000b801000013010000000000000000000000000000c0b6060038320400460000002c00000020000000454d462b014001001c000000100000000210c0db01000000600000006000000046000000f8010000ec010000454d462b224004000c000000000000001e4009000c00000000000000244001000c000000000000003040020010000000040000000000803f214007000c000000000000000840000544010000380100000210c0db01000000000000000000000000000000000000000100000089504e470d0a1a0a0000000d4948445200000010000000140803000000b3bc4d450000000373424954050605330b8d80000000017352474200aece1ce9000000097048597300000ec400000ec401952b0e1b00000042504c544500000000006b000094006db5009ace6b00006b00946b6db56bbae794000094d3ffb56d00b56d94b5ebffceffffe7ba6bffd394ffebb5ffffcee7ffffffffe7ffffff4c85ffc4000000624944415428cfad8fc11280200844b7cc322dd1c4ffffd5d043131d9a0e7182c7b2b3a03e0a6f2001a6dc405ecab17a7dc25bd480bc3625d74d3940caf5398947b6ae49c5d40af7e0d076a65c39f21c3548d27398aa52d0b0dfa21330c68fcffd064e3977175b7549af980000000049454e44ae42608200000840010824000000180000000210c0db01000000030000000000000000000000000000001b40000040000000340000000100000002000000000000bf000000bf000080410000a04103000000000000b3000000b3ffff7f41000000b3000000b3ffff9f412100000008000000620000000c00000001000000150000000c00000004000000150000000c00000004000000510000001002000000000000000000000f000000130000000000000000000000000000000000000010000000140000005000000080000000d000000040010000000000002000cc0010000000140000002800000010000000140000000100080000000000000000000000000000000000160000000000000000000000ffffff0094d3ff00b56d0000ffffe700b5ebff00b56d6b00ceffff0000009400ffd39400e7ffff00946db500ffffce006bbae700e7ba6b00006db50000006b0094006b00ce9a00006b000000ffebb50094000000010101010101010101010101010101010101010101010101010101010101010101010101010101010101010101010101010101010101010101010101010101010101010101010101010101010101010101010101010101010101010101010101010d0000150c0101010101010101010105110c010d1314010101010101010101020304010a0f1201010101010101010105110c01010d030401010101010101010a0f0e01010d030401010101010101010105100e010d0901010105100000000901010a0f000000000e01010d0e0102090101010101010101010101010d0e0101010101010101010101010101010d0901010101010101010101010101010a0b0c010101010101010101010506040708090101010101010101010101020000030401010101010101010101010101010101010101010101010101010101010101014c0000006400000000000000000000000f00000013000000000000000000000010000000140000002900aa0000000000000000000000803f00000000000000000000803f0000000000000000000000000000000000000000000000000000000000000000220000000c000000ffffffff460000001c00000010000000454d462b024000000c000000000000000e000000140000000000000010000000140000000400000003010800050000000b0200000000050000000c0214001000030000001e0004000000070104000400000007010400ed000000410b2000cc00140010000000000014001000000000002800000010000000140000000100080000000000000000000000000000000000160000000000000000000000ffffff0094d3ff00b56d0000ffffe700b5ebff00b56d6b00ceffff0000009400ffd39400e7ffff00946db500ffffce006bbae700e7ba6b00006db50000006b0094006b00ce9a00006b000000ffebb50094000000010101010101010101010101010101010101010101010101010101010101010101010101010101010101010101010101010101010101010101010101010101010101010101010101010101010101010101010101010101010101010101010101010d0000150c0101010101010101010105110c010d1314010101010101010101020304010a0f1201010101010101010105110c01010d030401010101010101010a0f0e01010d030401010101010101010105100e010d0901010105100000000901010a0f000000000e01010d0e0102090101010101010101010101010d0e0101010101010101010101010101010d0901010101010101010101010101010a0b0c010101010101010101010506040708090101010101010101010101020000030401010101010101010101010101010101010101010101010101010101010101010c00000040092900aa000000000000001400100000000000040000002701ffff030000000000) |
Значення
|
Число
|
|
Гіпотеза
|
|
Палочкоядерні |
86 |
(12,76,; 75,32) |
5,56 |
1 |
6,64 |
Не відхиляється |
15. Нейтрофіли палочкоядерні у стані субкомпенсації

Таблиця 1.15
Результати
перевірки гіпотези
про нормальний розподіл нейтрофіли
палочкоядерні у стані субкомпенсації
|
Показник |
Обсяг вибір-ки n |
Оцінки параметрів (a; 010009000003ee0300000000cc0200000000cc02000026060f008e05574d464301000000000001006b2200000000010000006c050000000000006c050000010000006c00000000000000000000000f000000130000000000000000000000a20100000b02000020454d46000001006c0500000c00000001000000000000000000000000000000900600001a040000b801000013010000000000000000000000000000c0b6060038320400460000002c00000020000000454d462b014001001c000000100000000210c0db01000000600000006000000046000000f8010000ec010000454d462b224004000c000000000000001e4009000c00000000000000244001000c000000000000003040020010000000040000000000803f214007000c000000000000000840000544010000380100000210c0db01000000000000000000000000000000000000000100000089504e470d0a1a0a0000000d4948445200000010000000140803000000b3bc4d450000000373424954050605330b8d80000000017352474200aece1ce9000000097048597300000ec400000ec401952b0e1b00000042504c544500000000006b000094006db5009ace6b00006b00946b6db56bbae794000094d3ffb56d00b56d94b5ebffceffffe7ba6bffd394ffebb5ffffcee7ffffffffe7ffffff4c85ffc4000000624944415428cfad8fc11280200844b7cc322dd1c4ffffd5d043131d9a0e7182c7b2b3a03e0a6f2001a6dc405ecab17a7dc25bd480bc3625d74d3940caf5398947b6ae49c5d40af7e0d076a65c39f21c3548d27398aa52d0b0dfa21330c68fcffd064e3977175b7549af980000000049454e44ae42608200000840010824000000180000000210c0db01000000030000000000000000000000000000001b40000040000000340000000100000002000000000000bf000000bf000080410000a04103000000000000b3000000b3ffff7f41000000b3000000b3ffff9f412100000008000000620000000c00000001000000150000000c00000004000000150000000c00000004000000510000001002000000000000000000000f000000130000000000000000000000000000000000000010000000140000005000000080000000d000000040010000000000002000cc0010000000140000002800000010000000140000000100080000000000000000000000000000000000160000000000000000000000ffffff0094d3ff00b56d0000ffffe700b5ebff00b56d6b00ceffff0000009400ffd39400e7ffff00946db500ffffce006bbae700e7ba6b00006db50000006b0094006b00ce9a00006b000000ffebb50094000000010101010101010101010101010101010101010101010101010101010101010101010101010101010101010101010101010101010101010101010101010101010101010101010101010101010101010101010101010101010101010101010101010d0000150c0101010101010101010105110c010d1314010101010101010101020304010a0f1201010101010101010105110c01010d030401010101010101010a0f0e01010d030401010101010101010105100e010d0901010105100000000901010a0f000000000e01010d0e0102090101010101010101010101010d0e0101010101010101010101010101010d0901010101010101010101010101010a0b0c010101010101010101010506040708090101010101010101010101020000030401010101010101010101010101010101010101010101010101010101010101014c0000006400000000000000000000000f00000013000000000000000000000010000000140000002900aa0000000000000000000000803f00000000000000000000803f0000000000000000000000000000000000000000000000000000000000000000220000000c000000ffffffff460000001c00000010000000454d462b024000000c000000000000000e000000140000000000000010000000140000000400000003010800050000000b0200000000050000000c0214001000030000001e0004000000070104000400000007010400ed000000410b2000cc00140010000000000014001000000000002800000010000000140000000100080000000000000000000000000000000000160000000000000000000000ffffff0094d3ff00b56d0000ffffe700b5ebff00b56d6b00ceffff0000009400ffd39400e7ffff00946db500ffffce006bbae700e7ba6b00006db50000006b0094006b00ce9a00006b000000ffebb50094000000010101010101010101010101010101010101010101010101010101010101010101010101010101010101010101010101010101010101010101010101010101010101010101010101010101010101010101010101010101010101010101010101010d0000150c0101010101010101010105110c010d1314010101010101010101020304010a0f1201010101010101010105110c01010d030401010101010101010a0f0e01010d030401010101010101010105100e010d0901010105100000000901010a0f000000000e01010d0e0102090101010101010101010101010d0e0101010101010101010101010101010d0901010101010101010101010101010a0b0c010101010101010101010506040708090101010101010101010101020000030401010101010101010101010101010101010101010101010101010101010101010c00000040092900aa000000000000001400100000000000040000002701ffff030000000000) |
Значення
|
Число
|
|
Гіпотеза
|
|
Палочкоядерні |
108 |
(8,72; 39,02) |
5,15 |
1 |
6,64 |
Не відхиляється |
16. Нейтрофіли сегментоядерні у стані компенсації

Таблиця 1.16
Результати
перевірки гіпотези
про нормальний розподіл нейтрофіли
сегментоядерні у стані компенсації
|
Показник |
Обсяг вибір-ки n |
Оцінки параметрів (a; 010009000003ee0300000000cc0200000000cc02000026060f008e05574d464301000000000001006b2200000000010000006c050000000000006c050000010000006c00000000000000000000000f000000130000000000000000000000a20100000b02000020454d46000001006c0500000c00000001000000000000000000000000000000900600001a040000b801000013010000000000000000000000000000c0b6060038320400460000002c00000020000000454d462b014001001c000000100000000210c0db01000000600000006000000046000000f8010000ec010000454d462b224004000c000000000000001e4009000c00000000000000244001000c000000000000003040020010000000040000000000803f214007000c000000000000000840000544010000380100000210c0db01000000000000000000000000000000000000000100000089504e470d0a1a0a0000000d4948445200000010000000140803000000b3bc4d450000000373424954050605330b8d80000000017352474200aece1ce9000000097048597300000ec400000ec401952b0e1b00000042504c544500000000006b000094006db5009ace6b00006b00946b6db56bbae794000094d3ffb56d00b56d94b5ebffceffffe7ba6bffd394ffebb5ffffcee7ffffffffe7ffffff4c85ffc4000000624944415428cfad8fc11280200844b7cc322dd1c4ffffd5d043131d9a0e7182c7b2b3a03e0a6f2001a6dc405ecab17a7dc25bd480bc3625d74d3940caf5398947b6ae49c5d40af7e0d076a65c39f21c3548d27398aa52d0b0dfa21330c68fcffd064e3977175b7549af980000000049454e44ae42608200000840010824000000180000000210c0db01000000030000000000000000000000000000001b40000040000000340000000100000002000000000000bf000000bf000080410000a04103000000000000b3000000b3ffff7f41000000b3000000b3ffff9f412100000008000000620000000c00000001000000150000000c00000004000000150000000c00000004000000510000001002000000000000000000000f000000130000000000000000000000000000000000000010000000140000005000000080000000d000000040010000000000002000cc0010000000140000002800000010000000140000000100080000000000000000000000000000000000160000000000000000000000ffffff0094d3ff00b56d0000ffffe700b5ebff00b56d6b00ceffff0000009400ffd39400e7ffff00946db500ffffce006bbae700e7ba6b00006db50000006b0094006b00ce9a00006b000000ffebb50094000000010101010101010101010101010101010101010101010101010101010101010101010101010101010101010101010101010101010101010101010101010101010101010101010101010101010101010101010101010101010101010101010101010d0000150c0101010101010101010105110c010d1314010101010101010101020304010a0f1201010101010101010105110c01010d030401010101010101010a0f0e01010d030401010101010101010105100e010d0901010105100000000901010a0f000000000e01010d0e0102090101010101010101010101010d0e0101010101010101010101010101010d0901010101010101010101010101010a0b0c010101010101010101010506040708090101010101010101010101020000030401010101010101010101010101010101010101010101010101010101010101014c0000006400000000000000000000000f00000013000000000000000000000010000000140000002900aa0000000000000000000000803f00000000000000000000803f0000000000000000000000000000000000000000000000000000000000000000220000000c000000ffffffff460000001c00000010000000454d462b024000000c000000000000000e000000140000000000000010000000140000000400000003010800050000000b0200000000050000000c0214001000030000001e0004000000070104000400000007010400ed000000410b2000cc00140010000000000014001000000000002800000010000000140000000100080000000000000000000000000000000000160000000000000000000000ffffff0094d3ff00b56d0000ffffe700b5ebff00b56d6b00ceffff0000009400ffd39400e7ffff00946db500ffffce006bbae700e7ba6b00006db50000006b0094006b00ce9a00006b000000ffebb50094000000010101010101010101010101010101010101010101010101010101010101010101010101010101010101010101010101010101010101010101010101010101010101010101010101010101010101010101010101010101010101010101010101010d0000150c0101010101010101010105110c010d1314010101010101010101020304010a0f1201010101010101010105110c01010d030401010101010101010a0f0e01010d030401010101010101010105100e010d0901010105100000000901010a0f000000000e01010d0e0102090101010101010101010101010d0e0101010101010101010101010101010d0901010101010101010101010101010a0b0c010101010101010101010506040708090101010101010101010101020000030401010101010101010101010101010101010101010101010101010101010101010c00000040092900aa000000000000001400100000000000040000002701ffff030000000000) |
Значення
|
Число
|
|
Гіпотеза
|
|
Сегментоядерні |
104 |
(59,23; 127,51 |
0,15 |
1 |
3,84 |
Не відхиляється |
17. Нейтрофіли сегментоядерні у стані декомпенсації

Таблиця 1.17
Результати
перевірки гіпотези
про нормальний розподіл нейтрофіли
сегментоядерні у стані декомпенсації
|
Показник |
Обсяг вибір-ки n |
Оцінки параметрів (a; 010009000003ee0300000000cc0200000000cc02000026060f008e05574d464301000000000001006b2200000000010000006c050000000000006c050000010000006c00000000000000000000000f000000130000000000000000000000a20100000b02000020454d46000001006c0500000c00000001000000000000000000000000000000900600001a040000b801000013010000000000000000000000000000c0b6060038320400460000002c00000020000000454d462b014001001c000000100000000210c0db01000000600000006000000046000000f8010000ec010000454d462b224004000c000000000000001e4009000c00000000000000244001000c000000000000003040020010000000040000000000803f214007000c000000000000000840000544010000380100000210c0db01000000000000000000000000000000000000000100000089504e470d0a1a0a0000000d4948445200000010000000140803000000b3bc4d450000000373424954050605330b8d80000000017352474200aece1ce9000000097048597300000ec400000ec401952b0e1b00000042504c544500000000006b000094006db5009ace6b00006b00946b6db56bbae794000094d3ffb56d00b56d94b5ebffceffffe7ba6bffd394ffebb5ffffcee7ffffffffe7ffffff4c85ffc4000000624944415428cfad8fc11280200844b7cc322dd1c4ffffd5d043131d9a0e7182c7b2b3a03e0a6f2001a6dc405ecab17a7dc25bd480bc3625d74d3940caf5398947b6ae49c5d40af7e0d076a65c39f21c3548d27398aa52d0b0dfa21330c68fcffd064e3977175b7549af980000000049454e44ae42608200000840010824000000180000000210c0db01000000030000000000000000000000000000001b40000040000000340000000100000002000000000000bf000000bf000080410000a04103000000000000b3000000b3ffff7f41000000b3000000b3ffff9f412100000008000000620000000c00000001000000150000000c00000004000000150000000c00000004000000510000001002000000000000000000000f000000130000000000000000000000000000000000000010000000140000005000000080000000d000000040010000000000002000cc0010000000140000002800000010000000140000000100080000000000000000000000000000000000160000000000000000000000ffffff0094d3ff00b56d0000ffffe700b5ebff00b56d6b00ceffff0000009400ffd39400e7ffff00946db500ffffce006bbae700e7ba6b00006db50000006b0094006b00ce9a00006b000000ffebb50094000000010101010101010101010101010101010101010101010101010101010101010101010101010101010101010101010101010101010101010101010101010101010101010101010101010101010101010101010101010101010101010101010101010d0000150c0101010101010101010105110c010d1314010101010101010101020304010a0f1201010101010101010105110c01010d030401010101010101010a0f0e01010d030401010101010101010105100e010d0901010105100000000901010a0f000000000e01010d0e0102090101010101010101010101010d0e0101010101010101010101010101010d0901010101010101010101010101010a0b0c010101010101010101010506040708090101010101010101010101020000030401010101010101010101010101010101010101010101010101010101010101014c0000006400000000000000000000000f00000013000000000000000000000010000000140000002900aa0000000000000000000000803f00000000000000000000803f0000000000000000000000000000000000000000000000000000000000000000220000000c000000ffffffff460000001c00000010000000454d462b024000000c000000000000000e000000140000000000000010000000140000000400000003010800050000000b0200000000050000000c0214001000030000001e0004000000070104000400000007010400ed000000410b2000cc00140010000000000014001000000000002800000010000000140000000100080000000000000000000000000000000000160000000000000000000000ffffff0094d3ff00b56d0000ffffe700b5ebff00b56d6b00ceffff0000009400ffd39400e7ffff00946db500ffffce006bbae700e7ba6b00006db50000006b0094006b00ce9a00006b000000ffebb50094000000010101010101010101010101010101010101010101010101010101010101010101010101010101010101010101010101010101010101010101010101010101010101010101010101010101010101010101010101010101010101010101010101010d0000150c0101010101010101010105110c010d1314010101010101010101020304010a0f1201010101010101010105110c01010d030401010101010101010a0f0e01010d030401010101010101010105100e010d0901010105100000000901010a0f000000000e01010d0e0102090101010101010101010101010d0e0101010101010101010101010101010d0901010101010101010101010101010a0b0c010101010101010101010506040708090101010101010101010101020000030401010101010101010101010101010101010101010101010101010101010101010c00000040092900aa000000000000001400100000000000040000002701ffff030000000000) |
Значення
|
Число
|
|
Гіпотеза
|
|
Сегментоядерні |
86 |
(62,95; 110,04) |
4,94 |
1 |
6,64 |
Не відхиляється |
18. Нейтрофіли сегментоядерні у стані субкомпенсації

Таблиця 1.18
Результати
перевірки гіпотези
про нормальний розподіл нейтрофіли
сегментоядерні у стані декомпенсації
|
Показник |
Обсяг вибір-ки n |
Оцінки параметрів (a; 010009000003ee0300000000cc0200000000cc02000026060f008e05574d464301000000000001006b2200000000010000006c050000000000006c050000010000006c00000000000000000000000f000000130000000000000000000000a20100000b02000020454d46000001006c0500000c00000001000000000000000000000000000000900600001a040000b801000013010000000000000000000000000000c0b6060038320400460000002c00000020000000454d462b014001001c000000100000000210c0db01000000600000006000000046000000f8010000ec010000454d462b224004000c000000000000001e4009000c00000000000000244001000c000000000000003040020010000000040000000000803f214007000c000000000000000840000544010000380100000210c0db01000000000000000000000000000000000000000100000089504e470d0a1a0a0000000d4948445200000010000000140803000000b3bc4d450000000373424954050605330b8d80000000017352474200aece1ce9000000097048597300000ec400000ec401952b0e1b00000042504c544500000000006b000094006db5009ace6b00006b00946b6db56bbae794000094d3ffb56d00b56d94b5ebffceffffe7ba6bffd394ffebb5ffffcee7ffffffffe7ffffff4c85ffc4000000624944415428cfad8fc11280200844b7cc322dd1c4ffffd5d043131d9a0e7182c7b2b3a03e0a6f2001a6dc405ecab17a7dc25bd480bc3625d74d3940caf5398947b6ae49c5d40af7e0d076a65c39f21c3548d27398aa52d0b0dfa21330c68fcffd064e3977175b7549af980000000049454e44ae42608200000840010824000000180000000210c0db01000000030000000000000000000000000000001b40000040000000340000000100000002000000000000bf000000bf000080410000a04103000000000000b3000000b3ffff7f41000000b3000000b3ffff9f412100000008000000620000000c00000001000000150000000c00000004000000150000000c00000004000000510000001002000000000000000000000f000000130000000000000000000000000000000000000010000000140000005000000080000000d000000040010000000000002000cc0010000000140000002800000010000000140000000100080000000000000000000000000000000000160000000000000000000000ffffff0094d3ff00b56d0000ffffe700b5ebff00b56d6b00ceffff0000009400ffd39400e7ffff00946db500ffffce006bbae700e7ba6b00006db50000006b0094006b00ce9a00006b000000ffebb50094000000010101010101010101010101010101010101010101010101010101010101010101010101010101010101010101010101010101010101010101010101010101010101010101010101010101010101010101010101010101010101010101010101010d0000150c0101010101010101010105110c010d1314010101010101010101020304010a0f1201010101010101010105110c01010d030401010101010101010a0f0e01010d030401010101010101010105100e010d0901010105100000000901010a0f000000000e01010d0e0102090101010101010101010101010d0e0101010101010101010101010101010d0901010101010101010101010101010a0b0c010101010101010101010506040708090101010101010101010101020000030401010101010101010101010101010101010101010101010101010101010101014c0000006400000000000000000000000f00000013000000000000000000000010000000140000002900aa0000000000000000000000803f00000000000000000000803f0000000000000000000000000000000000000000000000000000000000000000220000000c000000ffffffff460000001c00000010000000454d462b024000000c000000000000000e000000140000000000000010000000140000000400000003010800050000000b0200000000050000000c0214001000030000001e0004000000070104000400000007010400ed000000410b2000cc00140010000000000014001000000000002800000010000000140000000100080000000000000000000000000000000000160000000000000000000000ffffff0094d3ff00b56d0000ffffe700b5ebff00b56d6b00ceffff0000009400ffd39400e7ffff00946db500ffffce006bbae700e7ba6b00006db50000006b0094006b00ce9a00006b000000ffebb50094000000010101010101010101010101010101010101010101010101010101010101010101010101010101010101010101010101010101010101010101010101010101010101010101010101010101010101010101010101010101010101010101010101010d0000150c0101010101010101010105110c010d1314010101010101010101020304010a0f1201010101010101010105110c01010d030401010101010101010a0f0e01010d030401010101010101010105100e010d0901010105100000000901010a0f000000000e01010d0e0102090101010101010101010101010d0e0101010101010101010101010101010d0901010101010101010101010101010a0b0c010101010101010101010506040708090101010101010101010101020000030401010101010101010101010101010101010101010101010101010101010101010c00000040092900aa000000000000001400100000000000040000002701ffff030000000000) |
Значення
|
Число
|
|
Гіпотеза
|
|
Сегментоядерні |
108 |
(59,89; 85,02) |
6,17 |
4 |
9,48 |
Не відхиляється |
19. Лімфоцити у стані компенсації

Таблиця 1.19
Результати
перевірки гіпотези
про нормальний розподіл лімфоцитів у
стані компенсації
|
Показник |
Обсяг вибір-ки n |
Оцінки параметрів (a; 010009000003ee0300000000cc0200000000cc02000026060f008e05574d464301000000000001006b2200000000010000006c050000000000006c050000010000006c00000000000000000000000f000000130000000000000000000000a20100000b02000020454d46000001006c0500000c00000001000000000000000000000000000000900600001a040000b801000013010000000000000000000000000000c0b6060038320400460000002c00000020000000454d462b014001001c000000100000000210c0db01000000600000006000000046000000f8010000ec010000454d462b224004000c000000000000001e4009000c00000000000000244001000c000000000000003040020010000000040000000000803f214007000c000000000000000840000544010000380100000210c0db01000000000000000000000000000000000000000100000089504e470d0a1a0a0000000d4948445200000010000000140803000000b3bc4d450000000373424954050605330b8d80000000017352474200aece1ce9000000097048597300000ec400000ec401952b0e1b00000042504c544500000000006b000094006db5009ace6b00006b00946b6db56bbae794000094d3ffb56d00b56d94b5ebffceffffe7ba6bffd394ffebb5ffffcee7ffffffffe7ffffff4c85ffc4000000624944415428cfad8fc11280200844b7cc322dd1c4ffffd5d043131d9a0e7182c7b2b3a03e0a6f2001a6dc405ecab17a7dc25bd480bc3625d74d3940caf5398947b6ae49c5d40af7e0d076a65c39f21c3548d27398aa52d0b0dfa21330c68fcffd064e3977175b7549af980000000049454e44ae42608200000840010824000000180000000210c0db01000000030000000000000000000000000000001b40000040000000340000000100000002000000000000bf000000bf000080410000a04103000000000000b3000000b3ffff7f41000000b3000000b3ffff9f412100000008000000620000000c00000001000000150000000c00000004000000150000000c00000004000000510000001002000000000000000000000f000000130000000000000000000000000000000000000010000000140000005000000080000000d000000040010000000000002000cc0010000000140000002800000010000000140000000100080000000000000000000000000000000000160000000000000000000000ffffff0094d3ff00b56d0000ffffe700b5ebff00b56d6b00ceffff0000009400ffd39400e7ffff00946db500ffffce006bbae700e7ba6b00006db50000006b0094006b00ce9a00006b000000ffebb50094000000010101010101010101010101010101010101010101010101010101010101010101010101010101010101010101010101010101010101010101010101010101010101010101010101010101010101010101010101010101010101010101010101010d0000150c0101010101010101010105110c010d1314010101010101010101020304010a0f1201010101010101010105110c01010d030401010101010101010a0f0e01010d030401010101010101010105100e010d0901010105100000000901010a0f000000000e01010d0e0102090101010101010101010101010d0e0101010101010101010101010101010d0901010101010101010101010101010a0b0c010101010101010101010506040708090101010101010101010101020000030401010101010101010101010101010101010101010101010101010101010101014c0000006400000000000000000000000f00000013000000000000000000000010000000140000002900aa0000000000000000000000803f00000000000000000000803f0000000000000000000000000000000000000000000000000000000000000000220000000c000000ffffffff460000001c00000010000000454d462b024000000c000000000000000e000000140000000000000010000000140000000400000003010800050000000b0200000000050000000c0214001000030000001e0004000000070104000400000007010400ed000000410b2000cc00140010000000000014001000000000002800000010000000140000000100080000000000000000000000000000000000160000000000000000000000ffffff0094d3ff00b56d0000ffffe700b5ebff00b56d6b00ceffff0000009400ffd39400e7ffff00946db500ffffce006bbae700e7ba6b00006db50000006b0094006b00ce9a00006b000000ffebb50094000000010101010101010101010101010101010101010101010101010101010101010101010101010101010101010101010101010101010101010101010101010101010101010101010101010101010101010101010101010101010101010101010101010d0000150c0101010101010101010105110c010d1314010101010101010101020304010a0f1201010101010101010105110c01010d030401010101010101010a0f0e01010d030401010101010101010105100e010d0901010105100000000901010a0f000000000e01010d0e0102090101010101010101010101010d0e0101010101010101010101010101010d0901010101010101010101010101010a0b0c010101010101010101010506040708090101010101010101010101020000030401010101010101010101010101010101010101010101010101010101010101010c00000040092900aa000000000000001400100000000000040000002701ffff030000000000) |
Значення
|
Число
|
|
Гіпотеза
|
|
Лімфоцити |
108 |
(29,73; 110,12) |
7,72 |
5 |
11,07 |
Не відхиляється |
20. Лімфоцити у стані декомпенсації

Таблиця 1.20
Результати
перевірки гіпотези
про нормальний розподіл лімфоцитів у
стані декомпенсації
|
Показник |
Обсяг вибір-ки n |
Оцінки параметрів (a; 010009000003ee0300000000cc0200000000cc02000026060f008e05574d464301000000000001006b2200000000010000006c050000000000006c050000010000006c00000000000000000000000f000000130000000000000000000000a20100000b02000020454d46000001006c0500000c00000001000000000000000000000000000000900600001a040000b801000013010000000000000000000000000000c0b6060038320400460000002c00000020000000454d462b014001001c000000100000000210c0db01000000600000006000000046000000f8010000ec010000454d462b224004000c000000000000001e4009000c00000000000000244001000c000000000000003040020010000000040000000000803f214007000c000000000000000840000544010000380100000210c0db01000000000000000000000000000000000000000100000089504e470d0a1a0a0000000d4948445200000010000000140803000000b3bc4d450000000373424954050605330b8d80000000017352474200aece1ce9000000097048597300000ec400000ec401952b0e1b00000042504c544500000000006b000094006db5009ace6b00006b00946b6db56bbae794000094d3ffb56d00b56d94b5ebffceffffe7ba6bffd394ffebb5ffffcee7ffffffffe7ffffff4c85ffc4000000624944415428cfad8fc11280200844b7cc322dd1c4ffffd5d043131d9a0e7182c7b2b3a03e0a6f2001a6dc405ecab17a7dc25bd480bc3625d74d3940caf5398947b6ae49c5d40af7e0d076a65c39f21c3548d27398aa52d0b0dfa21330c68fcffd064e3977175b7549af980000000049454e44ae42608200000840010824000000180000000210c0db01000000030000000000000000000000000000001b40000040000000340000000100000002000000000000bf000000bf000080410000a04103000000000000b3000000b3ffff7f41000000b3000000b3ffff9f412100000008000000620000000c00000001000000150000000c00000004000000150000000c00000004000000510000001002000000000000000000000f000000130000000000000000000000000000000000000010000000140000005000000080000000d000000040010000000000002000cc0010000000140000002800000010000000140000000100080000000000000000000000000000000000160000000000000000000000ffffff0094d3ff00b56d0000ffffe700b5ebff00b56d6b00ceffff0000009400ffd39400e7ffff00946db500ffffce006bbae700e7ba6b00006db50000006b0094006b00ce9a00006b000000ffebb50094000000010101010101010101010101010101010101010101010101010101010101010101010101010101010101010101010101010101010101010101010101010101010101010101010101010101010101010101010101010101010101010101010101010d0000150c0101010101010101010105110c010d1314010101010101010101020304010a0f1201010101010101010105110c01010d030401010101010101010a0f0e01010d030401010101010101010105100e010d0901010105100000000901010a0f000000000e01010d0e0102090101010101010101010101010d0e0101010101010101010101010101010d0901010101010101010101010101010a0b0c010101010101010101010506040708090101010101010101010101020000030401010101010101010101010101010101010101010101010101010101010101014c0000006400000000000000000000000f00000013000000000000000000000010000000140000002900aa0000000000000000000000803f00000000000000000000803f0000000000000000000000000000000000000000000000000000000000000000220000000c000000ffffffff460000001c00000010000000454d462b024000000c000000000000000e000000140000000000000010000000140000000400000003010800050000000b0200000000050000000c0214001000030000001e0004000000070104000400000007010400ed000000410b2000cc00140010000000000014001000000000002800000010000000140000000100080000000000000000000000000000000000160000000000000000000000ffffff0094d3ff00b56d0000ffffe700b5ebff00b56d6b00ceffff0000009400ffd39400e7ffff00946db500ffffce006bbae700e7ba6b00006db50000006b0094006b00ce9a00006b000000ffebb50094000000010101010101010101010101010101010101010101010101010101010101010101010101010101010101010101010101010101010101010101010101010101010101010101010101010101010101010101010101010101010101010101010101010d0000150c0101010101010101010105110c010d1314010101010101010101020304010a0f1201010101010101010105110c01010d030401010101010101010a0f0e01010d030401010101010101010105100e010d0901010105100000000901010a0f000000000e01010d0e0102090101010101010101010101010d0e0101010101010101010101010101010d0901010101010101010101010101010a0b0c010101010101010101010506040708090101010101010101010101020000030401010101010101010101010101010101010101010101010101010101010101010c00000040092900aa000000000000001400100000000000040000002701ffff030000000000) |
Значення
|
Число
|
|
Гіпотеза
|
|
Лімфоцити |
86 |
(20,36; 105,02) |
1,74 |
3 |
7,82 |
Не відхиляється |
21. Лімфоцити у стані субкомпенсації

