Использование измерений и решение задач на местности при изучении некоторых тем школьного курса геометрии
ДИПЛОМНАЯ РАБОТА
ИСПОЛЬЗОВАНИЕ ИЗМЕРЕНИЙ И РЕШЕНИЕ ЗАДАЧ НА МЕСТНОСТИ ПРИ ИЗУЧЕНИИ НЕКОТОРЫХ ТЕМ ШКОЛЬНОГО КУРСА ГЕОМЕТРИИ
ОГЛАВЛЕНИЕ
ВВЕДЕНИЕ . . . . . . . . . . 3
ГЛАВА 1. Содержание и методические особенности проведения факультатива
§1. Простейшая геометрия на местности . . . . . 5
§2. Измерения при различных ограничениях . . . 11
§3. Преподавание математики в сельской школе. . . 12
§4. Факультатив, как одна из форм проведения внеклассной
работы по геометрии . . . . . . . 15
§5. Методика проведения факультативных занятий по теме «Решение
задач на местности» . . . . . . . 16
§6. Педагогический эксперимент . . . . . 30
ГЛАВА 2. Комплекс задач, решаемых на местности
§1. Задачи с измерениями при различных ограничениях . 33
§2. На равном расстоянии . . . . . . 39
§3. Задачи, предлагаемые учащимся сельской школы . 47
ЗАКЛЮЧЕНИЕ . . . . . . . . . 62
ЛИТЕРАТУРА . . . . . . . . . 64
Введение
Пусть читатель прогуливается в огромном
саду геометрии, в котором он сможет подобрать
себе такой букет, какой ему нравится.
Давид Гильберт.
Одной из самых важных проблем сегодня в нашей стране является проблема образования. Причем речь идет не о высшей ступени, а о средней, самой главной, ступени образования. Сущность проблемы заключается в том, что у учащихся снизился интерес к изучению, как всех предметов, так и математики, в частности. Поэтому цель работы состоит в повышении интереса к математике за счет изучения нового, не связанного с общеобразовательной программой материала.
В наше время происходят процессы глобализации образования, широкого внедрения новых технологий дистанционного обучения, Интернет и мультимедиа-технологий. Необходимо видеть, что наряду с несомненными достоинствами происходящие процессы несут в себе и отрицательные моменты. Технологизация, компьютеризация образования удаляет ученика от учителя других учеников. Одним из возможных направлений сближения может быть повышение интереса к предмету, демонстрация его практических приложений, возможность решать интересные и практически значимые задачи вместе (как с учителем, так и с группой учеников). Особенностью большинства задач на местности является то, что для получения данных задачи и ее решения необходимо участие нескольких человек.
Образование теснейшим образом связано с духовной культурой. Цель всего образования и математического образования в частности – формирование, воспитание духовной культуры личности. Геометрическое мышление в своей основе является разновидностью образного, чувственного мышления.
Наглядность и практичность обучения геометрии являются необходимыми условиями успешного ее изучения. Формирование отвлеченного мышления у школьников с первых школьных шагов требует предварительного пополнения их сознания конкретными представлениями. При этом удачное и умелое применение наглядности побуждает учеников к познавательной самостоятельности и повышает их интерес к предмету, является важнейшим условием успеха [7].
Наглядные методы применяются на всех этапах педагогического процесса. Формирование геометрических представлений является важным разделом умственного воспитания, политехнического образования, имеют широкое значение во всей познавательной деятельности человека [13] .
Известно, что механическое, нетворческое усвоение школьниками большого объема фактов, представленных в школьном курсе математики, несовместимо с подлинной образованностью, с полноценным воспитанием умственных, нравственных и других качеств личности учащихся, подготовкой их к активному участию в создании материальных и духовных ценностей независимо от того, какую профессию они получат в дальнейшем. Удачный подбор содержательных практических задач еще не обеспечивает должного эффекта. Такие задачи, как правило, вызывают у учащихся затруднения. Условия прикладной задачи только тогда легко доходит до сознания учащихся, когда они (а тем более учитель) встречались с описываемой производственной ситуацией в реальной действительности. Поэтому при постановке задач следует широко опираться на наглядные аналоги из производственного окружения школы, на трудовой опыт учащихся.
Велико значение геометрии в развитии личности. Установлено, что развитое пространственное мышление, прочные математические знания и умения школьников представляют собой важнейшие компоненты готовности к непрерывному образованию, что является актуальным в настоящее время. Необходимость достаточно высокого уровня развития пространственного мышления для успешного усвоения учащимися общеобразовательных предметов и дальнейшего профессионального образования в условиях современного производства доказана многими исследователями психологами.
Умение решать задачи на местности – так же как и руководить их решением – приходит с опытом, при систематическом использовании таких задач в учебном процессе.
Все выше сказанной говорит об актуальности проблемы исследования, которая заключается в изучении теории и отборе содержания данной темы для школьного курса математики.
Объектом исследования является процесс обучения учащихся математике.
Предметом исследования – содержание темы «Использование измерений и решение задач на местности при изучении школьного курса геометрии» и организация деятельности учителя и учащихся.
Задачи исследования:
1. Изучить математическую, психолого-педагогическую, методическую литературу по проблеме исследования.
2. Подобрать и адаптировать для школьников теоретический и практический материал, позволяющий продемонстрировать приложение геометрических фактов к решению задач на местности.
3. Найти эффективные пути и способы организации факультативных занятий.
4. Разработать методику проведения факультативных занятий по теме «Решение задач на местности».
5. Провести экспериментальную проверку отобранного материала и методики факультативных занятий.
ГЛАВА 1
§1. Простейшая геометрия на местности
Для
практических целей часто возникает
необходимость производить геометрические
построения на местности. Такие построения
нужны и при строительстве зданий, и при
прокладке дорог, и при различных
измерениях объектов на местности. Можно
подумать, что работа на ровной поверхности
земли (а
именно такой мы и будем ее считать во
всех задачах
настоящего
параграфа) ничем, по существу, не
отличается от работы циркулем и линейкой
на обыкновенном листе бумаги. Это не
совсем так. Ведь на бумаге циркулем мы
можем проводить любые окружности или
их дуги, а линейкой — любые прямые. На
местности же, где расстояния между
точками довольно велики, для подобных
действий понадобилась бы длинная веревка
или огромная линейка, которые не всегда
имеются под руками. Да и вообще чертить
прямо на земли, какие бы то ни было
линии—дуги или прямые — представляется
весьма затруднительным. Таким образом,
построения на местности
имеют свою
специфику
[21].
Необходимо отказаться от проведения настоящих прямых на земле. Будем эти прямые прокладывать, т. е. отмечать на них, например, колышками, достаточно густую сеть точек. Для практических нужд этого обычно хватает, поскольку передвижение по прямой от одного колышка к другому, расположенному на близком расстоянии от первого, - действие, вполне осуществимое.
Так же необходимо
при построениях не проводить на земле
какие-либо дуги вообще — большие или
маленькие. Поэтому фактически циркуля
у нас нет. Все, что остается от циркуля,—
это способность откладывать на данных
(проложенных) прямых конкретные
расстояния, которые должны быть заданы
не численно, а с помощью двух точек, уже
обозначенных колышками где-то на
местности. Ведь сами расстояния будут
измеряться шагами, ступнями, пальцами
рук или любыми подходящими для этой
цели предметами (в лучшем случае
измерительными приборами). Так что
отложить расстояние, составленное,
скажем, из 25 шагов, 3 размахов пальцев и
2 спичечных коробок, можно лишь в таком
же виде, но никак не умноженное, к примеру,
на >
>
или на >
>.
При указанных ограничениях, не пользуясь к тому же транспортиром, работать, конечно, трудно, но все же задачи решаемы.
На местности колышками обозначены две удаленные друг от друга точки. Как проложить через них прямую и, в частности, как можно без помощника устанавливать колышки на прямой между данными точками? [6]

Пользуясь
зрительным эффектом состоящим в
загораживании двух колышков третьим,
стоящим на общей с ними прямой, нетрудно
установить еще один колышек в некоторой
точке С на
продолжении отрезка с концами в двух
данных точках А и
В. После этого точки
отрезка АВ можно
построить с помощью того же эффекта,
поскольку они будут лежать на продолжении
либо отрезка АС, либо
ВС (в
зависимости от того, какая из точек —
А или
В —
находится ближе к течке С).
Вообще, любая точка
прямой АВ будет
лежать на продолжении хотя бы одного
из отрезков АВ, АС или
ВС.
На местности колышками обозначены две точки одной прямой и две точки другой прямой. Как найти точку пересечения этих прямых?
Пользуясь зрительным
эффектом, указанным в
решении задачи
выше, легко найти точку пересечения
прямых в том случае, если сразу ясно,
что она лежит на продолжениях обоих
отрезков с концами в данных точках. В
противном случае достаточно сначала
проложить одну или обе прямые так, чтобы
на каждой из них с одной стороны от
предполагаемой точки пересечения были
отмечены по две точки.
На местности обозначены точки А и В. Найдите точку С, симметричную точке А относительно точки В.
Продолжим прямую АВ за точку В и отложим на ней точку С на расстоянии АВ от точки В. Для этого понадобится измерить в подходящих единицах длины расстояние между точками А и В.

Рис. 1
На местности обозначены три данные точки А, В и С, не лежащие на одной прямой. Через точку А проложите прямую, параллельную прямой ВС.
Продолжим прямую АВ за точку В и отложим на ней точку D на расстоянии АВ от точки В (рис. 1). Продолжим прямую CD за точку С и отложим на ней точку Е на расстоянии CD от точки С. Тогда отрезок АЕ будет параллелен отрезку ВС, являющемуся средней линией треугольника ADE. Предложенный способ выгодно отличается от множества других способов, опирающихся па измерение углов или на деление отрезка пополам.

Рис. 2
Найти середину отрезка АВ, заданного на местности двумя точками А и В.
Возьмем какую-либо точку С, не лежащую на прямой АВ. Продолжим прямую ВС за точку С и отложим на ней точку D на расстоянии 2ВС от точки С (рис. 2). Продолжим прямую AD за точку А и отложим на ней точку Е на расстоянии AD от точки А. Искомая середина F отрезка АВ лежит на его пересечении с прямой ЕС. Действительно, отрезок СЕ параллелен отрезку AG — средней линии треугольника CDE (здесь G — середина отрезка CD). Так как, кроме того, BC=CG, то CF — средняя линия треугольника ABG, откуда AF=FB.
Быть может, приведенный способ нахождения середины отрезка покажется не самым простым. Однако его преимущества хорошо проявляются в следующей задаче, решив которую ученик сможет делить отрезок не только на две, но и на любое число равных частей.
Отрезок, заданный на местности двумя точками А и В, требуется разделить в отношении, в котором находятся длины двух отрезков KL и MN, заданных на местности точками K, L и М, N. Как это сделать?
Построение точки F , делящей отрезок АВ в отношении AB:BF=KL:MN, произведем аналогично построению середины отрезка АВ , описанному в решении задачи 1.5. Отличие будет состоять только в том, что точку С выберем на расстоянии KL от точки В, а точку D – на расстоянии 2MN от точки С (рис.2). В этом случае прямая ЕС по-прежнему будет параллельна отрезку AG, а значит, разделит отрезок АВ в том же отношении, в котором она делит отрезок BG.

