Регрессионный анализ (работа 1)
Содержание
Введение ………………………………………………………………………..…2
1. Основные понятия …………………………………………………………......3
1.1. Функциональные и стохастические связи ……………………………….....8
1.2. Статистические методы моделирования связи …………………………...12
1.3. Статистическое моделирование связи методом корреляционного и регрессионного анализа ………………………………………………………...13
2. Проверка адекватности регрессионной модели ……………………………18
3. Практическая часть …………………………………………………………..25
3.1. Оценка значимости коэффициентов регрессии …………………………..27
3.2. Проверка адекватности модели по критерию Фишера …………………..29
3.3. Проверка адекватности модели по коэффициенту детерминации или множественной корреляции ……………………………………………………30
Заключение ………………………………………………………………………34
Использованная литература ……………………………………………………35
Введение
В экономических исследованиях часто решают задачу выявления факторов, определяющих уровень и динамику экономического процесса. Такая задача чаще всего решается методами корреляционного, регрессионного, факторного и компонентного анализа. Задача регрессионного анализа состоит в построении модели, позволяющей по значениям независимых показателей получать оценки значений зависимой переменной. Регрессионный анализ является основным средством исследования зависимостей между социально-экономическими переменными. Эту задачу мы рассмотрим в рамках самой распространенной в статистических пакетах классической модели линейной регрессии. Специфика социологических исследований состоит в том, что очень часто необходимо изучать и предсказывать социальные события. Вторая часть данной главы будет посвящена регрессии, целью которой является построение моделей, предсказывающих вероятности событий. Величина называется ошибкой регрессии. Первые математические результаты, связанные с регрессионным анализом, сделаны в предположении, что регрессионная ошибка распределена нормально с параметрами, ошибка для различных объектов считаются независимыми. Кроме того, в данной модели мы рассматриваем переменные как неслучайные значения. Такое, на практике, получается, когда идет активный эксперимент, в котором задают значения (например, назначили зарплату работнику), а затем измеряют (оценили, какой стала производительность труда).
Все многообразие факторов, которые воздействуют на изучаемый процесс, можно разделить на две группы: главные (определяющие уровень изучаемого процесса) и второстепенные. Последние часто имеют случайный характер, определяя специфические и индивидуальные особенности каждого объекта исследования. Однако при небольшой взаимосвязи между переменными, если стандартизовать переменные и рассчитать уравнение регрессии для стандартизованных переменных, то оценки коэффициентов регрессии позволят по их абсолютной величине судить о том, какой аргумент в большей степени влияет на функцию. Стандартизация переменных. Бета коэффициенты. Коэффициенты в последнем уравнении получены при одинаковых масштабах изменения всех переменных и сравнимы. В случае взаимосвязи между аргументами в правой части уравнения могут происходить странные вещи. Надежность и значимость коэффициента регрессии. Здесь обозначен коэффициент детерминации, получаемый при построении уравнения регрессии, в котором в качестве зависимой переменной взята другая переменная. Из выражения видно, что величина коэффициента тем неустойчивее, чем сильнее переменная связана с остальными переменными. Эта статистика имеет распределение Стьюдента. В выдаче пакета печатается наблюдаемая ее двусторонняя значимость - вероятность случайно при нулевом регрессионном коэффициенте получить значение статистики, большее по абсолютной величине, чем выборочное. Значимость включения переменной в регрессию. При последовательном подборе переменных предусмотрена автоматизация, основанная на значимости включения и исключения переменных.