Таблиця 1.21
Результати
перевірки гіпотези
про нормальний розподіл лімфоцитів у
стані субкомпенсації
|
Показник |
Обсяг вибір-ки n |
Оцінки параметрів (a; 010009000003ee0300000000cc0200000000cc02000026060f008e05574d464301000000000001006b2200000000010000006c050000000000006c050000010000006c00000000000000000000000f000000130000000000000000000000a20100000b02000020454d46000001006c0500000c00000001000000000000000000000000000000900600001a040000b801000013010000000000000000000000000000c0b6060038320400460000002c00000020000000454d462b014001001c000000100000000210c0db01000000600000006000000046000000f8010000ec010000454d462b224004000c000000000000001e4009000c00000000000000244001000c000000000000003040020010000000040000000000803f214007000c000000000000000840000544010000380100000210c0db01000000000000000000000000000000000000000100000089504e470d0a1a0a0000000d4948445200000010000000140803000000b3bc4d450000000373424954050605330b8d80000000017352474200aece1ce9000000097048597300000ec400000ec401952b0e1b00000042504c544500000000006b000094006db5009ace6b00006b00946b6db56bbae794000094d3ffb56d00b56d94b5ebffceffffe7ba6bffd394ffebb5ffffcee7ffffffffe7ffffff4c85ffc4000000624944415428cfad8fc11280200844b7cc322dd1c4ffffd5d043131d9a0e7182c7b2b3a03e0a6f2001a6dc405ecab17a7dc25bd480bc3625d74d3940caf5398947b6ae49c5d40af7e0d076a65c39f21c3548d27398aa52d0b0dfa21330c68fcffd064e3977175b7549af980000000049454e44ae42608200000840010824000000180000000210c0db01000000030000000000000000000000000000001b40000040000000340000000100000002000000000000bf000000bf000080410000a04103000000000000b3000000b3ffff7f41000000b3000000b3ffff9f412100000008000000620000000c00000001000000150000000c00000004000000150000000c00000004000000510000001002000000000000000000000f000000130000000000000000000000000000000000000010000000140000005000000080000000d000000040010000000000002000cc0010000000140000002800000010000000140000000100080000000000000000000000000000000000160000000000000000000000ffffff0094d3ff00b56d0000ffffe700b5ebff00b56d6b00ceffff0000009400ffd39400e7ffff00946db500ffffce006bbae700e7ba6b00006db50000006b0094006b00ce9a00006b000000ffebb50094000000010101010101010101010101010101010101010101010101010101010101010101010101010101010101010101010101010101010101010101010101010101010101010101010101010101010101010101010101010101010101010101010101010d0000150c0101010101010101010105110c010d1314010101010101010101020304010a0f1201010101010101010105110c01010d030401010101010101010a0f0e01010d030401010101010101010105100e010d0901010105100000000901010a0f000000000e01010d0e0102090101010101010101010101010d0e0101010101010101010101010101010d0901010101010101010101010101010a0b0c010101010101010101010506040708090101010101010101010101020000030401010101010101010101010101010101010101010101010101010101010101014c0000006400000000000000000000000f00000013000000000000000000000010000000140000002900aa0000000000000000000000803f00000000000000000000803f0000000000000000000000000000000000000000000000000000000000000000220000000c000000ffffffff460000001c00000010000000454d462b024000000c000000000000000e000000140000000000000010000000140000000400000003010800050000000b0200000000050000000c0214001000030000001e0004000000070104000400000007010400ed000000410b2000cc00140010000000000014001000000000002800000010000000140000000100080000000000000000000000000000000000160000000000000000000000ffffff0094d3ff00b56d0000ffffe700b5ebff00b56d6b00ceffff0000009400ffd39400e7ffff00946db500ffffce006bbae700e7ba6b00006db50000006b0094006b00ce9a00006b000000ffebb50094000000010101010101010101010101010101010101010101010101010101010101010101010101010101010101010101010101010101010101010101010101010101010101010101010101010101010101010101010101010101010101010101010101010d0000150c0101010101010101010105110c010d1314010101010101010101020304010a0f1201010101010101010105110c01010d030401010101010101010a0f0e01010d030401010101010101010105100e010d0901010105100000000901010a0f000000000e01010d0e0102090101010101010101010101010d0e0101010101010101010101010101010d0901010101010101010101010101010a0b0c010101010101010101010506040708090101010101010101010101020000030401010101010101010101010101010101010101010101010101010101010101010c00000040092900aa000000000000001400100000000000040000002701ffff030000000000) |
Значення
|
Число
|
|
Гіпотеза
|
|
Лімфоцити |
108 |
(26,90; 100,25) |
1,85 |
4 |
9,48 |
Не відхиляється |
Отже, за розподіл гемоглобіна, еритроцитів, Ht, лейкоцитів, нейтрофілів палочкоядерних, нейтрофілів сегментоядерних та лімфоцитів ми можемо розглядати нормальний розподіл.
Розділ 2. Перевірки гіпотези 010009000003100f00000000a00800000000a008000026060f003611574d464301000000000001002e170000000001000000141100000000000014110000010000006c00000000000000000000006a0000001b0000000000000000000000f10a0000dc02000020454d4600000100141100000c00000001000000000000000000000000000000900600001a040000b801000013010000000000000000000000000000c0b6060038320400460000002c00000020000000454d462b014001001c000000100000000210c0db0100000060000000600000004600000004030000f8020000454d462b224004000c000000000000001e4009000c00000000000000244001000c000000000000003040020010000000040000000000803f214007000c000000000000000840000550020000440200000210c0db01000000000000000000000000000000000000000100000089504e470d0a1a0a0000000d494844520000006b0000001c08030000005146b1470000000373424954050605330b8d80000000017352474200aece1ce9000000097048597300000ec400000ec401952b0e1b0000004b504c544500000000006b000094006db5009ace6b00006b6d6b6bbab56bbae7940000949a9494d3ffb56d00b56d94b5ebffce9a00ced394ceffffe7ba6bffd394ffebb5ffffcee7ffffffffe7ffffffc889e26e000001654944415448c7ed566b8f8320105cabde61f5a4055fffff97deee42150a3eb8d42697940f26cab003330308d3fb1a7cb85ec1d55700504c1a9f509fbd2e64c987695200627a03179148c8dad3b914938c0d5cee67735912b4ad8842d8cfefaa3858711d6eb2417675a56f97b2af9a12230fc766030e4c625b1de1325350512f25cc8d66bb0707ce5fcd03a3769961722eb6d3b6e0f0c89f559227eb00d14c7cc367f158c8e6bef0e10197e9a6c59b7259ab1da4490c76d6a694b7f650431f1e7059126d94ecab7ce8aba5220e16f3d6eb77c3e8c143ae7927335757e6c3d810d46483e5505fe8a5aab173ef6071e17d95b5ca0d01d86390e4a0cfcf5c9c52417b462c27cc465be0e3cf0dae423a2b84004b5c2b078886a31bda66b2f04a412038f9150fb84ebc06e4e5ee950aee2fcea1589967d23d403c9ec31071774d29b421e574a6292b578ab47bb92b930c6395feca35362211ef0a91c6a5d2a89e74f8fcb3fd2fae5f7471fcbc5d24bccd0000000049454e44ae42608200000840010824000000180000000210c0db01000000030000000000000000000000000000001b40000040000000340000000100000002000000000000bf000000bf0000d6420000e04103000000000000b3000000b3ffffd542000000b3000000b3ffffdf412100000008000000620000000c00000001000000150000000c00000004000000150000000c0000000400000051000000ac0c000000000000000000006a0000001b000000000000000000000000000000000000006b0000001c000000500000008c000000dc000000d00b0000000000002000cc006b0000001c000000280000006b0000001c0000000100080000000000000000000000000000000000190000000000000000000000ffffff00ceffff0000009400ce9a000094d3ff00ffd39400b56d0000ffffe7006bbae700e7ba6b00009ace006b000000ffebb500e7ffff00006db50094000000ffffce00b5ba6b00b5ebff0000006b006b6d6b00946db50094d3ce00949a9400010101010101010101010101010101010101010101010101010101010101010101010101010101010101010101010101010101010101010101010101010101010101010101010101010101010101010101010101010101010101010101010101010101010101010101010100010101010101010101010101010101010101010101010101010101010101010101010101010101010101010101010101010101010101010101010101010101010101010101010101010101010101010101010101010101010101010101010101010101010101010101010100010101010101010101010101010101010101010101010101010101010101010101010101010101010101010101010101010101010101010101010101010101010101010101010101010101010101010101010101010101010101010101010101010101010101010101010100010101010101010101010101010101010101010101010101010101010101010101010101010101010101010101010101010101010101010101010101010101010101010101010101010101010101010101010101010101010101010101010101010101010101010101010100010101010101010101010101010101010101010101010101010101010101010101010101010101010101010101090a010101010101010101010101010101010101010101010101010101010101010101010101010101010101010101011314040101010101010101010101000101010101010101010101010101010101010101010101010101010101010101010101010101010101010101010e0f0a0101010101010101010101010101010101010101010101010101010101010101010101010101010101010101010e0f10110101010101010101010100010101010101010101010101010101010101010101010101010101010101010101010101010101010101010101131404010101010101010101010101010101010101010101010101010101010101010101010101010101010101010101010b0c0d0101010101010101010143010101010101010101010101010101010e0f00000401010101010101010101010101010101010101010101020300101101010101010101010101010101010101010101010101010101010101010101010101010101010101010105000a010900060101010101010101010100010101010101010101010101010101010b0c0d05000a01010101010101010101010101010101010101010109000a01010101010101010101010101010101010101010101010101010101010101010101010101010101010101010203070813140a0101010101010101010100010101010101010101010101010101020307080203070801010101010101010101010101010101010101010500060101010101010101010101010101010101010101010101010101010101010101010101010101010101010101010b10110203070801010101010101010100010101010101010101010101010101131407080e0f101101010101010101010101010101010101010101010105000401010101010101010101010101010101010101010101010101010101010101010101010101010101010101010900040e0f10110101010101010101017c050000000006010b00000010110101131407080e0f0c0d010109000a01010101131400000a020300000a0101010500000a010101010101010101010101010101010101010101010101010101010101131400000a020300000a0e161700180a0b0c0d01010101010101010100010500000a0101010b000006010101131407080e0f0c0d010109000a0101010e0f000401091500101109060113140a010101010101010101010101010101010101010101010101010101010101010e0f0004010915001011090602030c0d0900101101010101010101010100011314000401010105000006010101020307080203101101010101010101010203000a01010b000c0d010101020304010101010101010101010101010101010101010101010101010101010101010203000a01010b000c0d0101010101010101010101010101010101010100010e0f000708010113140004010101010b0c0d05000401010101010101010102030004010113140006010101010e0f101101010101010101010101010b000000000000000000000708010101010102030004010113140006010101010101010101010101010101010101010001010b000c0d01010203000708010101010b000007080101010101010101010e0f000708010e0f0004010101010b0000000a010101010101010101010101010101010101010101010101010101010e0f000708010e0f000401010101010101010101010101010101010101000101090000060101010b0010110101010101010101010101010101010101010109000c0d01010b0007080101010101010101010101010101010101010101010101010101010101010101010101010109000c0d01010b000708010101010101010101010101010101010101ff0101131400000000000000000601010101010101010101010109000a010101011314000a010109000c0d0101010101010101010101010101010101010b0000000000000000000007080101010101011314000a010109000c0d010101010101010101010101010101010101000101020300070801011314000a01010101010101010101010109000a010101010105000006010b000006010101010101010101010101010101010101010101010101010101010101010101010101010105000006010b0000060101010101010101010101010101010101010001010e0f001011010102030004010101010101010101010101010101010101010101020300000012030401010101010101010101010101010101010101010101010101010101010101010101010101010102030000001203040101010101010101010101010101010101010001010109000c0d01010e0f001011010101010101010101010101010101010101010101010101010101010101010101010101010101010101010101010101010101010101010101010101010101010101010101010101010101010101010101010101010101010101010101000101010500000a0101010b000c0d01010101010101010101010101010101010101010101010101010101010101010101010101010101010101010101010101010101010101010101010101010101010101010101010101010101010101010101010101010101010101010109010101050000070801010900000a010101010101010101010101010101010101010101010101010101010101010101010101010101010101010101010101010101010101010101010101010101010101010101010101010101010101010101010101010101010101010101000101020300000004010500000000060101010101010101010101010101010101010101010101010101010101010101010101010101010101010101010101010101010101010101010101010101010101010101010101010101010101010101010101010101010101010101ff0101010101010101010101010101010101010101010101010101010101010101010101010101010101010101010101010101010101010101010101010101010101010101010101010101010101010101010101010101010101010101010101010101010101010101010101ff0101010101010101010101010101010101010101010101010101010101010101010101010101010101010101010101010101010101010101010101010101010101010101010101010101010101010101010101010101010101010101010101010101010101010101010101000101010101010101010101010101010101010101010101010101010101010101010101010101010101010101010101010101010101010101010101010101010101010101010101010101010101010101010101010101010101010101010101010101010101010101010101000101010101010101010101010101010101010101010101010101010101010101010101010101010101010101010101010101010101010101010101010101010101010101010101010101010101010101010101010101010101010101010101010101010101010101010101004c0000006400000000000000000000006a0000001b00000000000000000000006b0000001c0000002900aa0000000000000000000000803f00000000000000000000803f0000000000000000000000000000000000000000000000000000000000000000220000000c000000ffffffff460000001c00000010000000454d462b024000000c000000000000000e000000140000000000000010000000140000000400000003010800050000000b0200000000050000000c021c006b00030000001e00040000000701040004000000070104003b060000410b2000cc001c006b00000000001c006b0000000000280000006b0000001c0000000100080000000000000000000000000000000000190000000000000000000000ffffff00ceffff0000009400ce9a000094d3ff00ffd39400b56d0000ffffe7006bbae700e7ba6b00009ace006b000000ffebb500e7ffff00006db50094000000ffffce00b5ba6b00b5ebff0000006b006b6d6b00946db50094d3ce00949a9400010101010101010101010101010101010101010101010101010101010101010101010101010101010101010101010101010101010101010101010101010101010101010101010101010101010101010101010101010101010101010101010101010101010101010101010100010101010101010101010101010101010101010101010101010101010101010101010101010101010101010101010101010101010101010101010101010101010101010101010101010101010101010101010101010101010101010101010101010101010101010101010100010101010101010101010101010101010101010101010101010101010101010101010101010101010101010101010101010101010101010101010101010101010101010101010101010101010101010101010101010101010101010101010101010101010101010101010100010101010101010101010101010101010101010101010101010101010101010101010101010101010101010101010101010101010101010101010101010101010101010101010101010101010101010101010101010101010101010101010101010101010101010101010100010101010101010101010101010101010101010101010101010101010101010101010101010101010101010101090a010101010101010101010101010101010101010101010101010101010101010101010101010101010101010101011314040101010101010101010101000101010101010101010101010101010101010101010101010101010101010101010101010101010101010101010e0f0a0101010101010101010101010101010101010101010101010101010101010101010101010101010101010101010e0f10110101010101010101010100010101010101010101010101010101010101010101010101010101010101010101010101010101010101010101131404010101010101010101010101010101010101010101010101010101010101010101010101010101010101010101010b0c0d0101010101010101010143010101010101010101010101010101010e0f00000401010101010101010101010101010101010101010101020300101101010101010101010101010101010101010101010101010101010101010101010101010101010101010105000a010900060101010101010101010100010101010101010101010101010101010b0c0d05000a01010101010101010101010101010101010101010109000a01010101010101010101010101010101010101010101010101010101010101010101010101010101010101010203070813140a0101010101010101010100010101010101010101010101010101020307080203070801010101010101010101010101010101010101010500060101010101010101010101010101010101010101010101010101010101010101010101010101010101010101010b10110203070801010101010101010100010101010101010101010101010101131407080e0f101101010101010101010101010101010101010101010105000401010101010101010101010101010101010101010101010101010101010101010101010101010101010101010900040e0f10110101010101010101017c050000000006010b00000010110101131407080e0f0c0d010109000a01010101131400000a020300000a0101010500000a010101010101010101010101010101010101010101010101010101010101131400000a020300000a0e161700180a0b0c0d01010101010101010100010500000a0101010b000006010101131407080e0f0c0d010109000a0101010e0f000401091500101109060113140a010101010101010101010101010101010101010101010101010101010101010e0f0004010915001011090602030c0d0900101101010101010101010100011314000401010105000006010101020307080203101101010101010101010203000a01010b000c0d010101020304010101010101010101010101010101010101010101010101010101010101010203000a01010b000c0d0101010101010101010101010101010101010100010e0f000708010113140004010101010b0c0d05000401010101010101010102030004010113140006010101010e0f101101010101010101010101010b000000000000000000000708010101010102030004010113140006010101010101010101010101010101010101010001010b000c0d01010203000708010101010b000007080101010101010101010e0f000708010e0f0004010101010b0000000a010101010101010101010101010101010101010101010101010101010e0f000708010e0f000401010101010101010101010101010101010101000101090000060101010b0010110101010101010101010101010101010101010109000c0d01010b0007080101010101010101010101010101010101010101010101010101010101010101010101010109000c0d01010b000708010101010101010101010101010101010101ff0101131400000000000000000601010101010101010101010109000a010101011314000a010109000c0d0101010101010101010101010101010101010b0000000000000000000007080101010101011314000a010109000c0d010101010101010101010101010101010101000101020300070801011314000a01010101010101010101010109000a010101010105000006010b000006010101010101010101010101010101010101010101010101010101010101010101010101010105000006010b0000060101010101010101010101010101010101010001010e0f001011010102030004010101010101010101010101010101010101010101020300000012030401010101010101010101010101010101010101010101010101010101010101010101010101010102030000001203040101010101010101010101010101010101010001010109000c0d01010e0f001011010101010101010101010101010101010101010101010101010101010101010101010101010101010101010101010101010101010101010101010101010101010101010101010101010101010101010101010101010101010101010101000101010500000a0101010b000c0d01010101010101010101010101010101010101010101010101010101010101010101010101010101010101010101010101010101010101010101010101010101010101010101010101010101010101010101010101010101010101010109010101050000070801010900000a010101010101010101010101010101010101010101010101010101010101010101010101010101010101010101010101010101010101010101010101010101010101010101010101010101010101010101010101010101010101010101000101020300000004010500000000060101010101010101010101010101010101010101010101010101010101010101010101010101010101010101010101010101010101010101010101010101010101010101010101010101010101010101010101010101010101010101ff0101010101010101010101010101010101010101010101010101010101010101010101010101010101010101010101010101010101010101010101010101010101010101010101010101010101010101010101010101010101010101010101010101010101010101010101ff0101010101010101010101010101010101010101010101010101010101010101010101010101010101010101010101010101010101010101010101010101010101010101010101010101010101010101010101010101010101010101010101010101010101010101010101000101010101010101010101010101010101010101010101010101010101010101010101010101010101010101010101010101010101010101010101010101010101010101010101010101010101010101010101010101010101010101010101010101010101010101010101000101010101010101010101010101010101010101010101010101010101010101010101010101010101010101010101010101010101010101010101010101010101010101010101010101010101010101010101010101010101010101010101010101010101010101010101000c00000040092900aa000000000000001c006b0000000000040000002701ffff030000000000про рівність середніх значень параметрів загального аналізу крові для компенсованого, субкомпенсованого та декомпенсованого станів за кишкової непрохідності
У
термінах перевірки статистичних гіпотез
цю задачу можна сформулювати так. Маємо
реалізації двох незалежних вибірок 0100090000033a0c000000002c07000000002c07000026060f004e0e574d46430100000000000100bb6200000000010000002c0e0000000000002c0e0000010000006c0000000000000000000000580000001800000000000000000000001a0900008e02000020454d46000001002c0e00000c00000001000000000000000000000000000000900600001a040000b801000013010000000000000000000000000000c0b6060038320400460000002c00000020000000454d462b014001001c000000100000000210c0db01000000600000006000000046000000e0020000d4020000454d462b224004000c000000000000001e4009000c00000000000000244001000c000000000000003040020010000000040000000000803f214007000c00000000000000084000052c020000200200000210c0db01000000000000000000000000000000000000000100000089504e470d0a1a0a0000000d49484452000000590000001908030000006d8d72f10000000373424954050605330b8d80000000017352474200aece1ce9000000097048597300000ec400000ec401952b0e1b00000057504c544500000000006b000094006db5009ace6b00006b006b6b00946bbae794000094006b949a6b94d3ffb56d00b56d6bb5ebffb5ebe7ce9a00ce9a6bceffffe7ba6be7bab5ffd394ffebb5ffffceffffe7e7ebe7e7fffffffffff7d9fd64000001364944415448c7ed55cb42c4200ccc2aab54c12eb6d2a2fcff77cab3a491acdd839e36c7e974980c490bfeaf0aeecaffa66c1ea6de2306668bf0a3f23a00c04f1906668bf0531a33a81e9581d9daf3219e25fb16e44dba941f94ed69ec3119982dca87d405f4fa66e02b61ecf841d9e9ae0003b345f9e02d74f364603e0cca877510fdfb1037de1fe5836d3d18812da836a5e288651a1d2c67b95d0052a8f0fa321e9a924da62987e0b3e0a79f45dbd20d8e6f3d8d68794d70b79c1fbf8215997a4a78e53b7d1a0d84a7713682d97c1e5646b09fa5ff55b9f2df2f6faf6a799eca769b1c52558e2722d81298ff24457e5c455b3cd7768bf23aa85d0ae5bc06f35947be0d2d185976d0698166c3a86df445716c1582afac8ac8469c561f53de415597134f7b86d3a7f1d03266bed332dea6bcff07f7f50db3ebde3bb16a60af0000000049454e44ae426082000840010824000000180000000210c0db01000000030000000000000000000000000000001b40000040000000340000000100000002000000000000bf000000bf0000b2420000c84103000000000000b3000000b3ffffb142000000b3000000b3ffffc7412100000008000000620000000c00000001000000150000000c00000004000000150000000c0000000400000051000000e809000000000000000000005800000018000000000000000000000000000000000000005900000019000000500000009c000000ec000000fc080000000000002000cc00590000001900000028000000590000001900000001000800000000000000000000000000000000001d0000000000000000000000ffffff00009ace0094000000ffffce00ceffff00000094006bbae700ffd39400e7ba6b0094d3ff006b000000ffebb500e7ffff00006db500ce9a0000b5ebff0000006b006b009400e7ebe7006b006b00b56d0000ffffe7006b9ace00e7ebb5006b6db5006b9a940094006b00b5bae7000101010101010101010101010101010101010101010101010101010101010101010101010101010101010101010101010101010101010101010101010101010101010101010101010101010101010101010101010101010101ebffff01010101010101010101010101010101010101010101010101010101010101010101010101010101010101010101010101010101010101010101010101010101010101010101010101010101010101010101010101010101010000ff01010101010101010101010101010101010101010101010101010101010101010101010101010101010101010101010101010101010101010101010101010101010101010101010101010101010101010101010101010101010000ff01010d0e0801010101070000000009010101010101010101010d0e080101010506000000000801010101010101010101010101010101010101010101010101010101010101010101010d0e080101010d0e09010d0e000901010000ff0101010d0e0f0101010101020f010101010208010101010101010d0e0f0101010a0f01010a080101020801010101010101010101010101010101010101010101010101010101010101010d0e0f010101070f010d0e081c04010000ff0101010110140c01010101070f010101010506080101010101010110140c010101070f0101010101050608010101010101010101010101010101010101010101010101010101010101010110140c01010a03040102090101010000ff0101010102000801010101070f0101010101021516010101010101020008010101010a0f0101010101021516010101010101010101010101010101010101010101010101010101010101010200080101050609010a151601010000ff0101070000090101010101070f0101010101020304010101010700000901010101010107090101010102030401010101010200080110111516010700090101010506030401010101010700000901011718191a08101b0401010000ff0d0e000f01010101011301070f010101010102030401010d0e000f010101010101010110140c0101010203040101010101020008011011151601070009010101050603040101010d0e000f010101010d0e0b0c0200151601010000ff1011090101010101010700000f01010101010101010101101109010101010105120c010a0b0c0101010101010101010101010101010101010101010101010101010101010101011011090101010101010101010101010101010000ff0a00080101010101010101020f010101010101010101010a0008010101010101050600000f010101010101010101010101010101010101010101010101010101010101010101010a00080101010101010101010101010101010000ff05060f010101010101010101010101010101010101010105060f01010101010101010101010101010101010101010101010101010101010101010101010101010101010101010105060f010101010101010101010101010101ffffff010a000901010101010101010101010101010101010101010a00090101010101010101010101010101010101010101010101010101010101010101010101010101010101010101010a00090101010101010101010101010101ffffff01010d0e0008010101010101010101010101010101010101010d0e000801010101010101010101010101010101010101010101010101010101010101010101010101010101010101010d0e00080101010101010101010101011008010101010700000008010101010101010101010101010101010101070000000801010101010101010101010101010101010101010101010101010101010101010101010101010101010101070000000801010101010101010101ffffff01010a0b0c01010101010101010101010101010101010101010a0b0c0101010101010101010101010101010101010101010101010101010101010101010101010101010101010101010a0b0c010101010101010101010101010000ff01010506090101010101010101010101010101010101010101050609010101010101010101010101010101010101010101010101010101010101010101010101010101010101010101050609010101010101010101010101010000ff01010101070008010101010101010101010101010101010101010107000801010101010101010101010101010101010101010101010101010101010101010101010101010101010101010107000801010101010101010101010000ff01010105060000000304010101010101010101010101010101010506000000030401010101010101010101010101010101010101010101010101010101010101010101010101010101010506000000030401010101010101010000ff01010102030401010101010101010101010101010101010101010203040101010101010101010101010101010101010101010101010101010101010101010101010101010101010101010203040101010101010101010101010000ff01010101010101010101010101010101010101010101010101010101010101010101010101010101010101010101010101010101010101010101010101010101010101010101010101010101010101010101010101010101010000ff01010101010101010101010101010101010101010101010101010101010101010101010101010101010101010101010101010101010101010101010101010101010101010101010101010101010101010101010101010101010000ff01010101010101010101010101010101010101010101010101010101010101010101010101010101010101010101010101010101010101010101010101010101010101010101010101010101010101010101010101010101010000ff01010101010101010101010101010101010101010101010101010101010101010101010101010101010101010101010101010101010101010101010101010101010101010101010101010101010101010101010101010101010000ff01010101010101010101010101010101010101010101010101010101010101010101010101010101010101010101010101010101010101010101010101010101010101010101010101010101010101010101010101010101010000ff4c0000006400000000000000000000005800000018000000000000000000000059000000190000002900aa0000000000000000000000803f00000000000000000000803f0000000000000000000000000000000000000000000000000000000000000000220000000c000000ffffffff460000001c00000010000000454d462b024000000c000000000000000e000000140000000000000010000000140000000400000003010800050000000b0200000000050000000c0219005900030000001e0004000000070104000400000007010400d9040000410b2000cc001900590000000000190059000000000028000000590000001900000001000800000000000000000000000000000000001d0000000000000000000000ffffff00009ace0094000000ffffce00ceffff00000094006bbae700ffd39400e7ba6b0094d3ff006b000000ffebb500e7ffff00006db500ce9a0000b5ebff0000006b006b009400e7ebe7006b006b00b56d0000ffffe7006b9ace00e7ebb5006b6db5006b9a940094006b00b5bae7000101010101010101010101010101010101010101010101010101010101010101010101010101010101010101010101010101010101010101010101010101010101010101010101010101010101010101010101010101010101ebffff01010101010101010101010101010101010101010101010101010101010101010101010101010101010101010101010101010101010101010101010101010101010101010101010101010101010101010101010101010101010000ff01010101010101010101010101010101010101010101010101010101010101010101010101010101010101010101010101010101010101010101010101010101010101010101010101010101010101010101010101010101010000ff01010d0e0801010101070000000009010101010101010101010d0e080101010506000000000801010101010101010101010101010101010101010101010101010101010101010101010d0e080101010d0e09010d0e000901010000ff0101010d0e0f0101010101020f010101010208010101010101010d0e0f0101010a0f01010a080101020801010101010101010101010101010101010101010101010101010101010101010d0e0f010101070f010d0e081c04010000ff0101010110140c01010101070f010101010506080101010101010110140c010101070f0101010101050608010101010101010101010101010101010101010101010101010101010101010110140c01010a03040102090101010000ff0101010102000801010101070f0101010101021516010101010101020008010101010a0f0101010101021516010101010101010101010101010101010101010101010101010101010101010200080101050609010a151601010000ff0101070000090101010101070f0101010101020304010101010700000901010101010107090101010102030401010101010200080110111516010700090101010506030401010101010700000901011718191a08101b0401010000ff0d0e000f01010101011301070f010101010102030401010d0e000f010101010101010110140c0101010203040101010101020008011011151601070009010101050603040101010d0e000f010101010d0e0b0c0200151601010000ff1011090101010101010700000f01010101010101010101101109010101010105120c010a0b0c0101010101010101010101010101010101010101010101010101010101010101011011090101010101010101010101010101010000ff0a00080101010101010101020f010101010101010101010a0008010101010101050600000f010101010101010101010101010101010101010101010101010101010101010101010a00080101010101010101010101010101010000ff05060f010101010101010101010101010101010101010105060f01010101010101010101010101010101010101010101010101010101010101010101010101010101010101010105060f010101010101010101010101010101ffffff010a000901010101010101010101010101010101010101010a00090101010101010101010101010101010101010101010101010101010101010101010101010101010101010101010a00090101010101010101010101010101ffffff01010d0e0008010101010101010101010101010101010101010d0e000801010101010101010101010101010101010101010101010101010101010101010101010101010101010101010d0e00080101010101010101010101011008010101010700000008010101010101010101010101010101010101070000000801010101010101010101010101010101010101010101010101010101010101010101010101010101010101070000000801010101010101010101ffffff01010a0b0c01010101010101010101010101010101010101010a0b0c0101010101010101010101010101010101010101010101010101010101010101010101010101010101010101010a0b0c010101010101010101010101010000ff01010506090101010101010101010101010101010101010101050609010101010101010101010101010101010101010101010101010101010101010101010101010101010101010101050609010101010101010101010101010000ff01010101070008010101010101010101010101010101010101010107000801010101010101010101010101010101010101010101010101010101010101010101010101010101010101010107000801010101010101010101010000ff01010105060000000304010101010101010101010101010101010506000000030401010101010101010101010101010101010101010101010101010101010101010101010101010101010506000000030401010101010101010000ff01010102030401010101010101010101010101010101010101010203040101010101010101010101010101010101010101010101010101010101010101010101010101010101010101010203040101010101010101010101010000ff01010101010101010101010101010101010101010101010101010101010101010101010101010101010101010101010101010101010101010101010101010101010101010101010101010101010101010101010101010101010000ff01010101010101010101010101010101010101010101010101010101010101010101010101010101010101010101010101010101010101010101010101010101010101010101010101010101010101010101010101010101010000ff01010101010101010101010101010101010101010101010101010101010101010101010101010101010101010101010101010101010101010101010101010101010101010101010101010101010101010101010101010101010000ff01010101010101010101010101010101010101010101010101010101010101010101010101010101010101010101010101010101010101010101010101010101010101010101010101010101010101010101010101010101010000ff01010101010101010101010101010101010101010101010101010101010101010101010101010101010101010101010101010101010101010101010101010101010101010101010101010101010101010101010101010101010000ff0c00000040092900aa000000000000001900590000000000040000002701ffff030000000000
значень параметра крові для компенсованого
стану та 010009000003960c000000005407000000005407000026060f009e0e574d46430100000000000100fd0600000000010000007c0e0000000000007c0e0000010000006c00000000000000000000005c000000180000000000000000000000830900008e02000020454d46000001007c0e00000c00000001000000000000000000000000000000900600001a040000b801000013010000000000000000000000000000c0b6060038320400460000002c00000020000000454d462b014001001c000000100000000210c0db01000000600000006000000046000000c8020000bc020000454d462b224004000c000000000000001e4009000c00000000000000244001000c000000000000003040020010000000040000000000803f214007000c000000000000000840000514020000080200000210c0db01000000000000000000000000000000000000000100000089504e470d0a1a0a0000000d494844520000005d0000001908030000006466d28b0000000373424954050605330b8d80000000017352474200aece1ce9000000097048597300000ec400000ec401952b0e1b0000005a504c544500000000006b000094006db5009ace6b00006b00946bbae794000094006b94d3ffb56d00b56d6bb59ab5b5ebffb5ebe7ce9a00ce9a6bceba6bceffffceffe7e7ba6bffd394ffebb5ffffcee7ffceffffe7e7ffffe7ebe7ffffff6918e7a50000011b4944415448c7ed94db1682201045c75b189459869ac6ffff660378419af1ada79c07d7d27d3c301700f3cb80c3fd70ff27f741416e5a0011131650c188e152e9ec919b3a6d223d074873468c95a9ed8a94090ba820c5804965237eb78f385b06d0a5a1c460ba0217edcbfceb071650418bc1b44965a174e98594055484e2d05ddb5a39a80142131650b18aa3897405b3f06db437716f1470dd93b84744da8f9f6fe42a1e5452d590bd4abb2170b51a94ff3b74a700ebbe8aef3705b22bd246a3c69fd5be141bf7a5f511a026711d132fee4b695a5c528bf92698dbe14d2c5f4641eebb07da49dcdabc724c44ceee7a3a057e346ab96dd6decc04da493c3977a7e77584203d1c8df8a660015ba44109d39f2b4c0a07e8b8dfb9f8001eeeef38d090598b0000000049454e44ae426082000840010824000000180000000210c0db01000000030000000000000000000000000000001b40000040000000340000000100000002000000000000bf000000bf0000ba420000c84103000000000000b3000000b3ffffb942000000b3000000b3ffffc7412100000008000000620000000c00000001000000150000000c00000004000000150000000c0000000400000051000000500a000000000000000000005c00000018000000000000000000000000000000000000005d0000001900000050000000a0000000f000000060090000000000002000cc005d00000019000000280000005d0000001900000001000800000000000000000000000000000000001e0000000000000000000000ffffff00e7ffff00006db500ce9a000094d3ff00e7ba6b006b6db500ffebb5006bbae700b56d00006bbace00009ace0094000000ffffce00ffffe700b5ebff0000006b00ceffff00000094006b000000ffd39400e7ebe700ceffe7006b9ace00e7ebb50094006b00e7ffce00b59ab5006b00940001010101010101010101010101010101010101010101010101010101010101010101010101010101010101010101010101010101010101010101010101010101010101010101010101010101010101010101010101010101010101010101010101010101010101010101010101010101010101010101010101010101010101010101010101010101010101010101010101010101010101010101010101010101010101010101010101010101010101010101010101010101010101010101010101010101010101010101010101010101010101010101010101010101010101010101010101010101010101010101010101010101010101010101010101010101010101010101010101010101010101010101010101010101010101010107000001010101010c0a0f010101090000000006010101010101010101010101010c0a0f0101010900000000060101010101010101010101010101010101010101010101010101010101010101010c0a0f010102030601121d080112131408010101010101010101090d0e01010101010c04010101010c15010101010101010101090d0e01010101010c0401010101010101010101010101010101010101010101010c1501010101010101010101090d0e01010109040102031501101a1b1c0f050608010101010110111501010101010904010101011213150101010101010101101115010101010109040101010101010101010101010101010101010101010101121315010101010101010101101115010101050a0f01090401020315010101010101010101011213060101010101090401010101010c0a0f01010101010101121306010101010109040101010101010101010101010101010101010101010101010c0a0f010101010101010112130601010112131501050d0e010906010107000012130401010203040101010101090401010101010c0d0e010112130401010203040101010101090401010101010101010c00150110110a0f01090006010101010c0d0e01010112130401010203040101181903001510110d0e090a0f0101010102030a0f01010c0d0e01011601090401010101010c0d0e010102030a0f01010c0d0e01011601090401010101010101010c00150110110a0f01090006010101010c0d0e01010102030a0f01010c0d0e01020314080c000a1713000401010c010a01090d0e01010514080101090000040101010101010101010101090d0e010105140801010900000401010101010101010101010101010101010101010101010101010101010101090d0e01010514080101010101010101010101010101010101010514080101101115010101010c0401010101010101010101010514080101101115010101010c0401010101010101010101010101010101010101010101010101010101010101051408010110111501010101010101010101010101010101010110110601011213040101010101010101010101010101010101101106010112130401010101010101010101010101010101010101010101010101010101010101010101010101101106010112130401010101010101010101010101010101010102030a0f01010c0a0f0101010101010101010101010101010102030a0f01010c0a0f01010101010101010101010101010101010101010101010101010101010101010101010102030a0f01010c0a0f0101010101010101010101010101010101010c000601010c0d0e01010101010101010101010101010101010c000601010c0d0e010101010101010101010101010101010101010101010101010101010101010101010101010c000601010c0d0e010101010101010101010101010101010708090a0b04010c0d0e0101010101010101010101010101020708090a0b04010c0d0e01010101010101010101010101010101010101010101010101010101010101010101020708090a0b04010c0d0e010101010101010101010101010101010203000401050000060101010101010101010101010101010102030004010500000601010101010101010101010101010101010101010101010101010101010101010101010102030004010500000601010101010101010101010101010101010101010101010101010101010101010101010101010101010101010101010101010101010101010101010101010101010101010101010101010101010101010101010101010101010101010101010101010101010101010101010101010101010101010101010101010101010101010101010101010101010101010101010101010101010101010101010101010101010101010101010101010101010101010101010101010101010101010101010101010101010101010101010101010101010101010101010101010101010101010101010101010101010101010101010101010101010101010101010101010101010101010101010101010101010101010101010101010101010101010101010101010101010101010101010101010102030101010101010101010101010101010101010101010101010101010101010101010101010101010101010101010101010101010101010101010101010101010101010101010101010101010101010101010101010101010101010101010101010101010101010101010101010101010101010101010101010101010101010101010101010101010101010101010101010101010101010101010101010101010101010101010101010101010101010101010101010101010101010101010101010101010101010101010101010101010101010101010101010101010101010101010101010101010101010101010101010101010101010101010101010101010101010101010101010101010101010101010101010101010101010101010101010101010101010101010101010101010101010101010101010101010101010101010101010101010101010101010101010101010101010101010101010101010101010101010101010101010101010101010101010101010101010101010000ff0101010101010101010101010101010101010101010101010101010101010101010101010101010101010101010101010101010101010101010101010101010101010101010101010101010101010101010101010101010101010101010000ff0101010101010101010101010101010101010101010101010101010101010101010101010101010101010101010101010101010101010101010101010101010101010101010101010101010101010101010101010101010101010101010600004c0000006400000000000000000000005c0000001800000000000000000000005d000000190000002900aa0000000000000000000000803f00000000000000000000803f0000000000000000000000000000000000000000000000000000000000000000220000000c000000ffffffff460000001c00000010000000454d462b024000000c000000000000000e000000140000000000000010000000140000000400000003010800050000000b0200000000050000000c0219005d00030000001e00040000000701040004000000070104000d050000410b2000cc0019005d000000000019005d0000000000280000005d0000001900000001000800000000000000000000000000000000001e0000000000000000000000ffffff00e7ffff00006db500ce9a000094d3ff00e7ba6b006b6db500ffebb5006bbae700b56d00006bbace00009ace0094000000ffffce00ffffe700b5ebff0000006b00ceffff00000094006b000000ffd39400e7ebe700ceffe7006b9ace00e7ebb50094006b00e7ffce00b59ab5006b00940001010101010101010101010101010101010101010101010101010101010101010101010101010101010101010101010101010101010101010101010101010101010101010101010101010101010101010101010101010101010101010101010101010101010101010101010101010101010101010101010101010101010101010101010101010101010101010101010101010101010101010101010101010101010101010101010101010101010101010101010101010101010101010101010101010101010101010101010101010101010101010101010101010101010101010101010101010101010101010101010101010101010101010101010101010101010101010101010101010101010101010101010101010101010101010107000001010101010c0a0f010101090000000006010101010101010101010101010c0a0f0101010900000000060101010101010101010101010101010101010101010101010101010101010101010c0a0f010102030601121d080112131408010101010101010101090d0e01010101010c04010101010c15010101010101010101090d0e01010101010c0401010101010101010101010101010101010101010101010c1501010101010101010101090d0e01010109040102031501101a1b1c0f050608010101010110111501010101010904010101011213150101010101010101101115010101010109040101010101010101010101010101010101010101010101121315010101010101010101101115010101050a0f01090401020315010101010101010101011213060101010101090401010101010c0a0f01010101010101121306010101010109040101010101010101010101010101010101010101010101010c0a0f010101010101010112130601010112131501050d0e010906010107000012130401010203040101010101090401010101010c0d0e010112130401010203040101010101090401010101010101010c00150110110a0f01090006010101010c0d0e01010112130401010203040101181903001510110d0e090a0f0101010102030a0f01010c0d0e01011601090401010101010c0d0e010102030a0f01010c0d0e01011601090401010101010101010c00150110110a0f01090006010101010c0d0e01010102030a0f01010c0d0e01020314080c000a1713000401010c010a01090d0e01010514080101090000040101010101010101010101090d0e010105140801010900000401010101010101010101010101010101010101010101010101010101010101090d0e01010514080101010101010101010101010101010101010514080101101115010101010c0401010101010101010101010514080101101115010101010c0401010101010101010101010101010101010101010101010101010101010101051408010110111501010101010101010101010101010101010110110601011213040101010101010101010101010101010101101106010112130401010101010101010101010101010101010101010101010101010101010101010101010101101106010112130401010101010101010101010101010101010102030a0f01010c0a0f0101010101010101010101010101010102030a0f01010c0a0f01010101010101010101010101010101010101010101010101010101010101010101010102030a0f01010c0a0f0101010101010101010101010101010101010c000601010c0d0e01010101010101010101010101010101010c000601010c0d0e010101010101010101010101010101010101010101010101010101010101010101010101010c000601010c0d0e010101010101010101010101010101010708090a0b04010c0d0e0101010101010101010101010101020708090a0b04010c0d0e01010101010101010101010101010101010101010101010101010101010101010101020708090a0b04010c0d0e010101010101010101010101010101010203000401050000060101010101010101010101010101010102030004010500000601010101010101010101010101010101010101010101010101010101010101010101010102030004010500000601010101010101010101010101010101010101010101010101010101010101010101010101010101010101010101010101010101010101010101010101010101010101010101010101010101010101010101010101010101010101010101010101010101010101010101010101010101010101010101010101010101010101010101010101010101010101010101010101010101010101010101010101010101010101010101010101010101010101010101010101010101010101010101010101010101010101010101010101010101010101010101010101010101010101010101010101010101010101010101010101010101010101010101010101010101010101010101010101010101010101010101010101010101010101010101010101010101010101010101010101010102030101010101010101010101010101010101010101010101010101010101010101010101010101010101010101010101010101010101010101010101010101010101010101010101010101010101010101010101010101010101010101010101010101010101010101010101010101010101010101010101010101010101010101010101010101010101010101010101010101010101010101010101010101010101010101010101010101010101010101010101010101010101010101010101010101010101010101010101010101010101010101010101010101010101010101010101010101010101010101010101010101010101010101010101010101010101010101010101010101010101010101010101010101010101010101010101010101010101010101010101010101010101010101010101010101010101010101010101010101010101010101010101010101010101010101010101010101010101010101010101010101010101010101010101010101010101010101010000ff0101010101010101010101010101010101010101010101010101010101010101010101010101010101010101010101010101010101010101010101010101010101010101010101010101010101010101010101010101010101010101010000ff0101010101010101010101010101010101010101010101010101010101010101010101010101010101010101010101010101010101010101010101010101010101010101010101010101010101010101010101010101010101010101010600000c00000040092900aa0000000000000019005d0000000000040000002701ffff030000000000
значень параметра крові для субкомпенсованого
станів з розподілом
та 010009000003460900000000ac0500000000ac05000026060f004e0b574d4643010000000000010022a900000000010000002c0b0000000000002c0b0000010000006c00000000000000000000002d0000001f0000000000000000000000b40400004503000020454d46000001002c0b00000c00000001000000000000000000000000000000900600001a040000b801000013010000000000000000000000000000c0b6060038320400460000002c00000020000000454d462b014001001c000000100000000210c0db01000000600000006000000046000000c8020000bc020000454d462b224004000c000000000000001e4009000c00000000000000244001000c000000000000003040020010000000040000000000803f214007000c000000000000000840000514020000080200000210c0db01000000000000000000000000000000000000000100000089504e470d0a1a0a0000000d494844520000002e0000002008030000005a6dba750000000373424954050605330b8d80000000017352474200aece1ce9000000097048597300000ec400000ec401952b0e1b00000066504c544500000000006b000094006db5009a94009ace6b00006b006b6b00946b6db56b9ace6bbae794000094006b940094949a0094bae794d3ffb56d00b5baceb5ebceb5ebffce9a00ceffceceffffceffe7e7ba6be7bab5ffd394ffebb5ffffceffffe7e7ffffffffff0412575a0000010e4944415438cbcd94d15ac3200c8553266e0e74b6b3b456a0e3fd5fd21cf8b6cf3aaae9ddb8686ffe907392104a9b0e3d181e9e498d29cd1d512bb9dd172e5a2312e39face65fd8f7227c320e6afcee22c1e7aef550336991d5f8da47563377465699974b62351c25c22182d584c328c29d4111b5c429e3458453278174c68b082f6869c627d49cd5347d89ca13b18a4f4459b4c3d7734cbdfcd1e67b1613c90d2bce2bf8db88c62c704ccd7af939e20e9f3bf579aed2b924bfc450f3c19ea35583bd560aaac96000c37bfd357d0d568dec01e9d97d38de82682d316c330e2b3fc6a38e7b9d6f4e65febcfa0777592b42721efdf7268010740b19b88d5ab0381cde572bdd332bdd7ab4a5b7e57c03f79cadced5098b2d0000000049454e44ae42608200000840010824000000180000000210c0db01000000030000000000000000000000000000001b40000040000000340000000100000002000000000000bf000000bf000038420000004203000000000080b3000080b3ffff3742000080b3000080b3ffffff412100000008000000620000000c00000001000000150000000c00000004000000150000000c00000004000000510000000007000000000000000000002d0000001f000000000000000000000000000000000000002e0000002000000050000000b00000000001000000060000000000002000cc002e00000020000000280000002e000000200000000100080000000000000000000000000000000000220000000000000000000000ffffff00b5ebff0000006b0094000000ffffce00e7ffff00006db500ffd3940094d3ff00ceffff0000009400e7ba6b00949a0000ce9a00006b006b00ffebb5006bbae700009ace00b56d0000ffffe7006b009400b56d6b0094006b00009a94006b00000094009400e7ffce00cebab500ceebb500ceffce00e7ba9400b5bae700ce9a6b0001010101010101010101010101010101010101010101010101010101010101010101010101010101010101010101010101010101010101010101010101010101010101010101010101010101010101010101010101010101010101010101010101010101010101010101010101010101010101010101010101010101010101010101010101010101010101010101010101010101010101010101010101010101010101010101010101010101010101010101010101010101010101010101011101010101010101010101010101010101010101010101010a151001010101010101010101010101010101010101010217010101010101010101010101010101010101010101010101120801011108010101010101010101010101010101010216010101010101010101010101010101010101010106070801110e01010a1a05011100000e010101010101010101010a15010101010101010101010101010101010101010101120c01091314010a1a0502170506070e0101010101010101010109010101010101010101010101010101010101010101090e010a1a05010101010216140109040501010101010101010101010101010101010101010101010101010101010101021705060708010a1a050a151001021705010101010101010101010101010101010101010101010101010101010101201e0b0405120c010a1a0501091910022101010a0b0000000c010101010101010101010101010101060700191d0b19100a0b041e0b00080101010101010a0b0000000c01091314021f010101010101010101010101010101020f100607041b1c01010101010101010101010101010101010101010102170501010101010101010101010101010101020f10010a151001010101010101010101010101010101010101010101010a1a050101010101010101010101010101010607080101120c01010101010101010101010101010101010101010a1a0506070c0101011100001314010101121314010109191001110e01010101010101010101010101010101010101010a0b00000405010101011104050101010a0b191001010109000000040501010101010101010101010101010101010101010101010101010101010217050101010900000801010101010101010101010101010101010101010101010101010101010101010101010101010a15100101011204180c010101010101010101010101010101010101010101010101010101010101010101010101010101120c01010a0b0e0913140101010101010101010101010101010101010101010101010101010101010101010101010101110e01010900080217050101010101010101010101010101010101010101010101010101010101010101010101010101021614011204050a151001010101010101010101010101010101010101010101010101010101010101010101010101010a15100a0b0e0106070c01010101010101010101010101010101010101010101010101010101010101010101010101010607080900080101110e010101010101010101010101010101010101010101010101010101010101010101016bff010101110c1204050101091314010101010101010101010101010101010101010101010101010101010101010101b5ff010101090d0b0e010101020f10010101010101010101010101010101010101010101010101010101010101010101ffff010101090000080101010a0b0c01010101010101010101010101010101010101010101010101010101010101010100ff0101020300040501010607000008010101010101010101010101010101010101010101010101010101010101010100ff0101010101010101010101010101010101010101010101010101010101010101010101010101010101010101010100ff0101010101010101010101010101010101010101010101010101010101010101010101010101010101010101010100ff0101010101010101010101010101010101010101010101010101010101010101010101010101010101010101010100ff0101010101010101010101010101010101010101010101010101010101010101010101010101010101010101010100ff4c0000006400000000000000000000002d0000001f00000000000000000000002e000000200000002900aa0000000000000000000000803f00000000000000000000803f0000000000000000000000000000000000000000000000000000000000000000220000000c000000ffffffff460000001c00000010000000454d462b024000000c000000000000000e000000140000000000000010000000140000000400000003010800050000000b0200000000050000000c0220002e00030000001e000400000007010400040000000701040065030000410b2000cc0020002e000000000020002e0000000000280000002e000000200000000100080000000000000000000000000000000000220000000000000000000000ffffff00b5ebff0000006b0094000000ffffce00e7ffff00006db500ffd3940094d3ff00ceffff0000009400e7ba6b00949a0000ce9a00006b006b00ffebb5006bbae700009ace00b56d0000ffffe7006b009400b56d6b0094006b00009a94006b00000094009400e7ffce00cebab500ceebb500ceffce00e7ba9400b5bae700ce9a6b0001010101010101010101010101010101010101010101010101010101010101010101010101010101010101010101010101010101010101010101010101010101010101010101010101010101010101010101010101010101010101010101010101010101010101010101010101010101010101010101010101010101010101010101010101010101010101010101010101010101010101010101010101010101010101010101010101010101010101010101010101010101010101010101011101010101010101010101010101010101010101010101010a151001010101010101010101010101010101010101010217010101010101010101010101010101010101010101010101120801011108010101010101010101010101010101010216010101010101010101010101010101010101010106070801110e01010a1a05011100000e010101010101010101010a15010101010101010101010101010101010101010101120c01091314010a1a0502170506070e0101010101010101010109010101010101010101010101010101010101010101090e010a1a05010101010216140109040501010101010101010101010101010101010101010101010101010101010101021705060708010a1a050a151001021705010101010101010101010101010101010101010101010101010101010101201e0b0405120c010a1a0501091910022101010a0b0000000c010101010101010101010101010101060700191d0b19100a0b041e0b00080101010101010a0b0000000c01091314021f010101010101010101010101010101020f100607041b1c01010101010101010101010101010101010101010102170501010101010101010101010101010101020f10010a151001010101010101010101010101010101010101010101010a1a050101010101010101010101010101010607080101120c01010101010101010101010101010101010101010a1a0506070c0101011100001314010101121314010109191001110e01010101010101010101010101010101010101010a0b00000405010101011104050101010a0b191001010109000000040501010101010101010101010101010101010101010101010101010101010217050101010900000801010101010101010101010101010101010101010101010101010101010101010101010101010a15100101011204180c010101010101010101010101010101010101010101010101010101010101010101010101010101120c01010a0b0e0913140101010101010101010101010101010101010101010101010101010101010101010101010101110e01010900080217050101010101010101010101010101010101010101010101010101010101010101010101010101021614011204050a151001010101010101010101010101010101010101010101010101010101010101010101010101010a15100a0b0e0106070c01010101010101010101010101010101010101010101010101010101010101010101010101010607080900080101110e010101010101010101010101010101010101010101010101010101010101010101016bff010101110c1204050101091314010101010101010101010101010101010101010101010101010101010101010101b5ff010101090d0b0e010101020f10010101010101010101010101010101010101010101010101010101010101010101ffff010101090000080101010a0b0c01010101010101010101010101010101010101010101010101010101010101010100ff0101020300040501010607000008010101010101010101010101010101010101010101010101010101010101010100ff0101010101010101010101010101010101010101010101010101010101010101010101010101010101010101010100ff0101010101010101010101010101010101010101010101010101010101010101010101010101010101010101010100ff0101010101010101010101010101010101010101010101010101010101010101010101010101010101010101010100ff0101010101010101010101010101010101010101010101010101010101010101010101010101010101010101010100ff0c00000040092900aa0000000000000020002e0000000000040000002701ffff030000000000
відповідно. Відносно параметрів 010009000003f604000000005a03000000005a03000026060f00aa06574d4643010000000000010053a80000000001000000880600000000000088060000010000006c0000000000000000000000120000001b0000000000000000000000f1010000dc02000020454d4600000100880600000c00000001000000000000000000000000000000900600001a040000b801000013010000000000000000000000000000c0b6060038320400460000002c00000020000000454d462b014001001c000000100000000210c0db010000006000000060000000460000002002000014020000454d462b224004000c000000000000001e4009000c00000000000000244001000c000000000000003040020010000000040000000000803f214007000c00000000000000084000056c010000600100000210c0db01000000000000000000000000000000000000000100000089504e470d0a1a0a0000000d49484452000000130000001c0803000000b4d8742b0000000373424954050605330b8d80000000017352474200aece1ce9000000097048597300000ec400000ec401952b0e1b00000045504c544500000000006b000094006db5009ace6b00006b00946bbae7940000946db594d3ffb56d00b59a00b5ebffce9a00ceffffe7ba6bffd394ffebb5ffffceffffe7e7ffffffffff26ade924000000894944415428cfcd914b0ec3200c44a7019a14da609bcffd8fdae0a4128575a5b2b1f43c9ec1803a1ffc191307acbbef1963ad39dc5e1d13678fba9bd2316a8a1c5aa392769043abe2d42e07c014a4ad29e8b2538b93895ba2ca54adb3e9f134e5b84cdafc27174b64c09f7e76d883e1c7dde41ea77df90aff9a2568fcf02ed4e0c0d84e3ab2bff88f37dcaa28de6f78a7630000000049454e44ae4260820840010824000000180000000210c0db01000000030000000000000000000000000000001b40000040000000340000000100000002000000000000bf000000bf000098410000e04103000000000000b3000000b3ffff9741000000b3000000b3ffffdf412100000008000000620000000c00000001000000150000000c00000004000000150000000c0000000400000051000000040300000000000000000000120000001b00000000000000000000000000000000000000130000001c0000005000000084000000d400000030020000000000002000cc00130000001c00000028000000130000001c0000000100080000000000000000000000000000000000170000000000000000000000ffffff00b5ebff0000006b00e7ba6b00009ace00ffd3940094d3ff00e7ffff00006db5006b000000ffebb500ce9a0000b56d0000ffffe7006bbae700ceffff000000940094000000ffffce00b56d9400009ab50094006b0001010101010101010101010101010101010101ff01010101010101010101010101010101010101ff01010101010101010101010101010101010101ff01010101010101010101010101010101010101ff010101010101010101010101010f0c01010101ff0101010101010101010101010101070c010101ff01010101010101010101010101010f12130101ff0101010101010101010101010f001213010101ff0101010101010101010101070a0b0101010101ff01010101010101010101010216130101010101ff01010101010101010101010107000601010101ff010203001213070000060101010809000c0101ff08090d0e1014150d0e05060110110601010101ff10110c01010203121301010108090601010101ff10110c0101010f0a0b0101010101050d0e01014408090d0e010102030601010101080900000d0e43010f0a0b010108090c010101010f0d0e010101440102030c010101050d0e0101010101010101014301010700040108090a0b010101010101010101010101010203000004050601010101010101010101010101010101010101010101010101010101010101010101010101010101010101010101010101010101010101010101010101010101010101010101010101010101010101010101010101010101010101010101010101010101010101010101010101010101010101010101010101010101010101010101010101010101010101010101010101010101010101010101010101010101010101010101010101014c000000640000000000000000000000120000001b0000000000000000000000130000001c0000002900aa0000000000000000000000803f00000000000000000000803f0000000000000000000000000000000000000000000000000000000000000000220000000c000000ffffffff460000001c00000010000000454d462b024000000c000000000000000e000000140000000000000010000000140000000400000003010800050000000b0200000000050000000c021c001300030000001e000400000007010400040000000701040067010000410b2000cc001c001300000000001c0013000000000028000000130000001c0000000100080000000000000000000000000000000000170000000000000000000000ffffff00b5ebff0000006b00e7ba6b00009ace00ffd3940094d3ff00e7ffff00006db5006b000000ffebb500ce9a0000b56d0000ffffe7006bbae700ceffff000000940094000000ffffce00b56d9400009ab50094006b0001010101010101010101010101010101010101ff01010101010101010101010101010101010101ff01010101010101010101010101010101010101ff01010101010101010101010101010101010101ff010101010101010101010101010f0c01010101ff0101010101010101010101010101070c010101ff01010101010101010101010101010f12130101ff0101010101010101010101010f001213010101ff0101010101010101010101070a0b0101010101ff01010101010101010101010216130101010101ff01010101010101010101010107000601010101ff010203001213070000060101010809000c0101ff08090d0e1014150d0e05060110110601010101ff10110c01010203121301010108090601010101ff10110c0101010f0a0b0101010101050d0e01014408090d0e010102030601010101080900000d0e43010f0a0b010108090c010101010f0d0e010101440102030c010101050d0e0101010101010101014301010700040108090a0b010101010101010101010101010203000004050601010101010101010101010101010101010101010101010101010101010101010101010101010101010101010101010101010101010101010101010101010101010101010101010101010101010101010101010101010101010101010101010101010101010101010101010101010101010101010101010101010101010101010101010101010101010101010101010101010101010101010101010101010101010101010101010101010c00000040092900aa000000000000001c00130000000000040000002701ffff030000000000