Рис. 3
На местности обозначены три точки А, М и N, не лежащие на одной прямой. Проложить биссектрису угла MAN?
Выберем на одной стороне данного угла (рис. 3) точки В и С, а на другой точки D и Е так, чтобы выполнялись равенства
AB=ВС=АD=DE
Найдем точку О пересечения прямых BE и CD. Тогда прямая АО будет искомой биссектрисой, поскольку в равнобедренном треугольнике АСЕ биссектриса AF является одновременно и медианой, а значит, проходит через точку О пересечения медиан ЕВ и CD.
Проложите на местности какую-нибудь прямую, перпендикулярную прямой, проходящей через заданные точки А и В. Как проложить перпендикуляр к прямой АВ, проходящий через данную точку Н?
Продолжим прямую АВ за точку В и отложим на ней точку С на расстоянии АВ от точки В. Кроме того, отложим на том же расстоянии от точки В еще две точки D и Е в двух разных, но не противоположных направлениях (рис. 4). Найдем точку F пересечения прямых АЕ и CD, а также точку G пересечения прямых AD и СЕ.
Прямая
FG
перпендикулярна
прямой АВ.
Действительно,
точки А, Е,
D
и С
равноудалены от точки В,
т.е. лежат
на одной окружности с центром В
и диаметром
АС.
Следовательно,
вписанные углы ADC
и АЕС
прямые,
поэтому AD
и СЕ
— высоты
треугольника AFC.
Так как
все три высоты этого треугольника
пересекаются в одной точке G,
то прямая
FG
перпендикулярна
стороне АС.
Для того
чтобы проложить перпендикуляр к прямой
АВ через
данную точку Н,
достаточно проложить через эту точку
прямую, параллельную прямой FG.

Рис. 4 Рис. 5
На местности
обозначены точки А
и В.
Найдите
точки С, D
и Е,
для которых
выполнены равенства >
>=45є,
>
>є
, >
>є.
Проложим
перпендикуляр к прямой АВ,
пересекающий в какой-то точке луч АВ.
Без
ограничения общности считаем для
удобства, что эта точка пересечения и
есть точка В.
На
перпендикуляре по разные стороны от
точки В
отложим
точки С и
F
(рис. 5),
удаленные от точи В
на расстояние
АВ. Тогда
угол ВАС
равен >
>
(из равнобедренного прямоугольного
треугольника ABC).
На прямой
AF
отложим
точку G
на расстоянии
АВ от
точки А,
затем на
прямой ВС
отложим
точку D
на расстоянии
СО от точки В.
Тогда угол
BAD
равен 60°,
так как по теореме Пифагора для
прямоугольных треугольников ABC,
ACG
и АВD
имеют место
равенства
>
>
>
>
AD=>
>.
Для построения точки Е теперь остается проложить биссектрису угла ВАD.
§2.
Измерения при различных ограничениях
Для нахождения расстояний, высот, глубин или других размеров реальных объектов не всегда можно обойтись непосредственным их измерением — во многих случаях такие измерения сопряжены с определенными трудностями, а то и вообще практически невозможны [5]. Однако в своей деятельности человеку приходится порой задумываться над тем, как все-таки можно определить интересующую его величину и как сделать это поточнее.
Основными измерительными «приборами», которые всегда имеются «под рукой», являются: шаг, пядь (размах пальцев), сажень (размах рук), уровень глаз (расстояние от земли до глаз) и т. д. Не менее важно следить за надежностью способа, т.е. зависимостью его точности от различных погрешностей, которые неизбежно возникают при работе на местности [11].

Определить
длину своего шага, чтобы впоследствии
измерять расстояния шагами достаточно
легко. Самый простой и, казалось бы,
точный способ состоит в том, чтобы
сделать один шаг и измерить расстояние
между крайними (наиболее удаленными)
точками двух ступней. Такой способ явно
не годится по двум причинам. Во-первых,
расстояние между крайними точками
ступней не равно длине шага, а превосходит
ее на длину одной ступни (правильнее
было бы измерить расстояние, например,
между носками двух ступней). Во-вторых,
при всем старании вряд ли можно сделать
один обычный шаг — для этого вам нужно
оказаться в состоянии обычной ходьбы.
Для определения длины шага достаточно пройти какое-либо заранее известное и не слишком короткое расстояние, скажем между соседними километровыми или стометровыми столбиками на шоссе, и поделить это расстояние на количество сделанных шагов.
Отметим,
что средняя длина шага взрослого человека
примерно равна половине его роста,
считая до уровня глаз.
Измеряя какие-либо длины пальцами руки, лучше не отрывать руку от измеряемой поверхности, а приставлять один палец к другому, который затем снова вытягивать в заданном направлении (описанный процесс отдаленно напоминает движение гусеницы). Чтобы найти длину такого размаха своих пальцев, проще всего отложить вдоль какой-нибудь прямой одни или несколько десятков размахов пальцев, а затем поделить на их количество отложенную в результате длину.
§ 3.Преподавание математики в сельской школе
В особое внимание нуждается сельская школа. Ее состояние и уровень работы существенно влияет на социальное развитие села, закрепление молодежи, повышение культурного уровня сельского населения, решение демографических проблем в деревни. Перед сельской школой ставится задача воспитания у учащихся стремления активно участвовать в подъеме сельскохозяйственного производства [19].
Большие возможности естественной органической связи учебного материала с сельскохозяйственным производством имеются у учителя математики. Такая связь может осуществляться различными способами: сообщение учителя на уроках о применении изучаемых вопросов в сельскохозяйственной практике, решение задач прикладного характера, проведение практических работ и экскурсий.
Традиционной и наиболее естественной формой связи учебной работы по математике с сельскохозяйственным производством является решение на уроках задач из сельскохозяйственной практики. С другой стороны, практические задачи способствуют формированию правильного понимания природы математики, развитию материалистического мировоззрения.
Свойства измерения отрезков находят применение на практике. Рассмотрим инструмент (демонстрирует модель—см рис 6,а), с помощью которого удобно производить проверку глубины вспашки. Называется инструмент бороздомером. Он состоит из двух линеек одинаковой длины неподвижной, оканчивающейся угольником, и подвижной. Для замера глубины пахоты бороздомер устанавливают вертикально угольником на непаханую поверхность поля, а подвижную линейку опускают на расчищенное дно борозды Верхний конец подвижной линейки показывает глубину борозды по шкале, нанесенной от верхнею конца неподвижной линейки. Докажем это.

Р
Рис. 6
С геометрической точки зрения нам дан отрезок AD (выполняется рис. 6,б) и точки В и С на нем, причем известно, что АС = = BD Требуется доказать, что CD = АВ.
Решение. Можно записать, что АС = АВ + ВС, BD = ВС + CD Так как А С = BD, то АВ + ВС = = ВС + CD. Отсюда и следует, что CD = АВ.
Свойства прямоугольного треугольника используются при конструировании различных приборов. Рассмотрим модель эклиметра — прибора для измерения на местности величины угла наклона прямой Принцип действия его таков (демонстрируется модель — см. рис. 7, ОР — нить с грузиком). Нить ОР показывает на шкале величину искомого угла. Докажем это. Изобразим прямую SO (рис. 7).
Рис.
7
Угол наклона прямой – это угол, который она образует с горизонтальной прямой. Нить с грузиком – отвес – занимает положение прямой, перпендикулярной горизонтальной прямой. Опустим из точки О перпендикуляр к прямой SB. Получится точка Р. Восстановив из точки О перпендикуляр к прямой SO, получим угол РОВ, величину которого показывает шкала прибора.
Итак, мы пришли к такой геометрической задаче:
Дано:>
>>
>.
Доказать.>
>
Решение. Так
как треугольник OPS
прямоугольный, то >
>>
>.
Согласно основному свойству измерения
углов >
>.
Поэтому >
>
отсюда и следует, что >
>
На рисунке 8 изображен
мерный циркуль, используемый
для измерения различных частей тела
животного. Шкала циркуля устроена так,
что в зависимости от величины х
угла АОВ (>
>,
когда шарики А и
В соприкасаются)
она показывает расстояние l
между шариками А
и В

