Исследование прочности на разрыв полосок ситца
Министерство образования и науки РФ
Государственное образовательное учреждение
Высшего профессионального образования
Московской области
Международный Университет природы
общества и человека "Дубна"
Филиал "Котельники"
Кафедра естественных и гуманитарных наук.
Курсова робота
"Исследование прочности на разрыв полосок ситца"
по дисциплине:
"Теория вероятностей и математическая статистика"
Выполнила студентка
Второго курса 262 ЭТ группы
Проверила:
___________
2006 г.
Содержание
Введение
Цель курсовой работы
Постановка задачи
Исходные данные
Распределение случайной величины на основе опытных данных
Построение эмпирической функции распределения
Статистические оценки параметров распределения
Нормальный закон распределения случайной величины
Проверка гипотезы о нормальном распределении изучаемой величины
Вывод
Литература
>Введение>
Математическая статистика - наука которая занимается разработкой методов отбора, группировки и обработки опытных данных с целью изучения закономерностей массовых случайных явлений.
Математическая статистика опирается на методы и понятия теории вероятностей и, в свою очередь, служит основой для обработки анализа статистических результатов в конкретных областях человеческой деятельности.
Задачи математической статистики:
нахождение функции распределения по опытным данным.
из теоретических соображений функция распределения оказывается в общем виде известна, но неизвестны её параметры. Неизвестные параметры определяются по опытным данным.
Статистическая проверка гипотез:
в общем виде известна функция распределения, определяют её неизвестные параметры и выясняют, как согласуются экспериментальные данные с общим видом функции распределения.
>Цель курсовой работы>
Целью курсовой работы является закрепление теоретических знаний и приобретения навыков обработки статистической информации.
>Постановка задачи>
В данной курсовой работе были поставлены следующие задачи для обработки статистических данных:
построение полигона частот и относительных частот
построение гистограммы частот и относительных частот
построение эмпирической функции распределения.
нахождение выборочной средней, выборочной дисперсии и
нахождение среднего выборочного квадратичного отклонения.
5) проверка гипотезы о нормальном распределении изучаемой случайной величины.
>Исходные данные>
Вариант 14. Прочность на разрыв полосок ситца (в дан):
32313432312932343331313432313532
34333130303232343131353234333231
34323129323433313134323135323433
31303432312932343331303232313632
34333130323331283234333130323330
35323433323031333033323433313032
33303132343331303233303132333331
30323330313233303433313032333031
3233
>Распределение случайной величины на основе опытных данных>
Для обработки опытных данных воспользуемся составлением статистического ряда. В первой строке записываются номера наблюдений, а во второй строке результаты наблюдений.
Если результаты наблюдений расположить в возрастающем порядке, то получим вариационный ряд.
Результат измерения называется - варианта.
Число появления каждой варианты называется частотой.
Отношение частоты к объему выборки называется относительной частотой.
x>i>> - >варианта (значение, полученное в процессе измерения)
n>i> - частота (сколько раз появилась каждая варианта)
Р*>i>> >- отношение частоты объёму выборки
|
x>i> |
28 |
29 |
30 |
31 |
32 |
33 |
34 |
35 |
36 |
|
n>i> |
1 |
3 |
18 |
29 |
32 |
24 |
18 |
4 |
1 |
|
ni
|
1
|
3
|
18
|
29
|
32
|
24
|
18
|
4
|
1
|
Существует вместо статистического ряда так называемая статистическая совокупность, для этого все наблюдаемые значения признака разбиваются на группы равной длины.
|
x>i<>x≤x>i+1> |
(27; 29] |
(29; 31] |
(31; 33] |
(33; 35] |
(35; 37] |
|
n>i> |
4 |
47 |
56 |
22 |
1 |
|
P>i>* |
4/130 |
47/130 |
56/130 |
22/130 |
1/130 |
Размах колебания: х>min>=28
х>max>=36
R= 36-28=8
Статистическое распределение можно изобразить графически:
Либо в виде полигона частот, полигона относительных частот и в виде гистограммы частот, гистограммы относительных частот.
Полигоном частот называется ломаная линия, соединяющая точки с абcциcсой (О>х>) - варианта и ординатой (О>у>) - частота.