і 0100090000030e05000000006a03000000006a03000026060f00ca06574d46430100000000000100daa00000000001000000a806000000000000a8060000010000006c0000000000000000000000130000001b00000000000000000000000b020000dc02000020454d4600000100a80600000c00000001000000000000000000000000000000900600001a040000b801000013010000000000000000000000000000c0b6060038320400460000002c00000020000000454d462b014001001c000000100000000210c0db010000006000000060000000460000003002000024020000454d462b224004000c000000000000001e4009000c00000000000000244001000c000000000000003040020010000000040000000000803f214007000c00000000000000084000057c010000700100000210c0db01000000000000000000000000000000000000000100000089504e470d0a1a0a0000000d49484452000000140000001c080300000056046f520000000373424954050605330b8d80000000017352474200aece1ce9000000097048597300000ec400000ec401952b0e1b00000051504c544500000000006b000094006db5009ace6b00006b6d006bbae794000094006b946db594d3ffb56d00b56d6bb59a00b5ebffce9a00ceffffceffe7e7ba6be7bab5ffd394ffebb5ffffceffffe7e7ffffffffff21279c390000008b4944415428cfcd91cd0ec2201084570ab6ba6841e4a7bcff83ca180f4bf1daa47b21f9323b9359a8fe193a274c866876dcc148732df6b24a988c6eaf9b36090334c56ae9592c34c9b08479812648cb1f4c46f9fd7abe3fa7cd715e9477d4dc904eca4722aeefd7e3cab1ed748d1017bf4a310041efba3b54e31e02e4db3a5e09390384e5009bed317ff401125b3312a369c9900000000049454e44ae42608200000840010824000000180000000210c0db01000000030000000000000000000000000000001b40000040000000340000000100000002000000000000bf000000bf0000a0410000e04103000000000000b3000000b3ffff9f41000000b3000000b3ffffdf412100000008000000620000000c00000001000000150000000c00000004000000150000000c0000000400000051000000140300000000000000000000130000001b00000000000000000000000000000000000000140000001c0000005000000094000000e400000030020000000000002000cc00140000001c00000028000000140000001c00000001000800000000000000000000000000000000001b0000000000000000000000ffffff00b5ebff0000006b00e7ba6b00009ace00ffd3940094d3ff00e7ffff00006db5006b000000ffebb500ce9a0000b56d0000ffffe7006bbae700ceffff000000940094000000ffffce00b56d9400009ab500b5bae700e7ffce006b6db500006d6b006b009400010101010101010101010101010101010101010101010101010101010101010101010101010101010101010101010101010101010101010101010101010101010101010101010101010101010101010101010101010101010101010101010105040101010101010101010101010101010101010f0c0101010101010101010101010101010101010712130101010101010101010101010108090601101a0b01010101010101010101010101010504010809060101010101010101010101010101070d0e010f0c010101010101010101010101010102030601070d0e01010203001213070000060116171819060712130108090d0e1014150d0e05061011121305000d0e0110110c010102031213010101010101010101010110110c0101010f0a0b010101010101010101010108090d0e01010203060101010101010101010101010f0a0b010108090c01010101010101010101010102030c010101050d0e0101010101010101010101010700040108090a0b010101010101010101010101010203000004050601010101010101010101010101010101010101010101010101010101010101010101010101010101010101010101010101010101010101010101010101010101010101010101010101010101010101010101010101010101010101010101010101010101010101010101010101010101010101010101010101010101010101010101010101010101010101010101010101010101010101010101010101010101010101010101010101014c000000640000000000000000000000130000001b0000000000000000000000140000001c0000002900aa0000000000000000000000803f00000000000000000000803f0000000000000000000000000000000000000000000000000000000000000000220000000c000000ffffffff460000001c00000010000000454d462b024000000c000000000000000e000000140000000000000010000000140000000400000003010800050000000b0200000000050000000c021c001400030000001e00040000000701040004000000070104006f010000410b2000cc001c001400000000001c0014000000000028000000140000001c00000001000800000000000000000000000000000000001b0000000000000000000000ffffff00b5ebff0000006b00e7ba6b00009ace00ffd3940094d3ff00e7ffff00006db5006b000000ffebb500ce9a0000b56d0000ffffe7006bbae700ceffff000000940094000000ffffce00b56d9400009ab500b5bae700e7ffce006b6db500006d6b006b009400010101010101010101010101010101010101010101010101010101010101010101010101010101010101010101010101010101010101010101010101010101010101010101010101010101010101010101010101010101010101010101010105040101010101010101010101010101010101010f0c0101010101010101010101010101010101010712130101010101010101010101010108090601101a0b01010101010101010101010101010504010809060101010101010101010101010101070d0e010f0c010101010101010101010101010102030601070d0e01010203001213070000060116171819060712130108090d0e1014150d0e05061011121305000d0e0110110c010102031213010101010101010101010110110c0101010f0a0b010101010101010101010108090d0e01010203060101010101010101010101010f0a0b010108090c01010101010101010101010102030c010101050d0e0101010101010101010101010700040108090a0b010101010101010101010101010203000004050601010101010101010101010101010101010101010101010101010101010101010101010101010101010101010101010101010101010101010101010101010101010101010101010101010101010101010101010101010101010101010101010101010101010101010101010101010101010101010101010101010101010101010101010101010101010101010101010101010101010101010101010101010101010101010101010101010c00000040092900aa000000000000001c00140000000000040000002701ffff030000000000
висувається гіпотеза 0100090000033e0e000000003608000000003608000026060f006210574d46430100000000000100fbc00000000001000000401000000000000040100000010000006c0000000000000000000000620000001b0000000000000000000000200a0000dc02000020454d4600000100401000000c00000001000000000000000000000000000000900600001a040000b801000013010000000000000000000000000000c0b6060038320400460000002c00000020000000454d462b014001001c000000100000000210c0db0100000060000000600000004600000000030000f4020000454d462b224004000c000000000000001e4009000c00000000000000244001000c000000000000003040020010000000040000000000803f214007000c00000000000000084000054c020000400200000210c0db01000000000000000000000000000000000000000100000089504e470d0a1a0a0000000d49484452000000630000001c08030000004291f1b30000000373424954050605330b8d80000000017352474200aece1ce9000000097048597300000ec400000ec401952b0e1b00000057504c544500000000006b000094006db5009ace6b00006b006b6b00946b6d006bbae794000094006b946db594d3ffb56d00b56d6bb59a00b5ebffce9a00ceffffceffe7e7ba6be7bab5ffd394ffebb5ffffcee7ffffffffe7ffffff969fd4e5000001564944415448c7ed96d156c3200c86e34655d056c74460f0fecf2929b48581b6b9e01c2f96cb92e623ff9f42c1f70f7830a80c330030ef15008cddfad088f05e7640648cb9b83c5dfb31d45cdc8af3ad1bc34d2c76c35b49e816974755acb213c30a88911752898864373d5d8e21eaec75ae1a76248619b047d95251c21acb72231bf6ed50b8a724a6daf52bcf2e19911bf770176ec2b5d4a89bb61d37a3c82e1856b06d80b14e667d5c5349e052b25aab323b679881af7d7ac5bc79be940c33cc62ba696fb8f2ec9211ddb50219568ca1165f9f62f7f6fdf37c0be3886b7f47966dc5e92ab13f88081c5ad428f0ed5b004996cf5578ac61d191ed7e1d29fbfbebe375d4a1627dee6e8cd6ec538e33745e2f7ddc29ba6855bff4423acdb07e30b7757fc8d2f3fca5a3df7a2ac4e390406b347ebd441410ce65ac3f0b4fbd0715edf047cbc90ccd685b629ecc5034045af2f8f7f96f8c1fe7c61721d7de3fd40000000049454e44ae426082000840010824000000180000000210c0db01000000030000000000000000000000000000001b40000040000000340000000100000002000000000000bf000000bf0000c6420000e04103000000000000b3000000b3ffffc542000000b3000000b3ffffdf412100000008000000620000000c00000001000000150000000c00000004000000150000000c0000000400000051000000dc0b00000000000000000000620000001b00000000000000000000000000000000000000630000001c000000500000009c000000ec000000f00a0000000000002000cc00630000001c00000028000000630000001c00000001000800000000000000000000000000000000001d0000000000000000000000ffffff00b5ebff0000006b00ce9a00006bbae700ffd3940094d3ff00009ace0094000000ffffce00ceffff0000009400b56d0000ffffe700e7ffff00006db500e7ba6b006b000000ffebb5006b006b00b56d9400009ab5006b009400b5bae700e7ffce006b6db500006d6b0094006b00010101010101010101010101010101010101010101010101010101010101010101010101010101010101010101010101010101010101010101010101010101010101010101010101010101010101010101010101010101010101010101010101010101ff010101010101010101010101010101010101010101010101010101010101010101010101010101010101010101010101010101010101010101010101010101010101010101010101010101010101010101010101010101010101010101010101010101ff010101010101010101010101010101010101010101010101010101010101010101010101010101010101010101010101010101010101010101010101010101010101010101010101010101010101010101010101010101010101010101010101010101ff010101010101010101010101010101010101010101010101010101010101010101010101010101010101010101010101010101010101010101010101010101010101010101010101010101010101010101010101010101010101010101010101010101ff010101010101010101010101010101010101010101010101010101010101010101010101010101010101010101010504010101010101010101010101010101010101010101010101010101010101010101010101010101010101010101010811010101ff010101010101010101010101010101010101010101010101010101010101010101010101010101010101010101010107040101010101010101010101010101010101010101010101010101010101010101010101010101010101010101010504010101ff010101010101010101010101010101010101010101010101010101010101010101010101010101010101010101010105090a010101010101010101010101010101010101010101010101010101010101010101010101010101010101010107090a0101ff0101010101010101010101010101010101010b0c000006010101010101010101010101010101010101010101010500090a01010101010101010101010101010101010101010101010101010101010101010101010101010101010f1006010b17130101ff010101010101010101010101010101010101080401021413010101010101010101010101010101010101010107121301010101010101010101010101010101010101010101010101010101010101010101010101010101010101010811010f10060101ff01010101010101010101010101010101010b0c06010f10110101010101010101010101010101010101010101021c0a0101010101010101010101010101010101010101010101010101010101010101010101010101010101010101070d0e0105040101ff01010101010101010101010101010101010b1713010108040101010101010101010101010101010101010101010700060101010101010101010101010101010101010101010101010101010101010101010101010101010101010102030601070d0e01ff010101010500000006010f100000090a010b17130101080401010105001101010101020300090a070000060101010f100004010101010101010101010101010101010101010101010101010101010101020300090a070000060118191a1b0607090a01ff01010101010500110101010b0c121301010b0c06010f10110101010500110101010f100d0e0b15160d0e0806010b0c06010101010101010101010101010101010101010101010101010101010101010f100d0e0b15160d0e08060b0c090a08000d0e01ff0101010101020311010101010512130101010504010214130101010101010101010b0c0401010203090a0101010f1006010101010101010101010101010101010101010101010101010101010101010b0c0401010203090a0101010101010101010101ff01010101010b0c04010101010700060101010f10000011010101010101010101010b0c040101010512130101010101080d0e010101010101010101010108000000000000000000000d0e01010101010b0c040101010512130101010101010101010101ff010101010101080d0e0101010203040101010101010101010101010101010101010f100d0e0101020306010101010f1000000d0e0101010101010101010101010101010101010101010101010101010f100d0e01010203060101010101010101010101ff01010101010105090a0101010b0c0d0e01010101010101010101010101010101010105121301010f100401010101050d0e0101010101010101010101010101010101010101010101010101010101010105121301010f10040101010101010101010101ff0101010101010203060101010108090a010101010101010101010105001101010101020304010101080d0e01010101010101010101010101010101010108000000000000000000000d0e010101010101020304010101080d0e01010101010101010101090101010101010b0c000000000000000601010101010101010101010500110101010101070011010f1012130101010101010101010101010101010101010101010101010101010101010101010101010101070011010f10121301010101010101010101010101010101010f1004010101010700110101010101010101010101010101010101010101020300001108060101010101010101010101010101010101010101010101010101010101010101010101010101010203000011080601010101010101010101010101010101010105090a0101010b0c0d0e0101010101010101010101010101010101010101010101010101010101010101010101010101010101010101010101010101010101010101010101010101010101010101010101010101010101010101010101010101010101010700060101010108090a01010101010101010101010101010101010101010101010101010101010101010101010101010101010101010101010101010101010101010101010101010101010101010101010101010101010101010101010101010101010107000401010101080006010101010101010101010101010101010101010101010101010101010101010101010101010101010101010101010101010101010101010101010101010101010101010101010101010101010101010101010101010101010102030000040101050000000601010101010101010101010101010101010101010101010101010101010101010101010101010101010101010101010101010101010101010101010101010101010101010101010101010101010101010101010101010101010101010101010101010101010101010101010101010101010101010101010101010101010101010101010101010101010101010101010101010101010101010101010101010101010101010101010101010101010101010101010101010101010101010101010101010101010101010101010101010101010101010101010101010101010101010101010101010101010101010101010101010101010101010101010101010101010101010101010101010101010101010101010101010101010101010101010101010101010101010101010101010101010101010101010101010101010101010101010101010101010101010101010101010101010101010101010101010101010101010101010101010101010101010101010101010101010101010101010101010101010101010101010101010101010101010101010101010101010101010101010101010101010101010101010101010101010101010101010101010101010101010101010101010101010101010101010101010101010101010101010101014c000000640000000000000000000000620000001b0000000000000000000000630000001c0000002900aa0000000000000000000000803f00000000000000000000803f0000000000000000000000000000000000000000000000000000000000000000220000000c000000ffffffff460000001c00000010000000454d462b024000000c000000000000000e000000140000000000000010000000140000000400000003010800050000000b0200000000050000000c021c006300030000001e0004000000070104000400000007010400d3050000410b2000cc001c006300000000001c0063000000000028000000630000001c00000001000800000000000000000000000000000000001d0000000000000000000000ffffff00b5ebff0000006b00ce9a00006bbae700ffd3940094d3ff00009ace0094000000ffffce00ceffff0000009400b56d0000ffffe700e7ffff00006db500e7ba6b006b000000ffebb5006b006b00b56d9400009ab5006b009400b5bae700e7ffce006b6db500006d6b0094006b00010101010101010101010101010101010101010101010101010101010101010101010101010101010101010101010101010101010101010101010101010101010101010101010101010101010101010101010101010101010101010101010101010101ff010101010101010101010101010101010101010101010101010101010101010101010101010101010101010101010101010101010101010101010101010101010101010101010101010101010101010101010101010101010101010101010101010101ff010101010101010101010101010101010101010101010101010101010101010101010101010101010101010101010101010101010101010101010101010101010101010101010101010101010101010101010101010101010101010101010101010101ff010101010101010101010101010101010101010101010101010101010101010101010101010101010101010101010101010101010101010101010101010101010101010101010101010101010101010101010101010101010101010101010101010101ff010101010101010101010101010101010101010101010101010101010101010101010101010101010101010101010504010101010101010101010101010101010101010101010101010101010101010101010101010101010101010101010811010101ff010101010101010101010101010101010101010101010101010101010101010101010101010101010101010101010107040101010101010101010101010101010101010101010101010101010101010101010101010101010101010101010504010101ff010101010101010101010101010101010101010101010101010101010101010101010101010101010101010101010105090a010101010101010101010101010101010101010101010101010101010101010101010101010101010101010107090a0101ff0101010101010101010101010101010101010b0c000006010101010101010101010101010101010101010101010500090a01010101010101010101010101010101010101010101010101010101010101010101010101010101010f1006010b17130101ff010101010101010101010101010101010101080401021413010101010101010101010101010101010101010107121301010101010101010101010101010101010101010101010101010101010101010101010101010101010101010811010f10060101ff01010101010101010101010101010101010b0c06010f10110101010101010101010101010101010101010101021c0a0101010101010101010101010101010101010101010101010101010101010101010101010101010101010101070d0e0105040101ff01010101010101010101010101010101010b1713010108040101010101010101010101010101010101010101010700060101010101010101010101010101010101010101010101010101010101010101010101010101010101010102030601070d0e01ff010101010500000006010f100000090a010b17130101080401010105001101010101020300090a070000060101010f100004010101010101010101010101010101010101010101010101010101010101020300090a070000060118191a1b0607090a01ff01010101010500110101010b0c121301010b0c06010f10110101010500110101010f100d0e0b15160d0e0806010b0c06010101010101010101010101010101010101010101010101010101010101010f100d0e0b15160d0e08060b0c090a08000d0e01ff0101010101020311010101010512130101010504010214130101010101010101010b0c0401010203090a0101010f1006010101010101010101010101010101010101010101010101010101010101010b0c0401010203090a0101010101010101010101ff01010101010b0c04010101010700060101010f10000011010101010101010101010b0c040101010512130101010101080d0e010101010101010101010108000000000000000000000d0e01010101010b0c040101010512130101010101010101010101ff010101010101080d0e0101010203040101010101010101010101010101010101010f100d0e0101020306010101010f1000000d0e0101010101010101010101010101010101010101010101010101010f100d0e01010203060101010101010101010101ff01010101010105090a0101010b0c0d0e01010101010101010101010101010101010105121301010f100401010101050d0e0101010101010101010101010101010101010101010101010101010101010105121301010f10040101010101010101010101ff0101010101010203060101010108090a010101010101010101010105001101010101020304010101080d0e01010101010101010101010101010101010108000000000000000000000d0e010101010101020304010101080d0e01010101010101010101090101010101010b0c000000000000000601010101010101010101010500110101010101070011010f1012130101010101010101010101010101010101010101010101010101010101010101010101010101070011010f10121301010101010101010101010101010101010f1004010101010700110101010101010101010101010101010101010101020300001108060101010101010101010101010101010101010101010101010101010101010101010101010101010203000011080601010101010101010101010101010101010105090a0101010b0c0d0e0101010101010101010101010101010101010101010101010101010101010101010101010101010101010101010101010101010101010101010101010101010101010101010101010101010101010101010101010101010101010700060101010108090a01010101010101010101010101010101010101010101010101010101010101010101010101010101010101010101010101010101010101010101010101010101010101010101010101010101010101010101010101010101010107000401010101080006010101010101010101010101010101010101010101010101010101010101010101010101010101010101010101010101010101010101010101010101010101010101010101010101010101010101010101010101010101010102030000040101050000000601010101010101010101010101010101010101010101010101010101010101010101010101010101010101010101010101010101010101010101010101010101010101010101010101010101010101010101010101010101010101010101010101010101010101010101010101010101010101010101010101010101010101010101010101010101010101010101010101010101010101010101010101010101010101010101010101010101010101010101010101010101010101010101010101010101010101010101010101010101010101010101010101010101010101010101010101010101010101010101010101010101010101010101010101010101010101010101010101010101010101010101010101010101010101010101010101010101010101010101010101010101010101010101010101010101010101010101010101010101010101010101010101010101010101010101010101010101010101010101010101010101010101010101010101010101010101010101010101010101010101010101010101010101010101010101010101010101010101010101010101010101010101010101010101010101010101010101010101010101010101010101010101010101010101010101010101010101010101010101010101010c00000040092900aa000000000000001c00630000000000040000002701ffff030000000000.
Це гіпотеза про відсутність відмінностей
між значеннями параметра для компенсованого
та субкомпенсованого станів.
Якщо 010009000003900a000000004806000000004806000026060f00860c574d4643010000000000010006460000000001000000640c000000000000640c0000010000006c0000000000000000000000410000001b0000000000000000000000c0060000dc02000020454d4600000100640c00000c00000001000000000000000000000000000000900600001a040000b801000013010000000000000000000000000000c0b6060038320400460000002c00000020000000454d462b014001001c000000100000000210c0db01000000600000006000000046000000a402000098020000454d462b224004000c000000000000001e4009000c00000000000000244001000c000000000000003040020010000000040000000000803f214007000c0000000000000008400005f0010000e40100000210c0db01000000000000000000000000000000000000000100000089504e470d0a1a0a0000000d49484452000000420000001c0803000000e20e995d0000000373424954050605330b8d80000000017352474200aece1ce9000000097048597300000ec400000ec401952b0e1b00000057504c544500000000006b000094006db5009ace6b00006b00946b6d006bbae794000094006b940094946db594d3ffb56d00b56d6bb59a00b5ebffce9a00ceffffceffe7e7ba6be7bab5ffd394ffebb5ffffceffffe7e7ffffffffffe68c0686000000f84944415448c7ed94db168220104527c4d20a4a8d10e5ffbf33075319312fcbb57a721e717b387303ecee8043e2df12e5b9d82b91278b2eca1820c9c52fc4dc8889806e243424b692a76ce27ae823aabf67210d8d2a47ba670213d78c780868b00a152b895fac9a10d2e4cca73b894a2252c62eb94a7a96bb6cfc2211ba933029efc4837cc25a50da97286356b83bc442477d9a2462eecfa86e0c9b542c8c95479b941539bac38e002b3480686bc1e7c76aa0dfafc745e8c60f994e0d62c36e6051b573b17a17a6baad38dd113d35a1b3abe3ea4f1251c0d6fbc0dfdde48e3655b16db9203e92d07cd36b83a51849a86d0a6dcb8f177c880f6f90ba4b48f37fd60000000049454e44ae4260820000000840010824000000180000000210c0db01000000030000000000000000000000000000001b40000040000000340000000100000002000000000000bf000000bf000084420000e04103000000000000b3000000b3ffff8342000000b3000000b3ffffdf412100000008000000620000000c00000001000000150000000c00000004000000150000000c00000004000000510000005c0800000000000000000000410000001b00000000000000000000000000000000000000420000001c000000500000009c000000ec00000070070000000000002000cc00420000001c00000028000000420000001c00000001000800000000000000000000000000000000001d0000000000000000000000ffffff00b5ebff0094006b00ffffce00009ace00e7ba6b0000006b00ffd39400ceffff009400940094d3ff00e7ffff00006db5006b000000ffebb500b56d0000ffffe700ce9a00006b0094006bbae7000000940094000000b56d9400009ab500b5bae700e7ffce006b6db500006d6b00010101010101010101010101010101010101010101010101010101010101010101010101010101010101010101010101010101010101010101010101010101010101ffff010101010101010101010101010101010101010101010101010101010101010101010101010101010101010101010101010101010101010101010101010101010101ffff010101010101010101010101010101010101010101010101010101010101010101010101010101010101010101010101010101010101010101010101010101010101ffff010101010101010101010101010101010101010101010101010101010101010101010101010101010101010101010101010101010101010101010101010101010101ffff010101010101010101010101011412010101010101010101010101010101010101010101010101010101010101010101010101010101010101010101010506010101ffff01010101010101010101010101010b120101010101010101010101010101010101010101010101010101010101010101010101010101010101010101011412010101ffff010101010101010101010101010114160401010101010101010101010101010101010101010101010101010101010101010101010101010101010101010b16040101ffff0101010101010101010101011400160401010101010101010101010101010101010101010101010101010101010101010101010101010101010c0d080109130f0101ffff01010101010101010101010b0e0f01010101010101010101010101010101010101010101010101010101010101010101010101010101010101010506010c0d080101ffff010101010101010101010102030401010101010101010101010101010101010101010101010101010101010101010101010101010101010101010b1011011412010194ff0101010101010101010101010b000801010101010101010101010101010101010101010101010101010101010101010101010101010101010101020708010b101101ffff0102070016040b0000080101010c0d001201010101010101010101010101010506010101010101010101010101010102070016040b00000801191a1b1c080b16040100ff0c0d10110917181011050801091508010101010101010101010101010101010203040101010101010101010101010c0d101109171810110508091516040500101101ffff0915120101020716040101010c0d08010101010101010101010101010101010105060101010101010101010101010915120101020716040101010101010101010101ffff091512010101140e0f01010101010510110101010101010101010101050000000000000000000010110101010101091512010101140e0f0101010101010101010101ffff0c0d10110101020708010101010c0d000010110101010101010101010101010101050801010101010101010101010c0d101101010207080101010101010101010101ffff01140e0f01010c0d120101010114101101010101010101010101010101010101010b10110101010101010101010101140e0f01010c0d120101010101010101010101ceff01020712010101051011010101010101010101010101010101010101010101010109130f01010101010101010101010207120101010510110101010101010101010194ff01010b0006010c0d0e0f01010101010101010101010101010101010105000000000000000000001011010101010101010b0006010c0d0e0f010101010101010101016bff01010102070000060508010101010101010101010101010101010101010101010101090a040101010101010101010101010207000006050801010101010101010101ffff010101010101010101010101010101010101010101010101010101010101010101010105060101010101010101010101010101010101010101010101010101010101ffff01010101010101010101010101010101010101010101010101010101010101010101010203040101010101010101010101010101010101010101010101010101010100ff010101010101010101010101010101010101010101010101010101010101010101010101010101010101010101010101010101010101010101010101010101010101ffff010101010101010101010101010101010101010101010101010101010101010101010101010101010101010101010101010101010101010101010101010101010101ffff010101010101010101010101010101010101010101010101010101010101010101010101010101010101010101010101010101010101010101010101010101010101ffff010101010101010101010101010101010101010101010101010101010101010101010101010101010101010101010101010101010101010101010101010101010101ffff010101010101010101010101010101010101010101010101010101010101010101010101010101010101010101010101010101010101010101010101010101010101ffff010101010101010101010101010101010101010101010101010101010101010101010101010101010101010101010101010101010101010101010101010101010101ceff4c000000640000000000000000000000410000001b0000000000000000000000420000001c0000002900aa0000000000000000000000803f00000000000000000000803f0000000000000000000000000000000000000000000000000000000000000000220000000c000000ffffffff460000001c00000010000000454d462b024000000c000000000000000e000000140000000000000010000000140000000400000003010800050000000b0200000000050000000c021c004200030000001e000400000007010400040000000701040013040000410b2000cc001c004200000000001c0042000000000028000000420000001c00000001000800000000000000000000000000000000001d0000000000000000000000ffffff00b5ebff0094006b00ffffce00009ace00e7ba6b0000006b00ffd39400ceffff009400940094d3ff00e7ffff00006db5006b000000ffebb500b56d0000ffffe700ce9a00006b0094006bbae7000000940094000000b56d9400009ab500b5bae700e7ffce006b6db500006d6b00010101010101010101010101010101010101010101010101010101010101010101010101010101010101010101010101010101010101010101010101010101010101ffff010101010101010101010101010101010101010101010101010101010101010101010101010101010101010101010101010101010101010101010101010101010101ffff010101010101010101010101010101010101010101010101010101010101010101010101010101010101010101010101010101010101010101010101010101010101ffff010101010101010101010101010101010101010101010101010101010101010101010101010101010101010101010101010101010101010101010101010101010101ffff010101010101010101010101011412010101010101010101010101010101010101010101010101010101010101010101010101010101010101010101010506010101ffff01010101010101010101010101010b120101010101010101010101010101010101010101010101010101010101010101010101010101010101010101011412010101ffff010101010101010101010101010114160401010101010101010101010101010101010101010101010101010101010101010101010101010101010101010b16040101ffff0101010101010101010101011400160401010101010101010101010101010101010101010101010101010101010101010101010101010101010c0d080109130f0101ffff01010101010101010101010b0e0f01010101010101010101010101010101010101010101010101010101010101010101010101010101010101010506010c0d080101ffff010101010101010101010102030401010101010101010101010101010101010101010101010101010101010101010101010101010101010101010b1011011412010194ff0101010101010101010101010b000801010101010101010101010101010101010101010101010101010101010101010101010101010101010101020708010b101101ffff0102070016040b0000080101010c0d001201010101010101010101010101010506010101010101010101010101010102070016040b00000801191a1b1c080b16040100ff0c0d10110917181011050801091508010101010101010101010101010101010203040101010101010101010101010c0d101109171810110508091516040500101101ffff0915120101020716040101010c0d08010101010101010101010101010101010105060101010101010101010101010915120101020716040101010101010101010101ffff091512010101140e0f01010101010510110101010101010101010101050000000000000000000010110101010101091512010101140e0f0101010101010101010101ffff0c0d10110101020708010101010c0d000010110101010101010101010101010101050801010101010101010101010c0d101101010207080101010101010101010101ffff01140e0f01010c0d120101010114101101010101010101010101010101010101010b10110101010101010101010101140e0f01010c0d120101010101010101010101ceff01020712010101051011010101010101010101010101010101010101010101010109130f01010101010101010101010207120101010510110101010101010101010194ff01010b0006010c0d0e0f01010101010101010101010101010101010105000000000000000000001011010101010101010b0006010c0d0e0f010101010101010101016bff01010102070000060508010101010101010101010101010101010101010101010101090a040101010101010101010101010207000006050801010101010101010101ffff010101010101010101010101010101010101010101010101010101010101010101010105060101010101010101010101010101010101010101010101010101010101ffff01010101010101010101010101010101010101010101010101010101010101010101010203040101010101010101010101010101010101010101010101010101010100ff010101010101010101010101010101010101010101010101010101010101010101010101010101010101010101010101010101010101010101010101010101010101ffff010101010101010101010101010101010101010101010101010101010101010101010101010101010101010101010101010101010101010101010101010101010101ffff010101010101010101010101010101010101010101010101010101010101010101010101010101010101010101010101010101010101010101010101010101010101ffff010101010101010101010101010101010101010101010101010101010101010101010101010101010101010101010101010101010101010101010101010101010101ffff010101010101010101010101010101010101010101010101010101010101010101010101010101010101010101010101010101010101010101010101010101010101ffff010101010101010101010101010101010101010101010101010101010101010101010101010101010101010101010101010101010101010101010101010101010101ceff0c00000040092900aa000000000000001c00420000000000040000002701ffff030000000000, то може бути як 010009000003880a000000004206000000004206000026060f007a0c574d464301000000000001005b4c0000000001000000580c000000000000580c0000010000006c0000000000000000000000410000001b0000000000000000000000c0060000dc02000020454d4600000100580c00000c00000001000000000000000000000000000000900600001a040000b801000013010000000000000000000000000000c0b6060038320400460000002c00000020000000454d462b014001001c000000100000000210c0db010000006000000060000000460000009c02000090020000454d462b224004000c000000000000001e4009000c00000000000000244001000c000000000000003040020010000000040000000000803f214007000c0000000000000008400005e8010000dc0100000210c0db01000000000000000000000000000000000000000100000089504e470d0a1a0a0000000d49484452000000420000001c0803000000e20e995d0000000373424954050605330b8d80000000017352474200aece1ce9000000097048597300000ec400000ec401952b0e1b00000054504c544500000000006b000094006db5009ace6b00006b00946b6d006bbae794000094006b946db594d3ffb56d00b56d6bb59a00b5ebffce9a00ceffffceffe7e7ba6be7bab5ffd394ffebb5ffffcee7ffffffffe7ffffff2a16dcff000000f64944415448c7ed94c1168220104527c59282122344faffff8cd13c318219c7451bd9e9795cde9b6180e7e6053be20f0853f6db100ad88a8bae02a8955850580e75f81da93dc2788993872609d000941dabc153d1a54a8575128a96fe4aa8e1a991e8e490565350821baa278493a8eb2af13e16826db10ba29e1096b3099e3a77560baa0e115d359ce6a458e948a82641ece556f6be4f968b957b11a82d2f5a85b1b1233eb019fdfaf0ecfbedfca81ff7eb4918ef0768cf45c66c6051cde022f8776c73c60bb76b4667c42cdcd0a5c9a9c7fa03ed60f1bb0fdc6ecf4d34a9bac8cb82f219c2b0acd7064b3143e83c0296637fc1c3f50272a6b4664cec2bdf0000000049454e44ae4260820840010824000000180000000210c0db01000000030000000000000000000000000000001b40000040000000340000000100000002000000000000bf000000bf000084420000e04103000000000000b3000000b3ffff8342000000b3000000b3ffffdf412100000008000000620000000c00000001000000150000000c00000004000000150000000c0000000400000051000000580800000000000000000000410000001b00000000000000000000000000000000000000420000001c0000005000000098000000e800000070070000000000002000cc00420000001c00000028000000420000001c00000001000800000000000000000000000000000000001c0000000000000000000000ffffff0094d3ff00b56d0000ffffe700009ace00ce9a0000b5ebff0000006b00e7ba6b00ffd39400ceffff0000009400e7ffff00006db5006b000000ffebb5006bbae70094000000ffffce00b56d9400009ab500b5bae700e7ffce006b6db500006d6b0094006b006b009400010101010101010101010101010101010101010101010101010101010101010101010101010101010101010101010101010101010101010101010101010101010101ffff010101010101010101010101010101010101010101010101010101010101010101010101010101010101010101010101010101010101010101010101010101010101ffff010101010101010101010101010101010101010101010101010101010101010101010101010101010101010101010101010101010101010101010101010101010101ffff010101010101010101010101010101010101010101010101010101010101010101010101010101010101010101010101010101010101010101010101010101010101ffff010101010101010101010101011106010101010101010101010101010101010101010101010101010101010101010101010101010101010101010101010509010101ffff010101010101010101010101010102060101010101010101010101010101010101010101010101010101010101010101010101010101010101010101011106010101ffff010101010101010101010101010111121301010101010101010101010101010101010101010101010101010101010101010101010101010101010101010212130101ffff0101010101010101010101011100121301010101010101010101010101010101010101010101010101010101010101010101010101010101010d0e0a010b1b100101ffff0101010101010101010101020f1001010101010101010101010101010101010101010101010101010101010101010101010101010101010101010509010d0e0a0101ffff0101010101010101010101071a130101010101010101010101010101010101010101010101010101010101010101010101010101010101010101020304011106010194ff01010101010101010101010102000a0101010101010101010101010101010101010101010101010101010101010101010101010101010101010107080a0102030401ffff0107080012130200000a0101010d0e000601010101010101010101010101010101010101010102030401010101010107080012130200000a01161718190a0212130100ff0d0e03040b14150304050a010b0c0a010101010101010101010101010101010101010101050006010101010101010d0e03040b14150304050a0b0c12130500030401ffff0b0c060101070812130101010d0e0a0101010101010101010101010101010101010b0c00090101010101010101010b0c060101070812130101010101010101010101ffff0b0c06010101110f10010101010105030401010101010101010101010101011100000a01010101010101010101010b0c06010101110f100101010101010101010101ffff0d0e0304010107080a010101010d0e000003040101010101010101010d0e001213010101010101010101010101010d0e0304010107080a0101010101010101010101ffff01110f1001010d0e060101010111030401010101010101010101010105030401010101010101010101010101010101110f1001010d0e060101010101010101010101ceff010708060101010503040101010101010101010101010101010101010d0e00121301010101010101010101010101010708060101010503040101010101010101010194ff0101020009010d0e0f100101010101010101010101010101010101010101011100000a01010101010101010101010101020009010d0e0f10010101010101010101016bff0101010708000009050a01010101010101010101010101010101010101010101010b0c00090101010101010101010101010708000009050a01010101010101010101ffff010101010101010101010101010101010101010101010101010101010101010101010101050006010101010101010101010101010101010101010101010101010101ffff01010101010101010101010101010101010101010101010101010101010101010101010101010203040101010101010101010101010101010101010101010101010100ff010101010101010101010101010101010101010101010101010101010101010101010101010101010101010101010101010101010101010101010101010101010101ffff010101010101010101010101010101010101010101010101010101010101010101010101010101010101010101010101010101010101010101010101010101010101ffff010101010101010101010101010101010101010101010101010101010101010101010101010101010101010101010101010101010101010101010101010101010101ffff010101010101010101010101010101010101010101010101010101010101010101010101010101010101010101010101010101010101010101010101010101010101ffff010101010101010101010101010101010101010101010101010101010101010101010101010101010101010101010101010101010101010101010101010101010101ffff010101010101010101010101010101010101010101010101010101010101010101010101010101010101010101010101010101010101010101010101010101010101ceff4c000000640000000000000000000000410000001b0000000000000000000000420000001c0000002900aa0000000000000000000000803f00000000000000000000803f0000000000000000000000000000000000000000000000000000000000000000220000000c000000ffffffff460000001c00000010000000454d462b024000000c000000000000000e000000140000000000000010000000140000000400000003010800050000000b0200000000050000000c021c004200030000001e000400000007010400040000000701040011040000410b2000cc001c004200000000001c0042000000000028000000420000001c00000001000800000000000000000000000000000000001c0000000000000000000000ffffff0094d3ff00b56d0000ffffe700009ace00ce9a0000b5ebff0000006b00e7ba6b00ffd39400ceffff0000009400e7ffff00006db5006b000000ffebb5006bbae70094000000ffffce00b56d9400009ab500b5bae700e7ffce006b6db500006d6b0094006b006b009400010101010101010101010101010101010101010101010101010101010101010101010101010101010101010101010101010101010101010101010101010101010101ffff010101010101010101010101010101010101010101010101010101010101010101010101010101010101010101010101010101010101010101010101010101010101ffff010101010101010101010101010101010101010101010101010101010101010101010101010101010101010101010101010101010101010101010101010101010101ffff010101010101010101010101010101010101010101010101010101010101010101010101010101010101010101010101010101010101010101010101010101010101ffff010101010101010101010101011106010101010101010101010101010101010101010101010101010101010101010101010101010101010101010101010509010101ffff010101010101010101010101010102060101010101010101010101010101010101010101010101010101010101010101010101010101010101010101011106010101ffff010101010101010101010101010111121301010101010101010101010101010101010101010101010101010101010101010101010101010101010101010212130101ffff0101010101010101010101011100121301010101010101010101010101010101010101010101010101010101010101010101010101010101010d0e0a010b1b100101ffff0101010101010101010101020f1001010101010101010101010101010101010101010101010101010101010101010101010101010101010101010509010d0e0a0101ffff0101010101010101010101071a130101010101010101010101010101010101010101010101010101010101010101010101010101010101010101020304011106010194ff01010101010101010101010102000a0101010101010101010101010101010101010101010101010101010101010101010101010101010101010107080a0102030401ffff0107080012130200000a0101010d0e000601010101010101010101010101010101010101010102030401010101010107080012130200000a01161718190a0212130100ff0d0e03040b14150304050a010b0c0a010101010101010101010101010101010101010101050006010101010101010d0e03040b14150304050a0b0c12130500030401ffff0b0c060101070812130101010d0e0a0101010101010101010101010101010101010b0c00090101010101010101010b0c060101070812130101010101010101010101ffff0b0c06010101110f10010101010105030401010101010101010101010101011100000a01010101010101010101010b0c06010101110f100101010101010101010101ffff0d0e0304010107080a010101010d0e000003040101010101010101010d0e001213010101010101010101010101010d0e0304010107080a0101010101010101010101ffff01110f1001010d0e060101010111030401010101010101010101010105030401010101010101010101010101010101110f1001010d0e060101010101010101010101ceff010708060101010503040101010101010101010101010101010101010d0e00121301010101010101010101010101010708060101010503040101010101010101010194ff0101020009010d0e0f100101010101010101010101010101010101010101011100000a01010101010101010101010101020009010d0e0f10010101010101010101016bff0101010708000009050a01010101010101010101010101010101010101010101010b0c00090101010101010101010101010708000009050a01010101010101010101ffff010101010101010101010101010101010101010101010101010101010101010101010101050006010101010101010101010101010101010101010101010101010101ffff01010101010101010101010101010101010101010101010101010101010101010101010101010203040101010101010101010101010101010101010101010101010100ff010101010101010101010101010101010101010101010101010101010101010101010101010101010101010101010101010101010101010101010101010101010101ffff010101010101010101010101010101010101010101010101010101010101010101010101010101010101010101010101010101010101010101010101010101010101ffff010101010101010101010101010101010101010101010101010101010101010101010101010101010101010101010101010101010101010101010101010101010101ffff010101010101010101010101010101010101010101010101010101010101010101010101010101010101010101010101010101010101010101010101010101010101ffff010101010101010101010101010101010101010101010101010101010101010101010101010101010101010101010101010101010101010101010101010101010101ffff010101010101010101010101010101010101010101010101010101010101010101010101010101010101010101010101010101010101010101010101010101010101ceff0c00000040092900aa000000000000001c00420000000000040000002701ffff030000000000, так 010009000003880a000000004206000000004206000026060f007a0c574d46430100000000000100fd030000000001000000580c000000000000580c0000010000006c0000000000000000000000410000001b0000000000000000000000c0060000dc02000020454d4600000100580c00000c00000001000000000000000000000000000000900600001a040000b801000013010000000000000000000000000000c0b6060038320400460000002c00000020000000454d462b014001001c000000100000000210c0db010000006000000060000000460000009c02000090020000454d462b224004000c000000000000001e4009000c00000000000000244001000c000000000000003040020010000000040000000000803f214007000c0000000000000008400005e8010000dc0100000210c0db01000000000000000000000000000000000000000100000089504e470d0a1a0a0000000d49484452000000420000001c0803000000e20e995d0000000373424954050605330b8d80000000017352474200aece1ce9000000097048597300000ec400000ec401952b0e1b00000054504c544500000000006b000094006db5009ace6b00006b00946b6d006bbae794000094006b946db594d3ffb56d00b56d6bb59a00b5ebffce9a00ceffffceffe7e7ba6be7bab5ffd394ffebb5ffffceffffe7e7ffffffffff131711b9000000f44944415448c7ed945d1782200c8697624941a91182feffff19238d0fa5e2784e5772e95e9fbddb18306e3eb023fe8668ebed2e0414dd4f88be02a85bb61a97005160a10654d5a3e687269144512001335683a1a2a22d87a453cd5d3d2b6a18051235b799440af40ef8ea19a13946fb8a4df96049f15c04ea19a12899e1ebf504bd08d53ea2af6c1acdd99789f8eaa01075b995839993a22cbe17912b4fad68d1b518c789984aa764a66af2f9763af5e37e3d3169fc40e89a65ec0636555a17deb7639741b0bf0b12ee884cded0d412dafe43f656b9ce9afe9f9bc5a68a22af1694470849b25e1b6c4584107984d7d4f717dc9d275698b462001f46b30000000049454e44ae42608200000840010824000000180000000210c0db01000000030000000000000000000000000000001b40000040000000340000000100000002000000000000bf000000bf000084420000e04103000000000000b3000000b3ffff8342000000b3000000b3ffffdf412100000008000000620000000c00000001000000150000000c00000004000000150000000c0000000400000051000000580800000000000000000000410000001b00000000000000000000000000000000000000420000001c0000005000000098000000e800000070070000000000002000cc00420000001c00000028000000420000001c00000001000800000000000000000000000000000000001c0000000000000000000000ffffff00009ace00e7ba6b006bbae70094000000ffffce00b5ebff0000006b00ffd3940094d3ff00e7ffff00006db5006b000000ffebb500ceffff0000009400ce9a0000b56d0000ffffe700b56d9400009ab500b5bae700e7ffce006b6db500006d6b0094006b006b009400010101010101010101010101010101010101010101010101010101010101010101010101010101010101010101010101010101010101010101010101010101010101ffff010101010101010101010101010101010101010101010101010101010101010101010101010101010101010101010101010101010101010101010101010101010101ffff010101010101010101010101010101010101010101010101010101010101010101010101010101010101010101010101010101010101010101010101010101010101ffff010101010101010101010101010101010101010101010101010101010101010101010101010101010101010101010101010101010101010101010101010101010101ffff010101010101010101010101010411010101010101010101010101010101010101010101010101010101010101010101010101010101010101010101010203010101ffff01010101010101010101010101010a110101010101010101010101010101010101010101010101010101010101010101010101010101010101010101010411010101ffff010101010101010101010101010104050601010101010101010101010101010101010101010101010101010101010101010101010101010101010101010a05060101ffff0101010101010101010101010400050601010101010101010101010101010101010101010101010101010101010101010101010101010101010b0c09010f1b0e0101ffff01010101010101010101010a0d0e01010101010101010101010101010101010101010101010101010101010101010101010101010101010101010203010b0c090101ffff0101010101010101010101071a0601010101010101010101010101010101010101010101010101010101010101010101010101010101010101010a1213010411010194ff0101010101010101010101010a000901010101010101010101010101010101010101010101010101010101010101010101010101010101010101070809010a121301ffff0107080005060a0000090101010b0c001101010101010101010101010203010101010101010101010101010101010107080005060a0000090116171819090a05060100ff0b0c12130f141512130209010f1009010101010101010101010101010104001213010101010101010101010101010b0c12130f1415121302090f1005060200121301ffff0f10110101070805060101010b0c09010101010101010101010101010101010a00000901010101010101010101010f10110101070805060101010101010101010101ffff0f1011010101040d0e0101010101021213010101010101010101010101010101010f1000110101010101010101010f1011010101040d0e0101010101010101010101ffff0b0c12130101070809010101010b0c00001213010101010101010101010101010101010b0c0005060101010101010b0c121301010708090101010101010101010101ffff01040d0e01010b0c110101010104121301010101010101010101010101010101010101010101041213010101010101040d0e01010b0c110101010101010101010101ceff01070811010101021213010101010101010101010101010101010101010101010101010b0c000506010101010101010708110101010212130101010101010101010194ff01010a0003010b0c0d0e01010101010101010101010101010101010101010101010f10001101010101010101010101010a0003010b0c0d0e010101010101010101016bff010101070800000302090101010101010101010101010101010101010101010a00000901010101010101010101010101010708000003020901010101010101010101ffff010101010101010101010101010101010101010101010101010101010104000506010101010101010101010101010101010101010101010101010101010101010101ffff01010101010101010101010101010101010101010101010101010101020301010101010101010101010101010101010101010101010101010101010101010101010100ff010101010101010101010101010101010101010101010101010101010101010101010101010101010101010101010101010101010101010101010101010101010101ffff010101010101010101010101010101010101010101010101010101010101010101010101010101010101010101010101010101010101010101010101010101010101ffff010101010101010101010101010101010101010101010101010101010101010101010101010101010101010101010101010101010101010101010101010101010101ffff010101010101010101010101010101010101010101010101010101010101010101010101010101010101010101010101010101010101010101010101010101010101ffff010101010101010101010101010101010101010101010101010101010101010101010101010101010101010101010101010101010101010101010101010101010101ffff010101010101010101010101010101010101010101010101010101010101010101010101010101010101010101010101010101010101010101010101010101010101ceff4c000000640000000000000000000000410000001b0000000000000000000000420000001c0000002900aa0000000000000000000000803f00000000000000000000803f0000000000000000000000000000000000000000000000000000000000000000220000000c000000ffffffff460000001c00000010000000454d462b024000000c000000000000000e000000140000000000000010000000140000000400000003010800050000000b0200000000050000000c021c004200030000001e000400000007010400040000000701040011040000410b2000cc001c004200000000001c0042000000000028000000420000001c00000001000800000000000000000000000000000000001c0000000000000000000000ffffff00009ace00e7ba6b006bbae70094000000ffffce00b5ebff0000006b00ffd3940094d3ff00e7ffff00006db5006b000000ffebb500ceffff0000009400ce9a0000b56d0000ffffe700b56d9400009ab500b5bae700e7ffce006b6db500006d6b0094006b006b009400010101010101010101010101010101010101010101010101010101010101010101010101010101010101010101010101010101010101010101010101010101010101ffff010101010101010101010101010101010101010101010101010101010101010101010101010101010101010101010101010101010101010101010101010101010101ffff010101010101010101010101010101010101010101010101010101010101010101010101010101010101010101010101010101010101010101010101010101010101ffff010101010101010101010101010101010101010101010101010101010101010101010101010101010101010101010101010101010101010101010101010101010101ffff010101010101010101010101010411010101010101010101010101010101010101010101010101010101010101010101010101010101010101010101010203010101ffff01010101010101010101010101010a110101010101010101010101010101010101010101010101010101010101010101010101010101010101010101010411010101ffff010101010101010101010101010104050601010101010101010101010101010101010101010101010101010101010101010101010101010101010101010a05060101ffff0101010101010101010101010400050601010101010101010101010101010101010101010101010101010101010101010101010101010101010b0c09010f1b0e0101ffff01010101010101010101010a0d0e01010101010101010101010101010101010101010101010101010101010101010101010101010101010101010203010b0c090101ffff0101010101010101010101071a0601010101010101010101010101010101010101010101010101010101010101010101010101010101010101010a1213010411010194ff0101010101010101010101010a000901010101010101010101010101010101010101010101010101010101010101010101010101010101010101070809010a121301ffff0107080005060a0000090101010b0c001101010101010101010101010203010101010101010101010101010101010107080005060a0000090116171819090a05060100ff0b0c12130f141512130209010f1009010101010101010101010101010104001213010101010101010101010101010b0c12130f1415121302090f1005060200121301ffff0f10110101070805060101010b0c09010101010101010101010101010101010a00000901010101010101010101010f10110101070805060101010101010101010101ffff0f1011010101040d0e0101010101021213010101010101010101010101010101010f1000110101010101010101010f1011010101040d0e0101010101010101010101ffff0b0c12130101070809010101010b0c00001213010101010101010101010101010101010b0c0005060101010101010b0c121301010708090101010101010101010101ffff01040d0e01010b0c110101010104121301010101010101010101010101010101010101010101041213010101010101040d0e01010b0c110101010101010101010101ceff01070811010101021213010101010101010101010101010101010101010101010101010b0c000506010101010101010708110101010212130101010101010101010194ff01010a0003010b0c0d0e01010101010101010101010101010101010101010101010f10001101010101010101010101010a0003010b0c0d0e010101010101010101016bff010101070800000302090101010101010101010101010101010101010101010a00000901010101010101010101010101010708000003020901010101010101010101ffff010101010101010101010101010101010101010101010101010101010104000506010101010101010101010101010101010101010101010101010101010101010101ffff01010101010101010101010101010101010101010101010101010101020301010101010101010101010101010101010101010101010101010101010101010101010100ff010101010101010101010101010101010101010101010101010101010101010101010101010101010101010101010101010101010101010101010101010101010101ffff010101010101010101010101010101010101010101010101010101010101010101010101010101010101010101010101010101010101010101010101010101010101ffff010101010101010101010101010101010101010101010101010101010101010101010101010101010101010101010101010101010101010101010101010101010101ffff010101010101010101010101010101010101010101010101010101010101010101010101010101010101010101010101010101010101010101010101010101010101ffff010101010101010101010101010101010101010101010101010101010101010101010101010101010101010101010101010101010101010101010101010101010101ffff010101010101010101010101010101010101010101010101010101010101010101010101010101010101010101010101010101010101010101010101010101010101ceff0c00000040092900aa000000000000001c00420000000000040000002701ffff030000000000; тому альтернатива двобічна. Відхилення гіпотези 0100090000031e05000000007003000000007003000026060f00d606574d4643010000000000010017b00000000001000000b406000000000000b4060000010000006c000000000000000000000014000000180000000000000000000000250200008e02000020454d4600000100b40600000c00000001000000000000000000000000000000900600001a040000b801000013010000000000000000000000000000c0b6060038320400460000002c00000020000000454d462b014001001c000000100000000210c0db01000000600000006000000046000000280200001c020000454d462b224004000c000000000000001e4009000c00000000000000244001000c000000000000003040020010000000040000000000803f214007000c000000000000000840000574010000680100000210c0db01000000000000000000000000000000000000000100000089504e470d0a1a0a0000000d4948445200000015000000190803000000e90b95df0000000373424954050605330b8d80000000017352474200aece1ce9000000097048597300000ec400000ec401952b0e1b00000042504c544500000000006b000094006db5009ace6b00006b006b6bbae794000094006b94d3ffb56d00b5ebffce9a00ceffffe7ba6bffd394ffebb5ffffcee7ffffffffe7ffffff33446b7e000000934944415428cfb591c11282300c445729520bb53490ffff5593004ea87a72cca133794d779314fc29f03f5a7b20301700c9d5ce0a99f30beed4d27c7d785a2ca5d82d8eaea309cc18bc1b456c91ce3db4b24adf6595664b6b1ffc14147733d55947a829a4c8bccb65d23370bd4d428b75445129c524e503631b5f5f8a29dde52a8766675fe8a1705e6c3edc9a621bfcf77f7b02bbfa24a3c62832870000000049454e44ae426082000840010824000000180000000210c0db01000000030000000000000000000000000000001b40000040000000340000000100000002000000000000bf000000bf0000a8410000c84103000000000000b3000000b3ffffa741000000b3000000b3ffffc7412100000008000000620000000c00000001000000150000000c00000004000000150000000c000000040000005100000028030000000000000000000014000000180000000000000000000000000000000000000015000000190000005000000080000000d000000058020000000000002000cc0015000000190000002800000015000000190000000100080000000000000000000000000000000000160000000000000000000000ffffff00b5ebff0000006b00ce9a00006bbae700ffd3940094d3ff00009ace0094000000ffffce00ceffff0000009400b56d0000ffffe700e7ffff00006db500e7ba6b006b000000ffebb5006b006b006b00940001010101010101010101010101010101010101010100000001010101010101010101010101010101010101010100000001010101010101010101010101010101010101010100c04201010101010101010101010101010b0c0000060101ffffff0101010101010101010101010101080401021413013fb843010101010101010101010101010b0c06010f101101000080010101010101010101010101010b151301010804018105440500000006010f100000090a010b1513010108040100803f010500110101010b0c121301010b0c06010f101101ffffff01020311010101010512130101010504010214130175b8c3010b0c04010101010700060101010f1000001101010200000101080d0e01010102030401010101010101010101000000010105090a0101010b0c0d0e01010101010101010100400001010203060101010108090a01010101010101010141494c01010b0c000000000000000601010101010101010100000001010f1004010101010700110101010101010101017f114401010105090a0101010b0c0d0e010101010101010141494c0101010700060101010108090a010101010101010100000001010107000401010101080006010101010101010100000001010203000004010105000000060101010101010100000001010101010101010101010101010101010101010100000001010101010101010101010101010101010101010100000001010101010101010101010101010101010101010141494c0101010101010101010101010101010101010101010000000101010101010101010101010101010101010101010000004c0000006400000000000000000000001400000018000000000000000000000015000000190000002900aa0000000000000000000000803f00000000000000000000803f0000000000000000000000000000000000000000000000000000000000000000220000000c000000ffffffff460000001c00000010000000454d462b024000000c000000000000000e000000140000000000000010000000140000000400000003010800050000000b0200000000050000000c0219001500030000001e000400000007010400040000000701040079010000410b2000cc00190015000000000019001500000000002800000015000000190000000100080000000000000000000000000000000000160000000000000000000000ffffff00b5ebff0000006b00ce9a00006bbae700ffd3940094d3ff00009ace0094000000ffffce00ceffff0000009400b56d0000ffffe700e7ffff00006db500e7ba6b006b000000ffebb5006b006b006b00940001010101010101010101010101010101010101010100000001010101010101010101010101010101010101010100000001010101010101010101010101010101010101010100c04201010101010101010101010101010b0c0000060101ffffff0101010101010101010101010101080401021413013fb843010101010101010101010101010b0c06010f101101000080010101010101010101010101010b151301010804018105440500000006010f100000090a010b1513010108040100803f010500110101010b0c121301010b0c06010f101101ffffff01020311010101010512130101010504010214130175b8c3010b0c04010101010700060101010f1000001101010200000101080d0e01010102030401010101010101010101000000010105090a0101010b0c0d0e01010101010101010100400001010203060101010108090a01010101010101010141494c01010b0c000000000000000601010101010101010100000001010f1004010101010700110101010101010101017f114401010105090a0101010b0c0d0e010101010101010141494c0101010700060101010108090a010101010101010100000001010107000401010101080006010101010101010100000001010203000004010105000000060101010101010100000001010101010101010101010101010101010101010100000001010101010101010101010101010101010101010100000001010101010101010101010101010101010101010141494c0101010101010101010101010101010101010101010000000101010101010101010101010101010101010101010000000c00000040092900aa000000000000001900150000000000040000002701ffff030000000000 на користь цієї альтернативи інтерпретується як наявність відмінностей між значеннями параметрів для компенсованого та субкомпенсованого станів за кишкової непрохідності, невідхилення – це відсутність відмінностей між значеннями параметрів для компенсованого та субкомпенсованого станів за кишкової непрохідності.
Згідно
з критерієм Стьюдента для перевірки
гіпотези
за двобічний альтернативи треба порівняти
значення