Рис. 8
а) Найдите формулу для
градуирования шкалы циркуля (зависимость
l
от >
>x).
Решение. Из
прямоугольного треугольника АСО
имеем АС =
>
>.
Обозначив постоянное для данного
циркуля расстояние между точками О
и А через r
, получим:
>
>
б) У мерного циркуля фабричного изготовления r = 44 см, угол между кромками т и п в сомкнутом состоянии равен 50°. Какова максимальная величина, которую можно измерить этим циркулем?
Решение Предельный
случай измерения, когда кромки т
и п образуют
развернутый угол. При этом >
>.
Шкала фабричного прибора проградуирована до 75 см.
§4. Факультатив, как одна из форм проведения внеклассной работы по геометрии
Под внеклассной работой по математике понимаются необязательные систематические занятия учащихся с преподавателем во внеурочное время. Следует различать два вида внеклассной работы по математике:
- работа с учащимися, отстающими от других в изучении программного материала (дополнительные внеклассные занятия);
- работа с учащимися, проявляющими к изучению математики повышенный, по сравнению с другими, интерес и способности (собственно внеклассная работа в традиционном понимании смысла этого термина).
Факультативные группы работают на базе общего курса геометрии и не требуют перестройки системы обучения. Занятия такого рода – более массовая форма повышения математической подготовки школьников.
Факультативные занятия необходимо соотносить с основным курсом геометрии. Для достижения такой связи используются разнообразные приемы:
- систематизация, когда соответствующая факультативная тема изучается после того, как в основном курсе накоплен обширный материал, относящийся к данной теме;
- последовательное развертывание теории, когда в основном курсе имеется начальный этап ее построения, не доведенный до обобщающих результатов;
- развернутое описание приложений определенного метода, если в основном курсе они только упомянуты.
Занимаясь на факультативных занятиях, учащиеся имеют большую возможность подготовиться к олимпиадам, к выступлениям на школьных математических вечерах. Тем самым факультативы оказывают положительное воздействие на внеклассную работу.
Задачи, предлагаемые учащимся на факультативных занятиях, должны иметь познавательный интерес, привлекать и заинтересовывать учащихся, развивать в них изобретательность и мышление [24].
§5. Методика проведения факультативных занятий по теме «Решение задач на местности»
Главной целью факультативных занятий является углубление и расширение знаний, развитие интереса учащихся к предмету, развитие математических способностей, привитие школьникам интереса и вкуса к самостоятельным занятиям, воспитание и развитие инициативы и творчества, развитие определенных сторон мышления и черт характера учащихся. Также занятия содействуют профессиональной ориентации учащихся и помогают в подготовке к вступительным экзаменам.
Основные задачи факультативных занятий: учитывая интересы и склонности учащихся, расширить и углубить знания по предмету, обеспечить усвоение ими программного материала, ознакомить школьников с некоторыми общими идеями современной математики, раскрыть приложения математики на практике. Повторить учебный материал и систематизировать знания учащихся по планиметрии (подготовка к вступительным экзаменам). Показать приложения математики к решению практических задач. Профессиональная ориентация (математика, архитектура, землеустройство, кадастровое дело; формирование умений применять имеющиеся теоретические знания к решению задач.
Объектом исследования является организационно - педагогическая деятельность общеобразовательной школы в области факультативных занятий.
Предмет исследования - организация математических факультативов в средней общеобразовательной школе в свете реализации требований современной концепции образования.
Выдвинем гипотезу исследования: если систематически и целенаправленно включать в школьный курс геометрии разнообразный материал, то это повысит интерес учащихся к геометрии и разовьет их творческие способности.
Факультативный курс математики представляет собой систему нескольких тем, каждая из которых развивает некоторые из основных для школьной математики идей, понятий, методов [3].
Курс разработан для учеников старших классов и рассчитан на полугодие. Факультатив проводился в лицеи №10 г. Ставрополя.
Тематическое планирование.
1. Простейшие задачи, решаемые на местности 1ч
2. Задачи с измерениями при различных ограничениях 2ч
3. На равном расстоянии 1ч
4. Окружность 2ч
5. Тригонометрические функции 1ч
6. Неравенство треугольника и уравнение прямой 1ч
7. Подобие фигур 1ч
8. Правильные многоугольники 1ч
9. Центральный угол и дуга окружности 1ч
10. Площади фигур 1ч
11. Углы между прямыми и поскостями 1ч
12. Многогранники 1ч
13. Тела вращения 1ч
14. Метод геометрических мест 1ч
Занятие 1. Тема: Простейшие задачи, решаемые на местности
Цель урока: научиться применять теоретические знания для решения задач с практическим содержанием, показать красоту и значимость геометрии.
Оборудование: доска, мел, линейка, транспортир. Желательно проводить в школьном дворе при наличии оборудования.
Структура урока:
1. Организационный момент – 1-3 минуты.
2. Актуализация знаний – 7- минут.
3. Объяснение нового материала – 20 минут.
4. Обсуждение с учащимися прошедшего урока – 5 минут.
5. Выдача домашнего задания – 5 минут.
ХОД УРОКА
1. Организационный момент. Добиться внимания учеников, проверить готовность к уроку.
2. Актуализация знаний: повторение теории
а) Признаки подобия треугольников.
б) Пропорциональные отрезки в круге.
3. Объяснение нового материала.
Слово учителя о цели этого урока
Геометрия – это не просто наука о свойствах треугольников, параллелограммов, окружностей. Геометрия – это целый мир, который окружает нас с самого рождения. Ведь все, что мы видим вокруг, так или иначе относится к геометрии, ничто не ускользает от ее внимательного взгляда. Геометрия помогает человеку идти по миру с широко открытыми глазами, учит внимательно смотреть вокруг и видеть красоту обычных вещей, смотреть и думать, думать и делать выводы.
Выступление учителя с кратким сообщением о Конан Дойле
Всемирно известный писатель Артур Конан Дойль был врачом. Но он очень хорошо, видимо, знал геометрию. В рассказе “Обряд дома Месгрейвов” он описал, как Шерлоку Холмсу нужно было определить, где будут конец тени от вяза, который срубили. Он знал высоту этого дерева ранее. Шерлок Холмс так объяснил свои действия: “… я связал вместе два удилища, что дало мне шесть футов, и мы с моим клиентом отправились к тому месту, где когда-то рос вяз. Я воткнул свой шест в землю, отметил направление тени и измерил ее. В ней было девять футов. Дальнейшие мои вычисления были уж совсем несложны. Если палка высотой в шесть футов отбрасывает тень в девять футов, то дерево высотой в шестьдесят четыре фута отбросит тень в девяносто шесть футов, и направление той и другой, разумеется, будет совпадать”.
Задача 1. Измерение высоты дерева
Для того, чтобы измерить высоту дерева BD, приготовили прямоугольный треугольник АВ>1>C>1> с углом А = 45о и, держа его вертикально, отошли на такое расстояние, при котором, глядя вдоль гипотенузы АВ>1>, увидели верхушку дерева В. Какова высота дерева, если расстояние АС = 5,6м, а высота человека 1,7м?
Дано:
АВ>1>С>1>>,
>
С
= 90о,
А
= 45о. АС =
5,6м h человека = 1,7м.
Найти: BD
Рис. 9
Решение:
1) Так как
А
общий для обоих треугольников, а
АС>1>В>1>
и
АСВ
(по условию) прямые (то есть равны по
90о), то
АС>1>В>1>
и
АСВ
– подобные (по признаку подобия о 2-х
углах).
2)
Тогда
АВ>1>C>1>
=
АВС
= 45о,
=> ВС = АС
= 5,6м, но к получившейся
длине мы должны еще прибавить рост
человека, то есть длина дерева BD=7,3м.
Ответ: 7,3м.
Задача 2. Неприятельская вышка
Открытый участок дороги находится на полосе АВ шириной в 50м; неприятельский наблюдательный пункт находится на верху колокольни высотой MN = 22м. Какой высоты следует сделать вертикальную маску КВ на расстоянии 500м от колокольни, чтобы закрыть дорогу от наблюдателя противника?

Рис. 10
Дано:
AMN,
АВ = 50м, MN
= 22м, BN = 500м.
Найти: КВ.
Решение:
АКВ
~
АМN
(по 2-м углам:
А
– общий,
АВК
и
AMN
– прямые, а если треугольники
подобны, то все его элементы тоже
подобны. То есть,
,
а
.
Следовательно,
м.
Ответ: 2 м.
Задача 3. Земля как на ладони, когда ты в небе на воздушном шаре
Как далеко видно с воздушного шара, поднявшегося на высоту 4 км над Землей (радиус Земли примерно равен 6370 км)?
Решение:

Рис. 11
По теореме о касательной
к окружности, касательная перпендикулярна
радиусу, проведенному в точку касания,
то есть
OTM
= 90о. MO
= 6370 +4= = 6374 км, тогда по теореме Пифагора:
MT 2 + OT 2 = MO 2
MT 2 = MO 2 – OT 2

MT = 112,9 км
Ответ: 112,9 км
Задача 4. Определение расстояния до кораблей в море
Решения отдельных старинных задач практического характера могут найти применение и в настоящее время, а поэтому заслуживают внимания. История геометрии хранит немало приемов решения задач на нахождение расстояний. Определение расстояний до кораблей, находящихся в море, – одна из таких задач, решаемая двумя способами.
Найти расстояние от точки А, находящейся на берегу до корабля
Дано:
А
=
1;
В
=
2;
АВ = а.
Найти: АК.
Решение:
1-й способ. Пусть корабль находится в точке К, а наблюдатель в точке А. Требуется определить расстояния КА. Построив в точке А прямой угол, необходимо отложить на берегу два равных отрезка АВ = ВС. В точке С вновь построить прямой угол, причем наблюдатель должен идти по перпендикуляру до тех пор, пока не дойдет до точки D, из которой корабль К и точка В были бы видны лежащими на одной прямой. Прямоугольный треугольники ВСD и ВАК равны, следовательно, CD = AК, а отрезок CD можно непосредственно измерить.

Рис. 12
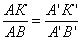
Второй способ, получивший название метода триангуляции, нашел применение в астрономии. С его помощью измерялись расстояния до небесных тел.

Рис. 13
Этот метод состоит из 3-х этапов:
Измерение углов 1 и 2 и расстояния АВ.
Построение
А'В'К'
с углами 1 и 2 при вершинах А'
и В'
соответственно.
Учитывая
подобие треугольников АВК,
А'В'К' и
равенство
,
по известным длинам отрезков АВ,
А'К' и А'В'
нетрудно найти длину отрезка АК.

4. Итоги урока.
На уроке были рассмотрены наиболее актуальные задачи, связанные с геометрическими измерениями на местности – определением высоты предмета, нахождением расстояния до недоступных предметов. Приведенные задачи имеют значительный практический интерес, закрепляют полученные знания по геометрии и могут использоваться для практических работ.
5. Задание на дом:
№1. Гора Эльбрус (на Кавказе) поднимается над уровнем моря на 5600м. Как далеко можно видеть с вершины этой горы?
№2. М
– наблюдательный пункт высотой h метров
над Землей; радиус Земли R,
MT = d
есть наибольшее видимое расстояние.
Доказать, что
.
№ 3. Найти расстояние от острова, находящегося на озере, до пункта В на берегу. (Остров О принять за точку).

Рис. 14
Занятие 2. Тема: Задачи с измерениями при различных ограничениях.
Цель урока: научиться применять имеющиеся теоретические и практические знания для решения задач на местности. Изучить изготовления приборов для измерения высоты. Познакомиться с различными способами решения задач.
Оборудование: дощечка или кусок коры, булавки, ниточка с грузиком, записная книжка, карандаш, зеркало, шест.
Структура урока:
1. Организационный момент – 1-3 минуты.
2. Актуализация знаний – 7 минут.
3. Объяснение нового материала – 20 минут.
4. Обсуждение с учащимися прошедшего урока – 5 минут.
5. Выдача домашнего задания – 5 минут.
Ход урока:
1. Организационный момент. Добиться внимания учеников, проверить готовность к уроку.
2. Актуализация знаний.
а) свойства равнобедренного треугольника;
б) подобие треугольников.
3. Объяснение нового материла.
Существуют различные способы измерения высоты деревьев [6]. Рассмотрим некоторые из них.
1.Самый простой способ состоит в том, что в солнечный день можно пользоваться любой тенью, какой бы длины она ни была. Измерив свою тень или тень какого-нибудь шеста, вычисляют искомую высоту из пропорции (рис. 15)
AB :ab=BC:bc
т.е. высота дерева во столько раз больше вашей собственной высоты (или высоты шеста), во сколько раз тень дерева длиннее тени человека (или тени шеста). Это вытекает из геометрического подобия треугольников ABC и abc (по двум углам).