Cтроим полигон частот.

Полигоном относительных частот называется ломаная линия, соединяющая точки с абсциссой (О>х>) - варианта и ординатой (О>у>) - относительная частота.
Строим полигон относительных частот.
Полигон относительных частот

Гистограммой частот называется фигура, состоящая из прямоугольников с равными основаниями (длина интервала) и площадью численно равной частоте.
Для построения гистограммы воспользуемся таблицей:
|
x>i><x≤x>i+1> |
(27; 29] |
(29; 31] |
(31; 33] |
(33; 35] |
(35; 37] |
|
n>i> |
4 |
47 |
56 |
22 |
1 |
|
Δx |
4/2 |
47/2 |
56/2 |
22/2 |
½ |
|
|
Δx=2 |
|||||||
|
hi |
||||||||
|
56⁄ 2 |
||||||||
|
47⁄ 2 |
||||||||
|
22⁄ 2 |
||||||||
|
4/2 |
||||||||
|
1/2 |
||||||||
|
27 |
29 |
31 |
33 |
35 |
37 |
|||
|
xi |
Гистограммой относительных частот называется фигура, состоящая из прямоугольников с равными основаниями (длина интервала) и площадью численно равной относительной частоте.
Для построения гистограммы воспользуемся таблицей:
|
x>i><x≤x>i+1> |
(27; 29] |
(29; 31] |
(31; 33] |
(33; 35] |
(35; 37] |
|
Р*>i> |
4/130 |
47/130 |
56/130 |
22/130 |
1/130 |
|
Δx |
4/260 |
47/260 |
56/260 |
22/260 |
1/260 |
Δx=2
|
h*i |
||||||||
|
56∕ 260 |
||||||||
|
47⁄ 260 |
||||||||
|
22⁄ 260 |
||||||||
|
4∕ 260 |
||||||||
|
1 ∕ 260 |
||||||||
|
0 |
27 |
29 |
31 |
33 |
35 |
37 |
||
|
xi |
||||||||
>Построение эмпирической функции распределения>
Статистическая функция распределения (эмпирическая) - это частота события, состоящего в том, что случайная величина Х в процессе изменения примет значение меньше некоторого фиксированного х
F*(х) = Р* = P* (X<x)
Статистическая функция распределения (эмпирическая) является разрывной функцией, точки разрыва совпадают с наблюдаемыми значениями случайной величины, а скачок в каждой точке разрыва равен частоте появления наблюдаемого значения в данной серии наблюдения. Сумма скачков всегда равна 1.
9
Σ P>i>* = 1
i=1
1) ∞ < х ≤ 28
F* (x) =P* (X<28) =0
2) 28<x≤29
F* (x) =P* (X<29) =P* (X=28) =1/130
3) 29<x≤30
F* (x) =P* (X=28) + P* (X=29) =1/130+3/130=4/130
4) 30<x≤31
F* (x) =P* (X<31) = P* (X=28) + P* (X=29) P* (X=30) +1/130+3/130+18/130=22/130
5) 31<x≤32
F* (x) =P* (X<32) = P* (X=28) + +P* (X=29) +P* (X=30) +P* (X=31) =1/130+3/130+18/130+29/130=51/130
6) 32<x≤33
F* (x) =P* (X<33) = P* (X=28) +P* (X=29) +P* (X=30) +P* (X=31)
P* (X=32) =1/130+3/130+18/130+29/130+32/130=83/130
7) 33<x≤34
F* (x) =P* (X<34) = P* (X=28) +P* (X=29) +P* (X=30) +P* (X=31) +
+P* (X=32) +P* (X=33)
=1/130+3/130+18/130+29/130+32/130+24/130=107/130
8) 34<x≤35
F* (x) =P* (X<35) = P* (X=28) +P* (X=29) +P* (X=30) +P* (X=31) +
+P* (X=32) +P* (X=33) P* (X=34) =
=1/130+3/130+18/130+29/130+32/130+24/130+18/130=125/130
9) 35<x≤36
F* (x) =P* (X<36) = P* (X=28) +P* (X=29) +P* (X=30) +P* (X=31) +
+P* (X=32) +P* (X=33) P* (X=34) + P* (X=35)
=1/130+3/130+18/130+29/130+32/130+24/130+18/130+4/130=129/130
10) x>36
F* (x) =1
0, -∞<х≤28
1/130, -∞<х≤29
4/130, 29<х≤30
22/130, 30<х≤31
F*(x) 51/130, 31<х≤32
83/130, 32<х≤33
107/130, 33<х≤34
125/130, 34<х≤35
129/130, 35<х≤36
1, х>36
Статистическая функция распределения является разрывной функцией и её графиком является ступенчатая линия.