Взаимодействие главных и второстепенных факторов и определяет колеблемость исследуемого процесса. В этом взаимодействии синтезируется как необходимое, типическое, определяющее закономерность изучаемого явления, так и случайное, характеризующее отклонение от этой закономерности. Случайные отклонения неизбежно сопутствуют любому закономерному явлению. За это иногда зависимую переменную называют откликом. Теория регрессионных уравнений со случайными независимыми переменными сложнее, но известно, что, при большом числе наблюдений, использование метода разработанного корректно. Для получения оценок коэффициентов регрессии минимизируется сумма квадратов ошибок регрессии. В пакете вычисляются статистики, позволяющие решить эти задачи. Существует ли линейная регрессионная зависимость? Для проверки одновременного отличия всех коэффициентов регрессии от нуля проведем анализ квадратичного разброса значений зависимой переменной относительно среднего. Его можно разложить на две суммы следующим образом. Статистика в условиях гипотезы равенства нулю регрессионных коэффициентов имеет распределение Фишера и, естественно, по этой статистике проверяют, являются ли коэффициенты одновременно нулевыми. Коэффициенты детерминации и множественной корреляции. При сравнении качества регрессии, оцененной по различным зависимым переменным, полезно исследовать доли объясненной и необъясненной дисперсии. Корень из коэффициента детерминации называется коэффициентом корреляции. Следует иметь в виду, что является смещенной оценкой. Абсолютные значения коэффициентов не позволяют сделать такой вывод.
Для достоверного отображения объективно существующих в экономике процессов необходимо выявить существенные взаимосвязи и не только выявить, но и дать им количественную оценку. Этот подход требует вскрытия причинных зависимостей. Под причинной зависимостью понимается такая связь между процессами, когда изменение одного из них является следствием изменения другого.[4]
Не все факторы, влияющие на экономические процессы, являются случайными величинами. Поэтому при анализе экономических явлений обычно рассматриваются связи между случайными и неслучайными величинами. Такие связи называются регрессионными, а метод математической статистики, их изучающий, называется регрессионным анализом. Рассмотрим, что представляет собой эта значимость. Обозначим коэффициент детерминации, полученный при исключении из правой части уравнения переменной. При этом мы получим уменьшение объясненной дисперсии, на величину. Для оценки значимости включения переменной используется статистика, имеющая распределение Фишера при нулевом теоретическом приросте. Вообще, если из уравнения регрессии исключаются переменных, статистикой значимости исключения будет. Пошаговая процедура построения модели. Основным критерием отбора аргументов должно быть качественное представление о факторах, влияющих на зависимую переменную, которую мы пытаемся смоделировать. Очень хорошо реализован процесс построения регрессионной модели: на машину переложена значительная доля трудностей в решении этой задачи. Возможно построение последовательное построение модели добавлением и удалением блоков переменных. Но мы рассмотрим только работу с отдельными переменными. По умолчанию программа включает все заданные переменные.
1. Основные понятия.
С целью математического описания конкретного вида зависимостей с использованием регрессионного анализа подбирают класс функций, связывающих результативный показатель y и аргументы x1, x2,…,хk , отбирают наиболее информативные аргументы, вычисляют оценки неизвестных значений параметров уравнения связи и анализируют точность полученного уравнения.[8]
Функция f(x1, x2,…,хk ), описывающая зависимость условного среднего значения результативного признака у от заданных значений аргументов, называется функцией (уравнением) регрессии.
Термин "регрессия" (лат. - "regression" - отступление, возврат к чему-либо) введен английским психологом и антропологом Ф.Гальтпном и связан только со спецификой одного из первых конкретных примеров, в котором это понятие было использовано.
Обрабатывая статистические данные в связи с вопросом о наследственности роста, Ф.Гальтон нашел, что если отцы отклоняются от среднего роста всех отцов на x дюймов, то их сыновья отклоняются от среднего роста всех сыновей меньше, чем на x дюймов. Выявленная тенденция была названа «регрессией к среднему состоянию». Задача регрессионного анализа состоит в построении модели, позволяющей по значениям независимых показателей получать оценки значений зависимой переменной. Регрессионный анализ является основным средством исследования зависимостей между социально-экономическими переменными. Эту задачу мы рассмотрим в рамках самой распространенной в статистических пакетах классической модели линейной регрессии. Специфика социологических исследований состоит в том, что очень часто необходимо изучать и предсказывать социальные события. Вторая часть данной главы будет посвящена регрессии, целью которой является построение моделей, предсказывающих вероятности событий. Величина называется ошибкой регрессии. Первые математические результаты, связанные с регрессионным анализом, сделаны в предположении, что регрессионная ошибка распределена нормально с параметрами, ошибка для различных объектов считаются независимыми. Кроме того, в данной модели мы рассматриваем переменные как неслучайные значения. Такое, на практике, получается, когда идет активный эксперимент, в котором задают значения (например, назначили зарплату работнику), а затем измеряют (оценили, какой стала производительность труда).