Рис. 15
Вполне возможно обойтись при измерении высоты и без помощи теней. Таких способов много.
2. Можно воспользоваться свойствами равнобедренного прямоугольного треугольника, обратившись к весьма простому прибору, который легко изготовить из дощечки и трех булавок. На дощечке любой формы, даже на куске коры, если у него есть плоская сторона, намечают три точки – вершины равнобедренного прямоугольного треугольника – и в них втыкают торчком по булавке (рис. 16).
Рис. 16
Если нет под рукой чертежного треугольника для построения прямого угла, нет и циркуля для отложения равных сторон, то можно перегнуть любой лоскут бумаги один раз, а затем поперек первого сгиба еще раз так, чтобы обе части первого сгиба совпали, - и получим прямой угол. Та же бумага пригодиться и вместо циркуля, чтобы отмерить равные расстояния.
Отойдя от измеряемого
дерева, нужно держать прибор так, чтобы
один из катетов треугольника был
направлен отвесно, для чего можно
пользоваться ниточкой с грузиком,
привязанным к верхней булавке. Приближаясь
к дереву или удаляясь от него, всегда
можно найти такое место А
(рис.17), из которого, глядя на булавки а
и с, можно
увидеть, что они покрывают верхушку С
дерева: это значит, что продолжение
гипотенузы ас
проходит через точку С.
Тогда, очевидно, расстояние аВ
равно СВ, так
как угол а=>
>.
Рис. 17
Следовательно, измерив расстояние аВ (или на ровном месте, одинаковое с ним расстояние АD) и прибавив BD, т.е. возвышение аА глаза над землей, получите искомую высоту дерева.
3. Можно обойтись даже и
без булавочного прибора. Здесь нужен
шест, который придется воткнуть отвесно
в землю так, чтобы выступающая часть
как раз равнялась росту человека. Место
для шеста надо выбирать так, чтобы,
лежа, как показано на рис. 18, было видно
верхушку дерева на одной прямой линии
с верхней точкой шеста. Так как треугольник
Abc
– равнобедренный и прямоугольный, то
угол А=>
>
и, следовательно, АВ
равно ВС, т.е.
искомой высоте дерева.

Рис. 18
4. В качестве прибора для приблизительной оценки недоступной высоты можно использовать карманную записную книжку и карандаш. Она поможет построить в пространстве те два подобных треугольника, из которых получается искомая высота.

Рис. 19
Книжку надо держать возле глаз так, как показано на упрощенном рис. 19. Она должна находиться в отвесной плоскости, а карандаш выдвигаться над верхнем обрезом книжки настолько, чтобы, глядя из точки а видеть вершину В дерева покрытой кончиком b карандаша. Тогда вследствие подобия треугольников abc и аВС высота ВС определяется из пропорции
BC : bc=aC:ac
Расстояние bc, ac и аС измеряются непосредственно. К полученной величине ВС надо прибавить еще длину CD, т.е. – на ровном месте – высоту глаза над почвой. Так как ширина ас книжки неизменна, то если всегда становиться на одном и том же расстоянии от измеряемого дерева, высота дерева будет зависеть только от выдвинутой части bc карандаша.. Поэтому можно заранее вычислить, какая высота соответствует тому или иному выдвижению, и нанести эти числа не карандаш. Записная книжка превратиться тогда в упрощенный высотомер.
5.Своеобразный способ определения высоты дерева при помощи зеркала. На некотором расстоянии (рис. 20 ) от измеряемого дерева, на ровной земле в точке С кладут горизонтально зеркальце и отходят от него назад в такую точку D, стоя в которой наблюдатель видит в зеркальце верхушку А дерева. Тогда дерево (АВ) во столько раз выше роста наблюдателя (ЕD), во сколько раз расстояние ВС от зеркала до дерева больше расстояния СD от зеркала до наблюдателя. Почему?

Рис. 20
Решение:
Способ основан на законе отражения света. Вершина А (рис. 21 ) отражается в точке А’ так что АВ=А’В. Из подобия же треугольников ВСА’ и CED следует, что
A’B:ED=BC:CD.
В этой пропорции остается лишь заменить А’В равным ему АВ, чтобы обосновать указанное соотношение.

Рис. 21
Этот удобный и нехлопотливый способ можно применять во всякую погоду, но не в густом насаждении, а к одиноко стоящему дереву.
4. Итоги урока.
На уроке были рассмотрены различные способы измерения высоты деревьев. Изучены различные приборы для измерения высоты деревьев. Полученные знания достаточно легко применяются на практике.
5. Домашнее задание.
№1. Как с помощью зеркала можно измерить высоту дерева, если к нему невозможно подойти вплотную?
№2. В 40 метрах одна от другой растут две сосны. Высота одной 31м, другой – 6м. Как вычислить расстояние между их верхушками?
§6. Педагогический эксперимент
По проблеме исследования был проведен естественно – педагогический эксперимент.
Эксперимент проходил в три этапа:
>
>1
этап – констатирующий эксперимент.
При его проведении были выявлены знания
учащихся по теме «Использование и
измерений и решение задач на местности
при изучении некоторых тем школьного
курса геометрии», при этом использовались
различные формы и методы выявления
знаний, такие как: анкетирование, беседы
с учащимися и учителями, наблюдение за
учащимися.
2 этап – поисковый. На этом этапе производился отбор заданий для проведения факультатива. В результате был подобран комплекс заданий, при работе с которым учащиеся знакомятся с задачами, решаемыми на местности, осуществляется повторение и систематизация знаний школьного курса геометрии, пропедевтика ряда геометрических понятий, повышается интерес школьников к математике, вырабатывается осознанный подход к применению знаний на практике.
3 этап – обучающий (формирующий), когда была проведена экспериментальная проверка знаний, полученных в ходе проведения факультативных занятий, в виде опроса.
На третьем этапе эксперимента проводилась проверка гипотезы.
Выводы: факультативные занятия способствуют углублению и расширению знаний, развитию интереса учащихся к предмету, развитию математических способностей, привитию школьникам интереса и вкуса к самостоятельным занятиям, воспитанию и развитию инициативы и творчества, развитию определенных сторон мышления и черт характера учащихся. Также занятия содействуют профессиональной ориентации учащихся. На факультативах осуществляется подготовка к выпускным экзаменам за счет повторения теории и решения различных задач. У учащихся в процессе изучения темы повысился интерес к геометрии, чего не наблюдается в классах, где факультативные занятия не проводились.
Таким образом, эксперимент подтвердил выдвинутую гипотезу: если систематически и целенаправленно включать в школьный курс геометрии разнообразный материал, то это повысит интерес учащихся к геометрии и разовьет их творческие способности.
ГЛАВА 2
Существует множество различных способов производить измерения при помощи незамысловатых приборов и даже без всяких приспособлений.
Самый легкий и самый древний способ – без сомнения, тот, который греческий мудрец Фалес за шесть веков до нашей эры определил в Египте высоту пирамиды [10]. Он воспользовался ее тенью. Фалес, – говорит предание, - избрал день и час, когда длина собственной его тени равнялась его росту; в этот момент высота пирамиды должна также равняться длине отбрасываемой ею тени. Конечно, длину тени надо было считать от средней точки квадратного основания пирамиды; ширину этого основания Фалес мог измерить непосредственно.
Фалес жил задолго до Евклида, автора замечательной книги, по которой обучались геометрии в течение двух тысячелетий после его смерти. Заключенные в ней истины не были открыты в эпоху Фалеса. А чтобы воспользоваться тенью для решения задачи о высоте пирамиды, надо было знать уже некоторые геометрические свойства треугольника, - именно следующие два:
1) что углы при основании равнобедренного треугольника равны, и обратно - что стороны, лежащие против равных углов треугольника, равны между собою;
2) что сумма углов всякого треугольника (или по крайней мере прямоугольного) равна двум прямым углам.
Только вооруженный этим знанием Фалес вправе был заключить, что, когда его собственная тень равна его росту, солнечные лучи встречают ровную почву под углом в половину прямого, и, следовательно, вершина пирамиды, середина ее основания и конец ее тени должны обозначать равнобедренный треугольник. Однако способ Фалеса в указанном виде применим не всегда.
§1. Задачи с измерениями при различных ограничениях
При решении задач, связанных с измерениями на местности не всегда применимы непосредственные геометрические измерения. Существуют трудности, связанные с такими измерениями. При решении задач необходимо, чтобы используемые способы были осуществимы на практике и применялся минимум необходимых средств для построений, измерений и вычислений.
1.1. Выясним как по длине тени, падающей от дерева в солнечный день, определить высоту этого дерева?
Так как лучи солнца можно считать практически параллельными, то тень от дерева во столько же раз длиннее тени от какого-либо шеста, во сколько раз дерево выше шеста. Поэтому, установив вертикально шест известной высоты а и измерив отношение k длины тени от дерева к длине тени от шеста, можно вычислить искомую высоту дерева ka.
Заметим, что указанный способ не слишком надежен, так как отбрасываемая при свете солнца тень не имеет отчетливой границы из-за присущей ей неясно очерченной каймы полутени.
1.2. В городе установлен большой памятник. Имеется почтовая карточка с фотографией этого памятника, сделанной с почтительного расстояния от него Можно ли воспользоваться этим снимком для определения высоты памятника?
Для приблизительного нахождения высоты памятника по снимку можно выбрать две точки, расположенные у фундамента этого памятника, и измерить расстояние между ними на фотографии и на местности (второе расстояние нас интересует скорее не в чистом виде, а как проекция на прямую, перпендикулярную направлению, в котором был сфотографирован памятник). Найдя отношение k первого из расстояний ко второму, мы узнаем масштаб снимка, после чего останется замерить на нем высоту памятника и поделить ее на k..
1.3. Необходимо измерить на местности расстояние между двумя объектами, разделенными зданием или другим препятствием, не позволяющим непосредственно проложить прямую между этими объектами. Как тем не менее можно произвести указанное измерение?
Рис. 22.
Пусть А и В — данные точки на местности, между которыми определяется расстояние. Выберем точку С, из которой видны обе точки А и В (рис. 22). На продолжении отрезка АС за точку С отметим точку D на расстоянии АС от точки С. Аналогично на продолжении отрезка ВС за точку С отметим точку Е, для которой СЕ=ВС. Тогда отрезки ED и АВ равны, поскольку они симметричны относительно точки С.
Если же из-за недостатка места точки Е и D выйдут за пределы досягаемости, то их можно в определенное число раз приблизить к точке С. Тогда отрезок ED будет в то же число раз короче отрезка АВ, так как треугольники ABC и DEC будут подобны.
1.4. Можно ли воспользоваться для измерения глубины озера торчащим из воды камышом, не вырывая его?
Слегка отклонив камыш и держа его в натянутом состоянии, замерим расстояние а между точками А и В, в которых камыш пересекает поверхность воды соответственно в вертикальном и наклоненном положении (рис. 23). Возвратим камыш в исходное состояние и определим высоту b над водой, на которую поднимется при этом точка В наклоненного камыша, заняв исходное положение С. Тогда, обозначив через D основание камыша, а через х — искомую глубину AD, из прямоугольного треугольника ABD находим
>
>
откуда >
>
и >
>.