Построим систему координат:
на оси Ох=х>i>
на оси Оу=F* (x)
|
F* 1 129/130 125/130 107/130 83/130 51/130 22/130 4/130 1/130 0 xi 28 29 30 31 32 33 34 35 36 |
>Статистические оценки параметров распределения>
Одной из задач статистики является оценка параметров распределения случайной величины Х по данным выборки.
Оценка параметра зависит от наблюдаемых значений и от числа наблюдений. Для того чтобы полученную оценку можно было бы использовать на практике она должна удовлетворять следующим условиям:
1) оценка должна быть не смещённой оценкой параметра, т.е. математическое ожидание должно быть равно оцениваемому параметру. Если это условие не выполняется, то оценку называют смещённой оценкой оцениваемого параметра;
2) оценка должна быть состоятельной оценкой оцениваемого параметра;
3) Оценка должна быть эффективной оценкой оцениваемого параметра;
Из всех различных оценок выбираем ту которая имеет наименьшую дисперсию она и называется эффективной если её дисперсия является минимальной из всех получившихся дисперсий.
Таким образом, чтобы полученная опытным путем оценка оцениваемого параметра была пригодной она должна быть несмещённой состоятельной и эффективной.
Пусть изучается дискретная генеральная совокупность объема N количественного признака Х.
Генеральной
средней совокупностью называют
среднее арифметическое наблюдаемых
значений.

Если
же значение признака х>1>, х>2>,…….
х>к >имеют соответственно частоты
N>1>,N>2>…….
N>k>, то
средняя генеральная вычисляется по
формуле:
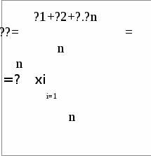
Пусть для изучения генеральной совокупности относительно некоторого количественного признака Х произведена выборка объема n.
Выборочной
средней называют среднее арифметическое
наблюдаемых значений в данной выборке.
Если же значение
признака х>1>, х>2>,…. х>k>
имеет соответственно частоты n>1>,n>2>,….
n>k>, то
выборочная средняя определяется по
формуле:
|
x>i> |
28 |
29 |
30 |
32 |
32 |
33 |
34 |
35 |
36 |
|
n>i> |
1 |
3 |
18 |
29 |
32 |
24 |
18 |
4 |
1 |
28×1+29×3+30×18+31×29+32×32+33×24+34×18+35×4+36×1
х>в
>=
130
=
4158 = 31,98
130
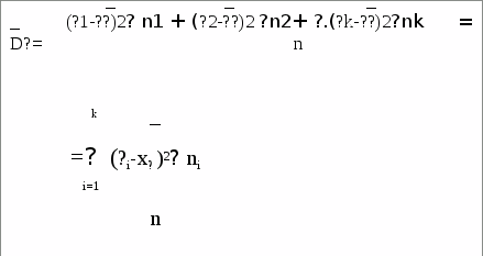
Выборочной дисперсией называется среднее арифметическое квадратов отклонений наблюдаемых значений от выборочной средней. Вычисляется выборочная дисперсия по формуле:

Если
же значение признака х>1>, х>2…. >x>
>>k>> >имеет
соответственно частоты n>1>,n>2….
>n>k>,
то выборочная дисперсия вычисляется
по формуле:
(28-31,98) 2×1+ (29-31,98) 2×3+ (30-31,98) 2×18+ (31-31,98) 2×29+
D>в>= + (32-31,98) 2×32+ (33-31,98) 2×24+ (34-31,98) 2×18+ (35-31,98) 2×
×4+ (36-31,98) 2×1 =
130
=
291,972 = 2,24
130
Среднее выборочное квадратичное отклонение - это величина численно равная квадратному корню из выборочной дисперсии.