з
– верхньою 010009000003ee0300000000ce0200000000ce02000026060f009205574d46430100000000000100b51a0000000001000000700500000000000070050000010000006c00000000000000000000000b000000180000000000000000000000390100008e02000020454d4600000100700500000c00000001000000000000000000000000000000900600001a040000b801000013010000000000000000000000000000c0b6060038320400460000002c00000020000000454d462b014001001c000000100000000210c0db0100000060000000600000004600000000020000f4010000454d462b224004000c000000000000001e4009000c00000000000000244001000c000000000000003040020010000000040000000000803f214007000c00000000000000084000054c010000400100000210c0db01000000000000000000000000000000000000000100000089504e470d0a1a0a0000000d494844520000000c00000019080300000032b03ffd0000000373424954050605330b8d80000000017352474200aece1ce9000000097048597300000ec400000ec401952b0e1b0000004e504c544500000000006b000094006db5009ace6b00006b6db56bbae794000094006b940094949a6b94d3ffb56d00b5ebffce9a00ced394ceffffe7ba6bffd394ffebb5e7ebb5ffffcee7ffffffffe7ffffff05ade3650000005e4944415428cfbd8f4b0e8030080511c556ad1f2aa2dcffa2a276e1059405c9f05e2601ec35f0230801249b911d560826ed46c913a1c64cbba1de1d723539c46bc331fac9215c028dde7ae20242c8566ada2fc839dc3640d6e8fe2fff39016e59198fdefa8a030000000049454e44ae42608200000840010824000000180000000210c0db01000000030000000000000000000000000000001b40000040000000340000000100000002000000000000bf000000bf000040410000c84103000000000000b3000000b3ffff3f41000000b3000000b3ffffc7412100000008000000620000000c00000001000000150000000c00000004000000150000000c00000004000000510000000c02000000000000000000000b00000018000000000000000000000000000000000000000c000000190000005000000090000000e00000002c010000000000002000cc000c00000019000000280000000c0000001900000001000800000000000000000000000000000000001a0000000000000000000000ffffff00b5ebff0000006b00ffd39400009ace0094000000ffffce0094d3ff00e7ba6b00b56d6b00b5ebe700ce9a0000ceffff006b0094006b9a9400b56d0000ffffe7006bbae7006b000000ffebb50000009400e7ffff00006db5009400940094d3ce000101010101010101010101010101010101010101010101010101010101010101010101010101010101010101010101010101010101010101010101010101010101010101010101010101010101010101010101010102030006070d1500090101161710110d181906071209010d150c0101020306070101010d150c0101011213140101011617101101010d15090101010112131401010d15131401010102030c01010d0e0f101101010108000901020a0b0304010101010203000004010506070101010101010101010101010101010101010101010101010101010101010101010101010101010101010101010101010101010101010101010101010101010101010101010101010101010101010101010101010101010101010101010101010101010101010101010101014c0000006400000000000000000000000b0000001800000000000000000000000c000000190000002900aa0000000000000000000000803f00000000000000000000803f0000000000000000000000000000000000000000000000000000000000000000220000000c000000ffffffff460000001c00000010000000454d462b024000000c000000000000000e000000140000000000000010000000140000000400000003010800050000000b0200000000050000000c0219000c00030000001e0004000000070104000400000007010400eb000000410b2000cc0019000c000000000019000c0000000000280000000c0000001900000001000800000000000000000000000000000000001a0000000000000000000000ffffff00b5ebff0000006b00ffd39400009ace0094000000ffffce0094d3ff00e7ba6b00b56d6b00b5ebe700ce9a0000ceffff006b0094006b9a9400b56d0000ffffe7006bbae7006b000000ffebb50000009400e7ffff00006db5009400940094d3ce000101010101010101010101010101010101010101010101010101010101010101010101010101010101010101010101010101010101010101010101010101010101010101010101010101010101010101010101010102030006070d1500090101161710110d181906071209010d150c0101020306070101010d150c0101011213140101011617101101010d15090101010112131401010d15131401010102030c01010d0e0f101101010108000901020a0b0304010101010203000004010506070101010101010101010101010101010101010101010101010101010101010101010101010101010101010101010101010101010101010101010101010101010101010101010101010101010101010101010101010101010101010101010101010101010101010101010101010c00000040092900aa0000000000000019000c0000000000040000002701ffff030000000000
- межею розподілу Стьюдента з 0100090000032e0b000000008e06000000008e06000026060f00120d574d46430100000000000100c4960000000001000000f00c000000000000f00c0000010000006c000000000000000000000051000000180000000000000000000000630800008e02000020454d4600000100f00c00000c00000001000000000000000000000000000000900600001a040000b801000013010000000000000000000000000000c0b6060038320400460000002c00000020000000454d462b014001001c000000100000000210c0db010000006000000060000000460000008002000074020000454d462b224004000c000000000000001e4009000c00000000000000244001000c000000000000003040020010000000040000000000803f214007000c0000000000000008400005cc010000c00100000210c0db01000000000000000000000000000000000000000100000089504e470d0a1a0a0000000d4948445200000052000000190803000000956d89060000000373424954050605330b8d80000000017352474200aece1ce9000000097048597300000ec400000ec401952b0e1b00000048504c544500000000006b000094006db5009ace6b00006b00946bbae794000094bab594d3ffb56d00b56d94b5d3b5b5ebffce9a00ceffffe7ba6bffd394ffebb5ffffcee7ffffffffe7ffffff356b7d93000000e64944415448c7ed94cb1282300c450316d0a2f68196ffff53f36899a1b43a8e2c5c90456680cb49721b8079f78003f987c8c71900863d910ef43c1b629691eef4fc1aa9304d1dbeb81b320ecf4803ad451f5690157211e4aa6d4c1df60aa3f6cdadb79eac2821431438b8e4aac274cd9dbdf454dbd34565701148d2ef9bd472e28c76ad4d632e91b822f8a4222707d9cb30e24d4e952ee59959522dc2a8e2aa333b162822a3406d5459a47a20fe6426ad90fc8c6d12af2ae1c99470b5886493f074bcaa209360a3ca5692ca4d3d21b95f5c3955dd4b76917ac854d907990eebf85f1ec89fe305592faa20cd5bcffa0000000049454e44ae4260820840010824000000180000000210c0db01000000030000000000000000000000000000001b40000040000000340000000100000002000000000000bf000000bf0000a4420000c84103000000000000b3000000b3ffffa342000000b3000000b3ffffc7412100000008000000620000000c00000001000000150000000c00000004000000150000000c00000004000000510000000c090000000000000000000051000000180000000000000000000000000000000000000052000000190000005000000088000000d800000034080000000000002000cc0052000000190000002800000052000000190000000100080000000000000000000000000000000000180000000000000000000000ffffff00ceffff0000009400e7ba6b006bbae700ffd39400009ace00b56d0000ffffe700ce9a0000b5ebff0000006b0094000000ffffce00006db50094d3ff006b000000b5d3b50094006b00e7ffff00b5ba9400ffebb500946db50001010101010101010101010101010101010101010101010101010101010101010101010101010101010101010101010101010101010101010101010101010101010101010101010101010101010101010101ffff01010101010101010101010101010101010101010101010101010101010101010101010101010101010101010101010101010101010101010101010101010101010101010101010101010101010101010101ffff01010101010101010101010101010101010101010101010101010101010101010101010101010101010101010101010101010101010101010101010101010101010101010101010101010101010101010101ffff01010101010101010101010101010101010101010101010101010101010101010101010101010101010101010101010101010101010101010101010101010101010101010101010101010101010101010101ffff01010101010101010101010101010101010101010101010101010101010101010101010101010101010101010101010101010101010101010101010101010101010101010101010101010101010101010101ffff01010101010101010101010101010101010101010101010101010101010101010101010101010101010101010101010101010101010101010101010101010101010101010101010101010101010101010101ffff0101010101010101010101010101010101010101010101010101010101010101010101010101010101010101010101010101010101010101010101010101010101010101010101010101010101010101010100ff0107080901010203000a0101010101010101010101050809010101010101010101010708090101070d0e01010203000a01010101010101010101010101010101010101010101010105000000000000080901ffff010511160101101116100a010101010101010101010508090101010101010101010105111601011011160101101116100a01010101010101010101010101010101010101010101010203060101010b130e01ceff0110000601011000060101010101010101010101010508090101010101010101010110000601010b0c0601010b0c060101010101010101010101010101010101010101010101010101100d0e010114170e01ceff01020304010102030401010101010101010101010105080901010101010101010101020304010102030a01010203040101010101010101010101010101010101010101010101010101010708090101010101ffff01140f080901140f0809010101010101010101010105080901010101010101010101140f0809010107080901010708090101010101010101010101010101010101010101010101010101140f0a0101010101ffff01010511160101050d0e0101010101010700000000000000000000080901010101010105111601010511160101050d0e01010101010107000000000000000000000809010101010101010102030401010101ffff010110000809011011160101010101010101010101050809010101010101010101010110000809011000080901100006010101010101010101010101010101010101010101010101010101010b0c06010101ffff0f06101112130e10000601010101010101010101010508090101010101010101140f06101112130e050015130e1000060101010101010101010101010101010101010101010101010101010101051116010194ff0107000d0e020300080901010101010101010101010508090101010101010101010107000d0e0203000809020300080901010101010101010101010101010101010101010101010101010101010b0c0a010100ff0101010101010101010101010101010101010101010508090101010101010101010101010101010101010101010101010101010101010101010101010101010101010101010101010101010101020308090100ff010101010101010101010101010101010101010101050809010101010101010101010101010101010101010101010101010101010101010101010101010101010101010101010101050a0101010b0c08090100ff0101010101010101010101010101010101010101010101010101010101010101010101010101010101010101010101010101010101010101010101010101010101010101010101010500060101070004010100ff0101010101010101010101010101010101010101010101010101010101010101010101010101010101010101010101010101010101010101010101010101010101010101010101010102030000000401010100ff0101010101010101010101010101010101010101010101010101010101010101010101010101010101010101010101010101010101010101010101010101010101010101010101010101010101010101010100ff0101010101010101010101010101010101010101010101010101010101010101010101010101010101010101010101010101010101010101010101010101010101010101010101010101010101010101010100ff0101010101010101010101010101010101010101010101010101010101010101010101010101010101010101010101010101010101010101010101010101010101010101010101010101010101010101010100ff0101010101010101010101010101010101010101010101010101010101010101010101010101010101010101010101010101010101010101010101010101010101010101010101010101010101010101010100ff0101010101010101010101010101010101010101010101010101010101010101010101010101010101010101010101010101010101010101010101010101010101010101010101010101010101010101010100ff4c0000006400000000000000000000005100000018000000000000000000000052000000190000002900aa0000000000000000000000803f00000000000000000000803f0000000000000000000000000000000000000000000000000000000000000000220000000c000000ffffffff460000001c00000010000000454d462b024000000c000000000000000e000000140000000000000010000000140000000400000003010800050000000b0200000000050000000c0219005200030000001e00040000000701040004000000070104006b040000410b2000cc00190052000000000019005200000000002800000052000000190000000100080000000000000000000000000000000000180000000000000000000000ffffff00ceffff0000009400e7ba6b006bbae700ffd39400009ace00b56d0000ffffe700ce9a0000b5ebff0000006b0094000000ffffce00006db50094d3ff006b000000b5d3b50094006b00e7ffff00b5ba9400ffebb500946db50001010101010101010101010101010101010101010101010101010101010101010101010101010101010101010101010101010101010101010101010101010101010101010101010101010101010101010101ffff01010101010101010101010101010101010101010101010101010101010101010101010101010101010101010101010101010101010101010101010101010101010101010101010101010101010101010101ffff01010101010101010101010101010101010101010101010101010101010101010101010101010101010101010101010101010101010101010101010101010101010101010101010101010101010101010101ffff01010101010101010101010101010101010101010101010101010101010101010101010101010101010101010101010101010101010101010101010101010101010101010101010101010101010101010101ffff01010101010101010101010101010101010101010101010101010101010101010101010101010101010101010101010101010101010101010101010101010101010101010101010101010101010101010101ffff01010101010101010101010101010101010101010101010101010101010101010101010101010101010101010101010101010101010101010101010101010101010101010101010101010101010101010101ffff0101010101010101010101010101010101010101010101010101010101010101010101010101010101010101010101010101010101010101010101010101010101010101010101010101010101010101010100ff0107080901010203000a0101010101010101010101050809010101010101010101010708090101070d0e01010203000a01010101010101010101010101010101010101010101010105000000000000080901ffff010511160101101116100a010101010101010101010508090101010101010101010105111601011011160101101116100a01010101010101010101010101010101010101010101010203060101010b130e01ceff0110000601011000060101010101010101010101010508090101010101010101010110000601010b0c0601010b0c060101010101010101010101010101010101010101010101010101100d0e010114170e01ceff01020304010102030401010101010101010101010105080901010101010101010101020304010102030a01010203040101010101010101010101010101010101010101010101010101010708090101010101ffff01140f080901140f0809010101010101010101010105080901010101010101010101140f0809010107080901010708090101010101010101010101010101010101010101010101010101140f0a0101010101ffff01010511160101050d0e0101010101010700000000000000000000080901010101010105111601010511160101050d0e01010101010107000000000000000000000809010101010101010102030401010101ffff010110000809011011160101010101010101010101050809010101010101010101010110000809011000080901100006010101010101010101010101010101010101010101010101010101010b0c06010101ffff0f06101112130e10000601010101010101010101010508090101010101010101140f06101112130e050015130e1000060101010101010101010101010101010101010101010101010101010101051116010194ff0107000d0e020300080901010101010101010101010508090101010101010101010107000d0e0203000809020300080901010101010101010101010101010101010101010101010101010101010b0c0a010100ff0101010101010101010101010101010101010101010508090101010101010101010101010101010101010101010101010101010101010101010101010101010101010101010101010101010101020308090100ff010101010101010101010101010101010101010101050809010101010101010101010101010101010101010101010101010101010101010101010101010101010101010101010101050a0101010b0c08090100ff0101010101010101010101010101010101010101010101010101010101010101010101010101010101010101010101010101010101010101010101010101010101010101010101010500060101070004010100ff0101010101010101010101010101010101010101010101010101010101010101010101010101010101010101010101010101010101010101010101010101010101010101010101010102030000000401010100ff0101010101010101010101010101010101010101010101010101010101010101010101010101010101010101010101010101010101010101010101010101010101010101010101010101010101010101010100ff0101010101010101010101010101010101010101010101010101010101010101010101010101010101010101010101010101010101010101010101010101010101010101010101010101010101010101010100ff0101010101010101010101010101010101010101010101010101010101010101010101010101010101010101010101010101010101010101010101010101010101010101010101010101010101010101010100ff0101010101010101010101010101010101010101010101010101010101010101010101010101010101010101010101010101010101010101010101010101010101010101010101010101010101010101010100ff0101010101010101010101010101010101010101010101010101010101010101010101010101010101010101010101010101010101010101010101010101010101010101010101010101010101010101010100ff0c00000040092900aa000000000000001900520000000000040000002701ffff030000000000
ступенями вільності.
Якщо 010009000003d62c000000009b14000000001610000026060f002220574d46430100000000000100a2a5000000000200000000200000b40f0000b42f0000010000006c0000000000000000000000b400000037000000000000000000000083120000ba05000020454d4600000100b42f00000c00000001000000000000000000000000000000900600001a040000b801000013010000000000000000000000000000c0b6060038320400460000002c00000020000000454d462b014001001c000000100000000210c0db01000000600000006000000046000000e4040000d8040000454d462b224004000c000000000000001e4009000c00000000000000244001000c000000000000003040020010000000040000000000803f214007000c000000000000000840000530040000240400000210c0db01000000000000000000000000000000000000000100000089504e470d0a1a0a0000000d49484452000000b50000003808030000008ca3499d0000000373424954050605330b8d80000000017352474200aece1ce9000000097048597300000ec400000ec401952b0e1b00000087504c544500000000006b000094006db5009ace6b00006b006b6b00946b6d006b6d6b6b9a946b9ace6bbae794000094006b940094946db5949a6b949ace94d3ffb56d00b56d6bb56d94b59ab5b5baceb5ebffb5ebe7ce9a00ce9a6bcebab5ced394ced3ffceffceceffffceffe7e7ba6be7ba94e7bab5ffd394ffebb5ffffcee7ffcee7ffffffffe7ffffff6c33b6940000030a4944415468deed97717b9b2010c689334bb7e9ba8d649d25db6a5c90267cffcf370e0145d3896255f6943ff20413e5c7f9dedd0be2210e34f88e2219ffeb92d42c4562c4815187196bf878770990faba47a8095e890621bc6e85901782bd66eaeb1e07a86b96b6a8591ae50434b3765d5b95ef7c3adc611ae5aba6a6085b39c879b9c59cce196b62458dc4fdd4e52e6f5f95c4315f3335dd64edab24a95274c5d4bc40911d6d20669fb3f9a9550576a2169f51572470c9a626b7f6f052a91f435d6e133e809a76ff06b26ec7baf352ea8526a0860e8d10c8d58dbab8f12f19d88e422842d892925e689258eb57de4b3d7888fad87ce60d6d8da7d66aaba90932c3538922c035ea04b236d42c8dfb6b08721f1d5d6956b3d014d4d0db5e492176accd4253509bc631bd426c5d539f4c040b1137a84d8eb8c7fabadf3828a45543fa92f1650f0cd0a28fc95d1b6a31217818f5f7fe6250745e9359486c272edf67c2f48aed6744fd5151ab4bcf69e7502d6e69ea5ac5c49d9a7de9d5cd8ddea81782981def3058f5e3e3e12b568e4c511f1ff70897db28ef1c50654318ee43eaf53f792528ae37c5d2449ac686f3857387f2eb8dabba274f464d87d51e78d1d26ec97b059eda81d6b572be6d99ab9eec414d210cd153da08829a13143b5083767f5e80abc23be70d6a455cee4e0f173b34148f39cbd48fc0fcfc04e7c5c450577384fb032f4af806b4cbaf07810fe61c25563626f255b0b459282badf8511770f0dae562599962f2793087e0257cc01b1b3e3ca88f998c30bbcf6b5d57f37f16dd2986273581e47ffe6da8e5fcc2ee4f3f564a0d4d4626cc56763b496d52cbd740bf1ef5c3852f35c6533bb4c6955043e9d12dd6ab35ce4a2d92cdc0c217f753c192d4b46a05d5f72494588bea60ec31c5815017b8763cb23506410d6732a38b3f5920d4d63886486dce5fdaadbabbd485a8c19b9bd6a8ddaabb4b5d869a7cdce2466b546e75844b9d5921e20ccabee98976ab33b9d4f1d4e22c5a3774ed566772a91ed95844bfb410b45b9dcba57a505ff71f166c32a32b1f4521522fda6438e2218e37ea37eaff91fa2f10a968c1ed6ebe600000000049454e44ae426082000840010824000000180000000210c0db01000000030000000000000000000000000000001b40000040000000340000000100000002000000000000bf000000bf000035430000604203000000000000b3000000b3ffff3443000000b3000000b3ffff5f422100000008000000620000000c00000001000000150000000c00000004000000150000000c00000004000000510000006c2900000000000000000000b40000003700000000000000000000000000000000000000b50000003800000050000000dc0000002c01000040280000000000002000cc00b50000003800000028000000b50000003800000001000800000000000000000000000000000000002d0000000000000000000000ffffff006bbae700e7ba6b00ceffff0000009400ce9a0000b56d0000ffffe700e7ffff00006db500ffd39400009ace0094000000ffffce00b5bae700e7ffce006b6db500006d6b0094d3ff00b5ebff0000006b0094006b006b000000ffebb5006b009400946db5006b006b00ceffe700b56d94006b9ace00e7ebb5006b9a9400ce9a6b00ceffce00b5bace00b59ab50094009400ffd3ce00cebab50094bae700949a6b00ce9a940094d3ce006b6d6b00010101010101010101010101010101010101010101010101010101010101010101010101010101010101010101010101010101010101010101010101010101010101010101010101010101010101010101010101010101010101010101010101010101010101010101010101010101010101010101010101010101010101010101010101010101010101010101010101010101010101010101010101010101010101010101010101010101010101010101010101010101010101010101010101010101010101010101010101010101010101010101010101010101010101010101010101010101010101010101010101010101010101010101010101010101010101010101010101010101010101010101010101010101010101010101010101010101010101010101010101010101010101010101010101010101010101010101010101010101010101010101010101010101010101010101010101010101010101010101010101010101010101010101010101010101010101010101010101010101010101010101010101010101010101010101010101010101010101010101010101010101010101010101010101010101010101010101010101010101010101010101010101010101010101010101010101010101010101010101010101010101010101010101010101010101010101010101010101010101010101010101010101010101010101010101010101010101010101010101010101010101010101010101010101010101010101010101010101010101010101010101010101010101010101010101010101010101010101010101010101010101010101010101010101010101010101010101010101010101010101010101010101010101010101010101010101010101010101010101010101010101010101010101010101010101010101010101010101010101010101010101010101010101010101010101010101010101010101010101010101010101010101010101010101010101010101010101010101010101010101010101010101010101010101010101010101010101010101010101010101010101010101010101010101010101010101010101010101010101010101010101010101010101010101010101010101010101010101010101010101010101010101010101010101010101010101010101010101010101010101010101010101010101010101010101010101010101010101010101010101010101010101010101010101010101010101010101010101010101010101010101010101010101010101010101010101010101010101010101010101010101010101010101010101010101011e180101010101010101010101010101010101010101010101010101010101010101010101010101010101010101010101010101010101010101010101010101010101010101010101010101010101010101010101010101010101010101010101010101010101010101010101010101010101010101010101010101010e000d0101010101010101010101010101010101010101010101010101010101010101010101010101010101010101010101010101010101010113000b010101010101010101010101010101010101010101010101010101010101010101010101010101010101010101010101010101010101010101010101010101010101010101010101010101010101010101010101010101010101010101010101010101010101010101010101010101010101010101010101010101010101010101010101010101010101010101010101010101010101010101010101010101010101010101010101010101010101010101010101090a2c0b010101010101010101010101010101010101010101010101010101010101010101010101010101010101010101010101010101010101010101010101010101010101010101010101010101010101010101010101010101010101010101010101010101010101010101010101010101010101010101010101010101010101010101010101010101010101010101010101010101010101010101010101010101010101010101010101010101010101010101010101020d2b0301010101010101090a0b0114150d0e090a0b01020601090a171801010101010101010101010101010101010101010101010101010101010101010101010101010101010101010101010101010101010101010101010101010101010101010101010101010101010101010101010101010101010101010101010101010101010101010101010101010101010101010101010101010101010101010101010101010101010101010101010101010101010101010104050b142101010101010101010c030113071c26010c030113070804251027010101010101010101010101010101010101010101010101010101010101010101010101010101010101010101010101010101010101010101010101010101010101010101010101010101010101010101010101010101010101010101010101010304090101010101010101010101010101010101010101010101010101010101010101010101010101010101010101010101010101010101020708042a010101010101010113060104250e010113060104250e090a0b01010101010101010101010101010101010101010101010101010101010101010101010101010101010101010101010101010101010101010101010101010101010101010101010101010101010101010101010101010101010101010101010101010304010101010101010101010101010101010101010101010101010101010101010101010101010101010101010101010101010101010c29150b01041d080101010101010114160e091118010114160e090a0b010203010101010101010101010101010101010101010101010101010101010101010101010101010101010101010101010101010101010101010101010101010101010101010101010101010101010101010101010101010101010101010101010101010101010101010101010101010101010101010101010101010101010101010101010101010101010101010101010101010101010101010101020601010924080101010101010f22050d0e0c03010f22050d0e0c000b130601010101010101010101010101010101010101010101010101010101010101010101010101010101010101010101010101010101010101010101010101010101010101010101010101010101010101010101010101010101010101010101010101010101010101010101010101010101010101010101010101010101010101010101010101010101010101010101010101010101010101010101010101091a0e01010101010104050d2205000b0104050d2205000b0c000601010101010101010101010101010101010101010101010101010101010101010101010101010101010101010101010101010101010101010101010101010101010101010101010101010101010101010101010101010101010101010101010101010101010101010101010101010101010101010101010101010101010101010101010101010101010101010101010101010101010101010101010101011e18010101010101010101010101010101010101010101010101010101010101010101010101010101010101010101010101010101010101010101010101010101010101010101010101010101010101010101010101010101010101010101010101010101010101010101010101010101010101010101010101010101010101010101010101010101010101010101010101010101010101010101010101010101010101010101010101010c000000030101010101010101281801010101010101010101010101010101010101010101010101010101010101010101010101010101010101010101010101010101010101010101010101010101010101010101010101010101010101010101010101010101010101010101010101010101010101010101010101010101010101010101010101010101010101010101010101010101010101010101010101010101010101010101010101010101010101010101010101020b0104191801010101010101020b010101010101010101010101010101010101010101010101010101010101010101010101010101010101010101010101010101010101010101010101010101010101010101010101010101010101010101010101010101010101010101010101010101010101010101010101010101010101010101010101010101010101010101010101010101010101010101010101010101010101010101010101010101010101010101010101010101090a0d0e01010101010101130b0101010101010101010101010101010101010101010101010101010101010101010101010101010101010101010101010101010101010101010101010101010101010101010101010101010101010101010101010101010101010101010101010101010101010101010101010101010101010101010101010101010102010101010101010101010101010101010101010101010101010101010101010101010101010101010101010101130003010101010101010101130301010101010101010101010101010101010101010101010101010101010101010101010101010101010101010101010101010101010101010101010101010101010101010101010101010101010101010101010101010101010101010101010101010101010101010101010101010101010101010101010101010101010101010101010101010101010101010101010101010101010101010101010101010101010101010101010101010c03011421010101010101011421010100000000000000000000000000000000000000000000000000000101010101010101010101010101010101010101010101010101010101010101010101010101010101010101010101010101010101010101010101010101010101010101010101010101010101010101010101010101010101010101010101010101010101010101010101010101010101010101010101010101010101010101010101010101010101010101010104050000070801010101010114210101010101010101010101010101010101010101010101010101010101010101010101010101010101010101010101010101010101010101010101010101010101010101010101010101010101010101010101010101010101010101010101010101010101010101010101010101010101010101010101010101010101010101010101010101010101010101010101010101010101010101010101010101010101010101010101010101010101010101010101010101041d0801010101010101010101010101010101010101010101010101010101010101010101010101010101010101010101010101010101010101010101010101010101010101010101010101010101010101010101010101010101010101010101010101010101010101010101010101010101010101010101010101010e0001010101010101010101010101010101010101010101010101010101010101010101010101010101010101010101010101010101010101010109240801010101010101010101010101010101010101010101010101010101010101010101010101010101010101010101010101010101010101010101010101010101010101010101010101010101010101010101010101010101010101010101010101010101010101010101010101010101010101010101010101010101010101010101010101010101010101010101010101010101010101010101010101010101010101010101010101010101010101010101010101091a0e01090a0b0114150d0e0101011306010101090a0b01020601090a1718010101010101010101010101010101010101010101010101010101010101010101010101010101010101010101010101010101010101010101010101010101010101010101010101010101010101010101010101010101010101010101010101010101010101010101010101010101010101010101010101010101010101010101010101010101010101010101010101010101010101010101011e1801010c030113071c260101011306010101010c030113070804251027010101010101010101010101010101010101010101010101010101010101010101010101010101010101010101010101010101010101010101010101010101010101010101010101010101010101010101010101010101010101010101010101010101010101010101010101010101010101010101010101010101010101010101010101010101010101010101010101010101010101010101011e18010113060104250e0101010113060101010113060104250e090a0b0101010101010101010101010101010101010101010101010101010101010101010101010101010101010101010101010101010101010101010101010101010101010101010101010101010101010101010101010101010101010101010101010101010101010101010101010101010101010101010101010101010101010101010101010101010101010101010101010101010101010101010101020b010114160e09111801141500000000000b0114160e090a0b0102030101010101010101010101010101010101010101010101010101010101010101010101010101010101130301010101010101010101010101010101010101010101010101010101010101010101010101010101010101010101010101010101010101010101010101010101010101010101010101010101010101010101010101010101010101010101010101010101010101010101010101010101130b010f22050d0e0c030101010113060101010f22050d0e0c000b13060101010101010101010101010101010101010101010101010101010101010101090a00171f0a000b01091118090a0301090a000301010101090a0b01010101090a03010419180104051718010101010101010101010405000000000b010101010101010c060101010101010101010101010c060101010101010101010101010101010101010101010101010101010101010101010101010101010113030104050d2205000b01010101130601010104050d2205000b0c00060101010101010101010101010101010101010101010101010101010101010101141b18090a17182308090a0b01020601090a0b0f0e010101090a0b0101010101020601090a0b0114161024080101010101010101010113060101130b010101010101010c060101010101010101010101010c060101010101010101010101010101010101010101010101010101010101010101010101010101010114210101010101010101010101011306010101010101010101010101010101010101010101010101010101010101010101010101010101010101010101141b1801041918010101010101130d0e010c030101010101090a0b010101010113070801020601090a0b010101010101010101010101010206010101010101010101010c060101010101010101010101010c060101010101010101010101010101010101010101010101010101010101010101010101010101010114210101010101010101010101010101010101010101010101010101010101010101010101010101010101010101010101010101010101010101010101090a0b01010c03010101010101040503011307080104050000000000000b010104050b01130d0e0102030104050000000000000b0101010113060101010111010101010c06010101141500000b010101010c0601010101010101010101010101010101010101010101010101010101010101010101010101010101041d0801010101010101010101010101010101010101010101010101010101010101010c030101010101010101010101010101010101141500000b010101131718011e120b0104050b1e1f11200b14160e01010101090a0b010101011e1f0a000b14150d0e0207080101010101010101010101010101020301010101010101010c06010101021718010c0b0101010c0601010101010101010101010101010101010101010101010101010101010101010101010101010101091a0e010101010101010101010101010101010101010101010101010101010101010101020007080101010101010101010101010101021718010c0b01010113000006141b1804050b090a17180c00070801010101090a0b01010101090a17180c00071c050006010101010101010101010101010101141b18010101010101010c06010101020d0e0101010101010c0601010101010101010101010101010101010101010101010101010101010101010101010101010101090a1700000000000000000000000000000000000000000000000000000101010101010101011300000b010101010101010101010101020d0e01010101010101010101010101010101010101010101010101010101090a0b010101010101010101010101010101010101010101010101010104191801131718010103040101010c060101011317180101010101010c0601010101010101010c0000000000000000000007080101010101010101010101010101010101010101010101010101010101010101010101010101010101010101010101010101010101010101010101040500060101010101010101010113171801010101010101010101010101010101010101010101010101010101010101010101010101010101010101010101010101010101010101010101040500000601010104010101010c06f007000026060f00d60f574d4643010000000000010000000000000002000000b40f000000000000b42f000001010114150b0101010101010c0601010101010101010101010101010101010101010101010101010101010101010101010101010101010101010101010101010101010101010101010101010101010101010101010101010101010101010101090a000d0e0101010101010114150b01010101010101010101010101010101010101010101010101010101010101010101010101010101010101010101010101010101010101010101010101010101010101010101010c060101010405060101010101010c060101010101010101010101010101010101010101010101010101000000000000000000000000000000000000000000000000000000000000000000000000000000000000000101010101010101010101010101010102070801010101010104050601010101010101010101010101010101010101010101010101010101010101010101010101010101010101010101010101010101010101010101010101010101010101010101010c06010101010c070801010101010c0601010101010101010c00000000000000000000070801010101010101010101010101010101010101010101010101010101010101010101010101010101010101010101010101010101010101010101010101090a000d0e01010101010101010c0708010101010101010101010101010101010101010101010101010101010101010101010101010101010101010101010101010101010101010101010101010101010101010101010c0601010101020d0e01010101010c060101010101010101010101010101010101010101010101010101010101010101010101010101010101010101010101010101010101010101010101010101010101010101010101010101010101010101040500060101010101010101010101020d0e010101010101010101010101010101010101010101010101010101010101010101010101010101010101010101010101010101010101010101010101010101010114150c01010c060101090a00000000171801010c0601010101010101010101010101010101010101010101010101010101010101020301010102060101010101010101010101010101010101010c0301010102030101010101010101010101010101011300000b0101010101010101010101090a000000001718010101010101010101010101010101010101010101010101010101010101010101010101010101010101010101010101010101010101010101010101010101010101010c060101010114150301010101010c060101010101010101010101010101010101010101010101010101010101010102030101010113060101010101010101010101010101010101020601010102030101010101010101010101010102000d0e010101010101010101010101010101141503010101010101010101010101010101010101010101010101010101010101010101010101010101010101010101010101010101010101010101010101010101010101010101010c0601010101010c0708010101010c0601010101010101010101010101010101010101010101010101010101010101020301010101020d0e01010101010101010101010101010101130d0e010102030101010101010101010101010c03010101010101010101010101010101010101010c07080101010101010101010101010101010101010101010101010101010101010101010101010101010101010101010101010101010101010101010101010101010101010101010c060101010101010101010101010c06010101010101010101010101010101010101010101010101010101010101010203010102000d0e01010101010101010101010101090a0b01041918010102030101010101010101010101010101010101010101010101010101010101010101010101010101010101010101010101010101010101010101010101010101010101010101010101010101010101010101010101010101010101010101010101010101010101010101010c060101010101010101010101010c0601010101010101010101010101010101010101010101010101010101010101020301131718010101010101010101010101010101010c0301090a0b010102030101010101010101010101010101010101010101010101010101010101010101010101010101010101010101010101010101010101010101010101010101010101010101010101010101010101010101010101010101010101010101010101010101010101010101010c060101010101010101010101010c060101010101010101010101010101010101010101010101010101010101010102030114160e010101010101010101010101010101011307080102060101020301010101010101010101010101010101010101010101010101010101010101010101010101010101010101010101010101010101010101010101010101010101010101010101010101010101010101010101010101010101010101010101010101010101010101010101010101010101010101010101010101010101010101010101010101010101010101010101010101010101010101010203010113000b0101010104050000000000000b010114150b0113070801020301010101010101010101010101010101010101010101010101010101010101010101010101010101010101010101010101010101010101010101010101010101010101010101010101010101010101010101010101010101010101010101010101010101010101010101010101010101010101010101010101010101010101010101010101010101010101010101010101010101010101010203010101090a00060101010101010101010101010f1011120b130d0e01020301010101010101010101010101010101010101010101010101010101010101010101010101010101010101010101010101010101010101010101010101010101010101010101010101010101010101010101010101010101010101010101010101010101010101010101010101010101010101010101010101010101010101010101010101010101010101010101010101010101010101010203010104050b010101010101010101010101010104050d0e0c000708010203010101010101010101010101010101010101010101010101010101010101010101010101010101010101010101010101010101010101010101010101010101010101010101010101010101010101010101010101010101010101010101010101010101010101010101010101010101010101010101010101010101010101010101010101010101010101010101010101010101010101010102030101090a0b0101010101010101010101010101010101010101010101020301010101010101010101010101010101010101010101010101010101010101010101010101010101010101010101010101010101010101010101010101010101010101010101010101010101010101010101010101010101010101010101010101010101ffffff010101010101010101010101010101010101010101010101010101010101010101010101010101010101010101010101010203010101010c0708010101010101010101010101010101010101010101020301010101010101010101010101010101010101010101010101010101010101010101010101010101010101010101010101010101010101010101010101010101010101010101010101010101010101010101010101010101010101010101010101010101ffffff010101010101010101010101010101010101010101010101010101010101010101010101010101010101010101010101010203010101090a000007080101010101010101010104050000000000000b020301010101010101010101010101010101010101010101010101010101010101010101010101010101010101010101010101010101010101010101010101010101010101010101010101010101010101010101010101010101010101010101010101010101ffffff01010101010101010101010101010101010101010101010101010101010101010101010101010101010101010101010101020301010102070801010101010101010101010101010101010101010101020301010101010101010101010101010101010101010101010101010101010101010101010101010101010101010101010101010101010101010101010101010101010101010101010101010101010101010101010101010101010101010101010101010101ffffff01010101010101010101010101010101010101010101010101010101010101010101010101010101010101010101010101020301010101010101010101010101010101010101010101010101010101020301010101010101010101010101010101010101010101010101010101010101010101010101010101010101010101010101010101010101010101010101010101010101010101010101010101010101010101010101010101010101010101010101010101ffffff01010101010101010101010101010101010101010101010101010101010101010101010101010101010101010101010101020304050000000006010101010101010101010101010101010101010101020301010101010101010101010101010101010101010101010101010101010101010101010101010101010101010101010101010101010101010101010101010101010101010101010101010101010101010101010101010101010101010101010101010101ffffff01010101010101010101010101010101010101010101010101010101010101010101010101010101010101010101010101020301010101010101010101010101010101010101010101010101010101020301010101010101010101010101010101010101010101010101010101010101010101010101010101010101010101010101010101010101010101010101010101010101010101010101010101010101010101010101010101010101010101010101010101ffffff01010101010101010101010101010101010101010101010101010101010101010101010101010101010101010101010101010101010101010101010101010101010101010101010101010101010101010101010101010101010101010101010101010101010101010101010101010101010101010101010101010101010101010101010101010101010101010101010101010101010101010101010101010101010101010101010101010101010101010101010101ffffff4c000000640000000000000000000000b4000000370000000000000000000000b5000000380000002900aa0000000000000000000000803f00000000000000000000803f0000000000000000000000000000000000000000000000000000000000000000220000000c000000ffffffff460000001c00000010000000454d462b024000000c000000000000000e000000140000000000000010000000140000000400000003010800050000000b0200000000050000000c023800b500030000001e00040000000701040004000000070104009b140000410b2000cc003800b500000000003800b5000000000028000000b50000003800000001000800000000000000000000000000000000002d0000000000000000000000ffffff006bbae700e7ba6b00ceffff0000009400ce9a0000b56d0000ffffe700e7ffff00006db500ffd39400009ace0094000000ffffce00b5bae700e7ffce006b6db500006d6b0094d3ff00b5ebff0000006b0094006b006b000000ffebb5006b009400946db5006b006b00ceffe700b56d94006b9ace00e7ebb5006b9a9400ce9a6b00ceffce00b5bace00b59ab50094009400ffd3ce00cebab50094bae700949a6b00ce9a940094d3ce006b6d6b00010101010101010101010101010101010101010101010101010101010101010101010101010101010101010101010101010101010101010101010101010101010101010101010101010101010101010101010101010101010101010101010101010101010101010101010101010101010101010101010101010101010101010101010101010101010101010101010101010101010101010101010101010101010101010101010101010101010101010101010101010101010101010101010101010101010101010101010101010101010101010101010101010101010101010101010101010101010101010101010101010101010101010101010101010101010101010101010101010101010101010101010101010101010101010101010101010101010101010101010101010101010101010101010101010101010101010101010101010101010101010101010101010101010101010101010101010101010101010101010101010101010101010101010101010101010101010101010101010101010101010101010101010101010101010101010101010101010101010101010101010101010101010101010101010101010101010101010101010101010101010101010101010101010101010101010101010101010101010101010101010101010101010101010101010101010101010101010101010101010101010101010101010101010101010101010101010101010101010101010101010101010101010101010101010101010101010101010101010101010101010101010101010101010101010101010101010101010101010101010101010101010101010101010101010101010101010101010101010101010101010101010101010101010101010101010101010101010101010101010101010101010101010101010101010101010101010101010101010101010101010101010101010101010101010101010101010101010101010101010101010101010101010101010101010101010101010101010101010101010101010101010101010101010101010101010101010101010101010101010101010101010101010101010101010101010101010101010101010101010101010101010101010101010101010101010101010101010101010101010101010101010101010101010101010101010101010101010101010101010101010101010101010101010101010101010101010101010101010101010101010101010101010101010101010101010101010101010101010101010101010101010101010101010101010101010101010101010101010101010101010101010101010101010101010101011e180101010101010101010101010101010101010101010101010101010101010101010101010101010101010101010101010101010101010101010101010101010101010101010101010101010101010101010101010101010101010101010101010101010101010101010101010101010101010101010101010101010e000d0101010101010101010101010101010101010101010101010101010101010101010101010101010101010101010101010101010101010113000b010101010101010101010101010101010101010101010101010101010101010101010101010101010101010101010101010101010101010101010101010101010101010101010101010101010101010101010101010101010101010101010101010101010101010101010101010101010101010101010101010101010101010101010101010101010101010101010101010101010101010101010101010101010101010101010101010101010101010101010101090a2c0b010101010101010101010101010101010101010101010101010101010101010101010101010101010101010101010101010101010101010101010101010101010101010101010101010101010101010101010101010101010101010101010101010101010101010101010101010101010101010101010101010101010101010101010101010101010101010101010101010101010101010101010101010101010101010101010101010101010101010101010101020d2b0301010101010101090a0b0114150d0e090a0b01020601090a171801010101010101010101010101010101010101010101010101010101010101010101010101010101010101010101010101010101010101010101010101010101010101010101010101010101010101010101010101010101010101010101010101010101010101010101010101010101010101010101010101010101010101010101010101010101010101010101010101010101010101010104050b142101010101010101010c030113071c26010c030113070804251027010101010101010101010101010101010101010101010101010101010101010101010101010101010101010101010101010101010101010101010101010101010101010101010101010101010101010101010101010101010101010101010101010304090101010101010101010101010101010101010101010101010101010101010101010101010101010101010101010101010101010101020708042a010101010101010113060104250e010113060104250e090a0b01010101010101010101010101010101010101010101010101010101010101010101010101010101010101010101010101010101010101010101010101010101010101010101010101010101010101010101010101010101010101010101010101010304010101010101010101010101010101010101010101010101010101010101010101010101010101010101010101010101010101010c29150b01041d080101010101010114160e091118010114160e090a0b010203010101010101010101010101010101010101010101010101010101010101010101010101010101010101010101010101010101010101010101010101010101010101010101010101010101010101010101010101010101010101010101010101010101010101010101010101010101010101010101010101010101010101010101010101010101010101010101010101010101010101010101020601010924080101010101010f22050d0e0c03010f22050d0e0c000b130601010101010101010101010101010101010101010101010101010101010101010101010101010101010101010101010101010101010101010101010101010101010101010101010101010101010101010101010101010101010101010101010101010101010101010101010101010101010101010101010101010101010101010101010101010101010101010101010101010101010101010101010101091a0e01010101010104050d2205000b0104050d2205000b0c000601010101010101010101010101010101010101010101010101010101010101010101010101010101010101010101010101010101010101010101010101010101010101010101010101010101010101010101010101010101010101010101010101010101010101010101010101010101010101010101010101010101010101010101010101010101010101010101010101010101010101010101010101011e18010101010101010101010101010101010101010101010101010101010101010101010101010101010101010101010101010101010101010101010101010101010101010101010101010101010101010101010101010101010101010101010101010101010101010101010101010101010101010101010101010101010101010101010101010101010101010101010101010101010101010101010101010101010101010101010101010c000000030101010101010101281801010101010101010101010101010101010101010101010101010101010101010101010101010101010101010101010101010101010101010101010101010101010101010101010101010101010101010101010101010101010101010101010101010101010101010101010101010101010101010101010101010101010101010101010101010101010101010101010101010101010101010101010101010101010101010101010101020b0104191801010101010101020b010101010101010101010101010101010101010101010101010101010101010101010101010101010101010101010101010101010101010101010101010101010101010101010101010101010101010101010101010101010101010101010101010101010101010101010101010101010101010101010101010101010101010101010101010101010101010101010101010101010101010101010101010101010101010101010101010101090a0d0e01010101010101130b0101010101010101010101010101010101010101010101010101010101010101010101010101010101010101010101010101010101010101010101010101010101010101010101010101010101010101010101010101010101010101010101010101010101010101010101010101010101010101010101010101010102010101010101010101010101010101010101010101010101010101010101010101010101010101010101010101130003010101010101010101130301010101010101010101010101010101010101010101010101010101010101010101010101010101010101010101010101010101010101010101010101010101010101010101010101010101010101010101010101010101010101010101010101010101010101010101010101010101010101010101010101010101010101010101010101010101010101010101010101010101010101010101010101010101010101010101010101010c03011421010101010101011421010100000000000000000000000000000000000000000000000000000101010101010101010101010101010101010101010101010101010101010101010101010101010101010101010101010101010101010101010101010101010101010101010101010101010101010101010101010101010101010101010101010101010101010101010101010101010101010101010101010101010101010101010101010101010101010101010104050000070801010101010114210101010101010101010101010101010101010101010101010101010101010101010101010101010101010101010101010101010101010101010101010101010101010101010101010101010101010101010101010101010101010101010101010101010101010101010101010101010101010101010101010101010101010101010101010101010101010101010101010101010101010101010101010101010101010101010101010101010101010101010101010101041d0801010101010101010101010101010101010101010101010101010101010101010101010101010101010101010101010101010101010101010101010101010101010101010101010101010101010101010101010101010101010101010101010101010101010101010101010101010101010101010101010101010e0001010101010101010101010101010101010101010101010101010101010101010101010101010101010101010101010101010101010101010109240801010101010101010101010101010101010101010101010101010101010101010101010101010101010101010101010101010101010101010101010101010101010101010101010101010101010101010101010101010101010101010101010101010101010101010101010101010101010101010101010101010101010101010101010101010101010101010101010101010101010101010101010101010101010101010101010101010101010101010101010101091a0e01090a0b0114150d0e0101011306010101090a0b01020601090a1718010101010101010101010101010101010101010101010101010101010101010101010101010101010101010101010101010101010101010101010101010101010101010101010101010101010101010101010101010101010101010101010101010101010101010101010101010101010101010101010101010101010101010101010101010101010101010101010101010101010101010101011e1801010c030113071c260101011306010101010c030113070804251027010101010101010101010101010101010101010101010101010101010101010101010101010101010101010101010101010101010101010101010101010101010101010101010101010101010101010101010101010101010101010101010101010101010101010101010101010101010101010101010101010101010101010101010101010101010101010101010101010101010101010101011e18010113060104250e0101010113060101010113060104250e090a0b0101010101010101010101010101010101010101010101010101010101010101010101010101010101010101010101010101010101010101010101010101010101010101010101010101010101010101010101010101010101010101010101010101010101010101010101010101010101010101010101010101010101010101010101010101010101010101010101010101010101010101010101020b010114160e09111801141500000000000b0114160e090a0b0102030101010101010101010101010101010101010101010101010101010101010101010101010101010101130301010101010101010101010101010101010101010101010101010101010101010101010101010101010101010101010101010101010101010101010101010101010101010101010101010101010101010101010101010101010101010101010101010101010101010101010101010101130b010f22050d0e0c030101010113060101010f22050d0e0c000b13060101010101010101010101010101010101010101010101010101010101010101090a00171f0a000b01091118090a0301090a000301010101090a0b01010101090a03010419180104051718010101010101010101010405000000000b010101010101010c060101010101010101010101010c060101010101010101010101010101010101010101010101010101010101010101010101010101010113030104050d2205000b01010101130601010104050d2205000b0c00060101010101010101010101010101010101010101010101010101010101010101141b18090a17182308090a0b01020601090a0b0f0e010101090a0b0101010101020601090a0b0114161024080101010101010101010113060101130b010101010101010c060101010101010101010101010c060101010101010101010101010101010101010101010101010101010101010101010101010101010114210101010101010101010101011306010101010101010101010101010101010101010101010101010101010101010101010101010101010101010101141b1801041918010101010101130d0e010c030101010101090a0b010101010113070801020601090a0b010101010101010101010101010206010101010101010101010c060101010101010101010101010c060101010101010101010101010101010101010101010101010101010101010101010101010101010114210101010101010101010101010101010101010101010101010101010101010101010101010101010101010101010101010101010101010101010101090a0b01010c03010101010101040503011307080104050000000000000b010104050b01130d0e0102030104050000000000000b0101010113060101010111010101010c06010101141500000b010101010c0601010101010101010101010101010101010101010101010101010101010101010101010101010101041d0801010101010101010101010101010101010101010101010101010101010101010c030101010101010101010101010101010101141500000b010101131718011e120b0104050b1e1f11200b14160e01010101090a0b010101011e1f0a000b14150d0e0207080101010101010101010101010101020301010101010101010c06010101021718010c0b0101010c0601010101010101010101010101010101010101010101010101010101010101010101010101010101091a0e010101010101010101010101010101010101010101010101010101010101010101020007080101010101010101010101010101021718010c0b01010113000006141b1804050b090a17180c00070801010101090a0b01010101090a17180c00071c050006010101010101010101010101010101141b18010101010101010c06010101020d0e0101010101010c0601010101010101010101010101010101010101010101010101010101010101010101010101010101090a1700000000000000000000000000000000000000000000000000000101010101010101011300000b010101010101010101010101020d0e01010101010101010101010101010101010101010101010101010101090a0b010101010101010101010101010101010101010101010101010104191801131718010103040101010c060101011317180101010101010c0601010101010101010c0000000000000000000007080101010101010101010101010101010101010101010101010101010101010101010101010101010101010101010101010101010101010101010101040500060101010101010101010113171801010101010101010101010101010101010101010101010101010101010101010101010101010101010101010101010101010101010101010101040500000601010104010101010c0601010114150b0101010101010c0601010101010101010101010101010101010101010101010101010101010101010101010101010101010101010101010101010101010101010101010101010101010101010101010101010101010101010101090a000d0e0101010101010114150b01010101010101010101010101010101010101010101010101010101010101010101010101010101010101010101010101010101010101010101010101010101010101010101010c060101010405060101010101010c060101010101010101010101010101010101010101010101010101000000000000000000000000000000000000000000000000000000000000000000000000000000000000000101010101010101010101010101010102070801010101010104050601010101010101010101010101010101010101010101010101010101010101010101010101010101010101010101010101010101010101010101010101010101010101010101010c06010101010c070801010101010c0601010101010101010c00000000000000000000070801010101010101010101010101010101010101010101010101010101010101010101010101010101010101010101010101010101010101010101010101090a000d0e01010101010101010c0708010101010101010101010101010101010101010101010101010101010101010101010101010101010101010101010101010101010101010101010101010101010101010101010c0601010101020d0e01010101010c060101010101010101010101010101010101010101010101010101010101010101010101010101010101010101010101010101010101010101010101010101010101010101010101010101010101010101040500060101010101010101010101020d0e010101010101010101010101010101010101010101010101010101010101010101010101010101010101010101010101010101010101010101010101010101010114150c01010c060101090a00000000171801010c0601010101010101010101010101010101010101010101010101010101010101020301010102060101010101010101010101010101010101010c0301010102030101010101010101010101010101011300000b0101010101010101010101090a000000001718010101010101010101010101010101010101010101010101010101010101010101010101010101010101010101010101010101010101010101010101010101010101010c060101010114150301010101010c060101010101010101010101010101010101010101010101010101010101010102030101010113060101010101010101010101010101010101020601010102030101010101010101010101010102000d0e010101010101010101010101010101141503010101010101010101010101010101010101010101010101010101010101010101010101010101010101010101010101010101010101010101010101010101010101010101010c0601010101010c0708010101010c0601010101010101010101010101010101010101010101010101010101010101020301010101020d0e01010101010101010101010101010101130d0e010102030101010101010101010101010c03010101010101010101010101010101010101010c07080101010101010101010101010101010101010101010101010101010101010101010101010101010101010101010101010101010101010101010101010101010101010101010c060101010101010101010101010c06010101010101010101010101010101010101010101010101010101010101010203010102000d0e01010101010101010101010101090a0b01041918010102030101010101010101010101010101010101010101010101010101010101010101010101010101010101010101010101010101010101010101010101010101010101010101010101010101010101010101010101010101010101010101010101010101010101010101010c060101010101010101010101010c0601010101010101010101010101010101010101010101010101010101010101020301131718010101010101010101010101010101010c0301090a0b010102030101010101010101010101010101010101010101010101010101010101010101010101010101010101010101010101010101010101010101010101010101010101010101010101010101010101010101010101010101010101010101010101010101010101010101010c060101010101010101010101010c060101010101010101010101010101010101010101010101010101010101010102030114160e010101010101010101010101010101011307080102060101020301010101010101010101010101010101010101010101010101010101010101010101010101010101010101010101010101010101010101010101010101010101010101010101010101010101010101010101010101010101010101010101010101010101010101010101010101010101010101010101010101010101010101010101010101010101010101010101010101010101010101010203010113000b0101010104050000000000000b010114150b0113070801020301010101010101010101010101010101010101010101010101010101010101010101010101010101010101010101010101010101010101010101010101010101010101010101010101010101010101010101010101010101010101010101010101010101010101010101010101010101010101010101010101010101010101010101010101010101010101010101010101010101010101010203010101090a00060101010101010101010101010f1011120b130d0e01020301010101010101010101010101010101010101010101010101010101010101010101010101010101010101010101010101010101010101010101010101010101010101010101010101010101010101010101010101010101010101010101010101010101010101010101010101010101010101010101010101010101010101010101010101010101010101010101010101010101010101010203010104050b010101010101010101010101010104050d0e0c000708010203010101010101010101010101010101010101010101010101010101010101010101010101010101010101010101010101010101010101010101010101010101010101010101010101010101010101010101010101010101010101010101010101010101010101010101010101010101010101010101010101010101010101010101010101010101010101010101010101010101010101010102030101090a0b0101010101010101010101010101010101010101010101020301010101010101010101010101010101010101010101010101010101010101010101010101010101010101010101010101010101010101010101010101010101010101010101010101010101010101010101010101010101010101010101010101010101ffffff010101010101010101010101010101010101010101010101010101010101010101010101010101010101010101010101010203010101010c0708010101010101010101010101010101010101010101020301010101010101010101010101010101010101010101010101010101010101010101010101010101010101010101010101010101010101010101010101010101010101010101010101010101010101010101010101010101010101010101010101010101ffffff010101010101010101010101010101010101010101010101010101010101010101010101010101010101010101010101010203010101090a000007080101010101010101010104050000000000000b020301010101010101010101010101010101010101010101010101010101010101010101010101010101010101010101010101010101010101010101010101010101010101010101010101010101010101010101010101010101010101010101010101010101ffffff01010101010101010101010101010101010101010101010101010101010101010101010101010101010101010101010101020301010102070801010101010101010101010101010101010101010101020301010101010101010101010101010101010101010101010101010101010101010101010101010101010101010101010101010101010101010101010101010101010101010101010101010101010101010101010101010101010101010101010101010101ffffff01010101010101010101010101010101010101010101010101010101010101010101010101010101010101010101010101020301010101010101010101010101010101010101010101010101010101020301010101010101010101010101010101010101010101010101010101010101010101010101010101010101010101010101010101010101010101010101010101010101010101010101010101010101010101010101010101010101010101010101010101ffffff01010101010101010101010101010101010101010101010101010101010101010101010101010101010101010101010101020304050000000006010101010101010101010101010101010101010101020301010101010101010101010101010101010101010101010101010101010101010101010101010101010101010101010101010101010101010101010101010101010101010101010101010101010101010101010101010101010101010101010101010101ffffff01010101010101010101010101010101010101010101010101010101010101010101010101010101010101010101010101020301010101010101010101010101010101010101010101010101010101020301010101010101010101010101010101010101010101010101010101010101010101010101010101010101010101010101010101010101010101010101010101010101010101010101010101010101010101010101010101010101010101010101010101ffffff01010101010101010101010101010101010101010101010101010101010101010101010101010101010101010101010101010101010101010101010101010101010101010101010101010101010101010101010101010101010101010101010101010101010101010101010101010101010101010101010101010101010101010101010101010101010101010101010101010101010101010101010101010101010101010101010101010101010101010101010101ffffff0c00000040092900aa000000000000003800b50000000000040000002701ffff030000000000,
то гіпотеза 0100090000031e05000000007003000000007003000026060f00d606574d4643010000000000010017b00000000001000000b406000000000000b4060000010000006c000000000000000000000014000000180000000000000000000000250200008e02000020454d4600000100b40600000c00000001000000000000000000000000000000900600001a040000b801000013010000000000000000000000000000c0b6060038320400460000002c00000020000000454d462b014001001c000000100000000210c0db01000000600000006000000046000000280200001c020000454d462b224004000c000000000000001e4009000c00000000000000244001000c000000000000003040020010000000040000000000803f214007000c000000000000000840000574010000680100000210c0db01000000000000000000000000000000000000000100000089504e470d0a1a0a0000000d4948445200000015000000190803000000e90b95df0000000373424954050605330b8d80000000017352474200aece1ce9000000097048597300000ec400000ec401952b0e1b00000042504c544500000000006b000094006db5009ace6b00006b006b6bbae794000094006b94d3ffb56d00b5ebffce9a00ceffffe7ba6bffd394ffebb5ffffcee7ffffffffe7ffffff33446b7e000000934944415428cfb591c11282300c445729520bb53490ffff5593004ea87a72cca133794d779314fc29f03f5a7b20301700c9d5ce0a99f30beed4d27c7d785a2ca5d82d8eaea309cc18bc1b456c91ce3db4b24adf6595664b6b1ffc14147733d55947a829a4c8bccb65d23370bd4d428b75445129c524e503631b5f5f8a29dde52a8766675fe8a1705e6c3edc9a621bfcf77f7b02bbfa24a3c62832870000000049454e44ae426082000840010824000000180000000210c0db01000000030000000000000000000000000000001b40000040000000340000000100000002000000000000bf000000bf0000a8410000c84103000000000000b3000000b3ffffa741000000b3000000b3ffffc7412100000008000000620000000c00000001000000150000000c00000004000000150000000c000000040000005100000028030000000000000000000014000000180000000000000000000000000000000000000015000000190000005000000080000000d000000058020000000000002000cc0015000000190000002800000015000000190000000100080000000000000000000000000000000000160000000000000000000000ffffff00b5ebff0000006b00ce9a00006bbae700ffd3940094d3ff00009ace0094000000ffffce00ceffff0000009400b56d0000ffffe700e7ffff00006db500e7ba6b006b000000ffebb5006b006b006b00940001010101010101010101010101010101010101010100000001010101010101010101010101010101010101010100000001010101010101010101010101010101010101010100c04201010101010101010101010101010b0c0000060101ffffff0101010101010101010101010101080401021413013fb843010101010101010101010101010b0c06010f101101000080010101010101010101010101010b151301010804018105440500000006010f100000090a010b1513010108040100803f010500110101010b0c121301010b0c06010f101101ffffff01020311010101010512130101010504010214130175b8c3010b0c04010101010700060101010f1000001101010200000101080d0e01010102030401010101010101010101000000010105090a0101010b0c0d0e01010101010101010100400001010203060101010108090a01010101010101010141494c01010b0c000000000000000601010101010101010100000001010f1004010101010700110101010101010101017f114401010105090a0101010b0c0d0e010101010101010141494c0101010700060101010108090a010101010101010100000001010107000401010101080006010101010101010100000001010203000004010105000000060101010101010100000001010101010101010101010101010101010101010100000001010101010101010101010101010101010101010100000001010101010101010101010101010101010101010141494c0101010101010101010101010101010101010101010000000101010101010101010101010101010101010101010000004c0000006400000000000000000000001400000018000000000000000000000015000000190000002900aa0000000000000000000000803f00000000000000000000803f0000000000000000000000000000000000000000000000000000000000000000220000000c000000ffffffff460000001c00000010000000454d462b024000000c000000000000000e000000140000000000000010000000140000000400000003010800050000000b0200000000050000000c0219001500030000001e000400000007010400040000000701040079010000410b2000cc00190015000000000019001500000000002800000015000000190000000100080000000000000000000000000000000000160000000000000000000000ffffff00b5ebff0000006b00ce9a00006bbae700ffd3940094d3ff00009ace0094000000ffffce00ceffff0000009400b56d0000ffffe700e7ffff00006db500e7ba6b006b000000ffebb5006b006b006b00940001010101010101010101010101010101010101010100000001010101010101010101010101010101010101010100000001010101010101010101010101010101010101010100c04201010101010101010101010101010b0c0000060101ffffff0101010101010101010101010101080401021413013fb843010101010101010101010101010b0c06010f101101000080010101010101010101010101010b151301010804018105440500000006010f100000090a010b1513010108040100803f010500110101010b0c121301010b0c06010f101101ffffff01020311010101010512130101010504010214130175b8c3010b0c04010101010700060101010f1000001101010200000101080d0e01010102030401010101010101010101000000010105090a0101010b0c0d0e01010101010101010100400001010203060101010108090a01010101010101010141494c01010b0c000000000000000601010101010101010100000001010f1004010101010700110101010101010101017f114401010105090a0101010b0c0d0e010101010101010141494c0101010700060101010108090a010101010101010100000001010107000401010101080006010101010101010100000001010203000004010105000000060101010101010100000001010101010101010101010101010101010101010100000001010101010101010101010101010101010101010100000001010101010101010101010101010101010101010141494c0101010101010101010101010101010101010101010000000101010101010101010101010101010101010101010000000c00000040092900aa000000000000001900150000000000040000002701ffff030000000000
відхиляється, у супротивному разі – ні
(рівень значущості критерію 0100090000034005000000008603000000008603000026060f000207574d4643010000000000010097f60000000001000000e006000000000000e0060000010000006c0000000000000000000000150000001800000000000000000000003f0200008e02000020454d4600000100e00600000c00000001000000000000000000000000000000900600001a040000b801000013010000000000000000000000000000c0b6060038320400460000002c00000020000000454d462b014001001c000000100000000210c0db010000006000000060000000460000003c02000030020000454d462b224004000c000000000000001e4009000c00000000000000244001000c000000000000003040020010000000040000000000803f214007000c0000000000000008400005880100007c0100000210c0db01000000000000000000000000000000000000000100000089504e470d0a1a0a0000000d4948445200000016000000190803000000023c2edc0000000373424954050605330b8d80000000017352474200aece1ce9000000097048597300000ec400000ec401952b0e1b00000054504c544500000000006b000094006db5009ace6b00006b00946b6db56bbae794000094006b940094949a6b94d3ffb56d00b56d94b5ebffce9a00ced394ceffffe7ba6bffd394ffebb5e7ebb5ffffcee7ffffffffe7ffffff8799d273000000954944415428cfb591d10ec2200c452b0305954d5686ddf8ffffb40574c9c29b591f687ad2de5b007237e05c4c0e00ec1147f039870367ac392533ac1d6d725d9c8c6e195833a886e3e52569618b747b1b0fadc9ff66e8fe1c56a8ca769f21c7a7e06dacc2db28bea54770685b90d3df11c68b42ee9cb0e264a4042ec42e5db188d0635618ad5cbe8408f1d60af989ecd9dff03ffe00c745326f95c09f2e0000000049454e44ae426082000840010824000000180000000210c0db01000000030000000000000000000000000000001b40000040000000340000000100000002000000000000bf000000bf0000b0410000c84103000000000000b3000000b3ffffaf41000000b3000000b3ffffc7412100000008000000620000000c00000001000000150000000c00000004000000150000000c000000040000005100000040030000000000000000000015000000180000000000000000000000000000000000000016000000190000005000000098000000e800000058020000000000002000cc00160000001900000028000000160000001900000001000800000000000000000000000000000000001c0000000000000000000000ffffff00ceffff0000009400e7ba6b006bbae700ffd39400009ace00ce9a0000b5ebff0000006b00b56d0000ffffe700940000006b000000ffebb50094d3ff00b56d6b00b5ebe7006b0094006b9a9400e7ffff00006db500ffffce00946db50094006b009400940094d3ce0001010101010101010101010101010101010101010101000001010101010101010101010101010101010101010101000001010101010101010101010101010101010101010101c04201010101010101010101010101010101010101010101ffff01010101010101010101010101010101010101010101b84301010101010101010101010101010101010101010101008001010101010101010101010101010101010101010101054401050000000000000b0c0101090a000d170203000401803f010203060101010919170115160b0c021a1b0d170504ffff0101100d170101151817010203080101090a0d170101b8c3010101070b0c0101010101020308010101050e0f01010000010101151608010101010115160b0c010102030401010000010101010203040101010101050e0f010102030e0f0140000101010101090a0601010101090a0801010213140b0c494c010101010101050e0f01010101100004010911120a060000010101010101090a080101010101090a00000601070d114401010101010102030b0c010101010101010101010101494c010508010101090a0b0c010101010101010101010101000001050006010107000401010101010101010101010101000001010203000000040101010101010101010101010101000001010101010101010101010101010101010101010101000001010101010101010101010101010101010101010101000001010101010101010101010101010101010101010101494c0101010101010101010101010101010101010101010100000101010101010101010101010101010101010101010100004c0000006400000000000000000000001500000018000000000000000000000016000000190000002900aa0000000000000000000000803f00000000000000000000803f0000000000000000000000000000000000000000000000000000000000000000220000000c000000ffffffff460000001c00000010000000454d462b024000000c000000000000000e000000140000000000000010000000140000000400000003010800050000000b0200000000050000000c0219001600030000001e000400000007010400040000000701040085010000410b2000cc001900160000000000190016000000000028000000160000001900000001000800000000000000000000000000000000001c0000000000000000000000ffffff00ceffff0000009400e7ba6b006bbae700ffd39400009ace00ce9a0000b5ebff0000006b00b56d0000ffffe700940000006b000000ffebb50094d3ff00b56d6b00b5ebe7006b0094006b9a9400e7ffff00006db500ffffce00946db50094006b009400940094d3ce0001010101010101010101010101010101010101010101000001010101010101010101010101010101010101010101000001010101010101010101010101010101010101010101c04201010101010101010101010101010101010101010101ffff01010101010101010101010101010101010101010101b84301010101010101010101010101010101010101010101008001010101010101010101010101010101010101010101054401050000000000000b0c0101090a000d170203000401803f010203060101010919170115160b0c021a1b0d170504ffff0101100d170101151817010203080101090a0d170101b8c3010101070b0c0101010101020308010101050e0f01010000010101151608010101010115160b0c010102030401010000010101010203040101010101050e0f010102030e0f0140000101010101090a0601010101090a0801010213140b0c494c010101010101050e0f01010101100004010911120a060000010101010101090a080101010101090a00000601070d114401010101010102030b0c010101010101010101010101494c010508010101090a0b0c010101010101010101010101000001050006010107000401010101010101010101010101000001010203000000040101010101010101010101010101000001010101010101010101010101010101010101010101000001010101010101010101010101010101010101010101000001010101010101010101010101010101010101010101494c0101010101010101010101010101010101010101010100000101010101010101010101010101010101010101010100000c00000040092900aa000000000000001900160000000000040000002701ffff030000000000).