Рис. 23 Рис. 24
1.5. Каким способом можно измерить высоту дерева, не взбираясь на него и не прибегая к помощи теней?
Установив вертикальный шест на некотором расстоянии от дерева, нужно стать в такую точку, из которой верхний конец шеста загораживает в точности верхушку дерева (рис. 24). Тогда, если высота части шеста над уровнем глаз равна а, а расстояния от глаз по горизонтали до шеста и до дерева равны b и у соответственно, то из подобия треугольников можно найти высоту х дерева над уровнем глаз. Наконец, зная свой рост h до уровня глаз, получаем полную высоту дерева
>
>.
Заметим, что вычисления и измерения можно упростить, если добиться равенства b=a, которое достигается выбором места установки шеста. Кроме того, можно лечь на землю, что позволит считать h=0, а в результате высота дерева окажется равной x=y.
1.6. Существует огромный пруд круглой формы, обойти который по окружности нельзя из-за имеющихся на его берегу различных препятствий в нескольких местах. Кроме того, представляется затруднительным измерять расстояние между какими-либо точками, если только соединяющий их отрезок проходит над водой. Можно ли при таких ограничениях измерять диаметр пруда?
Рис. 25
Встав в точку А на некотором расстоянии от пруда (рис. 25), можно расположить перед собой горизонтальную палку длины а так, чтобы расстояния от обоих ее концов до одного глаза (второй глаз при этом лучше закрыть) были равны одному и тому же значению b , а сами концы палки зрительно совместились с крайними точками пруда, видимыми из точки А. Тогда, измерив расстояние у от А до ближайшей точки пруда по прямой, проходящей через середину палки, можно вычислить радиус х пруда, а значит, и его диаметр 2х. Действительно, из подобия соответствующих прямоугольных треугольников находим
>
>,
откуда
2bx=ax+ay,
т.е. x=y>
>.
Заметим, что если добиться равенства b=а (что достигается выбором точки А), то коэффициент при у в последней формуле будет равен 1, а искомый диаметр пруда окажется равным 2х=2у.
1.7. Как узнать, на какой высоте находится шпиль, расположенный на здании, внутри и вблизи которого измерения затруднительны?
Необходимо установить вертикальный шест на некотором расстоянии от здания и станем в такую точку, из которой

Рис. 26
верхушка шпиля зрительно совмещается с верхним концом шеста (рис. 26). Затем, пройдя некоторое расстояние в направлении от здания по прямой, на которой лежит первая точка и проекция А шпиля на горизонтальную плоскость, еще раз проделайте такую же операцию. Пусть высота шеста над уровнем глаз равна а, расстояние от глаз до шеста в первом положении оказалось равным b , а во втором с. Тогда, измерив расстояние у между точками В и С, в которых мы стояли в первом и во втором случаях, можно сосчитать высоту х шпиля над уровнем глаз. В самом деле, обозначим через z расстояние между точками А и В. Из подобия соответствующих треугольников имеем
>
>
>
>,
откуда >
>
>
>
и >
>,
т.е.
>
>
Коэффициент при у в последнем равенстве можно сделать равным 1, если в первом положении шеста добиться равенства b—а, а во втором — равенства с=2а.
1.8. Как находясь на берегу реки измерить ее ширину, не имея возможности перебраться на другой берег. Для этого необходимо отыскать глазами на противоположном берегу реки близко к воде какой-либо заметный ориентир А — камень, деревце и т. п. — и отметить на своем берегу точку В, расстояние от которой до точки А представляет собой, по-вашему, ширину реки. Как измерить длину отрезка АВ?
Выберем точку С на продолжении прямой АВ за точку В, а также точку D, не лежащую на прямой АВ (рис. 27). Затем выберем точки Е и F на продолжениях прямых BD и CD соответственно за точку D так, чтобы выполнялись равенства BD=DE, CD=DF. Наконец, найдем точку G пересечения прямых EF и AD. Тогда искомое расстояние между точками А и В будет равно длине отрезка EG. Действительно, из равенства треугольников BDC и EDF (по двум сторонам и углу между ними) имеем равенство углов CBD и FED. Поэтому треугольники BAD и EGD равны (по стороне и двум прилежащим к ней углам), а значит, равны и их соответствующие стороны АВ и GE.

Рис. 27 Рис. 28
1.9. Необходимо узнать расстояние до высокого здания, которое можно увидеть прямо со двора дома Естественно, в городских условиях непосредственно пройти к зданию по прямой линии вам не удастся. Более того, геометрические построения можно осуществлять лишь на сравнительно небольшой площадке перед домом. Укажем способ для определения искомого расстояния.
Для нахождения расстояния от данной точки В до недоступной точки А можно использовать построения, аналогичные приведенным в решении задачи 1.8. с той лишь разницей, то точки Е и F на рис. 27 следует выбрать ближе к точке D, т. е. на расстоянии, в одинаковое число раз меньшем длин отрезков BD и CD соответственно. Во столько же раз отрезок GE окажется меньшим отрезка АВ, что вытекает из подобия треугольников BAD и EGD.
1.10. Человек находится на одном берегу реки, а на другом, недоступном для него берегу расположены два объекта. Как измерить расстояние между ними?
Пусть А и В — недоступные точки, между которыми надо найти расстояние. Выберем на некоторой прямой три точки D, Е и F так, чтобы выполнялось равенство DE= —EF (рис. 28). При этом заранее побеспокоимся о том, чтобы точка С пересечения прямых AF и BD оказалась доступной и лежала с той же стороны от прямой DF, что и отрезок АВ: этого можно достичь уменьшением отрезка DF и переобозначением его концов. На продолжении отрезка СЕ за точку Е отметим точку G на расстоянии СЕ от точки Е. Далее найдем точку Н пересечения прямых DG и АЕ, а также точку К, пересечения прямых FG и BE. Тогда искомое расстояние будет равно КН. Действительно, при преобразовании симметрии относительно центра Е точка С переходит в точку G, точка D — в точку F, прямая CD — в прямую GF, прямая BE — в себя, а точка В пересечения прямых CD и BE — в точку К пересечения GF и BE. Аналогично точка А при этом преобразовании переходит в точку Н, поэтому отрезок НК симметричен отрезку АВ относительно точки Е.
§2. На равном расстоянии
В настоящем параграфе рассматривается несколько практических задач, в которых нужно использовать геометрический материал для нахождения точек или линий на местности из соображений равенства каких-либо расстояний. Построения, которые понадобятся для решения этих задач, должны быть по возможности более простыми. Если они не потребуют никаких средств, выходящих за рамки простейшей геометрии на местности, то такие построения можно будет осуществить в обычных условиях без использования сколько-нибудь сложных измерительных приборов [2]. В противном случае для реализации построений можно изобразить исходную конфигурацию на плане и, решив задачу на бумаге с помощью циркуля и линейки, перенести результат на местность.
Ниже предполагается, что все населенные пункты имеют незначительные размеры и могут быть приняты в задачах за точки, а магистрали, каналы и железные дороги являются прямыми и имеют пренебрежимо малую ширину, т.е. могут быть представлены как прямые линии.
Задачи
2.1. Невдалеке от двух населенных пунктов проходит шоссе. В каком месте этого шоссе нужно построить автозаправочную станцию, чтобы расстояния от нее до обоих пунктов были одинаковыми?
Обозначим через А и В данные в задаче населенные пункты и проведем на местности серединный перпендикуляр к отрезку АВ. Так как все точки этого перпендикуляра равноудалены от пунктов А и В и никакие другие точки этим свойством не обладают, то автозаправочную станцию нужно построить в точке пересечения перпендикуляра с шоссе (если такая точка найдется).
2.2. Жильцы трех домов решили совместными усилиями построить колодец. Какое место для колодца следует выбрать, чтобы все три расстояния от него до домов были одинаковыми?
Пусть А, В и С — точки расположения трех данных домов. Проведем серединные перпендикуляры к отрезкам АВ и ВС. Тогда точка О их пересечения будет единственной точкой, равноудаленной от точек А, В и С, поскольку для этой точки выполнены равенства АО=ОВ и ВО=ОС, а если точку О выбрать иначе, то для нее хотя бы одно из указанных равенств будет несправедливо. Заметим, что проведенные перпендикуляры могут и не пересечься, но только в случае, когда точки А, В и С лежат на одной прямой. Таким образом, искомое место для колодца — точку О — можно найти приведенным способом, но лишь при условии, что дома расположены не на одной прямой.
2.3. Две магистрали пересекаются под углом, внутри которого протекает речка. Где построить мост через речку, чтобы расстояния от него до обеих магистралей были одинаковыми?
Проведем биссектрису угла, образованного магистралями. Так как все точки этой биссектрисы равноудалены от магистралей и никакие другие точки внутри угла этим свойствам не обладают, то мост через речку нужно построить в точке пересечения биссектрисы с речкой (если такая точка найдется).
2.4. Две магистрали пересекают канал в разных местах. Где нужно разместить пионерский лагерь, чтобы расстояния от него до канала и до каждой магистрали оказались одинаковыми? Укажите место расположения пионерского лагеря, при котором эти расстояния минимальны?
Каждая магистраль, пересекаясь с каналом, образует две пары вертикальных углов, а четыре их биссектрисы составляют две прямые (рис. 29). Так как все точки этих биссектрис равноудалены от канала и соответствующей магистрали, а никакие другие точки этим свойством не обладают, то все возможные места расположения пионерского лагеря, лежат на пересечениях биссектрис углов при разных вершинах А и В.

Рис. 29
Таких точек пересечения может быть, вообще говоря, четыре, поскольку любая из двух прямых, проходящих через вершину А, может пересечься с любой из двух прямых, проходящих через вершину В. Если магистрали не параллельны, то никакие пары этих прямых не параллельны и все четыре точки пересечения реализуются, а наименьшее расстояние до канала (а значит, и до магистралей) достигается в той точке О пересечения биссектрис, которая лежит внутри треугольника, образованного каналом и магистралями. Действительно, из двух точек пересечения биссектрисы внутреннего угла треугольника при вершине А с биссектрисами углов при вершине В ближе к вершине А (а значит, и к каналу) лежит точка О. Аналогично из двух точек пересечения, лежащих на биссектрисе внутреннего угла треугольника при вершине В, также выбираем точку О. Наконец, последняя точка пересечения биссектрис внешних углов треугольника при вершинах А и В лежит вместе с точкой О на биссектрисе угла треугольника при вершине С, причем точка О лежит ближе к вершине С, следовательно, ближе к магистралям и, стало быть, к каналу. Если же магистрали параллельны, то четыре биссектрисы углов при вершинах А и В образуют параллелограмм (из-за симметрии всей картины относительно середины отрезка АВ), поэтому обе точки пересечения этих прямых равноудалены от канала.
2.5. В каком направлении через город должна проходить магистраль, чтобы два данных населенных пункта лежали по разные стороны от нее на одинаковом расстоянии?
Пусть через город А нужно провести магистраль, равноудаленную от пунктов В и С (рис. 30). Так как точки В и С должны лежать по разные стороны от искомой магистрали, то она должна пересечь отрезок ВС, причем точка пересечения должна совпадать с серединой этого отрезка (что вытекает из равенства соответствующих прямоугольных треугольников). Таким образом, искомая магистраль определена однозначно, если только сама точка А не совпадает с серединой отрезка ВС (в случае их совпадения годится любое направление).