__
σ>в> = √ 2,24 = 1,5
>Нормальный закон распределения случайной величины>
Говорят, что случайная величина распределена по нормальному закону если плотность распределения этой случайной величины выражается формулой:
0100090000037800000002001c00000000000400000003010800050000000b0200000000050000000c025201ec05040000002e0118001c000000fb021000070000000000bc02000000cc0102022253797374656d0001ec0500008d260000c0431100ca858239905739050c020000040000002d01000004000000020101001c000000fb02ceff0000000000009001000000cc0440001254696d6573204e657720526f6d616e0000000000000000000000000000000000040000002d010100050000000902000000020d000000320a2d0000000100040000000000ec05520120b51600040000002d010000030000000000
>Проверка гипотезы о нормальном распределении изучаемой величины>
Гипотезу Н>0> выдвигаем в качестве основной - пусть наш исследуемый признак х распределён по нормальному закону. Параллельно гипотезе Н>0> выдвигаем альтернативную гипотезу о том, что исследуемый признак распределен не по нормальному закону.
Проверка гипотезы о предполагаемом законе распределения производится с помощью специально подобранной величины называемой критерием согласия.
Для исследования воспользуемся критерием χ2 Пирсона.
Вычисляем χ2 для наблюдаемых значений. Для вычислений составляем таблицу и воспользуемся следующими формулами:
0100090000037800000002001c00000000000400000003010800050000000b0200000000050000000c025201ec05040000002e0118001c000000fb021000070000000000bc02000000cc0102022253797374656d0001ec0500008d260000c0431100ca858239905739050c020000040000002d01000004000000020101001c000000fb02ceff0000000000009001000000cc0440001254696d6573204e657720526f6d616e0000000000000000000000000000000000040000002d010100050000000902000000020d000000320a2d0000000100040000000000ec05520120b51600040000002d010000030000000000
_
х>в >=31,98
_
D>в>=2,24
_
σ>в>=1,5
Таблица отдельный файл
k (ni-ni*)2
χ2
>набл>.=Σ
i=1 ni
χ2 >набл>=13,8725515
Далее находим χ2 с помощью таблицы критических точек распределения по заданному уровню значимости £=0,05 и числу степеней свободы.
К=S-3
5-3=2
χ2>крит. >=6,0
χ2 >набл>=13,8725515 > χ2>крит>=6,0
Гипотеза не принимается.
>Вывод>
В данной работе был изучен статистический материал по исследованию прочности на разрыв полосок ситца, статистически были обработаны и получены соответствующие результаты.
Цель курсовой работы реализована через решение поставленных задач.
Наглядно представление о поведении случайной величины показано через полигон частот и полигон относительных частот, гистограммы частот и гистограммы относительных частот.
Была составлена и построена эмпирическая функция распределения и построен график этой функции на основе наблюдаемых значений.
0ценили параметры распределения:
выборочную среднюю
выборочную дисперсию
выборочное среднее квадратичное отклонение.
После обработки имеющихся статистических данных было выдвинуто предположение о нормальном распределении случайной величины. При проверке этой гипотезы оказалось, что случайная величина нераспределена по нормальному закону.
>Литература>
Гнеденко Б.В. Курс теории вероятностей: Учебник. - М.: Наука, 1988.
Боровков А.А. Теория вероятностей: Учеб. пособие.; М.: Наука, 1986.
Бочаров П.П., Печинкин А.В. Теория вероятностей: Учеб. пособие. - М.: Изд-во ун-та Дружбы народов, 1994.
Бочаров П.П., Печинкин А.В. Математическая статистика: Учеб. пособие. - М.: Изд-во ун-та Дружбы народов, 1994.
Б.М. Рудык, В.И. Ермаков, Р.К. Гринцевевичюс, Г.И. Бобрик, В.И. Матвеев, И.М. Гладких, Р.В. Сигитов, В.Г. Шершнев. Общий курс высшей математики для экономистов: Учебник / Под ред. В.И. Ермакова. - М.: ИНФАРМА-М, 2005. - 656с. - (Высшее образование).
Pi*
n
130
h>i>
= n>i>