Перевірка гіпотези 010009000003400e000000003808000000003808000026060f006610574d4643010000000000010032310000000001000000441000000000000044100000010000006c0000000000000000000000620000001b0000000000000000000000200a0000dc02000020454d4600000100441000000c00000001000000000000000000000000000000900600001a040000b801000013010000000000000000000000000000c0b6060038320400460000002c00000020000000454d462b014001001c000000100000000210c0db0100000060000000600000004600000004030000f8020000454d462b224004000c000000000000001e4009000c00000000000000244001000c000000000000003040020010000000040000000000803f214007000c000000000000000840000550020000440200000210c0db01000000000000000000000000000000000000000100000089504e470d0a1a0a0000000d49484452000000630000001c08030000004291f1b30000000373424954050605330b8d80000000017352474200aece1ce9000000097048597300000ec400000ec401952b0e1b00000057504c544500000000006b000094006db5009ace6b00006b006b6b00946b6d006bbae794000094006b946db594d3ffb56d00b56d6bb59a00b5ebffce9a00ceffffceffe7e7ba6be7bab5ffd394ffebb5ffffcee7ffffffffe7ffffff969fd4e5000001594944415448c7ed95d17683200c86b316b7e9265be932a4f0fecf390341c152959de35d7359623ef2ff2105777cc09351c3181a00e11c02407f581f9a10cea98310ccf0c5d5e97a1c037d71d39d6f8731acf45269684b09e456abf6aa58cc066a0042a447c844225bf972d9872867fbb92ad8c18ca1a11e5549450553c4e307d9b06e07d29d584cdcf42bcdce19811beeb0082be98c1bb572be7131b2ec8c613ab6bce73a89f5e10c59e05c847badf2ec943134edd4a743e186d74bce181a2fa6955bc39566e78ce0aee98861ba7eacd54e9e53f7e6f3fb7c1bc791ced623c936dde9aa627f10d6146934f2cdc70852229dabf1670d5147b1f93a38fbf7e7ebbdd7dc51be77674669f66bd61939af631f0b45a356f71fbd556d33aa8fc21518d443ea79fad1deb7ce85da794860391a0fff44102af632d5f7c21718ebcfb86ef947cbab185a54adf468470d03eb1064497d1fff8d27637ffc01874a17215c51aec30000000049454e44ae42608200000840010824000000180000000210c0db01000000030000000000000000000000000000001b40000040000000340000000100000002000000000000bf000000bf0000c6420000e04103000000000000b3000000b3ffffc542000000b3000000b3ffffdf412100000008000000620000000c00000001000000150000000c00000004000000150000000c0000000400000051000000dc0b00000000000000000000620000001b00000000000000000000000000000000000000630000001c000000500000009c000000ec000000f00a0000000000002000cc00630000001c00000028000000630000001c00000001000800000000000000000000000000000000001d0000000000000000000000ffffff00b5ebff0000006b00ce9a00006bbae700ffd3940094d3ff00009ace0094000000ffffce00ceffff0000009400b56d0000ffffe700e7ffff00006db500e7ba6b006b000000ffebb5006b006b00b56d9400009ab5006b009400b5bae700e7ffce006b6db500006d6b0094006b00010101010101010101010101010101010101010101010101010101010101010101010101010101010101010101010101010101010101010101010101010101010101010101010101010101010101010101010101010101010101010101010101010101ff010101010101010101010101010101010101010101010101010101010101010101010101010101010101010101010101010101010101010101010101010101010101010101010101010101010101010101010101010101010101010101010101010101ff010101010101010101010101010101010101010101010101010101010101010101010101010101010101010101010101010101010101010101010101010101010101010101010101010101010101010101010101010101010101010101010101010101ff010101010101010101010101010101010101010101010101010101010101010101010101010101010101010101010101010101010101010101010101010101010101010101010101010101010101010101010101010101010101010101010101010101ff010101010101010101010101010101010101010101010101010101010101010101010101010101010101050401010101010101010101010101010101010101010101010101010101010101010101010101010101010101010101081101010101010101ff010101010101010101010101010101010101010101010101010101010101010101010101010101010101010704010101010101010101010101010101010101010101010101010101010101010101010101010101010101010101050401010101010101ff0101010101010101010101010101010101010101010101010101010101010101010101010101010101010105090a010101010101010101010101010101010101010101010101010101010101010101010101010101010101010107090a010101010101ff01010101010101010101010101010b0c000006010101010101010101010101010101010101010101010500090a01010101010101010101010101010101010101010101010101010101010101010101010101010101010f1006010b1713010101010101ff0101010101010101010101010101080401021413010101010101010101010101010101010101010107121301010101010101010101010101010101010101010101010101010101010101010101010101010101010101010811010f1006010101010101ff010101010101010101010101010b0c06010f10110101010101010101010101010101010101010101021c0a0101010101010101010101010101010101010101010101010101010101010101010101010101010101010101070d0e010504010101010101ff010101010101010101010101010b1713010108040101010101010101010101010101010101010101010700060101010101010101010101010101010101010101010101010101010101010101010101010101010101010102030601070d0e0101010101ff0500000006010f100000090a010b17130101080401010105001101010101020300090a070000060101010f100004010101010101010101010101010101010101010101010101010101010101020300090a070000060118191a1b0607090a0101010101ff010500110101010b0c121301010b0c06010f10110101010500110101010f100d0e0b15160d0e0806010b0c06010101010101010101010101010101010101010101010101010101010101010f100d0e0b15160d0e08060b0c090a08000d0e0101010101ff01020311010101010512130101010504010214130101010101010101010b0c0401010203090a0101010f1006010101010101010101010101010101010101010101010101010101010101010b0c0401010203090a010101010101010101010101010101ff010b0c04010101010700060101010f10000011010101010101010101010b0c040101010512130101010101080d0e010101010101010101010108000000000000000000000d0e01010101010b0c04010101051213010101010101010101010101010101ff0101080d0e0101010203040101010101010101010101010101010101010f100d0e0101020306010101010f1000000d0e0101010101010101010101010101010101010101010101010101010f100d0e0101020306010101010101010101010101010101ff010105090a0101010b0c0d0e01010101010101010101010101010101010105121301010f100401010101050d0e0101010101010101010101010101010101010101010101010101010101010105121301010f1004010101010101010101010101010101ff01010203060101010108090a010101010101010101010105001101010101020304010101080d0e01010101010101010101010101010101010108000000000000000000000d0e010101010101020304010101080d0e01010101010101010101010101010901010b0c000000000000000601010101010101010101010500110101010101070011010f1012130101010101010101010101010101010101010101010101010101010101010101010101010101070011010f10121301010101010101010101010101010101010f1004010101010700110101010101010101010101010101010101010101020300001108060101010101010101010101010101010101010101010101010101010101010101010101010101010203000011080601010101010101010101010101010101010105090a0101010b0c0d0e0101010101010101010101010101010101010101010101010101010101010101010101010101010101010101010101010101010101010101010101010101010101010101010101010101010101010101010101010101010101010700060101010108090a0101010101010101010101010101010101010101010101010101010101010101010101010101010101010101010101010101010101010101010101010101010101010101010101010101010101010101010101010101010101010700040101010108000601010101010101010101010101010101010101010101010101010101010101010101010101010101010101010101010101010101010101010101010101010101010101010101010101010101010101010101010101010101010203000004010105000000060101010101010101010101010101010101010101010101010101010101010101010101010101010101010101010101010101010101010101010101010101010101010101010101010101010101010101010101010101010101010101010101010101010101010101010101010101010101010101010101010101010101010101010101010101010101010101010101010101010101010101010101010101010101010101010101010101010101010101010101010101010101010101010101010101010101010101010101010101010101010101010101010101010101010101010101010101010101010101010101010101010101010101010101010101010101010101010101010101010101010101010101010101010101010101010101010101010101010101010101010101010101010101010101010101010101010101010101010101010101010101010101010101010101010101010101010101010101010101010101010101010101010101010101010101010101010101010101010101010101010101010101010101010101010101010101010101010101010101010101010101010101010101010101010101010101010101010101010101010101010101010101010101010101010101010101010101010101010101010101010101010101014c000000640000000000000000000000620000001b0000000000000000000000630000001c0000002900aa0000000000000000000000803f00000000000000000000803f0000000000000000000000000000000000000000000000000000000000000000220000000c000000ffffffff460000001c00000010000000454d462b024000000c000000000000000e000000140000000000000010000000140000000400000003010800050000000b0200000000050000000c021c006300030000001e0004000000070104000400000007010400d3050000410b2000cc001c006300000000001c0063000000000028000000630000001c00000001000800000000000000000000000000000000001d0000000000000000000000ffffff00b5ebff0000006b00ce9a00006bbae700ffd3940094d3ff00009ace0094000000ffffce00ceffff0000009400b56d0000ffffe700e7ffff00006db500e7ba6b006b000000ffebb5006b006b00b56d9400009ab5006b009400b5bae700e7ffce006b6db500006d6b0094006b00010101010101010101010101010101010101010101010101010101010101010101010101010101010101010101010101010101010101010101010101010101010101010101010101010101010101010101010101010101010101010101010101010101ff010101010101010101010101010101010101010101010101010101010101010101010101010101010101010101010101010101010101010101010101010101010101010101010101010101010101010101010101010101010101010101010101010101ff010101010101010101010101010101010101010101010101010101010101010101010101010101010101010101010101010101010101010101010101010101010101010101010101010101010101010101010101010101010101010101010101010101ff010101010101010101010101010101010101010101010101010101010101010101010101010101010101010101010101010101010101010101010101010101010101010101010101010101010101010101010101010101010101010101010101010101ff010101010101010101010101010101010101010101010101010101010101010101010101010101010101050401010101010101010101010101010101010101010101010101010101010101010101010101010101010101010101081101010101010101ff010101010101010101010101010101010101010101010101010101010101010101010101010101010101010704010101010101010101010101010101010101010101010101010101010101010101010101010101010101010101050401010101010101ff0101010101010101010101010101010101010101010101010101010101010101010101010101010101010105090a010101010101010101010101010101010101010101010101010101010101010101010101010101010101010107090a010101010101ff01010101010101010101010101010b0c000006010101010101010101010101010101010101010101010500090a01010101010101010101010101010101010101010101010101010101010101010101010101010101010f1006010b1713010101010101ff0101010101010101010101010101080401021413010101010101010101010101010101010101010107121301010101010101010101010101010101010101010101010101010101010101010101010101010101010101010811010f1006010101010101ff010101010101010101010101010b0c06010f10110101010101010101010101010101010101010101021c0a0101010101010101010101010101010101010101010101010101010101010101010101010101010101010101070d0e010504010101010101ff010101010101010101010101010b1713010108040101010101010101010101010101010101010101010700060101010101010101010101010101010101010101010101010101010101010101010101010101010101010102030601070d0e0101010101ff0500000006010f100000090a010b17130101080401010105001101010101020300090a070000060101010f100004010101010101010101010101010101010101010101010101010101010101020300090a070000060118191a1b0607090a0101010101ff010500110101010b0c121301010b0c06010f10110101010500110101010f100d0e0b15160d0e0806010b0c06010101010101010101010101010101010101010101010101010101010101010f100d0e0b15160d0e08060b0c090a08000d0e0101010101ff01020311010101010512130101010504010214130101010101010101010b0c0401010203090a0101010f1006010101010101010101010101010101010101010101010101010101010101010b0c0401010203090a010101010101010101010101010101ff010b0c04010101010700060101010f10000011010101010101010101010b0c040101010512130101010101080d0e010101010101010101010108000000000000000000000d0e01010101010b0c04010101051213010101010101010101010101010101ff0101080d0e0101010203040101010101010101010101010101010101010f100d0e0101020306010101010f1000000d0e0101010101010101010101010101010101010101010101010101010f100d0e0101020306010101010101010101010101010101ff010105090a0101010b0c0d0e01010101010101010101010101010101010105121301010f100401010101050d0e0101010101010101010101010101010101010101010101010101010101010105121301010f1004010101010101010101010101010101ff01010203060101010108090a010101010101010101010105001101010101020304010101080d0e01010101010101010101010101010101010108000000000000000000000d0e010101010101020304010101080d0e01010101010101010101010101010901010b0c000000000000000601010101010101010101010500110101010101070011010f1012130101010101010101010101010101010101010101010101010101010101010101010101010101070011010f10121301010101010101010101010101010101010f1004010101010700110101010101010101010101010101010101010101020300001108060101010101010101010101010101010101010101010101010101010101010101010101010101010203000011080601010101010101010101010101010101010105090a0101010b0c0d0e0101010101010101010101010101010101010101010101010101010101010101010101010101010101010101010101010101010101010101010101010101010101010101010101010101010101010101010101010101010101010700060101010108090a0101010101010101010101010101010101010101010101010101010101010101010101010101010101010101010101010101010101010101010101010101010101010101010101010101010101010101010101010101010101010700040101010108000601010101010101010101010101010101010101010101010101010101010101010101010101010101010101010101010101010101010101010101010101010101010101010101010101010101010101010101010101010101010203000004010105000000060101010101010101010101010101010101010101010101010101010101010101010101010101010101010101010101010101010101010101010101010101010101010101010101010101010101010101010101010101010101010101010101010101010101010101010101010101010101010101010101010101010101010101010101010101010101010101010101010101010101010101010101010101010101010101010101010101010101010101010101010101010101010101010101010101010101010101010101010101010101010101010101010101010101010101010101010101010101010101010101010101010101010101010101010101010101010101010101010101010101010101010101010101010101010101010101010101010101010101010101010101010101010101010101010101010101010101010101010101010101010101010101010101010101010101010101010101010101010101010101010101010101010101010101010101010101010101010101010101010101010101010101010101010101010101010101010101010101010101010101010101010101010101010101010101010101010101010101010101010101010101010101010101010101010101010101010101010101010101010101010101010101010c00000040092900aa000000000000001c00630000000000040000002701ffff030000000000(про рівність середніх нормальних розподілів) значень параметрів крові для субкомпенсованого та декомпенсованого станів, компенсованого та декомпенсованого станів проводиться аналогічно.
Порівняємо середні значення факторів для компенсованого та субкомпенсованого станів хворих за кишкової непрохідності
|
Фактор |
n |
m |
комп |
субкомп |
комп |
субкомп |
|
n+m-2 |
|
Гіпотеза |
|
Вік |
104 |
108 |
62,05 |
64,60 |
9,73 |
10,55 |
1,82 |
210 |
1,652 |
відхиляється |
|
Діагноз |
104 |
108 |
5,25 |
6,67 |
3,03 |
2,52 |
3,72 |
210 |
1,652 |
відхиляється |
|
Характерис- тика пухлини |
104 |
108 |
3,30 |
3,60 |
0,68 |
0,54 |
3,46 |
210 |
1,652 |
відхиляється |
|
Наявні Метастази |
104 |
108 |
0,36 |
0,44 |
0,65 |
0,68 |
0,85 |
210 |
1,652 |
не відхиляється |
|
Віддалені Метастази |
104 |
108 |
0,10 |
0,17 |
0,30 |
0,38 |
1,46 |
210 |
1,652 |
не відхиляється |
|
Гемоглобін |
104 |
108 |
110,09 |
107,70 |
28,63 |
22,76 |
0,67 |
210 |
1,652 |
не відхиляється |
|
Еритроцити |
103 |
104 |
3,77 |
3,59 |
0,66 |
0,51 |
2,11 |
205 |
1,652 |
відхиляється |
|
ЦП |
75 |
75 |
0,81 |
0,79 |
0,09 |
0,07 |
1,38 |
148 |
1,655 |
не відхиляється |
|
Ht |
74 |
87 |
31,49 |
29,02 |
8,54 |
6,48 |
2,08 |
159 |
1,654 |
відхиляється |
|
Лейкоцити |
103 |
104 |
6,90 |
7,59 |
2,20 |
2,89 |
1,93 |
205 |
1,652 |
відхиляється |
|
СОЭ |
95 |
100 |
16,68 |
14,92 |
15,44 |
12,30 |
0,88 |
193 |
1,652 |
не відхиляється |
|
Базофіли |
2 |
2 |
||||||||
|
Еозінофіли |
75 |
69 |
2,06 |
1,91 |
1,43 |
1,56 |
0,61 |
142 |
1,655 |
не відхиляється |
|
Міелоцити |
||||||||||
|
1 |
1 |
|||||||||
|
Нейтрофіли |
103 |
107 |
6,00 |
8,72 |
4,27 |
6,24 |
3,68 |
208 |
1,652 |
відхиляється |
|
Нейтрофіли |
104 |
108 |
59,23 |
59,89 |
11,29 |
9,22 |
0,47 |
210 |
1,652 |
не відхиляється |
|
Лімфоцити |
104 |
108 |
29,73 |
26,90 |
10,49 |
10,01 |
2,00 |
210 |
1,652 |
відхиляється |
|
Моноцити и⟈ |
104 |
107 |
3,52 |
3,05 |
2,84 |
2,28 |
1,33 |
209 |
1,652 |
не відхиляється |
Згідно
з критерієм Стьюдента гіпотеза 010009000003b00e000000007008000000007008000026060f00d610574d46430100000000000100a4990000000001000000b410000000000000b4100000010000006c0000000000000000000000660000001b0000000000000000000000890a0000dc02000020454d4600000100b41000000c00000001000000000000000000000000000000900600001a040000b801000013010000000000000000000000000000c0b6060038320400460000002c00000020000000454d462b014001001c000000100000000210c0db0100000060000000600000004600000004030000f8020000454d462b224004000c000000000000001e4009000c00000000000000244001000c000000000000003040020010000000040000000000803f214007000c000000000000000840000550020000440200000210c0db01000000000000000000000000000000000000000100000089504e470d0a1a0a0000000d49484452000000670000001c08030000004b7a51c90000000373424954050605330b8d80000000017352474200aece1ce9000000097048597300000ec400000ec401952b0e1b00000057504c544500000000006b000094006db5009ace6b00006b006b6b00946b6d006bbae794000094006b946db594d3ffb56d00b56d6bb59a00b5ebffce9a00ceffffceffe7e7ba6be7bab5ffd394ffebb5ffffcee7ffffffffe7ffffff969fd4e50000015b4944415448c7ed95d17a83200c85b316b7c9a65de9185279ffe79c01b44140c57deeaab994c84f4e0e01ccff043c397b395d05c08c9100d01c5a8f428c31e2408ce7588038dd8ee5480bd0fc7c3f94d3b7563605752a01bb578bad8a66b3010b011774597a2ad2fbf6e5ba0d93cfb67e4bb4c773ba0a6b152945054c312e2f64c3727b249ecd0b2b57fb47b3638ee3bbb3cca26f71cd17dcb78f932723c88e389a7b1b347e2f6207b726bde0a120b16e61f69cd355f554b391cc74afd790d35556d8be5d331dcd8e39aee39a2347f366d8af9e7c804ae8cfaff37db02aae2d07c9d6fc7413546570630df51acea13f069860d46fc36705a3a66cf5f6f8ec9fefcb7ba34865e1bc7e705277a364fca11b14ad67a6f0a85bfce35bd1f443866426c3c15aa80fe88f5b6782dfa80e8d0373cb641f210905f31c19b60919cef2752f7b38a80d8a388a153d05b43d251c5986c116edabe72ff1e4ec8b5fe0c423615e5a63160000000049454e44ae4260820840010824000000180000000210c0db01000000030000000000000000000000000000001b40000040000000340000000100000002000000000000bf000000bf0000ce420000e04103000000000000b3000000b3ffffcd42000000b3000000b3ffffdf412100000008000000620000000c00000001000000150000000c00000004000000150000000c00000004000000510000004c0c00000000000000000000660000001b00000000000000000000000000000000000000670000001c000000500000009c000000ec000000600b0000000000002000cc00670000001c00000028000000670000001c00000001000800000000000000000000000000000000001d0000000000000000000000ffffff00b5ebff0000006b00ce9a00006bbae700ffd3940094d3ff00009ace0094000000ffffce00ceffff0000009400b56d0000ffffe700e7ffff00006db500e7ba6b006b000000ffebb5006b006b00b56d9400009ab5006b009400b5bae700e7ffce006b6db500006d6b0094006b000101010101010101010101010101010101010101010101010101010101010101010101010101010101010101010101010101010101010101010101010101010101010101010101010101010101010101010101010101010101010101010101010101010101010101010101010101010101010101010101010101010101010101010101010101010101010101010101010101010101010101010101010101010101010101010101010101010101010101010101010101010101010101010101010101010101010101010101010101010101010101010101010101010101010101010101010101010101010101010101010101010101010101010101010101010101010101010101010101010101010101010101010101010101010101010101010101010101010101010101010101010101010101010101010101010101010101010101010101010101010101010101010101010101010101010101010101010101010101010101010101010101010101010101010101010101010101010101010101010101010101010101010101010101010101010101010101010101010101010101010101010101010101010101010101010101010101010101010101010101010101010101010101050401010101010101010101010101010101010101010101010101010101010101010101010101010101010101010101081101010101010101010101010101010101010101010101010101010101010101010101010101010101010101010101010101010101010101070401010101010101010101010101010101010101010101010101010101010101010101010101010101010101010105040101010101010101010101010101010101010101010101010101010101010101010101010101010101010101010101010101010101010105090a010101010101010101010101010101010101010101010101010101010101010101010101010101010101010107090a010101010101010101010101010101010101010101010101010b0c000006010101010101010101010101010101010101010101010500090a01010101010101010101010101010101010101010101010101010101010101010101010101010101010f1006010b171301010101010101010101010101010101010101010101010101080401021413010101010101010101010101010101010101010107121301010101010101010101010101010101010101010101010101010101010101010101010101010101010101010811010f10060101010101010101010101010101010101010101010101010b0c06010f10110101010101010101010101010101010101010101021c0a0101010101010101010101010101010101010101010101010101010101010101010101010101010101010101070d0e0105040101010101010101010101010101010101010101010101010b1713010108040101010101010101010101010101010101010101010700060101010101010101010101010101010101010101010101010101010101010101010101010101010101010102030601070d0e010101010101010101100500000006010f100000090a010b17130101080401010105001101010101020300090a070000060101010f100004010101010101010101010101010101010101010101010101010101010101020300090a070000060118191a1b0607090a01010101010101010101010500110101010b0c121301010b0c06010f10110101010500110101010f100d0e0b15160d0e0806010b0c06010101010101010101010101010101010101010101010101010101010101010f100d0e0b15160d0e08060b0c090a08000d0e0101010101010101010101020311010101010512130101010504010214130101010101010101010b0c0401010203090a0101010f1006010101010101010101010101010101010101010101010101010101010101010b0c0401010203090a0101010101010101010101010101010101010101010b0c04010101010700060101010f10000011010101010101010101010b0c040101010512130101010101080d0e010101010101010101010108000000000000000000000d0e01010101010b0c0401010105121301010101010101010101010101010101010101010101080d0e0101010203040101010101010101010101010101010101010f100d0e0101020306010101010f1000000d0e0101010101010101010101010101010101010101010101010101010f100d0e01010203060101010101010101010101010101010101010101010105090a0101010b0c0d0e01010101010101010101010101010101010105121301010f100401010101050d0e0101010101010101010101010101010101010101010101010101010101010105121301010f1004010101010101010101010101010101010101010001010203060101010108090a010101010101010101010105001101010101020304010101080d0e01010101010101010101010101010101010108000000000000000000000d0e010101010101020304010101080d0e0101010101010101010101010101010101010101010b0c000000000000000601010101010101010101010500110101010101070011010f1012130101010101010101010101010101010101010101010101010101010101010101010101010101070011010f1012130101010101010101010101010101010101010101010f100401010101070011010101010101010101010101010101010101010102030000110806010101010101010101010101010101010101010101010101010101010101010101010101010101020300001108060101010101010101010101010101010101010101010105090a0101010b0c0d0e010101010101010101010101010101010101010101010101010101010101010101010101010101010101010101010101010101010101010101010101010101010101010101010101010101010101010101010101010101010101010101010700060101010108090a010101010101010101010101010101010101010101010101010101010101010101010101010101010101010101010101010101010101010101010101010101010101010101010101010101010101010101010101010101010101010101010700040101010108000601010101010101010101010101010101010101010101010101010101010101010101010101010101010101010101010101010101010101010101010101010101010101010101010101010101010101010101010101010101010101010102030000040101050000000601010101010101010101010101010101010101010101010101010101010101010101010101010101010101010101010101010101010101010101010101010101010101010101010101010101010101010101010101010101010101010101010101010101010101010101010101010101010101010101010101010101010101010101010101010101010101010101010101010101010101010101010101010101010101010101010101010101010101010101010101010101010101010101010101010101010101010101010101010101010101010101010101010101010101010101010101010101010101010101010101010101010101010101010101010101010101010101010101010101010101010101010101010101010101010101010101010101010101010101010101010101010101010101010101010101010101010101010101010101010101010101010101010101010101010101010101010101010101010101010101010101010101010101010101010101010101010101010101010101010101010101010101010101010101010101010101010101010101010101010101010101010101010101010101010101010101010101010101010101010101010101010101010101010101010101010101010101010101010101010101010101010101010101010101010101010101010101010101014c000000640000000000000000000000660000001b0000000000000000000000670000001c0000002900aa0000000000000000000000803f00000000000000000000803f0000000000000000000000000000000000000000000000000000000000000000220000000c000000ffffffff460000001c00000010000000454d462b024000000c000000000000000e000000140000000000000010000000140000000400000003010800050000000b0200000000050000000c021c006700030000001e00040000000701040004000000070104000b060000410b2000cc001c006700000000001c0067000000000028000000670000001c00000001000800000000000000000000000000000000001d0000000000000000000000ffffff00b5ebff0000006b00ce9a00006bbae700ffd3940094d3ff00009ace0094000000ffffce00ceffff0000009400b56d0000ffffe700e7ffff00006db500e7ba6b006b000000ffebb5006b006b00b56d9400009ab5006b009400b5bae700e7ffce006b6db500006d6b0094006b000101010101010101010101010101010101010101010101010101010101010101010101010101010101010101010101010101010101010101010101010101010101010101010101010101010101010101010101010101010101010101010101010101010101010101010101010101010101010101010101010101010101010101010101010101010101010101010101010101010101010101010101010101010101010101010101010101010101010101010101010101010101010101010101010101010101010101010101010101010101010101010101010101010101010101010101010101010101010101010101010101010101010101010101010101010101010101010101010101010101010101010101010101010101010101010101010101010101010101010101010101010101010101010101010101010101010101010101010101010101010101010101010101010101010101010101010101010101010101010101010101010101010101010101010101010101010101010101010101010101010101010101010101010101010101010101010101010101010101010101010101010101010101010101010101010101010101010101010101010101010101010101010101050401010101010101010101010101010101010101010101010101010101010101010101010101010101010101010101081101010101010101010101010101010101010101010101010101010101010101010101010101010101010101010101010101010101010101070401010101010101010101010101010101010101010101010101010101010101010101010101010101010101010105040101010101010101010101010101010101010101010101010101010101010101010101010101010101010101010101010101010101010105090a010101010101010101010101010101010101010101010101010101010101010101010101010101010101010107090a010101010101010101010101010101010101010101010101010b0c000006010101010101010101010101010101010101010101010500090a01010101010101010101010101010101010101010101010101010101010101010101010101010101010f1006010b171301010101010101010101010101010101010101010101010101080401021413010101010101010101010101010101010101010107121301010101010101010101010101010101010101010101010101010101010101010101010101010101010101010811010f10060101010101010101010101010101010101010101010101010b0c06010f10110101010101010101010101010101010101010101021c0a0101010101010101010101010101010101010101010101010101010101010101010101010101010101010101070d0e0105040101010101010101010101010101010101010101010101010b1713010108040101010101010101010101010101010101010101010700060101010101010101010101010101010101010101010101010101010101010101010101010101010101010102030601070d0e010101010101010101100500000006010f100000090a010b17130101080401010105001101010101020300090a070000060101010f100004010101010101010101010101010101010101010101010101010101010101020300090a070000060118191a1b0607090a01010101010101010101010500110101010b0c121301010b0c06010f10110101010500110101010f100d0e0b15160d0e0806010b0c06010101010101010101010101010101010101010101010101010101010101010f100d0e0b15160d0e08060b0c090a08000d0e0101010101010101010101020311010101010512130101010504010214130101010101010101010b0c0401010203090a0101010f1006010101010101010101010101010101010101010101010101010101010101010b0c0401010203090a0101010101010101010101010101010101010101010b0c04010101010700060101010f10000011010101010101010101010b0c040101010512130101010101080d0e010101010101010101010108000000000000000000000d0e01010101010b0c0401010105121301010101010101010101010101010101010101010101080d0e0101010203040101010101010101010101010101010101010f100d0e0101020306010101010f1000000d0e0101010101010101010101010101010101010101010101010101010f100d0e01010203060101010101010101010101010101010101010101010105090a0101010b0c0d0e01010101010101010101010101010101010105121301010f100401010101050d0e0101010101010101010101010101010101010101010101010101010101010105121301010f1004010101010101010101010101010101010101010001010203060101010108090a010101010101010101010105001101010101020304010101080d0e01010101010101010101010101010101010108000000000000000000000d0e010101010101020304010101080d0e0101010101010101010101010101010101010101010b0c000000000000000601010101010101010101010500110101010101070011010f1012130101010101010101010101010101010101010101010101010101010101010101010101010101070011010f1012130101010101010101010101010101010101010101010f100401010101070011010101010101010101010101010101010101010102030000110806010101010101010101010101010101010101010101010101010101010101010101010101010101020300001108060101010101010101010101010101010101010101010105090a0101010b0c0d0e010101010101010101010101010101010101010101010101010101010101010101010101010101010101010101010101010101010101010101010101010101010101010101010101010101010101010101010101010101010101010101010700060101010108090a010101010101010101010101010101010101010101010101010101010101010101010101010101010101010101010101010101010101010101010101010101010101010101010101010101010101010101010101010101010101010101010700040101010108000601010101010101010101010101010101010101010101010101010101010101010101010101010101010101010101010101010101010101010101010101010101010101010101010101010101010101010101010101010101010101010102030000040101050000000601010101010101010101010101010101010101010101010101010101010101010101010101010101010101010101010101010101010101010101010101010101010101010101010101010101010101010101010101010101010101010101010101010101010101010101010101010101010101010101010101010101010101010101010101010101010101010101010101010101010101010101010101010101010101010101010101010101010101010101010101010101010101010101010101010101010101010101010101010101010101010101010101010101010101010101010101010101010101010101010101010101010101010101010101010101010101010101010101010101010101010101010101010101010101010101010101010101010101010101010101010101010101010101010101010101010101010101010101010101010101010101010101010101010101010101010101010101010101010101010101010101010101010101010101010101010101010101010101010101010101010101010101010101010101010101010101010101010101010101010101010101010101010101010101010101010101010101010101010101010101010101010101010101010101010101010101010101010101010101010101010101010101010101010101010101010101010101010101010c00000040092900aa000000000000001c00670000000000040000002701ffff030000000000
про
рівність середніх значень таких факторів
як вік, діагноз, характеристика пухлини,
еритроцити, Ht, лейкоцити, нейтрофіли
палочкоядерні, та лімфоцити на рівні
значущості 0,05 відхиляється.
Цей результат можна трактувати так. Припущення про відсутність відмінностей між віком, діагнозом, характеристикою пухлини, еритроцитами, Ht, лейкоцитами, нейтрофілами палочкоядерними та лімфоцитами хворих компенсованого стану та субкомпенсованого стану суперечить експериментальним даним. Іншими словами, експеримент дає підстави говорити про наявність відмінностей між віком, діагнозом, характеристикою пухлини, еритроцитами, Ht, лейкоцитами, нейтрофілами палочкоядерними та лімфоцитами хворих у компенсованому та субкомпенсованому станах.
2.Порівняємо середні значення факторів для cубкомпенсованого та декомпенсованого станів хворих за кишкової непрохідності
|
|
n |
m |
субкомп |
декомп |
субкомп |
декомп |
|
n+m-2 |
|
Гіпотеза |
|
Вік |
108 |
86 |
64,60 |
65,56 |
10,552 |
11,36 |
0,61 |
192 |
1,652 |
не відхиляється |
|
Діагноз |
108 |
86 |
6,67 |
6,22 |
2,52 |
2,26 |
1,30 |
192 |
1,652 |
не відхиляється |
|
Характерис- тика пухлини |
108 |
86 |
3,60 |
3,56 |
0,54 |
0,52 |
0,41 |
192 |
1,652 |
не відхиляється |
|
Наявні метастази |
108 |
86 |
0,44 |
0,41 |
0,688 |
0,67 |
0,26 |
192 |
1,652 |
не відхиляється |
|
Віддалені метастази |
108 |
86 |
0,17 |
0,12 |
0,38 |
0,33 |
0,91 |
192 |
1,652 |
не відхиляється |
|
Гемоглобін |
108 |
86 |
107,70 |
124,56 |
22,76 |
24,16 |
4,98 |
192 |
1,652 |
відхиляється |
|
Еритроцити |
104 |
83 |
3,59 |
3,77 |
0,51 |
0,57 |
2,28 |
185 |
1,653 |
відхиляється |
|
ЦП |
75 |
28 |
0,79 |
0,80 |
0,078 |
0,07 |
0,63 |
101 |
1,660 |
не відхиляється |
|
Ht |
87 |
69 |
29,02 |
34,85 |
6,48 |
6,19 |
5,68 |
154 |
1,654 |
відхиляється |
|
Лейкоцити |
104 |
85 |
7,59 |
9,28 |
2,89 |
3,38 |
3,6 |
187 |
1,653 |
відхиляється |
|
СОЭ |
100 |
66 |
14,92 |
17,10 |
12,30 |
11,19 |
1,16 |
164 |
1,654 |
не відхиляється |
|
Базофіли |
2 |
0 |
|
|||||||
|
Еозінофіли |
69 |
32 |
1,91 |
1,62 |
1,56 |
1,21 |
0,91 |
99 |
1,660 |
не відхиляється |
|
Міелоцити |
0 |
1 |
|
|||||||
|
Юні |
1 |
5 |
|
|||||||
|
Нейтрофіли палочкоядерні |
107 |
85 |
8,72 |
12,76 |
6,24 |
8,67 |
3,74 |
190 |
1,652 |
відхиляється |
|
Нейтрофіли сегментоядерні |
108 |
85 |
59,89 |
62,95 |
9,22 |
10,49 |
2,14 |
191 |
1,652 |
відхиляється |
|
Лімфоцити |
108 |
85 |
26,90 |
20,36 |
10,01 |
10,24 |
4,46 |
191 |
1,652 |
відхиляється |
|
Моноцити |
107 |
85 |
3,05 |
2,98 |
2,28 |
1,91 |
0,21 |
190 |
1,652 |
не відхиляється |
Згідно з критерієм Стьюдента гіпотеза 010009000003b00e000000007008000000007008000026060f00d610574d46430100000000000100a4990000000001000000b410000000000000b4100000010000006c0000000000000000000000660000001b0000000000000000000000890a0000dc02000020454d4600000100b41000000c00000001000000000000000000000000000000900600001a040000b801000013010000000000000000000000000000c0b6060038320400460000002c00000020000000454d462b014001001c000000100000000210c0db0100000060000000600000004600000004030000f8020000454d462b224004000c000000000000001e4009000c00000000000000244001000c000000000000003040020010000000040000000000803f214007000c000000000000000840000550020000440200000210c0db01000000000000000000000000000000000000000100000089504e470d0a1a0a0000000d49484452000000670000001c08030000004b7a51c90000000373424954050605330b8d80000000017352474200aece1ce9000000097048597300000ec400000ec401952b0e1b00000057504c544500000000006b000094006db5009ace6b00006b006b6b00946b6d006bbae794000094006b946db594d3ffb56d00b56d6bb59a00b5ebffce9a00ceffffceffe7e7ba6be7bab5ffd394ffebb5ffffcee7ffffffffe7ffffff969fd4e50000015b4944415448c7ed95d17a83200c85b316b7c9a65de9185279ffe79c01b44140c57deeaab994c84f4e0e01ccff043c397b395d05c08c9100d01c5a8f428c31e2408ce7588038dd8ee5480bd0fc7c3f94d3b7563605752a01bb578bad8a66b3010b011774597a2ad2fbf6e5ba0d93cfb67e4bb4c773ba0a6b152945054c312e2f64c3727b249ecd0b2b57fb47b3638ee3bbb3cca26f71cd17dcb78f932723c88e389a7b1b347e2f6207b726bde0a120b16e61f69cd355f554b391cc74afd790d35556d8be5d331dcd8e39aee39a2347f366d8af9e7c804ae8cfaff37db02aae2d07c9d6fc7413546570630df51acea13f069860d46fc36705a3a66cf5f6f8ec9fefcb7ba34865e1bc7e705277a364fca11b14ad67a6f0a85bfce35bd1f443866426c3c15aa80fe88f5b6782dfa80e8d0373cb641f210905f31c19b60919cef2752f7b38a80d8a388a153d05b43d251c5986c116edabe72ff1e4ec8b5fe0c423615e5a63160000000049454e44ae4260820840010824000000180000000210c0db01000000030000000000000000000000000000001b40000040000000340000000100000002000000000000bf000000bf0000ce420000e04103000000000000b3000000b3ffffcd42000000b3000000b3ffffdf412100000008000000620000000c00000001000000150000000c00000004000000150000000c00000004000000510000004c0c00000000000000000000660000001b00000000000000000000000000000000000000670000001c000000500000009c000000ec000000600b0000000000002000cc00670000001c00000028000000670000001c00000001000800000000000000000000000000000000001d0000000000000000000000ffffff00b5ebff0000006b00ce9a00006bbae700ffd3940094d3ff00009ace0094000000ffffce00ceffff0000009400b56d0000ffffe700e7ffff00006db500e7ba6b006b000000ffebb5006b006b00b56d9400009ab5006b009400b5bae700e7ffce006b6db500006d6b0094006b000101010101010101010101010101010101010101010101010101010101010101010101010101010101010101010101010101010101010101010101010101010101010101010101010101010101010101010101010101010101010101010101010101010101010101010101010101010101010101010101010101010101010101010101010101010101010101010101010101010101010101010101010101010101010101010101010101010101010101010101010101010101010101010101010101010101010101010101010101010101010101010101010101010101010101010101010101010101010101010101010101010101010101010101010101010101010101010101010101010101010101010101010101010101010101010101010101010101010101010101010101010101010101010101010101010101010101010101010101010101010101010101010101010101010101010101010101010101010101010101010101010101010101010101010101010101010101010101010101010101010101010101010101010101010101010101010101010101010101010101010101010101010101010101010101010101010101010101010101010101010101010101010101050401010101010101010101010101010101010101010101010101010101010101010101010101010101010101010101081101010101010101010101010101010101010101010101010101010101010101010101010101010101010101010101010101010101010101070401010101010101010101010101010101010101010101010101010101010101010101010101010101010101010105040101010101010101010101010101010101010101010101010101010101010101010101010101010101010101010101010101010101010105090a010101010101010101010101010101010101010101010101010101010101010101010101010101010101010107090a010101010101010101010101010101010101010101010101010b0c000006010101010101010101010101010101010101010101010500090a01010101010101010101010101010101010101010101010101010101010101010101010101010101010f1006010b171301010101010101010101010101010101010101010101010101080401021413010101010101010101010101010101010101010107121301010101010101010101010101010101010101010101010101010101010101010101010101010101010101010811010f10060101010101010101010101010101010101010101010101010b0c06010f10110101010101010101010101010101010101010101021c0a0101010101010101010101010101010101010101010101010101010101010101010101010101010101010101070d0e0105040101010101010101010101010101010101010101010101010b1713010108040101010101010101010101010101010101010101010700060101010101010101010101010101010101010101010101010101010101010101010101010101010101010102030601070d0e010101010101010101100500000006010f100000090a010b17130101080401010105001101010101020300090a070000060101010f100004010101010101010101010101010101010101010101010101010101010101020300090a070000060118191a1b0607090a01010101010101010101010500110101010b0c121301010b0c06010f10110101010500110101010f100d0e0b15160d0e0806010b0c06010101010101010101010101010101010101010101010101010101010101010f100d0e0b15160d0e08060b0c090a08000d0e0101010101010101010101020311010101010512130101010504010214130101010101010101010b0c0401010203090a0101010f1006010101010101010101010101010101010101010101010101010101010101010b0c0401010203090a0101010101010101010101010101010101010101010b0c04010101010700060101010f10000011010101010101010101010b0c040101010512130101010101080d0e010101010101010101010108000000000000000000000d0e01010101010b0c0401010105121301010101010101010101010101010101010101010101080d0e0101010203040101010101010101010101010101010101010f100d0e0101020306010101010f1000000d0e0101010101010101010101010101010101010101010101010101010f100d0e01010203060101010101010101010101010101010101010101010105090a0101010b0c0d0e01010101010101010101010101010101010105121301010f100401010101050d0e0101010101010101010101010101010101010101010101010101010101010105121301010f1004010101010101010101010101010101010101010001010203060101010108090a010101010101010101010105001101010101020304010101080d0e01010101010101010101010101010101010108000000000000000000000d0e010101010101020304010101080d0e0101010101010101010101010101010101010101010b0c000000000000000601010101010101010101010500110101010101070011010f1012130101010101010101010101010101010101010101010101010101010101010101010101010101070011010f1012130101010101010101010101010101010101010101010f100401010101070011010101010101010101010101010101010101010102030000110806010101010101010101010101010101010101010101010101010101010101010101010101010101020300001108060101010101010101010101010101010101010101010105090a0101010b0c0d0e010101010101010101010101010101010101010101010101010101010101010101010101010101010101010101010101010101010101010101010101010101010101010101010101010101010101010101010101010101010101010101010700060101010108090a010101010101010101010101010101010101010101010101010101010101010101010101010101010101010101010101010101010101010101010101010101010101010101010101010101010101010101010101010101010101010101010700040101010108000601010101010101010101010101010101010101010101010101010101010101010101010101010101010101010101010101010101010101010101010101010101010101010101010101010101010101010101010101010101010101010102030000040101050000000601010101010101010101010101010101010101010101010101010101010101010101010101010101010101010101010101010101010101010101010101010101010101010101010101010101010101010101010101010101010101010101010101010101010101010101010101010101010101010101010101010101010101010101010101010101010101010101010101010101010101010101010101010101010101010101010101010101010101010101010101010101010101010101010101010101010101010101010101010101010101010101010101010101010101010101010101010101010101010101010101010101010101010101010101010101010101010101010101010101010101010101010101010101010101010101010101010101010101010101010101010101010101010101010101010101010101010101010101010101010101010101010101010101010101010101010101010101010101010101010101010101010101010101010101010101010101010101010101010101010101010101010101010101010101010101010101010101010101010101010101010101010101010101010101010101010101010101010101010101010101010101010101010101010101010101010101010101010101010101010101010101010101010101010101010101010101010101010101014c000000640000000000000000000000660000001b0000000000000000000000670000001c0000002900aa0000000000000000000000803f00000000000000000000803f0000000000000000000000000000000000000000000000000000000000000000220000000c000000ffffffff460000001c00000010000000454d462b024000000c000000000000000e000000140000000000000010000000140000000400000003010800050000000b0200000000050000000c021c006700030000001e00040000000701040004000000070104000b060000410b2000cc001c006700000000001c0067000000000028000000670000001c00000001000800000000000000000000000000000000001d0000000000000000000000ffffff00b5ebff0000006b00ce9a00006bbae700ffd3940094d3ff00009ace0094000000ffffce00ceffff0000009400b56d0000ffffe700e7ffff00006db500e7ba6b006b000000ffebb5006b006b00b56d9400009ab5006b009400b5bae700e7ffce006b6db500006d6b0094006b000101010101010101010101010101010101010101010101010101010101010101010101010101010101010101010101010101010101010101010101010101010101010101010101010101010101010101010101010101010101010101010101010101010101010101010101010101010101010101010101010101010101010101010101010101010101010101010101010101010101010101010101010101010101010101010101010101010101010101010101010101010101010101010101010101010101010101010101010101010101010101010101010101010101010101010101010101010101010101010101010101010101010101010101010101010101010101010101010101010101010101010101010101010101010101010101010101010101010101010101010101010101010101010101010101010101010101010101010101010101010101010101010101010101010101010101010101010101010101010101010101010101010101010101010101010101010101010101010101010101010101010101010101010101010101010101010101010101010101010101010101010101010101010101010101010101010101010101010101010101010101010101010101050401010101010101010101010101010101010101010101010101010101010101010101010101010101010101010101081101010101010101010101010101010101010101010101010101010101010101010101010101010101010101010101010101010101010101070401010101010101010101010101010101010101010101010101010101010101010101010101010101010101010105040101010101010101010101010101010101010101010101010101010101010101010101010101010101010101010101010101010101010105090a010101010101010101010101010101010101010101010101010101010101010101010101010101010101010107090a010101010101010101010101010101010101010101010101010b0c000006010101010101010101010101010101010101010101010500090a01010101010101010101010101010101010101010101010101010101010101010101010101010101010f1006010b171301010101010101010101010101010101010101010101010101080401021413010101010101010101010101010101010101010107121301010101010101010101010101010101010101010101010101010101010101010101010101010101010101010811010f10060101010101010101010101010101010101010101010101010b0c06010f10110101010101010101010101010101010101010101021c0a0101010101010101010101010101010101010101010101010101010101010101010101010101010101010101070d0e0105040101010101010101010101010101010101010101010101010b1713010108040101010101010101010101010101010101010101010700060101010101010101010101010101010101010101010101010101010101010101010101010101010101010102030601070d0e010101010101010101100500000006010f100000090a010b17130101080401010105001101010101020300090a070000060101010f100004010101010101010101010101010101010101010101010101010101010101020300090a070000060118191a1b0607090a01010101010101010101010500110101010b0c121301010b0c06010f10110101010500110101010f100d0e0b15160d0e0806010b0c06010101010101010101010101010101010101010101010101010101010101010f100d0e0b15160d0e08060b0c090a08000d0e0101010101010101010101020311010101010512130101010504010214130101010101010101010b0c0401010203090a0101010f1006010101010101010101010101010101010101010101010101010101010101010b0c0401010203090a0101010101010101010101010101010101010101010b0c04010101010700060101010f10000011010101010101010101010b0c040101010512130101010101080d0e010101010101010101010108000000000000000000000d0e01010101010b0c0401010105121301010101010101010101010101010101010101010101080d0e0101010203040101010101010101010101010101010101010f100d0e0101020306010101010f1000000d0e0101010101010101010101010101010101010101010101010101010f100d0e01010203060101010101010101010101010101010101010101010105090a0101010b0c0d0e01010101010101010101010101010101010105121301010f100401010101050d0e0101010101010101010101010101010101010101010101010101010101010105121301010f1004010101010101010101010101010101010101010001010203060101010108090a010101010101010101010105001101010101020304010101080d0e01010101010101010101010101010101010108000000000000000000000d0e010101010101020304010101080d0e0101010101010101010101010101010101010101010b0c000000000000000601010101010101010101010500110101010101070011010f1012130101010101010101010101010101010101010101010101010101010101010101010101010101070011010f1012130101010101010101010101010101010101010101010f100401010101070011010101010101010101010101010101010101010102030000110806010101010101010101010101010101010101010101010101010101010101010101010101010101020300001108060101010101010101010101010101010101010101010105090a0101010b0c0d0e010101010101010101010101010101010101010101010101010101010101010101010101010101010101010101010101010101010101010101010101010101010101010101010101010101010101010101010101010101010101010101010700060101010108090a010101010101010101010101010101010101010101010101010101010101010101010101010101010101010101010101010101010101010101010101010101010101010101010101010101010101010101010101010101010101010101010700040101010108000601010101010101010101010101010101010101010101010101010101010101010101010101010101010101010101010101010101010101010101010101010101010101010101010101010101010101010101010101010101010101010102030000040101050000000601010101010101010101010101010101010101010101010101010101010101010101010101010101010101010101010101010101010101010101010101010101010101010101010101010101010101010101010101010101010101010101010101010101010101010101010101010101010101010101010101010101010101010101010101010101010101010101010101010101010101010101010101010101010101010101010101010101010101010101010101010101010101010101010101010101010101010101010101010101010101010101010101010101010101010101010101010101010101010101010101010101010101010101010101010101010101010101010101010101010101010101010101010101010101010101010101010101010101010101010101010101010101010101010101010101010101010101010101010101010101010101010101010101010101010101010101010101010101010101010101010101010101010101010101010101010101010101010101010101010101010101010101010101010101010101010101010101010101010101010101010101010101010101010101010101010101010101010101010101010101010101010101010101010101010101010101010101010101010101010101010101010101010101010101010101010101010101010101010c00000040092900aa000000000000001c00670000000000040000002701ffff030000000000про рівність середніх значень таких факторів як гемоглобін, еритроцити, Ht, лейкоцити, нейтрофіли палочкоядерні, нейтрофіли сегментоядерні та лімфоцити на рівні значущості 0,05 відхиляється.
Цей результат можна трактувати так. Припущення про відсутність відмінностей між гемоглобіном, еритроцитами, Ht, лейкоцитами, нейтрофілами палочкоядерними, нейтрофілами сегментоядерними та лімфоцитами хворих субкомпенсованого стану та декомпенсованого стану суперечить експериментальним даним. Іншими словами, експеримент дає підстави говорити про наявність відмінностей між гемоглобіном, еритроцитами, Ht, лейкоцитами, нейтрофілами палочкоядерними, нейтрофілами сегментоядерними та лімфоцитами хворих у субкомпенсованому та декомпенсованому станах.
3. Порівняємо середні значення факторів для компенсованого та декомпенсованого станів хворих за кишкової непрохідності
|
n |
m |
комп |
|
|
|
|
n+m-2 |
|
Гіпотеза |
|
Вік |
104 |
86 |
62,06 |
65,57 |
9,74 |
11,36 |
2,29 |
188 |
1,653 |
відхиляється |
|
Діагноз |
104 |
86 |
5,25 |
6,22 |
3,04 |
2,26 |
2,45 |
188 |
1,653 |
відхиляється |
|
Характерис- тика пухлини |
104 |
86 |
3,31 |
3,57 |
0,68 |
0,52 |
2,92 |
188 |
1,653 |
відхиляється |
|
Наявні метастази |
104 |
86 |
0,37 |
0,42 |
0,65 |
0,68 |
0,55 |
188 |
1,653 |
не відхиляється |
|
Віддалені метастази |
104 |
86 |
0,11 |
0,13 |
0,31 |
0,34 |
0,47 |
188 |
1,653 |
не відхиляється |
|
Гемоглобін |
104 |
86 |
110,10 |
124,57 |
28,63 |
24,17 |
3,72 |
188 |
1,653 |
відхиляється |
|
Еритроцити |
103 |
83 |
3,77 |
3,78 |
0,66 |
0,58 |
0,09 |
184 |
1,653 |
не відхиляється |
|
ЦП |
75 |
28 |
0,82 |
0,81 |
0,09 |
0,07 |
0,45 |
101 |
1,660 |
не відхиляється |
|
Ht |
74 |
69 |
31,49 |
34,86 |
8,55 |
6,20 |
2,68 |
141 |
1,656 |
відхиляється |
|
Лейкоцити |
103 |
85 |
6,90 |
9,28 |
2,20 |
3,39 |
5,80 |
186 |
1,653 |
відхиляється |
|
СОЭ |
95 |
66 |
16,68 |
17,11 |
15,45 |
11,20 |
0,19 |
159 |
1,654 |
не відхиляється |
|
Базофіли |
2 |
0 |
|
|||||||
|
Еозінофіли |
75 |
32 |
2,07 |
1,63 |
1,44 |
1,21 |
1,52 |
105 |
1,659 |
не відхиляється |
|
Міелоцити |
0 |
1 |
|
|||||||
|
Юні |
1 |
5 |
|
|||||||
|
Нейтрофіли палочкоядерні |
103 |
85 |
6,00 |
12,76 |
4,27 |
8,68 |
6,96 |
186 |
1,653 |
відхиляється |
|
Нейтрофіли сегментоядерні |
104 |
85 |
59,23 |
62,95 |
11,29 |
10,49 |
2,33 |
187 |
1,653 |
відхиляється |
|
Лімфоцити |
104 |
85 |
29,73 |
20,36 |
10,49 |
10,25 |
6,17 |
187 |
1,653 |
відхиляється |
|
Моноцити |
104 |
85 |
3,53 |
2,99 |
2,84 |
1,91 |
1,50 |
187 |
1,653 |
не відхиляється |
Згідно з критерієм Стьюдента гіпотеза 010009000003b00e000000007008000000007008000026060f00d610574d46430100000000000100a4990000000001000000b410000000000000b4100000010000006c0000000000000000000000660000001b0000000000000000000000890a0000dc02000020454d4600000100b41000000c00000001000000000000000000000000000000900600001a040000b801000013010000000000000000000000000000c0b6060038320400460000002c00000020000000454d462b014001001c000000100000000210c0db0100000060000000600000004600000004030000f8020000454d462b224004000c000000000000001e4009000c00000000000000244001000c000000000000003040020010000000040000000000803f214007000c000000000000000840000550020000440200000210c0db01000000000000000000000000000000000000000100000089504e470d0a1a0a0000000d49484452000000670000001c08030000004b7a51c90000000373424954050605330b8d80000000017352474200aece1ce9000000097048597300000ec400000ec401952b0e1b00000057504c544500000000006b000094006db5009ace6b00006b006b6b00946b6d006bbae794000094006b946db594d3ffb56d00b56d6bb59a00b5ebffce9a00ceffffceffe7e7ba6be7bab5ffd394ffebb5ffffcee7ffffffffe7ffffff969fd4e50000015b4944415448c7ed95d17a83200c85b316b7c9a65de9185279ffe79c01b44140c57deeaab994c84f4e0e01ccff043c397b395d05c08c9100d01c5a8f428c31e2408ce7588038dd8ee5480bd0fc7c3f94d3b7563605752a01bb578bad8a66b3010b011774597a2ad2fbf6e5ba0d93cfb67e4bb4c773ba0a6b152945054c312e2f64c3727b249ecd0b2b57fb47b3638ee3bbb3cca26f71cd17dcb78f932723c88e389a7b1b347e2f6207b726bde0a120b16e61f69cd355f554b391cc74afd790d35556d8be5d331dcd8e39aee39a2347f366d8af9e7c804ae8cfaff37db02aae2d07c9d6fc7413546570630df51acea13f069860d46fc36705a3a66cf5f6f8ec9fefcb7ba34865e1bc7e705277a364fca11b14ad67a6f0a85bfce35bd1f443866426c3c15aa80fe88f5b6782dfa80e8d0373cb641f210905f31c19b60919cef2752f7b38a80d8a388a153d05b43d251c5986c116edabe72ff1e4ec8b5fe0c423615e5a63160000000049454e44ae4260820840010824000000180000000210c0db01000000030000000000000000000000000000001b40000040000000340000000100000002000000000000bf000000bf0000ce420000e04103000000000000b3000000b3ffffcd42000000b3000000b3ffffdf412100000008000000620000000c00000001000000150000000c00000004000000150000000c00000004000000510000004c0c00000000000000000000660000001b00000000000000000000000000000000000000670000001c000000500000009c000000ec000000600b0000000000002000cc00670000001c00000028000000670000001c00000001000800000000000000000000000000000000001d0000000000000000000000ffffff00b5ebff0000006b00ce9a00006bbae700ffd3940094d3ff00009ace0094000000ffffce00ceffff0000009400b56d0000ffffe700e7ffff00006db500e7ba6b006b000000ffebb5006b006b00b56d9400009ab5006b009400b5bae700e7ffce006b6db500006d6b0094006b000101010101010101010101010101010101010101010101010101010101010101010101010101010101010101010101010101010101010101010101010101010101010101010101010101010101010101010101010101010101010101010101010101010101010101010101010101010101010101010101010101010101010101010101010101010101010101010101010101010101010101010101010101010101010101010101010101010101010101010101010101010101010101010101010101010101010101010101010101010101010101010101010101010101010101010101010101010101010101010101010101010101010101010101010101010101010101010101010101010101010101010101010101010101010101010101010101010101010101010101010101010101010101010101010101010101010101010101010101010101010101010101010101010101010101010101010101010101010101010101010101010101010101010101010101010101010101010101010101010101010101010101010101010101010101010101010101010101010101010101010101010101010101010101010101010101010101010101010101010101010101010101010101050401010101010101010101010101010101010101010101010101010101010101010101010101010101010101010101081101010101010101010101010101010101010101010101010101010101010101010101010101010101010101010101010101010101010101070401010101010101010101010101010101010101010101010101010101010101010101010101010101010101010105040101010101010101010101010101010101010101010101010101010101010101010101010101010101010101010101010101010101010105090a010101010101010101010101010101010101010101010101010101010101010101010101010101010101010107090a010101010101010101010101010101010101010101010101010b0c000006010101010101010101010101010101010101010101010500090a01010101010101010101010101010101010101010101010101010101010101010101010101010101010f1006010b171301010101010101010101010101010101010101010101010101080401021413010101010101010101010101010101010101010107121301010101010101010101010101010101010101010101010101010101010101010101010101010101010101010811010f10060101010101010101010101010101010101010101010101010b0c06010f10110101010101010101010101010101010101010101021c0a0101010101010101010101010101010101010101010101010101010101010101010101010101010101010101070d0e0105040101010101010101010101010101010101010101010101010b1713010108040101010101010101010101010101010101010101010700060101010101010101010101010101010101010101010101010101010101010101010101010101010101010102030601070d0e010101010101010101100500000006010f100000090a010b17130101080401010105001101010101020300090a070000060101010f100004010101010101010101010101010101010101010101010101010101010101020300090a070000060118191a1b0607090a01010101010101010101010500110101010b0c121301010b0c06010f10110101010500110101010f100d0e0b15160d0e0806010b0c06010101010101010101010101010101010101010101010101010101010101010f100d0e0b15160d0e08060b0c090a08000d0e0101010101010101010101020311010101010512130101010504010214130101010101010101010b0c0401010203090a0101010f1006010101010101010101010101010101010101010101010101010101010101010b0c0401010203090a0101010101010101010101010101010101010101010b0c04010101010700060101010f10000011010101010101010101010b0c040101010512130101010101080d0e010101010101010101010108000000000000000000000d0e01010101010b0c0401010105121301010101010101010101010101010101010101010101080d0e0101010203040101010101010101010101010101010101010f100d0e0101020306010101010f1000000d0e0101010101010101010101010101010101010101010101010101010f100d0e01010203060101010101010101010101010101010101010101010105090a0101010b0c0d0e01010101010101010101010101010101010105121301010f100401010101050d0e0101010101010101010101010101010101010101010101010101010101010105121301010f1004010101010101010101010101010101010101010001010203060101010108090a010101010101010101010105001101010101020304010101080d0e01010101010101010101010101010101010108000000000000000000000d0e010101010101020304010101080d0e0101010101010101010101010101010101010101010b0c000000000000000601010101010101010101010500110101010101070011010f1012130101010101010101010101010101010101010101010101010101010101010101010101010101070011010f1012130101010101010101010101010101010101010101010f100401010101070011010101010101010101010101010101010101010102030000110806010101010101010101010101010101010101010101010101010101010101010101010101010101020300001108060101010101010101010101010101010101010101010105090a0101010b0c0d0e010101010101010101010101010101010101010101010101010101010101010101010101010101010101010101010101010101010101010101010101010101010101010101010101010101010101010101010101010101010101010101010700060101010108090a010101010101010101010101010101010101010101010101010101010101010101010101010101010101010101010101010101010101010101010101010101010101010101010101010101010101010101010101010101010101010101010700040101010108000601010101010101010101010101010101010101010101010101010101010101010101010101010101010101010101010101010101010101010101010101010101010101010101010101010101010101010101010101010101010101010102030000040101050000000601010101010101010101010101010101010101010101010101010101010101010101010101010101010101010101010101010101010101010101010101010101010101010101010101010101010101010101010101010101010101010101010101010101010101010101010101010101010101010101010101010101010101010101010101010101010101010101010101010101010101010101010101010101010101010101010101010101010101010101010101010101010101010101010101010101010101010101010101010101010101010101010101010101010101010101010101010101010101010101010101010101010101010101010101010101010101010101010101010101010101010101010101010101010101010101010101010101010101010101010101010101010101010101010101010101010101010101010101010101010101010101010101010101010101010101010101010101010101010101010101010101010101010101010101010101010101010101010101010101010101010101010101010101010101010101010101010101010101010101010101010101010101010101010101010101010101010101010101010101010101010101010101010101010101010101010101010101010101010101010101010101010101010101010101010101010101010101010101014c000000640000000000000000000000660000001b0000000000000000000000670000001c0000002900aa0000000000000000000000803f00000000000000000000803f0000000000000000000000000000000000000000000000000000000000000000220000000c000000ffffffff460000001c00000010000000454d462b024000000c000000000000000e000000140000000000000010000000140000000400000003010800050000000b0200000000050000000c021c006700030000001e00040000000701040004000000070104000b060000410b2000cc001c006700000000001c0067000000000028000000670000001c00000001000800000000000000000000000000000000001d0000000000000000000000ffffff00b5ebff0000006b00ce9a00006bbae700ffd3940094d3ff00009ace0094000000ffffce00ceffff0000009400b56d0000ffffe700e7ffff00006db500e7ba6b006b000000ffebb5006b006b00b56d9400009ab5006b009400b5bae700e7ffce006b6db500006d6b0094006b000101010101010101010101010101010101010101010101010101010101010101010101010101010101010101010101010101010101010101010101010101010101010101010101010101010101010101010101010101010101010101010101010101010101010101010101010101010101010101010101010101010101010101010101010101010101010101010101010101010101010101010101010101010101010101010101010101010101010101010101010101010101010101010101010101010101010101010101010101010101010101010101010101010101010101010101010101010101010101010101010101010101010101010101010101010101010101010101010101010101010101010101010101010101010101010101010101010101010101010101010101010101010101010101010101010101010101010101010101010101010101010101010101010101010101010101010101010101010101010101010101010101010101010101010101010101010101010101010101010101010101010101010101010101010101010101010101010101010101010101010101010101010101010101010101010101010101010101010101010101010101010101010101050401010101010101010101010101010101010101010101010101010101010101010101010101010101010101010101081101010101010101010101010101010101010101010101010101010101010101010101010101010101010101010101010101010101010101070401010101010101010101010101010101010101010101010101010101010101010101010101010101010101010105040101010101010101010101010101010101010101010101010101010101010101010101010101010101010101010101010101010101010105090a010101010101010101010101010101010101010101010101010101010101010101010101010101010101010107090a010101010101010101010101010101010101010101010101010b0c000006010101010101010101010101010101010101010101010500090a01010101010101010101010101010101010101010101010101010101010101010101010101010101010f1006010b171301010101010101010101010101010101010101010101010101080401021413010101010101010101010101010101010101010107121301010101010101010101010101010101010101010101010101010101010101010101010101010101010101010811010f10060101010101010101010101010101010101010101010101010b0c06010f10110101010101010101010101010101010101010101021c0a0101010101010101010101010101010101010101010101010101010101010101010101010101010101010101070d0e0105040101010101010101010101010101010101010101010101010b1713010108040101010101010101010101010101010101010101010700060101010101010101010101010101010101010101010101010101010101010101010101010101010101010102030601070d0e010101010101010101100500000006010f100000090a010b17130101080401010105001101010101020300090a070000060101010f100004010101010101010101010101010101010101010101010101010101010101020300090a070000060118191a1b0607090a01010101010101010101010500110101010b0c121301010b0c06010f10110101010500110101010f100d0e0b15160d0e0806010b0c06010101010101010101010101010101010101010101010101010101010101010f100d0e0b15160d0e08060b0c090a08000d0e0101010101010101010101020311010101010512130101010504010214130101010101010101010b0c0401010203090a0101010f1006010101010101010101010101010101010101010101010101010101010101010b0c0401010203090a0101010101010101010101010101010101010101010b0c04010101010700060101010f10000011010101010101010101010b0c040101010512130101010101080d0e010101010101010101010108000000000000000000000d0e01010101010b0c0401010105121301010101010101010101010101010101010101010101080d0e0101010203040101010101010101010101010101010101010f100d0e0101020306010101010f1000000d0e0101010101010101010101010101010101010101010101010101010f100d0e01010203060101010101010101010101010101010101010101010105090a0101010b0c0d0e01010101010101010101010101010101010105121301010f100401010101050d0e0101010101010101010101010101010101010101010101010101010101010105121301010f1004010101010101010101010101010101010101010001010203060101010108090a010101010101010101010105001101010101020304010101080d0e01010101010101010101010101010101010108000000000000000000000d0e010101010101020304010101080d0e0101010101010101010101010101010101010101010b0c000000000000000601010101010101010101010500110101010101070011010f1012130101010101010101010101010101010101010101010101010101010101010101010101010101070011010f1012130101010101010101010101010101010101010101010f100401010101070011010101010101010101010101010101010101010102030000110806010101010101010101010101010101010101010101010101010101010101010101010101010101020300001108060101010101010101010101010101010101010101010105090a0101010b0c0d0e010101010101010101010101010101010101010101010101010101010101010101010101010101010101010101010101010101010101010101010101010101010101010101010101010101010101010101010101010101010101010101010700060101010108090a010101010101010101010101010101010101010101010101010101010101010101010101010101010101010101010101010101010101010101010101010101010101010101010101010101010101010101010101010101010101010101010700040101010108000601010101010101010101010101010101010101010101010101010101010101010101010101010101010101010101010101010101010101010101010101010101010101010101010101010101010101010101010101010101010101010102030000040101050000000601010101010101010101010101010101010101010101010101010101010101010101010101010101010101010101010101010101010101010101010101010101010101010101010101010101010101010101010101010101010101010101010101010101010101010101010101010101010101010101010101010101010101010101010101010101010101010101010101010101010101010101010101010101010101010101010101010101010101010101010101010101010101010101010101010101010101010101010101010101010101010101010101010101010101010101010101010101010101010101010101010101010101010101010101010101010101010101010101010101010101010101010101010101010101010101010101010101010101010101010101010101010101010101010101010101010101010101010101010101010101010101010101010101010101010101010101010101010101010101010101010101010101010101010101010101010101010101010101010101010101010101010101010101010101010101010101010101010101010101010101010101010101010101010101010101010101010101010101010101010101010101010101010101010101010101010101010101010101010101010101010101010101010101010101010101010101010101010101010c00000040092900aa000000000000001c00670000000000040000002701ffff030000000000про рівність середніх значень таких факторів як вік, діагноз, характеристика пухлини, гемоглобін, Ht, лейкоцити, нейтрофіли палочкоядерні, нейтрофіли сегментоядерні та лімфоцити на рівні значущості 0,05 відхиляється.
Цей результат можна трактувати так. Припущення про відсутність відмінностей між віком, діагнозом, характеристикою пухлини, Ht, лейкоцитами, нейтрофілами палочкоядерними, нейтрофілами сегментоядерними та лімфоцитами хворих компенсованого стану та декомпенсованого стану суперечить експериментальним даним. Іншими словами, експеримент дає підстави говорити про наявність відмінностей між віком, діагнозом, характеристикою пухлини, Ht, лейкоцитами, нейтрофілами палочкоядерними, нейтрофілами сегментоядерними та лімфоцитами хворих у компенсованому та декомпенсованому станах.
Розділ 3. Перевірка гіпотези про незалежність параметрів загального аналізу крові для компенсованого, субкомпенсованого та декомпенсованого станів за кишкової непрохідності
Гіпотеза про незалежність факторів нейтрофіли палочкоядерні та нейтрофіли сегментоядерні.
Висувається
гіпотеза
про незалежність нейтрофілів палочкоядерних
та нейтрофілів сегментоядерних.
Таблиця спряженості ознак
|
Нейтрофіли палочкоядерні |
Нейтрофіли сегментоядерні |
Разом |
|
|
16-60,53 |
60,53-86 |
||
|
1-6 |
54 |
78 |
132 |
|
6-46 |
79 |
87 |
166 |
|
Разом |
133 |
165 |
298 |
Перевіримо
необхідну умову використання критерію
незалежності:

|
Нейтрофіли палочкоядерні |
Нейтрофіли сегментоядерні |
Разом |
|
|
16-60,53 |
60,53-86 |
||
|
1-6 |
74,09 |
91,91 |
132 |
|
6-46 |
58,91 |
73,09 |
166 |
|
Разом |
133 |
165 |
298 |
Отже,
необхідна умова використання критерію
незалежності виконується. Обчислимо
відхилення:


За
таблицями математичної статистики
знаходимо:
.
Оскільки 1,328<3,84, то гіпотеза про незалежність нейтрофілів палочкоядерних і нейтрофілів сегментоядерних не відхиляється.

Гіпотеза про незалежність факторів Ht і нейтрофіли палочкоядерні.
Висувається
гіпотеза 010009000003a501000002001c00000000000500000009020000000005000000020101000000050000000102ffffff00050000002e0118000000050000000b0200000000050000000c02c002c0151200000026060f001a00ffffffff000010000000c0ffffffa6ffffff80150000660200000b00000026060f000c004d617468547970650000a0001c000000fb0280fe0000000000009001000000cc0402001054696d6573204e657720526f6d616e00c0a4f377c9a4f3772030f577b111668d040000002d01000008000000320a80010d1501000000297908000000320a80014d1401000000327908000000320a8001e713010000002c7908000000320a80014b1301000000317908000000320a80018710010000002c7908000000320a8001cd0f01000000327908000000320a8001670f010000002c7908000000320a8001cb0e01000000317908000000320a8001670c01000000287908000000320a8001b302010000003a7908000000320a3d0281010100000030791c000000fb0280fe0000000000009001000000020402001053796d626f6c0000dc110a1940f11200c0a4f377c9a4f3772030f577b111668d040000002d01010004000000f001000008000000320a80013d12010000003d7908000000320a8001bd0d010000003d7908000000320a2502bb0901000000d77908000000320a2502630801000000d77908000000320a8001d305010000003d791c000000fb0280fe0000000000009001010000cc0402001054696d6573204e657720526f6d616e00c0a4f377c9a4f3772030f577b111668d040000002d01000004000000f001010008000000320a80015f11010000006a7908000000320a8001e50c01000000697908000000320a2502570a010000006a7908000000320a8001ff0801000000707908000000320a2502fd0701000000697908000000320a80013b0701000000707908000000320a2502590402000000696a08000000320a8001970301000000706a08000000320a8001460001000000486a0a00000026060f000a00ffffffff0100000000001c000000fb021000070000000000bc02000000cc0102022253797374656d008db111668d00000a0021008a0100000000010000005cf31200040000002d01010004000000f0010000030000000000
про незалежність нейтрофілів палочкоядерних
та Ht.
Таблиця спряженості ознак
|
Ht |
Нейтрофіли палочкоядерні |
Разом |
|
|
1-6 |
6-46 |
||
|
18-31 |
59 |
62 |
121 |
|
31-50 |
42 |
66 |
108 |
|
Разом |
101 |
128 |
229 |
Перевіримо
необхідну умову використання критерію
незалежності:

|
Ht |
Нейтрофіли палочкоядерні |
Разом |
|
|
1-6 |
6-46 |
||
|
18-31 |
53,36 |
67,63 |
121 |
|
31-50 |
47,63 |
60,36 |
108 |
|
Разом |
101 |
128 |
229 |
Отже,
необхідна умова використання критерію
незалежності виконується. Обчислимо
відхилення:


За
таблицями математичної статистики
знаходимо:
.
Оскільки 2,255<3,84, то гіпотеза про незалежність нейтрофілів палочкоядерних і Ht не відхиляється.

Гіпотеза про незалежність факторів Ht і нейтрофіли сегментоядерні.
Висувається
гіпотеза 010009000003a501000002001c00000000000500000009020000000005000000020101000000050000000102ffffff00050000002e0118000000050000000b0200000000050000000c02c002c0151200000026060f001a00ffffffff000010000000c0ffffffa6ffffff80150000660200000b00000026060f000c004d617468547970650000a0001c000000fb0280fe0000000000009001000000cc0402001054696d6573204e657720526f6d616e00c0a4f377c9a4f3772030f577b111668d040000002d01000008000000320a80010d1501000000297908000000320a80014d1401000000327908000000320a8001e713010000002c7908000000320a80014b1301000000317908000000320a80018710010000002c7908000000320a8001cd0f01000000327908000000320a8001670f010000002c7908000000320a8001cb0e01000000317908000000320a8001670c01000000287908000000320a8001b302010000003a7908000000320a3d0281010100000030791c000000fb0280fe0000000000009001000000020402001053796d626f6c0000dc110a1940f11200c0a4f377c9a4f3772030f577b111668d040000002d01010004000000f001000008000000320a80013d12010000003d7908000000320a8001bd0d010000003d7908000000320a2502bb0901000000d77908000000320a2502630801000000d77908000000320a8001d305010000003d791c000000fb0280fe0000000000009001010000cc0402001054696d6573204e657720526f6d616e00c0a4f377c9a4f3772030f577b111668d040000002d01000004000000f001010008000000320a80015f11010000006a7908000000320a8001e50c01000000697908000000320a2502570a010000006a7908000000320a8001ff0801000000707908000000320a2502fd0701000000697908000000320a80013b0701000000707908000000320a2502590402000000696a08000000320a8001970301000000706a08000000320a8001460001000000486a0a00000026060f000a00ffffffff0100000000001c000000fb021000070000000000bc02000000cc0102022253797374656d008db111668d00000a0021008a0100000000010000005cf31200040000002d01010004000000f0010000030000000000
про незалежність нейтрофілів
сегментоядерних та Ht.
Таблиця спряженості ознак
|
Ht |
Нейтрофіли сегментоядерні |
Разом |
|
|
16-60,53 |
60,53-86 |
||
|
18-31 |
59 |
62 |
121 |
|
31-50 |
46 |
62 |
108 |
|
Разом |
105 |
124 |
229 |
Перевіримо
необхідну умову використання критерію
незалежності:

|
Ht |
Нейтрофіли сегментоядерні |
Разом |
|
|
16-60,53 |
60,53-86 |
||
|
18-31 |
55,48 |
65,52 |
121 |
|
31-50 |
49,52 |
58,48 |
108 |
|
Разом |
105 |
124 |
229 |
Отже,
необхідна умова використання критерію
незалежності виконується. Обчислимо
відхилення:


За
таблицями математичної статистики
знаходимо:
.
Оскільки 0,874<3,84, то гіпотеза про незалежність нейтрофілів сегментоядерних і Ht не відхиляється.

Гіпотеза про незалежність факторів лейкоцити і Ht.
Висувається
гіпотеза 010009000003a501000002001c00000000000500000009020000000005000000020101000000050000000102ffffff00050000002e0118000000050000000b0200000000050000000c02c002c0151200000026060f001a00ffffffff000010000000c0ffffffa6ffffff80150000660200000b00000026060f000c004d617468547970650000a0001c000000fb0280fe0000000000009001000000cc0402001054696d6573204e657720526f6d616e00c0a4f377c9a4f3772030f577b111668d040000002d01000008000000320a80010d1501000000297908000000320a80014d1401000000327908000000320a8001e713010000002c7908000000320a80014b1301000000317908000000320a80018710010000002c7908000000320a8001cd0f01000000327908000000320a8001670f010000002c7908000000320a8001cb0e01000000317908000000320a8001670c01000000287908000000320a8001b302010000003a7908000000320a3d0281010100000030791c000000fb0280fe0000000000009001000000020402001053796d626f6c0000dc110a1940f11200c0a4f377c9a4f3772030f577b111668d040000002d01010004000000f001000008000000320a80013d12010000003d7908000000320a8001bd0d010000003d7908000000320a2502bb0901000000d77908000000320a2502630801000000d77908000000320a8001d305010000003d791c000000fb0280fe0000000000009001010000cc0402001054696d6573204e657720526f6d616e00c0a4f377c9a4f3772030f577b111668d040000002d01000004000000f001010008000000320a80015f11010000006a7908000000320a8001e50c01000000697908000000320a2502570a010000006a7908000000320a8001ff0801000000707908000000320a2502fd0701000000697908000000320a80013b0701000000707908000000320a2502590402000000696a08000000320a8001970301000000706a08000000320a8001460001000000486a0a00000026060f000a00ffffffff0100000000001c000000fb021000070000000000bc02000000cc0102022253797374656d008db111668d00000a0021008a0100000000010000005cf31200040000002d01010004000000f0010000030000000000
про незалежність лейкоцитів та Ht.
Таблиця спряженості ознак
|
Лейкоцити |
Ht |
Разом |
|
|
18-31 |
31-50 |
||
|
2,8 - 8 |
77 |
61 |
138 |
|
8 - 19,2 |
43 |
43 |
86 |
|
Разом |
120 |
104 |
224 |
Перевіримо
необхідну умову використання критерію
незалежності:

|
Лейкоцити |
Ht |
Разом |
|
|
18-31 |
31-50 |
||
|
2,8 - 8 |
73,93 |
64,07 |
138 |
|
8 - 19,2 |
46,07 |
39,93 |
86 |
|
Разом |
120 |
104 |
224 |
Отже,
необхідна умова використання критерію
незалежності виконується. Обчислимо
відхилення:
.
Оскільки
0,716<
,
то гіпотеза про незалежність Ht і
лейкоцитів не відхиляється.