Рис. 30
2.6. Как должна проходить магистраль, чтобы расстояния от нее до трех данных населенных пунктов были одинаковыми? Укажите положение магистрали, при котором эти расстояния минимальны.
Обозначим через А, В и С три данных населенных пункта. Если искомая магистраль может проходить так, чтобы все три точки лежали по одну сторону относительно магистрали (в том числе и на ней самой) и к тому же на равном расстоянии от нее, то точки А, В и С лежат на одной

Рис. 31
прямой, параллельной магистрали. В этом случае расстояние минимально, когда магистраль проходит через эти точки.
В противном случае две из данных точек, скажем А и В, должны лежать по одну сторону от искомой магистрали, а третья — по другую (рис. 31). Так как магистраль равноудалена от точек А и С, то она проходит через середину отрезка АС (см. решение задачи 2.5), а так как она равноудалена от точек В и С, то проходит и через середину отрезка ВС. Таким образом, мы доказали, что искомая магистраль проходит по одной из трех средних линий треугольника ABC.
Среди возможных расположений магистрали наименьшее расстояние до точек А, В и С, равное половине наименьшей высоты треугольника ABC, достигается, когда магистраль параллельна наибольшей стороне этого треугольника (точнее, какой-нибудь из наибольших сторон, если их несколько), поскольку наименьшая высота в треугольнике соответствует наибольшей стороне — ведь их произведение есть константа, равная удвоенной площади треугольника.
2.7. Магистраль пересекает канал под углом, внутри которого расположен населенный пункт. В каком направлении следует провести через этот пункт прямую дорогу, чтобы расстояния по ней до магистрали и до канала оказались одинаковыми?
Проведем прямую через точку А пересечения магистрали с каналом и через данный населенный пункт В. Рассмотрим точку С па этой прямой, удаленную от точки В на расстояние АВ (рис. 32). Тогда если искомая дорога пересекает магистраль и канал в точках D и Е соответственно, то точка В есть центр симметрии четырехугольника ADCE, который, стало быть является параллелограммом. Теперь сами точки D и Е можно найти, проведя через точку С прямые, параллельные каналу и магистрали, до пересечения их соответственно с магистралью (в точке D) и с каналом (в точке Е).

Рис. 32
2.8. Железная дорога пересекает канал под острым углом, внутри которого расположен населенный пункт. В каком месте железной дороги нужно расположить полустанок, чтобы расстояния от него до этого пункта и до канала оказались одинаковыми? Укажите положение полустанка, при котором эти расстояния минимальны.
Из точки А пересечения железной дороги с каналом через данный населенный пункт В проведем луч. Опустим из какой-либо точки О железной дороги перпендикуляр ОС к каналу и найдем на луче АВ точки, удаленные

Рис. 33
от точки О на расстояние ОС. Таких точек окажется две — это буду точки D и Е, лежащие на окружности с центром О и радиусом ОС. Для определенности будем считать, что DA>EA (рис. 33). Проведем отрезки BF и BG, соединяющие точку В с точками F и G на железной дороге и параллельные отрезкам DO и ЕО соответственно. Тогда из подобия соответствующих треугольников будет следовать, что точки F и G равноудалены от канала и от точки В, т. е. они укажут искомые места расположения полустанка. Никаких других возможностей для расположения полустанка нет, поскольку для любой искомой точки существует преобразование гомотетии относительно точки А, переводящее искомую точку в точку О, а точку В в точку луча АВ, удаленную от точки О на расстояние ОС, т. е. в одну из точек D или Е.
Минимальное расстояние до полустанка достигается в точке F, для которой имеем
>
>,
ибо >
>
и >
>.
2.9. Две магистрали пересекаются под углом, внутри которого расположен населенный пункт. Как выбрать место для устройства пруда круглой формы, чтобы расстояния от него до этого пункта и до каждой магистрали оказались одинаковыми?
Найдем точку О, в которой должен находиться центр пруда. Поскольку точка О равноудалена от двух данных магистралей, то она лежит на биссектрисе угла между ними. Таким образом, задача сводится к нахождению на данной прямой l – биссектрисе - точки О , равноудаленной от данной точки А – населенного пункта – и от другой данной прямой – той из магистралей, которая образует с прямой l угол, содержащей точку А (этот угол будет обязательно острым, так как он равен половине угла между магистралями). Такая ситуация разобрана в решении задачи 2.8.

Рис. 34
2.10. Как выбрать место для устройства пруда круглой формы, чтобы расстояния от него до данной магистрали и до каждого из двух данных населенных пунктов, расположенных с одной стороны от магистрали, были одинаковыми?
Найдем точку О, в которой должен находиться центр пруда. Поскольку точку О равноудалена от двух данных населенных пунктов А и В, то она лежит на серединном перпендикуляре к отрезку АВ (рис. 34). Таким образом, задача сводится к нахождению на данной прямой h (перпендикуляре) точки О, равноудаленной от точки А или точки В и от другой данной прямой l (магистрали). Если прямые h и l не параллельны и не перпендикулярны, то они в пересечении образуют острый угол, внутри которого расположена одна из точек А и В (ведь обе эти точки лежат по одну сторону от прямой l). Способ нахождения точки О в этом случае указан в решении задачи 2.8. Если прямые h и l перпендикулярны, то точка О должна быть равноудалена от точки их пересечения и от точки А, и этот случай также был разобран в решении задачи 2.1. Наконец, если прямые h и l параллельны, то точка 0 должна быть удалена от точки А на расстояние, равное расстоянию d между прямыми h и l. Поэтому искомая точка лежит на пересечении прямой h и окружности с центром А и радиусом d (таких точек пересечения будет две, поскольку расстояние от точки А до прямой h меньше d — ведь одна из точек А или В расположена между прямыми h и l).
§3. Задачи, предлагаемые учащимся сельской школы
ОКРУЖНОСТЬ
3.1.
Для возможности поворота автомобиля
(или колесного трактора) направляющие
(передние) колеса соединены с осью
шарнирами >
>>
>
и >
>
так, что плоскости колес
(рис. 35) могут поворачиваться
относительно оси. Во время правильного
поворота все четыре колеса катятся по
дугам концентрических окружностей,
причем проекции колес являются
касательными к этим окружностям [19].
Докажите, что правильный поворот
возможен лишь тогда, когда направляющие
колеса поворачиваются на разные углы.
Решение. Допустим
противное, что >
>
Тогда равны и вертикальные им углы>
>
и >
>,
а значит, по признаку параллельности
прямые >
>
и >
>параллельны.
С
другой стороны, поскольку углы>
>
и >
>
прямые, а прямые >
>
и >
>
— касательные к окружности качения,
то прямые >
>и
>
>содержат
радиусы концентрических окружностей.
Значит, прямые >
>и
>
>пересекаются.
Противоречие.
Замечание. Рассмотренный эффект на практике достигается с помощью так называемой рулевой трапеции.
ТЕОРЕМА ПИФАГОРА
3.2. Телевизионные радиосигналы распространяются на 15% дальше пределов прямой видимости антенны. При каком наибольшем расстоянии s от передающей антенны высоты Н можно принять телепередачу с помощью приемной антенны высоты h? Определить, при каком максимальном расстоянии можно принять передачу с помощью антенны высотой 20м с Останкинской телебашни (ее высота 538м).
Решение.
Вершина
В принимающей
антенны (рис. 36) за счет шаровой поверхности
Земли будет в крайнем случае еще видна
из вершины передающей антенны А
тогда,
когда точки А
и В
лежат на
касательной к земной поверхности. В
этом случае >
>
где R
– радиус Земли. Так как Н
очень мало по сравнению с 2R,
то >
>,
а потому >
>.
Полагая в этой формуле >
>
получаем >
>.

Рис. 36
Определив таким же образом
ВС, найдем
АВ. Увеличив
полученную величину на 15%, получаем
искомую формулу для s
(в м): s>
>>
>.
Из нее теперь нетрудно получить ответ
и на второй вопрос задачи.
ТРИГОНОМЕТРИЧЕСКИЕ ФУНКЦИИ
3.3.
Докажите,
что правильный поворот (см. 3.1.) автомобиля
возможен лишь тогда, когда направляющие
колеса поворачиваются на такие углы
>
>
и >
>,
что >
>есть
величина постоянная при любых возможных>
>
и >
>.
Решение. В
силу условия правильного поворота
точка О (рис. 37) должна лежать на
продолжении задней оси CD.
Так как
>

>,
>
>,
то из
прямоугольных треугольников >
>и
>
>находим:
>
>
3.4. Величина угла на местности часто определяется линейными промерами. На сторонах угла откладывают отрезки (рис. 38) АВ = АС = 10 м и измеряют ВС. Какова величина угла, если ВС = 12 м?
Решение. Пусть D — середина ВС. Тогда AD — высота биссектриса


Рис. 37 Рис. 38
равнобедренного треугольника. Из прямоугольного треугольника ADB имеем:
>
>
>
>.
3.5. В строительной практике широко распространены понятия уклона и угла наклона (участка дороги, откоса плотины, стенок канала, скатов крыши и т. п.). Пусть ЕС— некоторый отрезок на местности, CD — вертикальная, ED — горизонтальная прямая. Углом наклона СЕ называется угол CED; уклоном отрезка СЕ называется отношение его подъема CD к его горизонтальной проекции ED. Какая зависимость существует между углом наклона ее отрезка ЕС и его уклоном k?
Ответ., k
= tg>
>.
НЕРАВЕНСТВО ТРЕУГОЛЬНИКА. УРАВНЕНИЕ ПРЯМОЙ
3.6. При проектировании сельской дорожной сети часто возникает необходимость соединить дорогами три пункта А, В и С При этом можно проложить дороги по сторонам треугольника ABC, а можно соединить эти пункты с помощью узла разветвления О (рис. 39) В каком случае общая длина дорожной сети будет меньше?
Решение. Продолжим отрезок АО до пересечения с соответствующей стороной треугольника. В силу неравенства треугольника имеем
АО + ОЕ < АВ + BE, ОС < ОЕ + ЕС.
Сложив эти неравенства, получим:
АО + ОС < АВ + ВС
Аналогично
доказывается, что
АО + ОВ <АС + ВС, ВО + ОС < АВ +АС.
Сложив эти неравенства и упростив, получим
АО + ВО + СО < АВ + ВС + АС.
Рис. 39
Так что использование узла разветвления дает более короткую дорожную сеть.
3.7. На рисунке
40 изображено поперечное сечение земляной
плотины, сооруженной на склоне. Перед
началом строительства такой плотины
вначале отмечают на местности (столбами)
ее продольную ось OS,
а затем с помощью так называемых от
точек >
>
и >
>
до оси плотины. Найдите эти расстояния,
если известно, что высота
плотины OS=h
, ширина гребня >
>,
откосы >
>
и>
>
имеют уклон (см. 3.5.) 1:n,
а уклон склона 1:m.

Рис. 40
Решение. Выберем
систему координат так, как показано на
рисунке. Тогда прямая >
>
имеет угловой коэффициент >
>
проходит через точку >
>,
прямая >
>
имеет угловой коэффициент >
>->
>
>
>и
проходит через точку>
>,
а проходящая через начало координат
прямая >
>имеет
угловой коэффициент >
>.
Поэтому рассматриваемые прямые имеют
следующие уравнения:
>
>
>
>
>
>
Точка А
принадлежит одновременно
прямым >
>
и >
>.
Поэтому ее абсциссу >
>
можно найти из уравнения
>
>
Решив уравнение, получим, что
>
>
Аналогично находим, что
>
>
Полученные формулы и используются на практике.
ПОДОБИЕ ФИГУР
3.8. На рисунке 41 изображен высотомер лесника. Он представляет собой прямоугольную пластинку размером 10Х 10 см с закрепленным в точке А отвесом, шкалой на стороне ВС и визирами в точках А и D. Наведя с помощью визиров сторону AD на вершину дерева Е и заметив деление шкалы, которое показывает отвес AF, лесник с помощью несложной формулы и находит высоту дерева. Пусть, например, BF = 3 см. Докажите, что
>
>
(*)
где
Н — высота дерева, h
— высота человека на уровне глаз, d
— расстояние от дерева до человека
(все размеры в метрах).
Рис. 41
Решение.
Так как
>
>GEA=>
>AFB
(докажите
это, рассматривая пары параллельных
прямых), то прямоугольные треугольники
EGA
и FBA
подобны.
Поэтому (все размеры в см):
>
>
или >
>
Отсюда и следует (*).
ПРАВИЛЬНЫЕ МНОГОУГОЛЬНИКИ
3.9. Высевающий аппарат большинства сеялок представляет собой цилиндрическую катушку с желобками (рис. 42), которые при вращении катушки захватывают зерна и высыпают из сеялки. При проектировании катушки вначале определяют число желобков п и ширину желобка t, исходя из размеров и механических свойств зерен, для которых предназначена сеялка. Эти данные позволяют найти диаметр катушки.
Каким
должен быть диаметр катушки высевающего
аппарата зерновой сеялки у которой
t=13.6
мм (с учетом ширины ребра
между смежными желобками), п=12?
Рис. 42
Решение. Требуется найти диаметр окружности, описанной около правильного n-угольника со стороной а>п> — t. По известной формуле получаем:
>
>
ЦЕНТРАЛЬНЫЙ УГОЛ И ДУГА ОКРУЖНОСТИ
3.10. Известно, что пучок
света от фар расходится под углом >
>
= 2° к направлению движения.
Какова видимость от фар на повороте
с радиусом закругления R
= 100 м?
Решение. Пусть автомобиль находится в точке А (рис. 43) Тогда фары освещают дугу АВ, длину которой l и требуется найти. Соединим точки А и В центром окружности О.
Пусть С —
середина стороны АВ. Угол
СОА равен
углу РАВ, так
как они дополняют угол ВАО
до 90°. Поэтому >
>.АОС
=>
>,
>
>AOB
=>
>
Значит, >
>
м.

Рис. 43
3.11.
Работая
на поле, тракторный агрегат часто
совершает холостой «грушевидный» (рис.
44) или «восьмеркообразный» (рис. 45)
поворот, который, как допускают в
приближенных расчетах, состоит из дуги
окружности >
>радиуса
R,
плавно (с
помощью сопряжения) переходящей в
прямые l
и т. При
этом предполагают, что сопряжение
окружности >
>
с прямыми l
и т
осуществляется
дугами окружности того же радиуса R.
Кроме
того, в случае широкозахватного агрегата
(например, трактор с несколькими
сеялками) радиус поворота R
оказывается
равным ширине захвата b.
Для определения производительности тракторного агрегата необходимо знать длину его холостого пробега и, в частности, длины холостых поворотов.
а) Найдите длину грушевидного поворота широкозахватного агрегата.
Решение. В
силу симметрии поворота достаточно
рассмотреть лишь его левую половину.
Поворот начинается в точке сопряжения
с прямой l,
а в точке сопряжения с окружностью >
>
происходит переезд с одной окружности
на другую. Поэтому для решения задачи
необходимо построить точки сопряжения.
Из курса черчения известно, что центр С сопрягающей дуги является точкой пересечения окружности радиуса 2R с центром в О и прямой, параллельной l, отстоящей от l на расстоянии R (рис. 37), причем точка сопряжения А лежит на отрезке СО, а точка сопряжения В лежит на перпендикуляре к l, опущенном из точки С.
Пусть >
>—
радианная мера угла COS.
Тогда

Рис. 44 Рис. 45
>
>OCB=>
>,
и потому
>
>,
>
>,
а значит,
длина поворота >
>
Найдем
величину >
>.
Поскольку
>
>
>
>
то
>
>
а следовательно,
>
>
>
>
0,85. Поэтому
>
>.
б) Найдите длину восьмеркообразного поворота широкозахватного агрегата.
Решение.
Рассуждая
так же, как и при решении предыдущей
задачи, найдем (рис. 34), что >
>
Однако в этом
случае >
>,
а потому >
>
и, следовательно, >
>
0,25. Поэтому
>
>.
Ответы к задачам показывают, что там, где это возможно, предпочтительнее выполнение грушевидного поворота, чем восьмеркообразного, так как при этом холостой пробег агрегата короче.
Замечание.
Используемую
при решении рассмотренных задач формулу
>
>
— длины
дуги через радианную меру угла — легко
(и целесообразно) вывести при изучении
радианной меры угла.
Площади фигур

3.12.
Требуется выкопать канал для подачи
воды к рыбоводному пруду. Имеется
возможность устроить его в форме
полувыемки — полунасыпи (рис. 46). В таком
случае наиболее экономичным будет
такое расположение канала, при котором
сечение выемки
Рис. 46
равновелико сечению насыпи (не нужно будет ни отвозить, ни подвозить грунт). Определите, какой должна быть при этом глубина выемки, если общая глубина канала h = 2м, ширина по дну b = 1м, ширина гребня выемки а = 1м, а угол наклона откосов—45°.
Решение.
Пусть х
— глубина
выемки. Тогда площадь поперечного
сечения выемки >
>
площадь
сечения насыпи >
>.
Приравняв
площади, получим квадратное уравнение.
Решив его, найдем х
= 1,2м.
3.13.
В различных
расчетах по эксплуатации оросительных
систем встречается величина R
= >
>
гидравлический радиус
канала, где F
— площадь
поперечного сечения канала (живое
сечение), Р —
длина границы этого сечения (смоченный
периметр). Найдите
гидравлический радиус канала (рис. 47),
проложенного каналокопателем Д — 716
(AD
= 260 см, ВС
= 60 см, >
>ABC
= >
>BCD
= 135°).

Рис. 47
3.14. С помощью теоретических расчетов и эксперимента установлено, что из всех каналов с заданным живым сечением наибольшей пропускной способностью и одновременно наименьшей фильтрацией отличаются каналы с наименьшим смоченным периметром. Про такие каналы говорят, что они имеют гидравлически наивыгоднейший профиль.
Сечение канала — равнобедренный треугольник. Каким должен быть угол при вершине, чтобы канал имел гидравлически наивыгоднейший профиль?
Решение.
Пусть F
— живое
сечение канала, х
— величина
угла при его вершине, а
— длина
боковой стороны треугольника. Так как
F
=>
>
Р =
2а, то
>
>
Смоченный
периметр Р
будет наименьшим, когда >
>
будет наибольшим, т.е. при х
= 90°.
3.15. Для хранения зерна на элеваторах часто сооружают емкости в форме цилиндров [4]. При этом строят сразу несколько таких емкостей, примыкающих друг к другу в определенном порядке, а также в некоторых местах сооружают дополнительные круглые стенки. Получается монолитный корпус с поперечным сечением довольно сложной конструкции. Зерно засыпается не только в цилиндрические емкости (круглые силосы), но и в емкости образовавшиеся между ними (силосы-звездочки). Для расчета емкости силосного корпуса необходимо знать площади сечений всех его силосов.
На рисунке 48 изображено поперечное сечение силосного корпуса одного из элеваторов. Найдите площади сечений силосов-звездочек 2 и 3, зная диаметр d силоса 1 и пренебрегая толщиной стенок.
0100090000032a0200000200a20100000000a201000026060f003a03574d46430100000000000100fff20000000001000000180300000000000018030000010000006c0000000000000000000000350000006f0000000000000000000000ab170000c908000020454d4600000100180300001200000002000000000000000000000000000000bf120000121a0000cb0000001a010000000000000000000000000000f8180300904d0400160000000c000000180000000a00000010000000000000000000000009000000100000009605000014020000250000000c0000000e000080250000000c0000000e000080120000000c00000001000000520000007001000001000000a4ffffff00000000000000000000000090010000000000cc04400022430061006c00690062007200690000000000000000000000000000000000000000000000000000000000000000000000000000000000000000000000000000000000110080ae110010000000e4b1110064af110052516032e4b11100dcae1100100000004cb01100c8b1110024516032e4b11100dcae11002000000049642f31dcae1100e4b1110020000000ffffffffdc44d200d0642f31ffffffffffff0180ffff01800fff0180ffffffff000000000008000000080000d4fbb80a01000000000000005802000025000000372e9001cc00020f0502020204030204ef0200a07b20004000000000000000009f00000000000000430061006c006900620072000000000000000000a4af1100dee32e31e88d083204b3110010af11009c38273104000000010000004caf11004caf1100e87825310400000074af1100dc44d2006476000800000000250000000c00000001000000250000000c00000001000000250000000c00000001000000180000000c0000000000000254000000540000000000000000000000350000006f000000010000008d5c8740163687400000000057000000010000004c000000040000000000000000000000970500001302000050000000200000003600000046000000280000001c0000004744494302000000ffffffffffffffff9605000015020000000000004600000014000000080000004744494303000000250000000c0000000e000080250000000c0000000e0000800e000000140000000000000010000000140000000400000003010800050000000b0200000000050000000c024800c200040000002e0118001c000000fb020200010000000000bc02000000cc0102022253797374656d0000000000000000000000000000000000000000000000000000040000002d010000040000002d01000004000000020101001c000000fb02f4ff0000000000009001000000cc0440002243616c6962726900000000000000000000000000000000000000000000000000040000002d010100040000002d010100040000002d010100050000000902000000020d000000320a0c0000000100040000000000c200480020040700040000002d010000040000002d010000030000000000
Рис. 48
Решение. Площадь >
>
равна, очевидно, разности между площадью
квадрата ABCD и площадью
круга 1:
>
>
Если от площади квадрата EFGH
(которая, очевидно, равна половине
площади квадрата >
>)
вычесть >
>,
то мы получим учетверенную площадь
луночки. Поэтому площадь луночки
>
>
а площадь фигуры 2
>
>
УГЛЫ МЕЖДУ ПРЯМЫМИ И ПЛОСКОСТЯМИ
3.16. Найдите наибольший допустимый угол а наклона склона, вдоль которого может стоять, не опрокидываясь назад, заторможенный трактор МТЗ-50 (этот угол называется предельным углом подъема трактора).
Решение. Требуется
найти угол между плоскостью склона и
горизонтальной плоскостью. Он равен
углу между прямыми (рис. 49) в продольном
сечении склона. Из курса физики известно,
что для устойчивости тела на наклонной
плоскости необходимо, чтобы вертикаль,
проведенная через центр масс А,
не выходила за пределы опоры BD.
Рассмотрим предельный
случай, когда эта вертикаль АВ
проходит через границу
опоры. Проведем AC>
>BD
и рассмотрим
прямоугольный треугольник АСВ.
Так как
>
>
ВАС = а, то
>
>.
У трактора МТЗ-50
интересующие нас параметры таковы АС
== 89 см, ВС
== 85 см. Поэтому для
него >
>
и, следовательно, предельный угол
подъема >
>.