Гіпотеза про незалежність факторів лейкоцити і нейтрофіли палочкоядерні.
Висувається гіпотеза 010009000003a501000002001c00000000000500000009020000000005000000020101000000050000000102ffffff00050000002e0118000000050000000b0200000000050000000c02c002c0151200000026060f001a00ffffffff000010000000c0ffffffa6ffffff80150000660200000b00000026060f000c004d617468547970650000a0001c000000fb0280fe0000000000009001000000cc0402001054696d6573204e657720526f6d616e00c0a4f377c9a4f3772030f577b111668d040000002d01000008000000320a80010d1501000000297908000000320a80014d1401000000327908000000320a8001e713010000002c7908000000320a80014b1301000000317908000000320a80018710010000002c7908000000320a8001cd0f01000000327908000000320a8001670f010000002c7908000000320a8001cb0e01000000317908000000320a8001670c01000000287908000000320a8001b302010000003a7908000000320a3d0281010100000030791c000000fb0280fe0000000000009001000000020402001053796d626f6c0000dc110a1940f11200c0a4f377c9a4f3772030f577b111668d040000002d01010004000000f001000008000000320a80013d12010000003d7908000000320a8001bd0d010000003d7908000000320a2502bb0901000000d77908000000320a2502630801000000d77908000000320a8001d305010000003d791c000000fb0280fe0000000000009001010000cc0402001054696d6573204e657720526f6d616e00c0a4f377c9a4f3772030f577b111668d040000002d01000004000000f001010008000000320a80015f11010000006a7908000000320a8001e50c01000000697908000000320a2502570a010000006a7908000000320a8001ff0801000000707908000000320a2502fd0701000000697908000000320a80013b0701000000707908000000320a2502590402000000696a08000000320a8001970301000000706a08000000320a8001460001000000486a0a00000026060f000a00ffffffff0100000000001c000000fb021000070000000000bc02000000cc0102022253797374656d008db111668d00000a0021008a0100000000010000005cf31200040000002d01010004000000f0010000030000000000 про незалежність нейтрофілів палочкоядерн та лейкоцитів.
Таблиця спряженості ознак
|
Лейкоцити |
Нейтрофіли палочкоядерні |
Разом |
|
|
1-6 |
6-46 |
||
|
2,8-4,5 |
15 |
9 |
24 |
|
4,5-19,2 |
114 |
151 |
265 |
|
Разом |
129 |
160 |
289 |
Перевіримо
необхідну умову використання критерію
незалежності:

|
Лейкоцити |
Нейтрофіли палочкоядерні |
Разом |
|
|
1-6 |
6-46 |
||
|
2,8-4,5 |
10,71 |
13,29 |
24 |
|
4,5-19,2 |
118,29 |
146,71 |
265 |
|
Разом |
129 |
160 |
289 |
Отже,
необхідна умова використання критерію
незалежності виконується. Обчислимо
відхилення:

Оскільки
3,379<
,
то гіпотеза про незалежність лейкоцитів
і нейтрофілів палочкоядерних не
відхиляється.

Гіпотеза про незалежність факторів лейкоцити і нейтрофіли сегментоядерні.
Висувається гіпотеза 010009000003a501000002001c00000000000500000009020000000005000000020101000000050000000102ffffff00050000002e0118000000050000000b0200000000050000000c02c002c0151200000026060f001a00ffffffff000010000000c0ffffffa6ffffff80150000660200000b00000026060f000c004d617468547970650000a0001c000000fb0280fe0000000000009001000000cc0402001054696d6573204e657720526f6d616e00c0a4f377c9a4f3772030f577b111668d040000002d01000008000000320a80010d1501000000297908000000320a80014d1401000000327908000000320a8001e713010000002c7908000000320a80014b1301000000317908000000320a80018710010000002c7908000000320a8001cd0f01000000327908000000320a8001670f010000002c7908000000320a8001cb0e01000000317908000000320a8001670c01000000287908000000320a8001b302010000003a7908000000320a3d0281010100000030791c000000fb0280fe0000000000009001000000020402001053796d626f6c0000dc110a1940f11200c0a4f377c9a4f3772030f577b111668d040000002d01010004000000f001000008000000320a80013d12010000003d7908000000320a8001bd0d010000003d7908000000320a2502bb0901000000d77908000000320a2502630801000000d77908000000320a8001d305010000003d791c000000fb0280fe0000000000009001010000cc0402001054696d6573204e657720526f6d616e00c0a4f377c9a4f3772030f577b111668d040000002d01000004000000f001010008000000320a80015f11010000006a7908000000320a8001e50c01000000697908000000320a2502570a010000006a7908000000320a8001ff0801000000707908000000320a2502fd0701000000697908000000320a80013b0701000000707908000000320a2502590402000000696a08000000320a8001970301000000706a08000000320a8001460001000000486a0a00000026060f000a00ffffffff0100000000001c000000fb021000070000000000bc02000000cc0102022253797374656d008db111668d00000a0021008a0100000000010000005cf31200040000002d01010004000000f0010000030000000000 про незалежність лейкоцитів та нейтрофілів сегментоядерних.
Таблиця спряженості ознак
|
Лейкоцити |
Нейтрофіли сегментоядерні |
Разом |
|
|
16-60,53 |
60,53-86 |
||
|
2,8 - 7 |
74 |
73 |
147 |
|
7 - 19,2 |
57 |
87 |
144 |
|
Разом |
131 |
160 |
291 |
Перевіримо
необхідну умову використання критерію
незалежності:

|
Лейкоцити |
Нейтрофіли сегментоядерні |
Разом |
|
|
16-60,53 |
60,53-86 |
||
|
2,8 - 7 |
66,18 |
80,82 |
147 |
|
7 - 19,2 |
64,82 |
79,18 |
144 |
|
Разом |
131 |
160 |
291 |
Отже,
необхідна умова використання критерію
незалежності виконується. Обчислимо
відхилення:

Оскільки
3,4<
,
то гіпотеза про незалежність лейкоцитів
і нейтрофілів сегментоядерних не
відхиляється.

Гіпотеза про незалежність факторів еритроцити і нейтрофіли сегментоядерні.
Висувається гіпотеза 010009000003a501000002001c00000000000500000009020000000005000000020101000000050000000102ffffff00050000002e0118000000050000000b0200000000050000000c02c002c0151200000026060f001a00ffffffff000010000000c0ffffffa6ffffff80150000660200000b00000026060f000c004d617468547970650000a0001c000000fb0280fe0000000000009001000000cc0402001054696d6573204e657720526f6d616e00c0a4f377c9a4f3772030f577b111668d040000002d01000008000000320a80010d1501000000297908000000320a80014d1401000000327908000000320a8001e713010000002c7908000000320a80014b1301000000317908000000320a80018710010000002c7908000000320a8001cd0f01000000327908000000320a8001670f010000002c7908000000320a8001cb0e01000000317908000000320a8001670c01000000287908000000320a8001b302010000003a7908000000320a3d0281010100000030791c000000fb0280fe0000000000009001000000020402001053796d626f6c0000dc110a1940f11200c0a4f377c9a4f3772030f577b111668d040000002d01010004000000f001000008000000320a80013d12010000003d7908000000320a8001bd0d010000003d7908000000320a2502bb0901000000d77908000000320a2502630801000000d77908000000320a8001d305010000003d791c000000fb0280fe0000000000009001010000cc0402001054696d6573204e657720526f6d616e00c0a4f377c9a4f3772030f577b111668d040000002d01000004000000f001010008000000320a80015f11010000006a7908000000320a8001e50c01000000697908000000320a2502570a010000006a7908000000320a8001ff0801000000707908000000320a2502fd0701000000697908000000320a80013b0701000000707908000000320a2502590402000000696a08000000320a8001970301000000706a08000000320a8001460001000000486a0a00000026060f000a00ffffffff0100000000001c000000fb021000070000000000bc02000000cc0102022253797374656d008db111668d00000a0021008a0100000000010000005cf31200040000002d01010004000000f0010000030000000000 про незалежність еритроцитів та нейтрофілів сегментоядерних.
Таблиця спряженості ознак
|
Еритроцити |
Нейтрофіли сегментоядерні |
Разом |
|
|
16-60,53 |
60,53-86 |
||
|
1,3-3,7 |
72 |
89 |
161 |
|
3,7-5,85 |
59 |
70 |
129 |
|
Разом |
131 |
159 |
290 |
Перевіримо
необхідну умову використання критерію
незалежності:

|
Еритроцити |
Нейтрофіли сегментоядерні |
Разом |
|
|
16-60,53 |
60,53-86 |
||
|
1,3-3,7 |
72,73 |
88,27 |
161 |
|
3,7-5,85 |
58,27 |
70,73 |
129 |
|
Разом |
131 |
159 |
290 |
Отже,
необхідна умова використання критерію
незалежності виконується. Обчислимо
відхилення:

Оскільки
0,029<
3,84,
то гіпотеза про незалежність еритроцитів
і нейтрофілів сегментоядерних не
відхиляється.

Гіпотеза про незалежність факторів еритроцити і нейтрофіли палочкоядерні.
Висувається гіпотеза 010009000003a501000002001c00000000000500000009020000000005000000020101000000050000000102ffffff00050000002e0118000000050000000b0200000000050000000c02c002c0151200000026060f001a00ffffffff000010000000c0ffffffa6ffffff80150000660200000b00000026060f000c004d617468547970650000a0001c000000fb0280fe0000000000009001000000cc0402001054696d6573204e657720526f6d616e00c0a4f377c9a4f3772030f577b111668d040000002d01000008000000320a80010d1501000000297908000000320a80014d1401000000327908000000320a8001e713010000002c7908000000320a80014b1301000000317908000000320a80018710010000002c7908000000320a8001cd0f01000000327908000000320a8001670f010000002c7908000000320a8001cb0e01000000317908000000320a8001670c01000000287908000000320a8001b302010000003a7908000000320a3d0281010100000030791c000000fb0280fe0000000000009001000000020402001053796d626f6c0000dc110a1940f11200c0a4f377c9a4f3772030f577b111668d040000002d01010004000000f001000008000000320a80013d12010000003d7908000000320a8001bd0d010000003d7908000000320a2502bb0901000000d77908000000320a2502630801000000d77908000000320a8001d305010000003d791c000000fb0280fe0000000000009001010000cc0402001054696d6573204e657720526f6d616e00c0a4f377c9a4f3772030f577b111668d040000002d01000004000000f001010008000000320a80015f11010000006a7908000000320a8001e50c01000000697908000000320a2502570a010000006a7908000000320a8001ff0801000000707908000000320a2502fd0701000000697908000000320a80013b0701000000707908000000320a2502590402000000696a08000000320a8001970301000000706a08000000320a8001460001000000486a0a00000026060f000a00ffffffff0100000000001c000000fb021000070000000000bc02000000cc0102022253797374656d008db111668d00000a0021008a0100000000010000005cf31200040000002d01010004000000f0010000030000000000 про незалежність еритроцитів та нейтрофілів палочкоядерних.
Таблиця спряженості ознак
|
Еритроцити |
Нейтрофіли палочкоядерні |
Разом |
|
|
1-6 |
6-46 |
||
|
1,3-3,7 |
71 |
90 |
161 |
|
3,7-5,85 |
57 |
69 |
126 |
|
Разом |
128 |
159 |
287 |
Перевіримо
необхідну умову використання критерію
незалежності:

|
Лейкоцити |
Нейтрофіли палочкоядерні |
Разом |
|
|
1-6 |
6-46 |
||
|
1,3-3,7 |
71,80 |
89,20 |
161 |
|
3,7-5,85 |
59,20 |
69,80 |
126 |
|
Разом |
128 |
159 |
287 |
Отже,
необхідна умова використання критерію
незалежності виконується. Обчислимо
відхилення:
.
Оскільки
0,037<
,
то гіпотеза про незалежність еритроцитів
і нейтрофілів палочкоядерних не
відхиляється.

Гіпотеза про незалежність факторів еритроцити і Ht.
Висувається гіпотеза 010009000003a501000002001c00000000000500000009020000000005000000020101000000050000000102ffffff00050000002e0118000000050000000b0200000000050000000c02c002c0151200000026060f001a00ffffffff000010000000c0ffffffa6ffffff80150000660200000b00000026060f000c004d617468547970650000a0001c000000fb0280fe0000000000009001000000cc0402001054696d6573204e657720526f6d616e00c0a4f377c9a4f3772030f577b111668d040000002d01000008000000320a80010d1501000000297908000000320a80014d1401000000327908000000320a8001e713010000002c7908000000320a80014b1301000000317908000000320a80018710010000002c7908000000320a8001cd0f01000000327908000000320a8001670f010000002c7908000000320a8001cb0e01000000317908000000320a8001670c01000000287908000000320a8001b302010000003a7908000000320a3d0281010100000030791c000000fb0280fe0000000000009001000000020402001053796d626f6c0000dc110a1940f11200c0a4f377c9a4f3772030f577b111668d040000002d01010004000000f001000008000000320a80013d12010000003d7908000000320a8001bd0d010000003d7908000000320a2502bb0901000000d77908000000320a2502630801000000d77908000000320a8001d305010000003d791c000000fb0280fe0000000000009001010000cc0402001054696d6573204e657720526f6d616e00c0a4f377c9a4f3772030f577b111668d040000002d01000004000000f001010008000000320a80015f11010000006a7908000000320a8001e50c01000000697908000000320a2502570a010000006a7908000000320a8001ff0801000000707908000000320a2502fd0701000000697908000000320a80013b0701000000707908000000320a2502590402000000696a08000000320a8001970301000000706a08000000320a8001460001000000486a0a00000026060f000a00ffffffff0100000000001c000000fb021000070000000000bc02000000cc0102022253797374656d008db111668d00000a0021008a0100000000010000005cf31200040000002d01010004000000f0010000030000000000 про незалежність еритроцитів та Ht.
Таблиця спряженості ознак
|
Еритроцити |
Ht |
Разом |
|
|
18-27 |
27-50 |
||
|
1,3-3,6 |
31 |
68 |
99 |
|
3,6-5,85 |
30 |
99 |
129 |
|
Разом |
61 |
167 |
228 |
Перевіримо
необхідну умову використання критерію
незалежності:

|
Лейкоцити |
Ht |
Разом |
|
|
18-27 |
27-50 |
||
|
1,3-3,6 |
26,49 |
72,51 |
99 |
|
3,6-5,85 |
34,51 |
94,49 |
129 |
|
Разом |
61 |
167 |
228 |
Отже,
необхідна умова використання критерію
незалежності виконується. Обчислимо
відхилення:

За
таблицями математичної статистики
знаходимо: Оскільки
1,855<
,
то гіпотеза про незалежність еритроцитів
і Ht не відхиляється.

Гіпотеза про незалежність факторів еритроцити і лейкоцити.
Висувається гіпотеза 010009000003a501000002001c00000000000500000009020000000005000000020101000000050000000102ffffff00050000002e0118000000050000000b0200000000050000000c02c002c0151200000026060f001a00ffffffff000010000000c0ffffffa6ffffff80150000660200000b00000026060f000c004d617468547970650000a0001c000000fb0280fe0000000000009001000000cc0402001054696d6573204e657720526f6d616e00c0a4f377c9a4f3772030f577b111668d040000002d01000008000000320a80010d1501000000297908000000320a80014d1401000000327908000000320a8001e713010000002c7908000000320a80014b1301000000317908000000320a80018710010000002c7908000000320a8001cd0f01000000327908000000320a8001670f010000002c7908000000320a8001cb0e01000000317908000000320a8001670c01000000287908000000320a8001b302010000003a7908000000320a3d0281010100000030791c000000fb0280fe0000000000009001000000020402001053796d626f6c0000dc110a1940f11200c0a4f377c9a4f3772030f577b111668d040000002d01010004000000f001000008000000320a80013d12010000003d7908000000320a8001bd0d010000003d7908000000320a2502bb0901000000d77908000000320a2502630801000000d77908000000320a8001d305010000003d791c000000fb0280fe0000000000009001010000cc0402001054696d6573204e657720526f6d616e00c0a4f377c9a4f3772030f577b111668d040000002d01000004000000f001010008000000320a80015f11010000006a7908000000320a8001e50c01000000697908000000320a2502570a010000006a7908000000320a8001ff0801000000707908000000320a2502fd0701000000697908000000320a80013b0701000000707908000000320a2502590402000000696a08000000320a8001970301000000706a08000000320a8001460001000000486a0a00000026060f000a00ffffffff0100000000001c000000fb021000070000000000bc02000000cc0102022253797374656d008db111668d00000a0021008a0100000000010000005cf31200040000002d01010004000000f0010000030000000000 про незалежність еритроцитів та лейкоцитів.
Таблиця спряженості ознак
|
Еритроцити |
Лейкоцити |
Разом |
|
|
2,8-8 |
8-19,2 |
||
|
1,3-3,7 |
101 |
58 |
159 |
|
3,7-5,85 |
77 |
49 |
126 |
|
Разом |
178 |
107 |
285 |
Перевіримо
необхідну умову використання критерію
незалежності:

|
Еритроцити |
Лейкоцити |
Разом |
|
|
2,8-8 |
8-19,2 |
||
|
1,3-3,7 |
99,30 |
59,70 |
159 |
|
3,7-5,85 |
78,70 |
47,30 |
126 |
|
Разом |
178 |
107 |
285 |
Отже,
необхідна умова використання критерію
незалежності виконується. Обчислимо
відхилення:

Оскільки
0,174<
,
то гіпотеза про незалежність еритроцитів
і лейкоцитів не відхиляється.

Гіпотеза про незалежність факторів гемоглобін і лімфоцити.
Висувається гіпотеза 010009000003a501000002001c00000000000500000009020000000005000000020101000000050000000102ffffff00050000002e0118000000050000000b0200000000050000000c02c002c0151200000026060f001a00ffffffff000010000000c0ffffffa6ffffff80150000660200000b00000026060f000c004d617468547970650000a0001c000000fb0280fe0000000000009001000000cc0402001054696d6573204e657720526f6d616e00c0a4f377c9a4f3772030f577b111668d040000002d01000008000000320a80010d1501000000297908000000320a80014d1401000000327908000000320a8001e713010000002c7908000000320a80014b1301000000317908000000320a80018710010000002c7908000000320a8001cd0f01000000327908000000320a8001670f010000002c7908000000320a8001cb0e01000000317908000000320a8001670c01000000287908000000320a8001b302010000003a7908000000320a3d0281010100000030791c000000fb0280fe0000000000009001000000020402001053796d626f6c0000dc110a1940f11200c0a4f377c9a4f3772030f577b111668d040000002d01010004000000f001000008000000320a80013d12010000003d7908000000320a8001bd0d010000003d7908000000320a2502bb0901000000d77908000000320a2502630801000000d77908000000320a8001d305010000003d791c000000fb0280fe0000000000009001010000cc0402001054696d6573204e657720526f6d616e00c0a4f377c9a4f3772030f577b111668d040000002d01000004000000f001010008000000320a80015f11010000006a7908000000320a8001e50c01000000697908000000320a2502570a010000006a7908000000320a8001ff0801000000707908000000320a2502fd0701000000697908000000320a80013b0701000000707908000000320a2502590402000000696a08000000320a8001970301000000706a08000000320a8001460001000000486a0a00000026060f000a00ffffffff0100000000001c000000fb021000070000000000bc02000000cc0102022253797374656d008db111668d00000a0021008a0100000000010000005cf31200040000002d01010004000000f0010000030000000000 про незалежність гемоглобін та лімфоцити.
Таблиця спряженості ознак
|
Гемоглобін |
Лімфоцити |
Разом |
|
|
3-26 |
26-64 |
||
|
50-113 |
72 |
67 |
139 |
|
113-178 |
81 |
78 |
159 |
|
Разом |
153 |
145 |
298 |
Перевіримо
необхідну умову використання критерію
незалежності:

|
Гемоглобін |
Лімфоцити |
Разом |
|
|
3-26 |
26-64 |
||
|
50-113 |
71,37 |
67,63 |
139 |
|
113-178 |
81,63 |
77,37 |
159 |
|
Разом |
153 |
145 |
298 |
Отже,
необхідна умова використання критерію
незалежності виконується. Обчислимо
відхилення:

Оскільки
0,022<
3,84,
то гіпотеза про незалежність гемоглобіна
і лімфоцитів не відхиляється.

Гіпотеза про незалежність факторів гемоглобін і нейтрофіли палочкоядерні.
Висувається гіпотеза 010009000003a501000002001c00000000000500000009020000000005000000020101000000050000000102ffffff00050000002e0118000000050000000b0200000000050000000c02c002c0151200000026060f001a00ffffffff000010000000c0ffffffa6ffffff80150000660200000b00000026060f000c004d617468547970650000a0001c000000fb0280fe0000000000009001000000cc0402001054696d6573204e657720526f6d616e00c0a4f377c9a4f3772030f577b111668d040000002d01000008000000320a80010d1501000000297908000000320a80014d1401000000327908000000320a8001e713010000002c7908000000320a80014b1301000000317908000000320a80018710010000002c7908000000320a8001cd0f01000000327908000000320a8001670f010000002c7908000000320a8001cb0e01000000317908000000320a8001670c01000000287908000000320a8001b302010000003a7908000000320a3d0281010100000030791c000000fb0280fe0000000000009001000000020402001053796d626f6c0000dc110a1940f11200c0a4f377c9a4f3772030f577b111668d040000002d01010004000000f001000008000000320a80013d12010000003d7908000000320a8001bd0d010000003d7908000000320a2502bb0901000000d77908000000320a2502630801000000d77908000000320a8001d305010000003d791c000000fb0280fe0000000000009001010000cc0402001054696d6573204e657720526f6d616e00c0a4f377c9a4f3772030f577b111668d040000002d01000004000000f001010008000000320a80015f11010000006a7908000000320a8001e50c01000000697908000000320a2502570a010000006a7908000000320a8001ff0801000000707908000000320a2502fd0701000000697908000000320a80013b0701000000707908000000320a2502590402000000696a08000000320a8001970301000000706a08000000320a8001460001000000486a0a00000026060f000a00ffffffff0100000000001c000000fb021000070000000000bc02000000cc0102022253797374656d008db111668d00000a0021008a0100000000010000005cf31200040000002d01010004000000f0010000030000000000 про незалежність гемоглобін та нейтрофіли палочкоядерні.
Таблиця спряженості ознак
|
Гемоглобін |
Нейтрофіли палочкоядерні |
Разом |
|
|
1-5 |
5-46 |
||
|
50-113 |
50 |
89 |
139 |
|
113-178 |
50 |
106 |
156 |
|
Разом |
100 |
195 |
295 |
Перевіримо
необхідну умову використання критерію
незалежності:

|
Гемоглобін |
Нейтрофіли палочкоядерні |
Разом |
|
|
1-5 |
5-46 |
||
|
50-113 |
47,12 |
91,88 |
139 |
|
113-178 |
52,88 |
103,12 |
156 |
|
Разом |
100 |
195 |
295 |
Отже,
необхідна умова використання критерію
незалежності виконується. Обчислимо
відхилення:

Оскільки
0,504<
,
то гіпотеза про незалежність гемоглобіна
і нейтрофілів палочкоядерних не
відхиляється.

Гіпотеза про незалежність факторів гемоглобін і нейтрофіли сегментоядерні.
Висувається гіпотеза 010009000003a501000002001c00000000000500000009020000000005000000020101000000050000000102ffffff00050000002e0118000000050000000b0200000000050000000c02c002c0151200000026060f001a00ffffffff000010000000c0ffffffa6ffffff80150000660200000b00000026060f000c004d617468547970650000a0001c000000fb0280fe0000000000009001000000cc0402001054696d6573204e657720526f6d616e00c0a4f377c9a4f3772030f577b111668d040000002d01000008000000320a80010d1501000000297908000000320a80014d1401000000327908000000320a8001e713010000002c7908000000320a80014b1301000000317908000000320a80018710010000002c7908000000320a8001cd0f01000000327908000000320a8001670f010000002c7908000000320a8001cb0e01000000317908000000320a8001670c01000000287908000000320a8001b302010000003a7908000000320a3d0281010100000030791c000000fb0280fe0000000000009001000000020402001053796d626f6c0000dc110a1940f11200c0a4f377c9a4f3772030f577b111668d040000002d01010004000000f001000008000000320a80013d12010000003d7908000000320a8001bd0d010000003d7908000000320a2502bb0901000000d77908000000320a2502630801000000d77908000000320a8001d305010000003d791c000000fb0280fe0000000000009001010000cc0402001054696d6573204e657720526f6d616e00c0a4f377c9a4f3772030f577b111668d040000002d01000004000000f001010008000000320a80015f11010000006a7908000000320a8001e50c01000000697908000000320a2502570a010000006a7908000000320a8001ff0801000000707908000000320a2502fd0701000000697908000000320a80013b0701000000707908000000320a2502590402000000696a08000000320a8001970301000000706a08000000320a8001460001000000486a0a00000026060f000a00ffffffff0100000000001c000000fb021000070000000000bc02000000cc0102022253797374656d008db111668d00000a0021008a0100000000010000005cf31200040000002d01010004000000f0010000030000000000 про незалежність гемоглобіна та нейтрофіли сегментоядерні.
Таблиця спряженості ознак
|
Гемоглобін |
Нейтрофіли сегментоядерні |
Разом |
|
|
16-60,53 |
60,53-86 |
||
|
50-113 |
60 |
79 |
139 |
|
113-178 |
73 |
85 |
158 |
|
Разом |
133 |
164 |
297 |
Перевіримо
необхідну умову використання критерію
незалежності:

|
Гемоглобін |
Нейтрофіли сегментоядерні |
Разом |
|
|
16-60,53 |
60,53-86 |
||
|
50-113 |
62,25 |
76,75 |
139 |
|
113-178 |
70,75 |
87,25 |
158 |
|
Разом |
133 |
164 |
297 |
Отже,
необхідна умова використання критерію
незалежності виконується. Обчислимо
відхилення:

Оскільки
0,275<
,
то гіпотеза про незалежність гемоглобіна
і нейтрофілів сегментоядерних не
відхиляється.

Гіпотеза про незалежність факторів гемоглобін і лейкоцити.
Висувається гіпотеза 010009000003a501000002001c00000000000500000009020000000005000000020101000000050000000102ffffff00050000002e0118000000050000000b0200000000050000000c02c002c0151200000026060f001a00ffffffff000010000000c0ffffffa6ffffff80150000660200000b00000026060f000c004d617468547970650000a0001c000000fb0280fe0000000000009001000000cc0402001054696d6573204e657720526f6d616e00c0a4f377c9a4f3772030f577b111668d040000002d01000008000000320a80010d1501000000297908000000320a80014d1401000000327908000000320a8001e713010000002c7908000000320a80014b1301000000317908000000320a80018710010000002c7908000000320a8001cd0f01000000327908000000320a8001670f010000002c7908000000320a8001cb0e01000000317908000000320a8001670c01000000287908000000320a8001b302010000003a7908000000320a3d0281010100000030791c000000fb0280fe0000000000009001000000020402001053796d626f6c0000dc110a1940f11200c0a4f377c9a4f3772030f577b111668d040000002d01010004000000f001000008000000320a80013d12010000003d7908000000320a8001bd0d010000003d7908000000320a2502bb0901000000d77908000000320a2502630801000000d77908000000320a8001d305010000003d791c000000fb0280fe0000000000009001010000cc0402001054696d6573204e657720526f6d616e00c0a4f377c9a4f3772030f577b111668d040000002d01000004000000f001010008000000320a80015f11010000006a7908000000320a8001e50c01000000697908000000320a2502570a010000006a7908000000320a8001ff0801000000707908000000320a2502fd0701000000697908000000320a80013b0701000000707908000000320a2502590402000000696a08000000320a8001970301000000706a08000000320a8001460001000000486a0a00000026060f000a00ffffffff0100000000001c000000fb021000070000000000bc02000000cc0102022253797374656d008db111668d00000a0021008a0100000000010000005cf31200040000002d01010004000000f0010000030000000000 про незалежність гемоглобіна та лейкоцитів.
Таблиця спряженості ознак
|
Гемоглобін |
Лейкоцити |
Разом |
|
|
2,8-7 |
7-19,2 |
||
|
50-113 |
76 |
60 |
136 |
|
113-178 |
71 |
85 |
156 |
|
Разом |
147 |
145 |
292 |
Перевіримо
необхідну умову використання критерію
незалежності:

|
Гемоглобін |
Лейкоцити |
Разом |
|
|
2,8-7 |
7-19,2 |
||
|
50-113 |
68,47 |
67,53 |
136 |
|
113-178 |
78,53 |
77,47 |
156 |
|
Разом |
147 |
145 |
292 |
Отже,
необхідна умова використання критерію
незалежності виконується. Обчислимо
відхилення:

За
таблицями математичної статистики
знаходимо:
.
Оскільки 3,125<3,84, то гіпотеза про незалежність гемоглобіна і лейкоцитів не відхиляється.

Гіпотеза про незалежність факторів лімфоцити і еритроцити.
Висувається гіпотеза 010009000003a501000002001c00000000000500000009020000000005000000020101000000050000000102ffffff00050000002e0118000000050000000b0200000000050000000c02c002c0151200000026060f001a00ffffffff000010000000c0ffffffa6ffffff80150000660200000b00000026060f000c004d617468547970650000a0001c000000fb0280fe0000000000009001000000cc0402001054696d6573204e657720526f6d616e00c0a4f377c9a4f3772030f577b111668d040000002d01000008000000320a80010d1501000000297908000000320a80014d1401000000327908000000320a8001e713010000002c7908000000320a80014b1301000000317908000000320a80018710010000002c7908000000320a8001cd0f01000000327908000000320a8001670f010000002c7908000000320a8001cb0e01000000317908000000320a8001670c01000000287908000000320a8001b302010000003a7908000000320a3d0281010100000030791c000000fb0280fe0000000000009001000000020402001053796d626f6c0000dc110a1940f11200c0a4f377c9a4f3772030f577b111668d040000002d01010004000000f001000008000000320a80013d12010000003d7908000000320a8001bd0d010000003d7908000000320a2502bb0901000000d77908000000320a2502630801000000d77908000000320a8001d305010000003d791c000000fb0280fe0000000000009001010000cc0402001054696d6573204e657720526f6d616e00c0a4f377c9a4f3772030f577b111668d040000002d01000004000000f001010008000000320a80015f11010000006a7908000000320a8001e50c01000000697908000000320a2502570a010000006a7908000000320a8001ff0801000000707908000000320a2502fd0701000000697908000000320a80013b0701000000707908000000320a2502590402000000696a08000000320a8001970301000000706a08000000320a8001460001000000486a0a00000026060f000a00ffffffff0100000000001c000000fb021000070000000000bc02000000cc0102022253797374656d008db111668d00000a0021008a0100000000010000005cf31200040000002d01010004000000f0010000030000000000 про незалежність лімфоцитів та еритроцитів.
Таблиця спряженості ознак
|
Лімфоцити |
Еритроцити |
Разом |
|
|
1,3-3,7 |
3,7-5,85 |
||
|
3-26 |
88 |
60 |
148 |
|
26-64 |
73 |
68 |
141 |
|
Разом |
161 |
128 |
289 |
Перевіримо
необхідну умову використання критерію
незалежності:

|
Лімфоцити |
Еритроцити |
Разом |
|
|
1,3-3,7 |
3,7-5,85 |
||
|
3-26 |
82,45 |
65,55 |
148 |
|
26-64 |
78,55 |
62,45 |
141 |
|
Разом |
161 |
128 |
289 |
Отже,
необхідна умова використання критерію
незалежності виконується. Обчислимо
відхилення:

За
таблицями математичної статистики
знаходимо:
.
Оскільки 1,728<3,84, то гіпотеза про незалежність лімфоцитів і еритроцитів не відхиляється.

Гіпотеза про незалежність факторів лімфоцити і Ht.
Висувається гіпотеза 010009000003a501000002001c00000000000500000009020000000005000000020101000000050000000102ffffff00050000002e0118000000050000000b0200000000050000000c02c002c0151200000026060f001a00ffffffff000010000000c0ffffffa6ffffff80150000660200000b00000026060f000c004d617468547970650000a0001c000000fb0280fe0000000000009001000000cc0402001054696d6573204e657720526f6d616e00c0a4f377c9a4f3772030f577b111668d040000002d01000008000000320a80010d1501000000297908000000320a80014d1401000000327908000000320a8001e713010000002c7908000000320a80014b1301000000317908000000320a80018710010000002c7908000000320a8001cd0f01000000327908000000320a8001670f010000002c7908000000320a8001cb0e01000000317908000000320a8001670c01000000287908000000320a8001b302010000003a7908000000320a3d0281010100000030791c000000fb0280fe0000000000009001000000020402001053796d626f6c0000dc110a1940f11200c0a4f377c9a4f3772030f577b111668d040000002d01010004000000f001000008000000320a80013d12010000003d7908000000320a8001bd0d010000003d7908000000320a2502bb0901000000d77908000000320a2502630801000000d77908000000320a8001d305010000003d791c000000fb0280fe0000000000009001010000cc0402001054696d6573204e657720526f6d616e00c0a4f377c9a4f3772030f577b111668d040000002d01000004000000f001010008000000320a80015f11010000006a7908000000320a8001e50c01000000697908000000320a2502570a010000006a7908000000320a8001ff0801000000707908000000320a2502fd0701000000697908000000320a80013b0701000000707908000000320a2502590402000000696a08000000320a8001970301000000706a08000000320a8001460001000000486a0a00000026060f000a00ffffffff0100000000001c000000fb021000070000000000bc02000000cc0102022253797374656d008db111668d00000a0021008a0100000000010000005cf31200040000002d01010004000000f0010000030000000000 про незалежність лімфоцитів та Ht.
Таблиця спряженості ознак
|
Лімфоцити |
Ht |
Разом |
|
|
18-31 |
31-50 |
||
|
3-26 |
56 |
63 |
119 |
|
26-64 |
65 |
45 |
110 |
|
Разом |
121 |
108 |
229 |
Перевіримо
необхідну умову використання критерію
незалежності:

|
Лімфоцити |
Ht |
Разом 18-31 |
|
|
18-31 |
31-50 |
||
|
3-26 |
62,88 |
56,12 |
56 |
|
26-64 |
58,12 |
51,88 |
65 |
|
Разом |
121 |
108 |
121 |
Отже,
необхідна умова використання критерію
незалежності виконується. Обчислимо
відхилення:

За
таблицями математичної статистики
знаходимо:
.
Оскільки 3,321<3,84, то гіпотеза про незалежність лімфоцитів і Ht не відхиляється.

Гіпотеза про незалежність факторів гемоглобін і еритроцити.
Оскільки еритроцити насичені гемоглобіном, то фактори гемоглобін та
еритроцити залежні. Між гемоглобіном і еритроцитами існує залежність, яка описується лінійною регресією
.
Модель виявилася адекватною, регресія значуща.


Гіпотеза про незалежність факторів гемоглобін і Ht.
Між гемоглобіном і Ht існує залежність, яка описується лінійною регресією
.
Модель виявилася адекватною, регресія значуща.

Таблиця 3
|
Фактори |
Гемоглобін |
Еритроцити |
Лейкоцити |
Нейтрофіли палочкоядерні |
Нейтрофіли сегментоядерні |
Лімфоцити |
|
Гемоглобін |
––––– |
відхиляється |
не відхиляється |
не відхиляється |
не відхиляється |
не відхиляється |
|
Еритроцити |
відхиляється |
––––– |
не відхиляється |
не відхиляється |
не відхиляється |
не відхиляється |
|
Ht |
відхиляється |
не відхиляється |
не відхиляється |
не відхиляється |
не відхиляється |
не відхиляється |
|
Лейкоцити |
не відхиляється |
не відхиляється |
––––– |
не відхиляється |
не відхиляється |
відхиляється |
|
Нейтрофіли палочкоядерні |
не відхиляється |
не відхиляється |
не відхиляється |
––––– |
не відхиляється |
відхиляється |
|
Нейтрофіли сегментоядерні |
не відхиляється |
не відхиляється |
не відхиляється |
не відхиляється |
––––– |
відхиляється |
|
Лімфоцити |
не відхиляється |
не відхиляється |
відхиляється |
відхиляється |
відхиляється |
––––– |
Перевірка гіпотези про незалежність параметрів загального аналізу крові
Висновки
Товста кишка є одним з найбільш розповсюджених місць локалізації злоякісного процесу. Незважаючи на можливості сучасних діагностичних методів, кількість ускладнених форм раку товстої кишки залишається високою. У структурі ускладненого раку товстої кишки провідне місце займає товстокишкова непрохідність.
Розрізняють три ступіні товстокишкові непрохідності.
Компенсована ступінь – це рання ступінь непрохідності, характеризується посиленою перистальтикою кишечника, при цьому вміст травного каналу намагається подолати перешкоду, що виникла – пухлину. Групу хворих з компенсованою ступенню непрохідністю будемо позначати через А.
Субкомпенсована ступінь характеризується частковим порушенням проходження вмісту травного каналу, зумовленим пухлиною. Групу хворих з субкомпенсованою ступенню непрохідності будемо позначати через В.
Декомпенсована ступінь характеризується повним порушенням проходження вмісту травного каналу внаслідок пухлини. Групу хворих з декомпенсованою ступенню непрохідності будемо позначати через С.
В роботі розглядаються дані 289 хворих, кожний з яких належить одній з груп: 102 – у групі А, 103 – у групі B, 84 – у групі C.
При первинній обробці даних було розглянуто 14 параметрів загального аналізу крові, що могли б диференціювати (могли б допомогти відрізнити) компенсований, субкомпенсований та декомпенсований стани 298 хворих з кишковою непрохідністю.
Це гемоглобін, еритроцити, ЦП, Ht, лейкоцити, СОЕ, базофіли, еозінофіли, міелоцити, юні, нейтрофіли палочкоядерні, нейтрофіли сегментоядерні, лімфоцити та моноцити.
Крім вищезазначених параметрів розглядалися також такі параметри як
вік, діагноз, характеристика пухлини, наявні метастази, віддалені метастази.
Фактори,
що можуть суттєво впливати на диференціацію
хворих групи А та групи В, групи В та
групи С, групи А та групи С, а, отже, і на
прийняття рішення щодо невідкладної
операції були запропоновані такі: вік
хворого (
)
та параметри загального аналізу крові,
а саме гемоглобін (
),
еритроцити (
),
кольоровий показник (
),
гематокрит (
),
лейкоцити (
),
швидкість осідання еритроцитів (
),
еозінофіли (
),
нейтрофіли палочкоядерні (
),
нейтрофіли сегментоядерні (
),
лімфоцити (
)
та моноцити (
).
З
них незалежними факторами виявилися
наступні: вік хворого (
),
еритроцити (
),
кольоровий показник (
),
гематокрит (
),
лейкоцити (
),
швидкість осідання еритроцитів (
),
еозінофіли (
),
нейтрофіли палочкоядерні (
),
нейтрофіли сегментоядерні (
),
моноцити (
).
Гіпотези про незалежність факторів
перевірялися за допомогою критерія
незалежності ознак.
Незалежні
фактори загального аналізу крові хворих
та вік нормально розподілені. Гіпотези
про нормальний розподіл факторів
перевірено за допомогою критерія
(гіпотетичний розподіл залежить від
невідомих параметрів).
Для хворих груп А та С була виявлена суттєва відмінність таких факторів: вік, гематокрит, лейкоцити, нейтрофіли палочкоядерні та сегментоядерні.
Для хворих груп А та В була виявлена суттєва відмінність таких факторів: вік, еритроцити, гематокрит, лейкоцити, нейтрофіли палочкоядерні.
Для хворих груп В та С була виявлена суттєва відмінність таких факторів: еритроцити, гематокрит, лейкоцити, нейтрофіли палочкоядерні та сегментоядерні.
Гіпотези про рівність середніх значень перевірялися за допомогою критерія Стьюдента.
За допомогою критерію Стьюдента була виявлена суттєва відмінність 8 параметрів загального аналізу крові для компенсованого й субкомпенсованого станів, а саме вік, діагноз, характеристика пухлини, еритроцити, Ht, лейкоцити, нейтрофіли палочкоядерні та лімфоцити. Згідно з критерієм Стьюдента гіпотеза 010009000003b00e000000007008000000007008000026060f00d610574d46430100000000000100a4af0000000001000000b410000000000000b4100000010000006c0000000000000000000000660000001b0000000000000000000000890a0000dc02000020454d4600000100b41000000c00000001000000000000000000000000000000900600001a040000b801000013010000000000000000000000000000c0b6060038320400460000002c00000020000000454d462b014001001c000000100000000210c0db0100000060000000600000004600000004030000f8020000454d462b224004000c000000000000001e4009000c00000000000000244001000c000000000000003040020010000000040000000000803f214007000c000000000000000840000550020000440200000210c0db01000000000000000000000000000000000000000100000089504e470d0a1a0a0000000d49484452000000670000001c08030000004b7a51c90000000373424954050605330b8d80000000017352474200aece1ce9000000097048597300000ec400000ec401952b0e1b00000057504c544500000000006b000094006db5009ace6b00006b006b6b00946b6d006bbae794000094006b946db594d3ffb56d00b56d6bb59a00b5ebffce9a00ceffffceffe7e7ba6be7bab5ffd394ffebb5ffffcee7ffffffffe7ffffff969fd4e50000015b4944415448c7ed95d17a83200c85b316b7c9a65de9185279ffe79c01b44140c57deeaab994c84f4e0e01ccff043c397b395d05c08c9100d01c5a8f428c31e2408ce7588038dd8ee5480bd0fc7c3f94d3b7563605752a01bb578bad8a66b3010b011774597a2ad2fbf6e5ba0d93cfb67e4bb4c773ba0a6b152945054c312e2f64c3727b249ecd0b2b57fb47b3638ee3bbb3cca26f71cd17dcb78f932723c88e389a7b1b347e2f6207b726bde0a120b16e61f69cd355f554b391cc74afd790d35556d8be5d331dcd8e39aee39a2347f366d8af9e7c804ae8cfaff37db02aae2d07c9d6fc7413546570630df51acea13f069860d46fc36705a3a66cf5f6f8ec9fefcb7ba34865e1bc7e705277a364fca11b14ad67a6f0a85bfce35bd1f443866426c3c15aa80fe88f5b6782dfa80e8d0373cb641f210905f31c19b60919cef2752f7b38a80d8a388a153d05b43d251c5986c116edabe72ff1e4ec8b5fe0c423615e5a63160000000049454e44ae4260820840010824000000180000000210c0db01000000030000000000000000000000000000001b40000040000000340000000100000002000000000000bf000000bf0000ce420000e04103000000000000b3000000b3ffffcd42000000b3000000b3ffffdf412100000008000000620000000c00000001000000150000000c00000004000000150000000c00000004000000510000004c0c00000000000000000000660000001b00000000000000000000000000000000000000670000001c000000500000009c000000ec000000600b0000000000002000cc00670000001c00000028000000670000001c00000001000800000000000000000000000000000000001d0000000000000000000000ffffff00b5ebff0000006b00ce9a00006bbae700ffd3940094d3ff00009ace0094000000ffffce00ceffff0000009400b56d0000ffffe700e7ffff00006db500e7ba6b006b000000ffebb5006b006b00b56d9400009ab5006b009400b5bae700e7ffce006b6db500006d6b0094006b000101010101010101010101010101010101010101010101010101010101010101010101010101010101010101010101010101010101010101010101010101010101010101010101010101010101010101010101010101010101010101010101010101010101010101010101010101010101010101010101010101010101010101010101010101010101010101010101010101010101010101010101010101010101010101010101010101010101010101010101010101010101010101010101010101010101010101010101010101010101010101010101010101010101010101010101010101010101010101010101010101010101010101010101010101010101010101010101010101010101010101010101010101010101010101010101010101010101010101010101010101010101010101010101010101010101010101010101010101010101010101010101010101010101010101010101010101010101010101010101010101010101010101010101010101010101010101010101010101010101010101010101010101010101010101010101010101010101010101010101010101010101010101010101010101010101010101010101010101010101010101010101010101050401010101010101010101010101010101010101010101010101010101010101010101010101010101010101010101081101010101010101010101010101010101010101010101010101010101010101010101010101010101010101010101010101010101010101070401010101010101010101010101010101010101010101010101010101010101010101010101010101010101010105040101010101010101010101010101010101010101010101010101010101010101010101010101010101010101010101010101010101010105090a010101010101010101010101010101010101010101010101010101010101010101010101010101010101010107090a010101010101010101010101010101010101010101010101010b0c000006010101010101010101010101010101010101010101010500090a01010101010101010101010101010101010101010101010101010101010101010101010101010101010f1006010b171301010101010101010101010101010101010101010101010101080401021413010101010101010101010101010101010101010107121301010101010101010101010101010101010101010101010101010101010101010101010101010101010101010811010f10060101010101010101010101010101010101010101010101010b0c06010f10110101010101010101010101010101010101010101021c0a0101010101010101010101010101010101010101010101010101010101010101010101010101010101010101070d0e0105040101010101010101010101010101010101010101010101010b1713010108040101010101010101010101010101010101010101010700060101010101010101010101010101010101010101010101010101010101010101010101010101010101010102030601070d0e010101010101010101010500000006010f100000090a010b17130101080401010105001101010101020300090a070000060101010f100004010101010101010101010101010101010101010101010101010101010101020300090a070000060118191a1b0607090a01010101010101010101010500110101010b0c121301010b0c06010f10110101010500110101010f100d0e0b15160d0e0806010b0c06010101010101010101010101010101010101010101010101010101010101010f100d0e0b15160d0e08060b0c090a08000d0e0101010101010101010101020311010101010512130101010504010214130101010101010101010b0c0401010203090a0101010f1006010101010101010101010101010101010101010101010101010101010101010b0c0401010203090a0101010101010101010101010101010101010101010b0c04010101010700060101010f10000011010101010101010101010b0c040101010512130101010101080d0e010101010101010101010108000000000000000000000d0e01010101010b0c0401010105121301010101010101010101010101010101010101010101080d0e0101010203040101010101010101010101010101010101010f100d0e0101020306010101010f1000000d0e0101010101010101010101010101010101010101010101010101010f100d0e01010203060101010101010101010101010101010101010104010105090a0101010b0c0d0e01010101010101010101010101010101010105121301010f100401010101050d0e0101010101010101010101010101010101010101010101010101010101010105121301010f1004010101010101010101010101010101010101010101010203060101010108090a010101010101010101010105001101010101020304010101080d0e01010101010101010101010101010101010108000000000000000000000d0e010101010101020304010101080d0e0101010101010101010101010101010101010101010b0c000000000000000601010101010101010101010500110101010101070011010f1012130101010101010101010101010101010101010101010101010101010101010101010101010101070011010f1012130101010101010101010101010101010101010101010f100401010101070011010101010101010101010101010101010101010102030000110806010101010101010101010101010101010101010101010101010101010101010101010101010101020300001108060101010101010101010101010101010101010101010105090a0101010b0c0d0e010101010101010101010101010101010101010101010101010101010101010101010101010101010101010101010101010101010101010101010101010101010101010101010101010101010101010101010101010101010101010101010700060101010108090a010101010101010101010101010101010101010101010101010101010101010101010101010101010101010101010101010101010101010101010101010101010101010101010101010101010101010101010101010101010101010101010700040101010108000601010101010101010101010101010101010101010101010101010101010101010101010101010101010101010101010101010101010101010101010101010101010101010101010101010101010101010101010101010101010101010102030000040101050000000601010101010101010101010101010101010101010101010101010101010101010101010101010101010101010101010101010101010101010101010101010101010101010101010101010101010101010101010101010101010101010101010101010101010101010101010101010101010101010101010101010101010101010101010101010101010101010101010101010101010101010101010101010101010101010101010101010101010101010101010101010101010101010101010101010101010101010101010101010101010101010101010101010101010101010101010101010101010101010101010101010101010101010101010101010101010101010101010101010101010101010101010101010101010101010101010101010101010101010101010101010101010101010101010101010101010101010101010101010101010101010101010101010101010101010101010101010101010101010101010101010101010101010101010101010101010101010101010101010101010101010101010101010101010101010101010101010101010101010101010101010101010101010101010101010101010101010101010101010101010101010101010101010101010101010101010101010101010101010101010101010101010101010101010101010101010101010101010101014c000000640000000000000000000000660000001b0000000000000000000000670000001c0000002900aa0000000000000000000000803f00000000000000000000803f0000000000000000000000000000000000000000000000000000000000000000220000000c000000ffffffff460000001c00000010000000454d462b024000000c000000000000000e000000140000000000000010000000140000000400000003010800050000000b0200000000050000000c021c006700030000001e00040000000701040004000000070104000b060000410b2000cc001c006700000000001c0067000000000028000000670000001c00000001000800000000000000000000000000000000001d0000000000000000000000ffffff00b5ebff0000006b00ce9a00006bbae700ffd3940094d3ff00009ace0094000000ffffce00ceffff0000009400b56d0000ffffe700e7ffff00006db500e7ba6b006b000000ffebb5006b006b00b56d9400009ab5006b009400b5bae700e7ffce006b6db500006d6b0094006b000101010101010101010101010101010101010101010101010101010101010101010101010101010101010101010101010101010101010101010101010101010101010101010101010101010101010101010101010101010101010101010101010101010101010101010101010101010101010101010101010101010101010101010101010101010101010101010101010101010101010101010101010101010101010101010101010101010101010101010101010101010101010101010101010101010101010101010101010101010101010101010101010101010101010101010101010101010101010101010101010101010101010101010101010101010101010101010101010101010101010101010101010101010101010101010101010101010101010101010101010101010101010101010101010101010101010101010101010101010101010101010101010101010101010101010101010101010101010101010101010101010101010101010101010101010101010101010101010101010101010101010101010101010101010101010101010101010101010101010101010101010101010101010101010101010101010101010101010101010101010101010101010101050401010101010101010101010101010101010101010101010101010101010101010101010101010101010101010101081101010101010101010101010101010101010101010101010101010101010101010101010101010101010101010101010101010101010101070401010101010101010101010101010101010101010101010101010101010101010101010101010101010101010105040101010101010101010101010101010101010101010101010101010101010101010101010101010101010101010101010101010101010105090a010101010101010101010101010101010101010101010101010101010101010101010101010101010101010107090a010101010101010101010101010101010101010101010101010b0c000006010101010101010101010101010101010101010101010500090a01010101010101010101010101010101010101010101010101010101010101010101010101010101010f1006010b171301010101010101010101010101010101010101010101010101080401021413010101010101010101010101010101010101010107121301010101010101010101010101010101010101010101010101010101010101010101010101010101010101010811010f10060101010101010101010101010101010101010101010101010b0c06010f10110101010101010101010101010101010101010101021c0a0101010101010101010101010101010101010101010101010101010101010101010101010101010101010101070d0e0105040101010101010101010101010101010101010101010101010b1713010108040101010101010101010101010101010101010101010700060101010101010101010101010101010101010101010101010101010101010101010101010101010101010102030601070d0e010101010101010101010500000006010f100000090a010b17130101080401010105001101010101020300090a070000060101010f100004010101010101010101010101010101010101010101010101010101010101020300090a070000060118191a1b0607090a01010101010101010101010500110101010b0c121301010b0c06010f10110101010500110101010f100d0e0b15160d0e0806010b0c06010101010101010101010101010101010101010101010101010101010101010f100d0e0b15160d0e08060b0c090a08000d0e0101010101010101010101020311010101010512130101010504010214130101010101010101010b0c0401010203090a0101010f1006010101010101010101010101010101010101010101010101010101010101010b0c0401010203090a0101010101010101010101010101010101010101010b0c04010101010700060101010f10000011010101010101010101010b0c040101010512130101010101080d0e010101010101010101010108000000000000000000000d0e01010101010b0c0401010105121301010101010101010101010101010101010101010101080d0e0101010203040101010101010101010101010101010101010f100d0e0101020306010101010f1000000d0e0101010101010101010101010101010101010101010101010101010f100d0e01010203060101010101010101010101010101010101010104010105090a0101010b0c0d0e01010101010101010101010101010101010105121301010f100401010101050d0e0101010101010101010101010101010101010101010101010101010101010105121301010f1004010101010101010101010101010101010101010101010203060101010108090a010101010101010101010105001101010101020304010101080d0e01010101010101010101010101010101010108000000000000000000000d0e010101010101020304010101080d0e0101010101010101010101010101010101010101010b0c000000000000000601010101010101010101010500110101010101070011010f1012130101010101010101010101010101010101010101010101010101010101010101010101010101070011010f1012130101010101010101010101010101010101010101010f100401010101070011010101010101010101010101010101010101010102030000110806010101010101010101010101010101010101010101010101010101010101010101010101010101020300001108060101010101010101010101010101010101010101010105090a0101010b0c0d0e010101010101010101010101010101010101010101010101010101010101010101010101010101010101010101010101010101010101010101010101010101010101010101010101010101010101010101010101010101010101010101010700060101010108090a010101010101010101010101010101010101010101010101010101010101010101010101010101010101010101010101010101010101010101010101010101010101010101010101010101010101010101010101010101010101010101010700040101010108000601010101010101010101010101010101010101010101010101010101010101010101010101010101010101010101010101010101010101010101010101010101010101010101010101010101010101010101010101010101010101010102030000040101050000000601010101010101010101010101010101010101010101010101010101010101010101010101010101010101010101010101010101010101010101010101010101010101010101010101010101010101010101010101010101010101010101010101010101010101010101010101010101010101010101010101010101010101010101010101010101010101010101010101010101010101010101010101010101010101010101010101010101010101010101010101010101010101010101010101010101010101010101010101010101010101010101010101010101010101010101010101010101010101010101010101010101010101010101010101010101010101010101010101010101010101010101010101010101010101010101010101010101010101010101010101010101010101010101010101010101010101010101010101010101010101010101010101010101010101010101010101010101010101010101010101010101010101010101010101010101010101010101010101010101010101010101010101010101010101010101010101010101010101010101010101010101010101010101010101010101010101010101010101010101010101010101010101010101010101010101010101010101010101010101010101010101010101010101010101010101010101010101010101010c00000040092900aa000000000000001c00670000000000040000002701ffff030000000000про рівність середніх значень на рівні значущості 0,05 відхиляється.
За допомогою критерію Стьюдента була виявлена суттєва відмінність 7 параметрів загального аналізу крові для субкомпенсованого й декомпенсованого станів, а саме гемоглобін, еритроцити, Ht, лейкоцити, нейтрофіли палочкоядерні, нейтрофіли сегментоядерні та лімфоцити. Згідно з критерієм Стьюдента гіпотеза 010009000003b00e000000007008000000007008000026060f00d610574d46430100000000000100a4af0000000001000000b410000000000000b4100000010000006c0000000000000000000000660000001b0000000000000000000000890a0000dc02000020454d4600000100b41000000c00000001000000000000000000000000000000900600001a040000b801000013010000000000000000000000000000c0b6060038320400460000002c00000020000000454d462b014001001c000000100000000210c0db0100000060000000600000004600000004030000f8020000454d462b224004000c000000000000001e4009000c00000000000000244001000c000000000000003040020010000000040000000000803f214007000c000000000000000840000550020000440200000210c0db01000000000000000000000000000000000000000100000089504e470d0a1a0a0000000d49484452000000670000001c08030000004b7a51c90000000373424954050605330b8d80000000017352474200aece1ce9000000097048597300000ec400000ec401952b0e1b00000057504c544500000000006b000094006db5009ace6b00006b006b6b00946b6d006bbae794000094006b946db594d3ffb56d00b56d6bb59a00b5ebffce9a00ceffffceffe7e7ba6be7bab5ffd394ffebb5ffffcee7ffffffffe7ffffff969fd4e50000015b4944415448c7ed95d17a83200c85b316b7c9a65de9185279ffe79c01b44140c57deeaab994c84f4e0e01ccff043c397b395d05c08c9100d01c5a8f428c31e2408ce7588038dd8ee5480bd0fc7c3f94d3b7563605752a01bb578bad8a66b3010b011774597a2ad2fbf6e5ba0d93cfb67e4bb4c773ba0a6b152945054c312e2f64c3727b249ecd0b2b57fb47b3638ee3bbb3cca26f71cd17dcb78f932723c88e389a7b1b347e2f6207b726bde0a120b16e61f69cd355f554b391cc74afd790d35556d8be5d331dcd8e39aee39a2347f366d8af9e7c804ae8cfaff37db02aae2d07c9d6fc7413546570630df51acea13f069860d46fc36705a3a66cf5f6f8ec9fefcb7ba34865e1bc7e705277a364fca11b14ad67a6f0a85bfce35bd1f443866426c3c15aa80fe88f5b6782dfa80e8d0373cb641f210905f31c19b60919cef2752f7b38a80d8a388a153d05b43d251c5986c116edabe72ff1e4ec8b5fe0c423615e5a63160000000049454e44ae4260820840010824000000180000000210c0db01000000030000000000000000000000000000001b40000040000000340000000100000002000000000000bf000000bf0000ce420000e04103000000000000b3000000b3ffffcd42000000b3000000b3ffffdf412100000008000000620000000c00000001000000150000000c00000004000000150000000c00000004000000510000004c0c00000000000000000000660000001b00000000000000000000000000000000000000670000001c000000500000009c000000ec000000600b0000000000002000cc00670000001c00000028000000670000001c00000001000800000000000000000000000000000000001d0000000000000000000000ffffff00b5ebff0000006b00ce9a00006bbae700ffd3940094d3ff00009ace0094000000ffffce00ceffff0000009400b56d0000ffffe700e7ffff00006db500e7ba6b006b000000ffebb5006b006b00b56d9400009ab5006b009400b5bae700e7ffce006b6db500006d6b0094006b000101010101010101010101010101010101010101010101010101010101010101010101010101010101010101010101010101010101010101010101010101010101010101010101010101010101010101010101010101010101010101010101010101010101010101010101010101010101010101010101010101010101010101010101010101010101010101010101010101010101010101010101010101010101010101010101010101010101010101010101010101010101010101010101010101010101010101010101010101010101010101010101010101010101010101010101010101010101010101010101010101010101010101010101010101010101010101010101010101010101010101010101010101010101010101010101010101010101010101010101010101010101010101010101010101010101010101010101010101010101010101010101010101010101010101010101010101010101010101010101010101010101010101010101010101010101010101010101010101010101010101010101010101010101010101010101010101010101010101010101010101010101010101010101010101010101010101010101010101010101010101010101010101050401010101010101010101010101010101010101010101010101010101010101010101010101010101010101010101081101010101010101010101010101010101010101010101010101010101010101010101010101010101010101010101010101010101010101070401010101010101010101010101010101010101010101010101010101010101010101010101010101010101010105040101010101010101010101010101010101010101010101010101010101010101010101010101010101010101010101010101010101010105090a010101010101010101010101010101010101010101010101010101010101010101010101010101010101010107090a010101010101010101010101010101010101010101010101010b0c000006010101010101010101010101010101010101010101010500090a01010101010101010101010101010101010101010101010101010101010101010101010101010101010f1006010b171301010101010101010101010101010101010101010101010101080401021413010101010101010101010101010101010101010107121301010101010101010101010101010101010101010101010101010101010101010101010101010101010101010811010f10060101010101010101010101010101010101010101010101010b0c06010f10110101010101010101010101010101010101010101021c0a0101010101010101010101010101010101010101010101010101010101010101010101010101010101010101070d0e0105040101010101010101010101010101010101010101010101010b1713010108040101010101010101010101010101010101010101010700060101010101010101010101010101010101010101010101010101010101010101010101010101010101010102030601070d0e010101010101010101010500000006010f100000090a010b17130101080401010105001101010101020300090a070000060101010f100004010101010101010101010101010101010101010101010101010101010101020300090a070000060118191a1b0607090a01010101010101010101010500110101010b0c121301010b0c06010f10110101010500110101010f100d0e0b15160d0e0806010b0c06010101010101010101010101010101010101010101010101010101010101010f100d0e0b15160d0e08060b0c090a08000d0e0101010101010101010101020311010101010512130101010504010214130101010101010101010b0c0401010203090a0101010f1006010101010101010101010101010101010101010101010101010101010101010b0c0401010203090a0101010101010101010101010101010101010101010b0c04010101010700060101010f10000011010101010101010101010b0c040101010512130101010101080d0e010101010101010101010108000000000000000000000d0e01010101010b0c0401010105121301010101010101010101010101010101010101010101080d0e0101010203040101010101010101010101010101010101010f100d0e0101020306010101010f1000000d0e0101010101010101010101010101010101010101010101010101010f100d0e01010203060101010101010101010101010101010101010104010105090a0101010b0c0d0e01010101010101010101010101010101010105121301010f100401010101050d0e0101010101010101010101010101010101010101010101010101010101010105121301010f1004010101010101010101010101010101010101010101010203060101010108090a010101010101010101010105001101010101020304010101080d0e01010101010101010101010101010101010108000000000000000000000d0e010101010101020304010101080d0e0101010101010101010101010101010101010101010b0c000000000000000601010101010101010101010500110101010101070011010f1012130101010101010101010101010101010101010101010101010101010101010101010101010101070011010f1012130101010101010101010101010101010101010101010f100401010101070011010101010101010101010101010101010101010102030000110806010101010101010101010101010101010101010101010101010101010101010101010101010101020300001108060101010101010101010101010101010101010101010105090a0101010b0c0d0e010101010101010101010101010101010101010101010101010101010101010101010101010101010101010101010101010101010101010101010101010101010101010101010101010101010101010101010101010101010101010101010700060101010108090a010101010101010101010101010101010101010101010101010101010101010101010101010101010101010101010101010101010101010101010101010101010101010101010101010101010101010101010101010101010101010101010700040101010108000601010101010101010101010101010101010101010101010101010101010101010101010101010101010101010101010101010101010101010101010101010101010101010101010101010101010101010101010101010101010101010102030000040101050000000601010101010101010101010101010101010101010101010101010101010101010101010101010101010101010101010101010101010101010101010101010101010101010101010101010101010101010101010101010101010101010101010101010101010101010101010101010101010101010101010101010101010101010101010101010101010101010101010101010101010101010101010101010101010101010101010101010101010101010101010101010101010101010101010101010101010101010101010101010101010101010101010101010101010101010101010101010101010101010101010101010101010101010101010101010101010101010101010101010101010101010101010101010101010101010101010101010101010101010101010101010101010101010101010101010101010101010101010101010101010101010101010101010101010101010101010101010101010101010101010101010101010101010101010101010101010101010101010101010101010101010101010101010101010101010101010101010101010101010101010101010101010101010101010101010101010101010101010101010101010101010101010101010101010101010101010101010101010101010101010101010101010101010101010101010101010101010101010101014c000000640000000000000000000000660000001b0000000000000000000000670000001c0000002900aa0000000000000000000000803f00000000000000000000803f0000000000000000000000000000000000000000000000000000000000000000220000000c000000ffffffff460000001c00000010000000454d462b024000000c000000000000000e000000140000000000000010000000140000000400000003010800050000000b0200000000050000000c021c006700030000001e00040000000701040004000000070104000b060000410b2000cc001c006700000000001c0067000000000028000000670000001c00000001000800000000000000000000000000000000001d0000000000000000000000ffffff00b5ebff0000006b00ce9a00006bbae700ffd3940094d3ff00009ace0094000000ffffce00ceffff0000009400b56d0000ffffe700e7ffff00006db500e7ba6b006b000000ffebb5006b006b00b56d9400009ab5006b009400b5bae700e7ffce006b6db500006d6b0094006b000101010101010101010101010101010101010101010101010101010101010101010101010101010101010101010101010101010101010101010101010101010101010101010101010101010101010101010101010101010101010101010101010101010101010101010101010101010101010101010101010101010101010101010101010101010101010101010101010101010101010101010101010101010101010101010101010101010101010101010101010101010101010101010101010101010101010101010101010101010101010101010101010101010101010101010101010101010101010101010101010101010101010101010101010101010101010101010101010101010101010101010101010101010101010101010101010101010101010101010101010101010101010101010101010101010101010101010101010101010101010101010101010101010101010101010101010101010101010101010101010101010101010101010101010101010101010101010101010101010101010101010101010101010101010101010101010101010101010101010101010101010101010101010101010101010101010101010101010101010101010101010101010101050401010101010101010101010101010101010101010101010101010101010101010101010101010101010101010101081101010101010101010101010101010101010101010101010101010101010101010101010101010101010101010101010101010101010101070401010101010101010101010101010101010101010101010101010101010101010101010101010101010101010105040101010101010101010101010101010101010101010101010101010101010101010101010101010101010101010101010101010101010105090a010101010101010101010101010101010101010101010101010101010101010101010101010101010101010107090a010101010101010101010101010101010101010101010101010b0c000006010101010101010101010101010101010101010101010500090a01010101010101010101010101010101010101010101010101010101010101010101010101010101010f1006010b171301010101010101010101010101010101010101010101010101080401021413010101010101010101010101010101010101010107121301010101010101010101010101010101010101010101010101010101010101010101010101010101010101010811010f10060101010101010101010101010101010101010101010101010b0c06010f10110101010101010101010101010101010101010101021c0a0101010101010101010101010101010101010101010101010101010101010101010101010101010101010101070d0e0105040101010101010101010101010101010101010101010101010b1713010108040101010101010101010101010101010101010101010700060101010101010101010101010101010101010101010101010101010101010101010101010101010101010102030601070d0e010101010101010101010500000006010f100000090a010b17130101080401010105001101010101020300090a070000060101010f100004010101010101010101010101010101010101010101010101010101010101020300090a070000060118191a1b0607090a01010101010101010101010500110101010b0c121301010b0c06010f10110101010500110101010f100d0e0b15160d0e0806010b0c06010101010101010101010101010101010101010101010101010101010101010f100d0e0b15160d0e08060b0c090a08000d0e0101010101010101010101020311010101010512130101010504010214130101010101010101010b0c0401010203090a0101010f1006010101010101010101010101010101010101010101010101010101010101010b0c0401010203090a0101010101010101010101010101010101010101010b0c04010101010700060101010f10000011010101010101010101010b0c040101010512130101010101080d0e010101010101010101010108000000000000000000000d0e01010101010b0c0401010105121301010101010101010101010101010101010101010101080d0e0101010203040101010101010101010101010101010101010f100d0e0101020306010101010f1000000d0e0101010101010101010101010101010101010101010101010101010f100d0e01010203060101010101010101010101010101010101010104010105090a0101010b0c0d0e01010101010101010101010101010101010105121301010f100401010101050d0e0101010101010101010101010101010101010101010101010101010101010105121301010f1004010101010101010101010101010101010101010101010203060101010108090a010101010101010101010105001101010101020304010101080d0e01010101010101010101010101010101010108000000000000000000000d0e010101010101020304010101080d0e0101010101010101010101010101010101010101010b0c000000000000000601010101010101010101010500110101010101070011010f1012130101010101010101010101010101010101010101010101010101010101010101010101010101070011010f1012130101010101010101010101010101010101010101010f100401010101070011010101010101010101010101010101010101010102030000110806010101010101010101010101010101010101010101010101010101010101010101010101010101020300001108060101010101010101010101010101010101010101010105090a0101010b0c0d0e010101010101010101010101010101010101010101010101010101010101010101010101010101010101010101010101010101010101010101010101010101010101010101010101010101010101010101010101010101010101010101010700060101010108090a010101010101010101010101010101010101010101010101010101010101010101010101010101010101010101010101010101010101010101010101010101010101010101010101010101010101010101010101010101010101010101010700040101010108000601010101010101010101010101010101010101010101010101010101010101010101010101010101010101010101010101010101010101010101010101010101010101010101010101010101010101010101010101010101010101010102030000040101050000000601010101010101010101010101010101010101010101010101010101010101010101010101010101010101010101010101010101010101010101010101010101010101010101010101010101010101010101010101010101010101010101010101010101010101010101010101010101010101010101010101010101010101010101010101010101010101010101010101010101010101010101010101010101010101010101010101010101010101010101010101010101010101010101010101010101010101010101010101010101010101010101010101010101010101010101010101010101010101010101010101010101010101010101010101010101010101010101010101010101010101010101010101010101010101010101010101010101010101010101010101010101010101010101010101010101010101010101010101010101010101010101010101010101010101010101010101010101010101010101010101010101010101010101010101010101010101010101010101010101010101010101010101010101010101010101010101010101010101010101010101010101010101010101010101010101010101010101010101010101010101010101010101010101010101010101010101010101010101010101010101010101010101010101010101010101010101010101010101010c00000040092900aa000000000000001c00670000000000040000002701ffff030000000000про рівність середніх значень на рівні значущості 0,05 відхиляється.
За
допомогою критерію Стьюдента була
виявлена суттєва відмінність 8 параметрів
загального аналізу крові для компенсованого
й декомпенсованого станів, а саме вік,
діагноз, характеристика пухлини,
гемоглобін, Ht, лейкоцити, нейтрофіли
палочкоядерні, нейтрофіли сегментоядерні
та лімфоцити. Згідно з критерієм Стьюдента
гіпотеза 010009000003b00e000000007008000000007008000026060f00d610574d46430100000000000100a4af0000000001000000b410000000000000b4100000010000006c0000000000000000000000660000001b0000000000000000000000890a0000dc02000020454d4600000100b41000000c00000001000000000000000000000000000000900600001a040000b801000013010000000000000000000000000000c0b6060038320400460000002c00000020000000454d462b014001001c000000100000000210c0db0100000060000000600000004600000004030000f8020000454d462b224004000c000000000000001e4009000c00000000000000244001000c000000000000003040020010000000040000000000803f214007000c000000000000000840000550020000440200000210c0db01000000000000000000000000000000000000000100000089504e470d0a1a0a0000000d49484452000000670000001c08030000004b7a51c90000000373424954050605330b8d80000000017352474200aece1ce9000000097048597300000ec400000ec401952b0e1b00000057504c544500000000006b000094006db5009ace6b00006b006b6b00946b6d006bbae794000094006b946db594d3ffb56d00b56d6bb59a00b5ebffce9a00ceffffceffe7e7ba6be7bab5ffd394ffebb5ffffcee7ffffffffe7ffffff969fd4e50000015b4944415448c7ed95d17a83200c85b316b7c9a65de9185279ffe79c01b44140c57deeaab994c84f4e0e01ccff043c397b395d05c08c9100d01c5a8f428c31e2408ce7588038dd8ee5480bd0fc7c3f94d3b7563605752a01bb578bad8a66b3010b011774597a2ad2fbf6e5ba0d93cfb67e4bb4c773ba0a6b152945054c312e2f64c3727b249ecd0b2b57fb47b3638ee3bbb3cca26f71cd17dcb78f932723c88e389a7b1b347e2f6207b726bde0a120b16e61f69cd355f554b391cc74afd790d35556d8be5d331dcd8e39aee39a2347f366d8af9e7c804ae8cfaff37db02aae2d07c9d6fc7413546570630df51acea13f069860d46fc36705a3a66cf5f6f8ec9fefcb7ba34865e1bc7e705277a364fca11b14ad67a6f0a85bfce35bd1f443866426c3c15aa80fe88f5b6782dfa80e8d0373cb641f210905f31c19b60919cef2752f7b38a80d8a388a153d05b43d251c5986c116edabe72ff1e4ec8b5fe0c423615e5a63160000000049454e44ae4260820840010824000000180000000210c0db01000000030000000000000000000000000000001b40000040000000340000000100000002000000000000bf000000bf0000ce420000e04103000000000000b3000000b3ffffcd42000000b3000000b3ffffdf412100000008000000620000000c00000001000000150000000c00000004000000150000000c00000004000000510000004c0c00000000000000000000660000001b00000000000000000000000000000000000000670000001c000000500000009c000000ec000000600b0000000000002000cc00670000001c00000028000000670000001c00000001000800000000000000000000000000000000001d0000000000000000000000ffffff00b5ebff0000006b00ce9a00006bbae700ffd3940094d3ff00009ace0094000000ffffce00ceffff0000009400b56d0000ffffe700e7ffff00006db500e7ba6b006b000000ffebb5006b006b00b56d9400009ab5006b009400b5bae700e7ffce006b6db500006d6b0094006b000101010101010101010101010101010101010101010101010101010101010101010101010101010101010101010101010101010101010101010101010101010101010101010101010101010101010101010101010101010101010101010101010101010101010101010101010101010101010101010101010101010101010101010101010101010101010101010101010101010101010101010101010101010101010101010101010101010101010101010101010101010101010101010101010101010101010101010101010101010101010101010101010101010101010101010101010101010101010101010101010101010101010101010101010101010101010101010101010101010101010101010101010101010101010101010101010101010101010101010101010101010101010101010101010101010101010101010101010101010101010101010101010101010101010101010101010101010101010101010101010101010101010101010101010101010101010101010101010101010101010101010101010101010101010101010101010101010101010101010101010101010101010101010101010101010101010101010101010101010101010101010101010101050401010101010101010101010101010101010101010101010101010101010101010101010101010101010101010101081101010101010101010101010101010101010101010101010101010101010101010101010101010101010101010101010101010101010101070401010101010101010101010101010101010101010101010101010101010101010101010101010101010101010105040101010101010101010101010101010101010101010101010101010101010101010101010101010101010101010101010101010101010105090a010101010101010101010101010101010101010101010101010101010101010101010101010101010101010107090a010101010101010101010101010101010101010101010101010b0c000006010101010101010101010101010101010101010101010500090a01010101010101010101010101010101010101010101010101010101010101010101010101010101010f1006010b171301010101010101010101010101010101010101010101010101080401021413010101010101010101010101010101010101010107121301010101010101010101010101010101010101010101010101010101010101010101010101010101010101010811010f10060101010101010101010101010101010101010101010101010b0c06010f10110101010101010101010101010101010101010101021c0a0101010101010101010101010101010101010101010101010101010101010101010101010101010101010101070d0e0105040101010101010101010101010101010101010101010101010b1713010108040101010101010101010101010101010101010101010700060101010101010101010101010101010101010101010101010101010101010101010101010101010101010102030601070d0e010101010101010101010500000006010f100000090a010b17130101080401010105001101010101020300090a070000060101010f100004010101010101010101010101010101010101010101010101010101010101020300090a070000060118191a1b0607090a01010101010101010101010500110101010b0c121301010b0c06010f10110101010500110101010f100d0e0b15160d0e0806010b0c06010101010101010101010101010101010101010101010101010101010101010f100d0e0b15160d0e08060b0c090a08000d0e0101010101010101010101020311010101010512130101010504010214130101010101010101010b0c0401010203090a0101010f1006010101010101010101010101010101010101010101010101010101010101010b0c0401010203090a0101010101010101010101010101010101010101010b0c04010101010700060101010f10000011010101010101010101010b0c040101010512130101010101080d0e010101010101010101010108000000000000000000000d0e01010101010b0c0401010105121301010101010101010101010101010101010101010101080d0e0101010203040101010101010101010101010101010101010f100d0e0101020306010101010f1000000d0e0101010101010101010101010101010101010101010101010101010f100d0e01010203060101010101010101010101010101010101010104010105090a0101010b0c0d0e01010101010101010101010101010101010105121301010f100401010101050d0e0101010101010101010101010101010101010101010101010101010101010105121301010f1004010101010101010101010101010101010101010101010203060101010108090a010101010101010101010105001101010101020304010101080d0e01010101010101010101010101010101010108000000000000000000000d0e010101010101020304010101080d0e0101010101010101010101010101010101010101010b0c000000000000000601010101010101010101010500110101010101070011010f1012130101010101010101010101010101010101010101010101010101010101010101010101010101070011010f1012130101010101010101010101010101010101010101010f100401010101070011010101010101010101010101010101010101010102030000110806010101010101010101010101010101010101010101010101010101010101010101010101010101020300001108060101010101010101010101010101010101010101010105090a0101010b0c0d0e010101010101010101010101010101010101010101010101010101010101010101010101010101010101010101010101010101010101010101010101010101010101010101010101010101010101010101010101010101010101010101010700060101010108090a010101010101010101010101010101010101010101010101010101010101010101010101010101010101010101010101010101010101010101010101010101010101010101010101010101010101010101010101010101010101010101010700040101010108000601010101010101010101010101010101010101010101010101010101010101010101010101010101010101010101010101010101010101010101010101010101010101010101010101010101010101010101010101010101010101010102030000040101050000000601010101010101010101010101010101010101010101010101010101010101010101010101010101010101010101010101010101010101010101010101010101010101010101010101010101010101010101010101010101010101010101010101010101010101010101010101010101010101010101010101010101010101010101010101010101010101010101010101010101010101010101010101010101010101010101010101010101010101010101010101010101010101010101010101010101010101010101010101010101010101010101010101010101010101010101010101010101010101010101010101010101010101010101010101010101010101010101010101010101010101010101010101010101010101010101010101010101010101010101010101010101010101010101010101010101010101010101010101010101010101010101010101010101010101010101010101010101010101010101010101010101010101010101010101010101010101010101010101010101010101010101010101010101010101010101010101010101010101010101010101010101010101010101010101010101010101010101010101010101010101010101010101010101010101010101010101010101010101010101010101010101010101010101010101010101010101010101010101014c000000640000000000000000000000660000001b0000000000000000000000670000001c0000002900aa0000000000000000000000803f00000000000000000000803f0000000000000000000000000000000000000000000000000000000000000000220000000c000000ffffffff460000001c00000010000000454d462b024000000c000000000000000e000000140000000000000010000000140000000400000003010800050000000b0200000000050000000c021c006700030000001e00040000000701040004000000070104000b060000410b2000cc001c006700000000001c0067000000000028000000670000001c00000001000800000000000000000000000000000000001d0000000000000000000000ffffff00b5ebff0000006b00ce9a00006bbae700ffd3940094d3ff00009ace0094000000ffffce00ceffff0000009400b56d0000ffffe700e7ffff00006db500e7ba6b006b000000ffebb5006b006b00b56d9400009ab5006b009400b5bae700e7ffce006b6db500006d6b0094006b000101010101010101010101010101010101010101010101010101010101010101010101010101010101010101010101010101010101010101010101010101010101010101010101010101010101010101010101010101010101010101010101010101010101010101010101010101010101010101010101010101010101010101010101010101010101010101010101010101010101010101010101010101010101010101010101010101010101010101010101010101010101010101010101010101010101010101010101010101010101010101010101010101010101010101010101010101010101010101010101010101010101010101010101010101010101010101010101010101010101010101010101010101010101010101010101010101010101010101010101010101010101010101010101010101010101010101010101010101010101010101010101010101010101010101010101010101010101010101010101010101010101010101010101010101010101010101010101010101010101010101010101010101010101010101010101010101010101010101010101010101010101010101010101010101010101010101010101010101010101010101010101010101050401010101010101010101010101010101010101010101010101010101010101010101010101010101010101010101081101010101010101010101010101010101010101010101010101010101010101010101010101010101010101010101010101010101010101070401010101010101010101010101010101010101010101010101010101010101010101010101010101010101010105040101010101010101010101010101010101010101010101010101010101010101010101010101010101010101010101010101010101010105090a010101010101010101010101010101010101010101010101010101010101010101010101010101010101010107090a010101010101010101010101010101010101010101010101010b0c000006010101010101010101010101010101010101010101010500090a01010101010101010101010101010101010101010101010101010101010101010101010101010101010f1006010b171301010101010101010101010101010101010101010101010101080401021413010101010101010101010101010101010101010107121301010101010101010101010101010101010101010101010101010101010101010101010101010101010101010811010f10060101010101010101010101010101010101010101010101010b0c06010f10110101010101010101010101010101010101010101021c0a0101010101010101010101010101010101010101010101010101010101010101010101010101010101010101070d0e0105040101010101010101010101010101010101010101010101010b1713010108040101010101010101010101010101010101010101010700060101010101010101010101010101010101010101010101010101010101010101010101010101010101010102030601070d0e010101010101010101010500000006010f100000090a010b17130101080401010105001101010101020300090a070000060101010f100004010101010101010101010101010101010101010101010101010101010101020300090a070000060118191a1b0607090a01010101010101010101010500110101010b0c121301010b0c06010f10110101010500110101010f100d0e0b15160d0e0806010b0c06010101010101010101010101010101010101010101010101010101010101010f100d0e0b15160d0e08060b0c090a08000d0e0101010101010101010101020311010101010512130101010504010214130101010101010101010b0c0401010203090a0101010f1006010101010101010101010101010101010101010101010101010101010101010b0c0401010203090a0101010101010101010101010101010101010101010b0c04010101010700060101010f10000011010101010101010101010b0c040101010512130101010101080d0e010101010101010101010108000000000000000000000d0e01010101010b0c0401010105121301010101010101010101010101010101010101010101080d0e0101010203040101010101010101010101010101010101010f100d0e0101020306010101010f1000000d0e0101010101010101010101010101010101010101010101010101010f100d0e01010203060101010101010101010101010101010101010104010105090a0101010b0c0d0e01010101010101010101010101010101010105121301010f100401010101050d0e0101010101010101010101010101010101010101010101010101010101010105121301010f1004010101010101010101010101010101010101010101010203060101010108090a010101010101010101010105001101010101020304010101080d0e01010101010101010101010101010101010108000000000000000000000d0e010101010101020304010101080d0e0101010101010101010101010101010101010101010b0c000000000000000601010101010101010101010500110101010101070011010f1012130101010101010101010101010101010101010101010101010101010101010101010101010101070011010f1012130101010101010101010101010101010101010101010f100401010101070011010101010101010101010101010101010101010102030000110806010101010101010101010101010101010101010101010101010101010101010101010101010101020300001108060101010101010101010101010101010101010101010105090a0101010b0c0d0e010101010101010101010101010101010101010101010101010101010101010101010101010101010101010101010101010101010101010101010101010101010101010101010101010101010101010101010101010101010101010101010700060101010108090a010101010101010101010101010101010101010101010101010101010101010101010101010101010101010101010101010101010101010101010101010101010101010101010101010101010101010101010101010101010101010101010700040101010108000601010101010101010101010101010101010101010101010101010101010101010101010101010101010101010101010101010101010101010101010101010101010101010101010101010101010101010101010101010101010101010102030000040101050000000601010101010101010101010101010101010101010101010101010101010101010101010101010101010101010101010101010101010101010101010101010101010101010101010101010101010101010101010101010101010101010101010101010101010101010101010101010101010101010101010101010101010101010101010101010101010101010101010101010101010101010101010101010101010101010101010101010101010101010101010101010101010101010101010101010101010101010101010101010101010101010101010101010101010101010101010101010101010101010101010101010101010101010101010101010101010101010101010101010101010101010101010101010101010101010101010101010101010101010101010101010101010101010101010101010101010101010101010101010101010101010101010101010101010101010101010101010101010101010101010101010101010101010101010101010101010101010101010101010101010101010101010101010101010101010101010101010101010101010101010101010101010101010101010101010101010101010101010101010101010101010101010101010101010101010101010101010101010101010101010101010101010101010101010101010101010101010101010101010c00000040092900aa000000000000001c00670000000000040000002701ffff030000000000
про
рівність середніх значень на рівні
значущості 0,05 відхиляється.
За
допомогою критерія
перевірено гіпотезу про нормальний
розподіл параметрів загального аналізу
крові для компенсованого, субкомпенсованого
та декомпенсованого станів. За розподіл
гемоглобіна, еритроцитів, Ht, лейкоцитів,
нейтрофілів палочкоядерних, нейтрофілів
сегментоядерних та лімфоцитів ми можемо
розглядати нормальний розподіл.
Також встановлено незалежність параметрів загального аналізу крові (див. табл. А.4 Додатку А).
Список використаних джерел
Тутубалин В.Н. Теория вероятностей и случайных процессов: Учеб. пособие. – М.:Изд-во МГУ, 1992. – 400 с.
Прикладная статистика: Классификация и снижение размерности: Справ. изд./Айвазян С.А., Бухштабер В.М., Енюков И.С., Мешалкин Л.Д.: Под ред. С.А. Айвазяна. – М.:Финансы и статистика, 1989. – 607 с.
Ивченко Г.И., Медведев Ю.И. Математическая статистика: Учеб. пособие для втузов. – М.:Высш.шк., 1984. – 248 с.
Юнкеров В.И., Григорьев С.Г. Математико-статистическая обработка данных медицинских исследований. – СПб.:ВмедА, 2002. – 266 с.
Турчин В.Н. Теория вероятностей и математическая статистика. Учебник. Д.:Изд-во Днепропетр. нац. ун-та, 2008. – 656 с.
Додаток А
Визначення маркерів компенсованих, субкомпенсованих та декомпенсованих станів за кишкової непрохідності
Гемоглобін, еритроцити, кольоровий показник (ступінь насиченості еритроцитів гемоглобіном), Ht, лейкоцити, СОЕ, базофіли, еозинофіли, мієлоцити, юні, нейтрофіли палочкоядерні, нейтрофіли сегментоядерні, лімфоцити, моноцити
Вік
Діагноз 1 - рак сліпої кишки
2 - рак висхідної ободової кишки,
3 - рак печінкового вигину ободової кишки,
4 - рак поперечної ободової кишки,
5 - рак селезінкового вигину ободової кишки,
6 - рак низхідної ободової кишки,
7 - рак сигмовидної кишки,
8 - ураження ободової кишки, яке виходить за межі
вищезазначених локалізацій,
9 - рак ободової кишки, неуточнений,
10 - рак ректосигми
Характеристика пухлини
1 - пухлина інфільтрує підслизову оболонку
2 - пухлина інфільтрує м’язову оболонку
3 - пухлина інфільтрує підсерозну основу або тканину, яка прилягає до неперитонізованих ділянок ободової кишки
4 - пухлина поширюється на інші органи або структури і (або)проростає вісцеральну очеревину
5 - недостатньо даних
6 - первинна пухлина не визначається
Наявні метастази 1 - метастази в 1-3 периколічних ЛВ
2 - метастази в 4 і більше ЛВ
3 - метастази в ЛВ вздовж судинних стовбурів
4 - недостатньо даних для оцінки ЛВ
5 - немає ознак враження ЛВ
Віддалені метастази 0 - немає віддалених метастазів
1 - наявні віддалені метастази
2 - недостатньо даних
Таблиця А.1
Перевірки
гіпотези
про
рівність середніх значень факторів для
компенсованого та субкомпенсованого
станів за кишкової непрохідності
|
Фактор |
n |
m |
комп |
субкомп |
комп |
субкомп |
|
n+m-2 |
|
Гіпотеза |
|
Вік |
104 |
108 |
62,05 |
64,60 |
9,73 |
10,55 |
1,82 |
210 |
1,652 |
відхиляється |
|
Діагноз |
104 |
108 |
5,25 |
6,67 |
3,03 |
2,52 |
3,72 |
210 |
1,652 |
відхиляється |
|
Характерис- тика пухлини |
104 |
108 |
3,30 |
3,60 |
0,68 |
0,54 |
3,46 |
210 |
1,652 |
відхиляється |
|
Наявні метастази |
104 |
108 |
0,36 |
0,44 |
0,65 |
0,68 |
0,85 |
210 |
1,652 |
не відхиляється |
|
Віддалені метастази |
104 |
108 |
0,10 |
0,17 |
0,30 |
0,38 |
1,46 |
210 |
1,652 |
не відхиляється |
|
Гемоглобін |
104 |
108 |
110,09 |
107,70 |
28,63 |
22,76 |
0,67 |
210 |
1,652 |
не відхиляється |
|
Еритроцити |
103 |
104 |
3,77 |
3,59 |
0,66 |
0,51 |
2,11 |
205 |
1,652 |
відхиляється |
|
ЦП |
75 |
75 |
0,81 |
0,79 |
0,09 |
0,07 |
1,38 |
148 |
1,655 |
не відхиляється |
|
Ht |
74 |
87 |
31,49 |
29,02 |
8,54 |
6,48 |
2,08 |
159 |
1,654 |
відхиляється |
|
Лейкоцити |
103 |
104 |
6,90 |
7,59 |
2,20 |
2,89 |
1,93 |
205 |
1,652 |
відхиляється |
|
СОЭ |
95 |
100 |
16,68 |
14,92 |
15,44 |
12,30 |
0,88 |
193 |
1,652 |
не відхиляється |
|
Базофіли |
2 |
2 |
||||||||
|
Еозінофіли |
75 |
69 |
2,06 |
1,91 |
1,43 |
1,56 |
0,61 |
142 |
1,655 |
не відхиляється |
|
Міелоцити |
||||||||||
|
Юні ер Нейтрофіли палочк |
1 |
1 |
||||||||
|
Нейтрофіли палочк ядерні |
103 |
107 |
6,00 |
8,72 |
4,27 |
6,24 |
3,68 |
208 |
1,652 |
відхиляється |
|
Нейтрофіли сегмент ядерні |
104 |
108 |
59,23 |
59,89 |
11,29 |
9,22 |
0,47 |
210 |
1,652 |
не відхиляється |
|
Лімфоцити |
104 |
108 |
29,73 |
26,90 |
10,49 |
10,01 |
2,00 |
210 |
1,652 |
відхиляється |
|
Моноцити и⟈ |
104 |
107 |
3,52 |
3,05 |
2,84 |
2,28 |
1,33 |
209 |
1,652 |
не відхиляється |
Таблиця А.2
Перевірки
гіпотези
про
рівність середніх значень факторів для
субкомпенсованого та декомпенсованого
станів за кишкової непрохідності
|
|
n |
m |
субкомп |
декомп |
субкомп |
декомп |
|
n+m-2 |
|
Гіпотеза |
|
Вік |
108 |
86 |
64,60 |
65,56 |
10,552 |
11,36 |
0,61 |
192 |
1,652 |
не відхиляється |
|
Діагноз |
108 |
86 |
6,67 |
6,22 |
2,52 |
2,26 |
1,30 |
192 |
1,652 |
не відхиляється |
|
Характерис- тика пухлини |
108 |
86 |
3,60 |
3,56 |
0,54 |
0,52 |
0,41 |
192 |
1,652 |
не відхиляється |
|
Наявні метастази |
108 |
86 |
0,44 |
0,41 |
0,688 |
0,67 |
0,26 |
192 |
1,652 |
не відхиляється |
|
Віддалені метастази |
108 |
86 |
0,17 |
0,12 |
0,38 |
0,33 |
0,91 |
192 |
1,652 |
не відхиляється |
|
Гемоглобін |
108 |
86 |
107,70 |
124,56 |
22,76 |
24,16 |
4,98 |
192 |
1,652 |
відхиляється |
|
Еритроцити |
104 |
83 |
3,59 |
3,77 |
0,51 |
0,57 |
2,28 |
185 |
1,653 |
відхиляється |
|
ЦП |
75 |
28 |
0,79 |
0,80 |
0,078 |
0,07 |
0,63 |
101 |
1,660 |
не відхиляється |
|
Ht |
87 |
69 |
29,02 |
34,85 |
6,48 |
6,19 |
5,68 |
154 |
1,654 |
відхиляється |
|
Лейкоцити |
104 |
85 |
7,59 |
9,28 |
2,89 |
3,38 |
3,6 |
187 |
1,653 |
відхиляється |
|
СОЭ |
100 |
66 |
14,92 |
17,10 |
12,30 |
11,19 |
1,16 |
164 |
1,654 |
не відхиляється |
|
Базофіли |
2 |
0 |
|
|||||||
|
Еозінофіли |
69 |
32 |
1,91 |
1,62 |
1,56 |
1,21 |
0,91 |
99 |
1,660 |
не відхиляється |
|
Міелоцити |
0 |
1 |
|
|||||||
|
Юні |
1 |
5 |
|
|||||||
|
Нейтрофіли палочко ядерні |
107 |
85 |
8,72 |
12,76 |
6,24 |
8,67 |
3,74 |
190 |
1,652 |
відхиляється |
|
Нейтрофіли сегменто ядерні |
108 |
85 |
59,89 |
62,95 |
9,22 |
10,49 |
2,14 |
191 |
1,652 |
відхиляється |
|
Лімфоцити |
108 |
85 |
26,90 |
20,36 |
10,01 |
10,24 |
4,46 |
191 |
1,652 |
відхиляється |
|
Моноцити |
107 |
85 |
3,05 |
2,98 |
2,28 |
1,91 |
0,21 |
190 |
1,652 |
не відхиляється |
Таблиця А.3
Перевірки
гіпотези
про
рівність середніх значень факторів для
компенсованого та декомпенсованого
станів за кишкової непрохідності
|
n |
m |
комп |
декомп |
комп |
декомп |
|
n+m-2 |
|
Гіпотеза |
|
|
Вік |
104 |
86 |
62,06 |
65,57 |
9,74 |
11,36 |
2,29 |
188 |
1,653 |
відхиляється |
|
Діагноз |
104 |
86 |
5,25 |
6,22 |
3,04 |
2,26 |
2,45 |
188 |
1,653 |
відхиляється |
|
Характерис- тика пухлини |
104 |
86 |
3,31 |
3,57 |
0,68 |
0,52 |
2,92 |
188 |
1,653 |
відхиляється |
|
Наявні метастази |
104 |
86 |
0,37 |
0,42 |
0,65 |
0,68 |
0,55 |
188 |
1,653 |
не відхиляється |
|
Віддалені метастази |
104 |
86 |
0,11 |
0,13 |
0,31 |
0,34 |
0,47 |
188 |
1,653 |
не відхиляється |
|
Гемоглобін |
104 |
86 |
110,10 |
124,57 |
28,63 |
24,17 |
3,72 |
188 |
1,653 |
відхиляється |
|
Еритроцити |
103 |
83 |
3,77 |
3,78 |
0,66 |
0,58 |
0,09 |
184 |
1,653 |
не відхиляється |
|
ЦП |
75 |
28 |
0,82 |
0,81 |
0,09 |
0,07 |
0,45 |
101 |
1,660 |
не відхиляється |
|
Ht |
74 |
69 |
31,49 |
34,86 |
8,55 |
6,20 |
2,68 |
141 |
1,656 |
відхиляється |
|
Лейкоцити |
103 |
85 |
6,90 |
9,28 |
2,20 |
3,39 |
5,80 |
186 |
1,653 |
відхиляється |
|
СОЭ |
95 |
66 |
16,68 |
17,11 |
15,45 |
11,20 |
0,19 |
159 |
1,654 |
не відхиляється |
|
Базофіли |
2 |
0 |
|
|||||||
|
Еозінофіли |
75 |
32 |
2,07 |
1,63 |
1,44 |
1,21 |
1,52 |
105 |
1,659 |
не відхиляється |
|
Міелоцити |
0 |
1 |
|
|||||||
|
Юні |
1 |
5 |
|
|||||||
|
Нейтрофіли палочкоядерні |
103 |
85 |
6,00 |
12,76 |
4,27 |
8,68 |
6,96 |
186 |
1,653 |
відхиляється |
|
Нейтрофіли сегментоядерні |
104 |
85 |
59,23 |
62,95 |
11,29 |
10,49 |
2,33 |
187 |
1,653 |
відхиляється |
|
Лімфоцити |
104 |
85 |
29,73 |
20,36 |
10,49 |
10,25 |
6,17 |
187 |
1,653 |
відхиляється |
|
Моноцити |
104 |
85 |
3,53 |
2,99 |
2,84 |
1,91 |
1,50 |
187 |
1,653 |
не відхиляється |