Рис. 49
3.17. При строительстве
домов на селе нередко устраивается так
называемая четырехскатная
крыша, скаты которой
представляют собой (рис. 50) два треугольника
и две трапеции с одинаковым уклоном.
Найдите площадь кровли четырехскатной
крыши дома длины а
и ширины b,
если известно, что
угол наклона скатов крыши равен >
>.

Рис. 50
Решение. Угол
между плоскостями многоугольников —
скатов крыши — и плоскостью ABCD
равен >
>,
а ортогональные (вертикальные) проекции
этих многоугольников на горизонтальную
плоскость образуют прямоугольник ABCD.
Поэтому площадь
кровли S
=>
>.
МНОГОГРАННИКИ
3.18. При одном из способов защиты почв от смыва на склонах штампуют лунки в форме прямоугольного параллелепипеда с квадратным основанием (сторона квадрата — 50 см) и высотой 10 см. Определите, сколько литров воды может собраться в такой лунке на склоне под углом наклона 10°, если дополнительно известно, что одна из сторон основания лунки горизонтальна.

Рис. 51
Решение. Так
как (рис. 51) BL
= 50tgl0°
< 10, то в момент наибольшего наполнения
слой воды представляет собой призму
высоты 50 см, основанием которой является
трапеция>
>.
Поэтому объем воды
>
>
ТЕЛА ВРАЩЕНИЯ.
3.19. Бревна и дрова на складах лесоматериалов укладывают в штабеля. Учет уложенной в штабеля древесины ведется через объем штабеля с помощью коэффициента полнодревесности, под которым понимается отношение объема древесины в штабеле к геометрическому объему штабеля (первый меньше из-за наличия пустот между стволами). Найдите коэффициент полнодревесности идеализированного прямоугольного штабеля (рис. 52), состоящего из одинаковых цилиндров.

Рис. 52
Решение. Пусть r— радиус основания цилиндра, h — его высота. Допустим, что по ширине штабеля уложено m цилиндров, а по высоте — п. Тогда объем древесины в штабеля
>
>.
Штабель принимается за параллелепипед с измерениями 2mr, 2nr и h. Его объем
>
>,
значит, коэффициент полнодревесности
>
>.
Удивительно, что именно такой коэффициент полнодревесности указан в ГОСТ для правильного прямоугольного штабеля из метровых бревен без коры.
3.20. При
защите почв от водной
эрозии на склонах иногда
делают лунки в форме полушара диаметром
d.
Сколько воды может накопиться в такой
лунке на склоне с углом наклона >
>?
0100090000032a0200000200a20100000000a201000026060f003a03574d46430100000000000100fff20000000001000000180300000000000018030000010000006c0000000000000000000000350000006f0000000000000000000000ab170000c908000020454d4600000100180300001200000002000000000000000000000000000000bf120000121a0000cb0000001a010000000000000000000000000000f8180300904d0400160000000c000000180000000a00000010000000000000000000000009000000100000009605000014020000250000000c0000000e000080250000000c0000000e000080120000000c00000001000000520000007001000001000000a4ffffff00000000000000000000000090010000000000cc04400022430061006c00690062007200690000000000000000000000000000000000000000000000000000000000000000000000000000000000000000000000000000000000110080ae110010000000e4b1110064af110052516032e4b11100dcae1100100000004cb01100c8b1110024516032e4b11100dcae11002000000049642f31dcae1100e4b1110020000000ffffffffdc44d200d0642f31ffffffffffff0180ffff01800fff0180ffffffff000000000008000000080000d4fbb80a01000000000000005802000025000000372e9001cc00020f0502020204030204ef0200a07b20004000000000000000009f00000000000000430061006c006900620072000000000000000000a4af1100dee32e31e88d083204b3110010af11009c38273104000000010000004caf11004caf1100e87825310400000074af1100dc44d2006476000800000000250000000c00000001000000250000000c00000001000000250000000c00000001000000180000000c0000000000000254000000540000000000000000000000350000006f000000010000008d5c8740163687400000000057000000010000004c000000040000000000000000000000970500001302000050000000200000003600000046000000280000001c0000004744494302000000ffffffffffffffff9605000015020000000000004600000014000000080000004744494303000000250000000c0000000e000080250000000c0000000e0000800e000000140000000000000010000000140000000400000003010800050000000b0200000000050000000c024800c200040000002e0118001c000000fb020200010000000000bc02000000cc0102022253797374656d0000000000000000000000000000000000000000000000000000040000002d010000040000002d01000004000000020101001c000000fb02f4ff0000000000009001000000cc0440002243616c6962726900000000000000000000000000000000000000000000000000040000002d010100040000002d010100040000002d010100050000000902000000020d000000320a0c0000000100040000000000c200480020040700040000002d010000040000002d010000030000000000
Рис. 53
Решение: Объем воды равен объему (рис. 53) шарового сегмента:
>
>
где Н – высота сегмента. Так
как расстояние от центра лунки до
поверхности воды >
>
то >
>
Отсюда находим:
>
>
Заключение
Целью данной работы являлось разработка содержания темы «Использование измерений и решение задач на местности при изучении некоторых тем школьного курса геометрии» и методики проведения факультативных занятий. В работе была выдвинута гипотеза исследования, заключающаяся в том, что систематическое и целенаправленное внедрение в школьный курс геометрии разнообразного материала способствует повышению интереса учащихся к геометрии и развивает их творческие способности. В результате естественного педагогического эксперимента гипотеза была подтверждена.
Были решены следующие задачи:
1. Изучена математическая, психолого-педагогическая, методическая литература по проблеме исследования.
2. Подобран и адаптирован для школьников теоретический и практический материал, позволяющий продемонстрировать приложение геометрических фактов к решению задач на местности.
3. Найдены эффективные пути и способы организации факультативных занятий.
4. Разработана методика проведения факультативных занятий по теме «Решение задач на местности».
5. Проведена экспериментальная проверка отобранного материала и методики факультативных занятий.
Практическая значимость исследования заключается в том, что в нем обоснованы возможности совершенствования учебно-воспитательного процесса применительно к процессу преподавания математики путем проведения факультативных занятий, разработаны рекомендации по совершенствованию организационно-педагогического обеспечения математических факультативов. Предложенные научно - методические материалы при использовании в массовой практике позволяют находить эффективные пути организации математических факультативов. Разработанные материалы могут быть использованы студентами физико-математических факультетов при изучении методики преподавания и на педагогической практике, а так же учителями средних школ при организации и проведении уроков.
На основе изучения педагогической, методико-математической, психолого-педагогической литературы, а также опыта работы учителей по вопросу организаций факультативных занятий и непосредственной работы с учителями общеобразовательных школ разработаны рекомендации для успешного функционирования математического факультатива в средней школе.
Важной задачей является раскрытие психолого-педагогических основ организации факультативных занятий как осуществление профильной дифференциации.
Основным направлением предложенных рекомендаций, является максимальное повышение эффективности работы факультативных занятий.
Современная общеобразовательная школа ставит задачу профориентации учащихся по окончании школы, путем введения факультативной формы работы. В работе сформулированы рекомендации, которые повысят уровень преподавания факультативных занятий и тем самым повысят уровень подготовленности учащихся.
Литература
1. Бабанский Ю.К. Оптимизация процесса обучения: Общедидактический
аспект. – М., 1977.
2. Балк М.Б., Балк Г.Д. Математика после уроков, М., Просвещение, 1977.
3. Балк М.Б., Балк Г.Д. Математический факультатив вчера, сегодня, завтра
//Математика в школе – 1987 - №5.
4. Бенбяминов М.Р. Математика и сельское хозяйство, М., 1968.
5. Вилянкин Н.Я., Шибасов Л.Т., Шибасова З.Ф. За страницами учебника
математики: Арифметика. Алгебра. Геометрия. – М.: Просвещение:
АО «Учеб. мет.», 1996.
6. Ганьшин В.Н. Простейшие измерения на местности, М., 1973 – 126 с.
7. Гильбух Ю., Кондратенко Л., Коробко С. Как не убить талант? //Народное
образование. – 1991. - №4.
8. Геометрия. Учебное пособие для 9 и 10 классов средней школы. М., 1979.
9. Депман И.Я., Виленкин Н. Я. За страницами учебника математики. – М. -:
Просвещение, 1989.
10. Занимательная алгебра. Занимательная геометрия. / Я.И. Перьльман. –
Ростов н/Д: ЗАО «Книга», 2005.
11. Иваньков П.А. Основы геодезии , топографии и картографии.-М., 1972
12. Иванов П.А. Технические измерения М., 1964
13. Калмыкова З.И. Типологические принципы развивающегося обучения.-
М.: Знание, 1979.
14. Методика преподавания математики в средней школе. Частная методика:
Учеб. пособие для студентов пед. ин-тов по физ.-мат. спец./А.Я.Блох,
В.А. Гусев, Г.В. Дорофеев и др.; Сост. В.И. Мишин. – М.: Просвеще-
ние, 1987.
15. Методика преподавания математики в средней школе. Общая методика:
Учеб. пособие для студентов физ.-мат. фак. пед. институтов / В.А. Ога-
несян, Ю.М. Колягин, Г.Л. Луканкин, В.Я. Саннинский. – 2-е изд., пе-
раб. и доп. – М.: Просвещение, 1980.
16. Морозова Н.Г. Учителю о познавательном интересе. М.: Знание, серия
«Педагогика и психология», 1979.
17. Педагогическая энциклопедия: в 2-х т./ Под ред. И.А. Каирова, Ф.Н. Пет-
рова. – М.: Советская энциклопедия, 1964. – Т.1.
18. Педагогическая энциклопедия: в 2-х т./ Под ред. И.А. Каирова, Ф.Н. Пет-
рова. – М.: Советская энциклопедия, 1964. – Т.2.
19. Петров В.А. Преподавание математики в сельской школе: Кн. для учите-
ля. – М..6 Просвещение, 1986.
20. Погорелов А.В. Геометрия. М., 1990.
21. Сергеев И.Н., Олехник С.Н., Гашков С.Б. Примени математику. – М.,
Наука, 1989.
22. Чичигин В.Г. Методика преподавания геометрии: Планиметрия. – М.:
Учпедгиз, 1959.
23. Четверухин Н.Ф. Методы геметрических построений, М., Учпедгиз, 1952.
24. Шварцбурд С.И. и др. Состояние и перспективы факультативных занятий
по математике: пособие для учителя. – М., 1977.