Для точного описания уравнения регрессии необходимо знать условный закон распределения результативного показателя у. В статистической практике такую информацию получить обычно не удается, поэтому ограничиваются поиском подходящих аппроксимаций для функции f( x1, x2,…,хk ), основанных на исходных статистических данных.
В рамках
отдельных модельных допущений о типе
распределения вектора показателей
(у, x1, x2,…,хk ) может быть получен общий
вид уравнения регрессии f(x)=M(y/x) x=( x1,
x2,…,хk )
.
Например, в предложении, что исследуемая
совокупность показателей подчиняется
(k + 1) - мерному нормальному закону
распределения с вектором математических
ожиданий
M =
,
где Mx =
,
y
= MY
и ковариационной
матрицей
=
,
где yy
= 2у
= M (y-My)
;
yx =
;
xx =
;
ij = M (xi –
Mxi);(xj – Mxj); jj
= j
= M (xj – Mxj)
.[12]
Из этого следует, что уравнение регрессии (условное математическое ожидание) имеет вид:
M(y/x) = y
+
(x
- Mx).
Таким образом, если многомерная случайная величина (у, x1, x2,…,хk ) подчиняется (k +1)-мерному нормальному закону распределения, то уравнение регрессии результативного показателя у по объясняющим переменным x1, x2,…,хk имеет линейный по х вид. Метод включения и исключения переменных состоит в следующем. Из множества факторов, рассматриваемых исследователем как возможные аргументы регрессионного уравнения, отбирается один, который более всего связан корреляционной зависимостью. Далее проводится та же процедура при двух выбранных переменных, при трех и т.д. Процедура повторяется до тех пор, пока в уравнение не будут включены все аргументы выделенные исследователем, удовлетворяющие критериям значимости включения. Замечание: во избежание зацикливания процесса включения исключения значимость включения устанавливается меньше значимости исключения. Переменные, порождаемые регрессионным уравнением. Сохранение переменных, порождаемых регрессией, производится подкомандой. Благодаря полученным оценкам коэффициентов уравнения регрессии могут быть оценены прогнозные значения зависимой переменной, причем они могут быть вычислены и там, где значения определены, и там где они не определены.
Однако в статистической практике обычно приходится ограничиваться поиском подходящих аппроксимаций для неизвестной истинной функции регрессии f(x), так как исследователь не располагает точным знанием условного закона распределения вероятностей анализируемого результатирующего показателя у при заданных эначениях аргументов х=х.
Рассмотрим взаимоотношение между истиной f(х)= M(y/x), модельной у и оценкой у регрессии. Однако при небольшой взаимосвязи между переменными, если стандартизовать переменные и рассчитать уравнение регрессии для стандартизованных переменных, то оценки коэффициентов регрессии позволят по их абсолютной величине судить о том, какой аргумент в большей степени влияет на функцию. Стандартизация переменных. Бета коэффициенты. Коэффициенты в последнем уравнении получены при одинаковых масштабах изменения всех переменных и сравнимы. В случае взаимосвязи между аргументами в правой части уравнения могут происходить странные вещи. Надежность и значимость коэффициента регрессии. Здесь обозначен коэффициент детерминации, получаемый при построении уравнения регрессии, в котором в качестве зависимой переменной взята другая переменная. Из выражения видно, что величина коэффициента тем неустойчивее, чем сильнее переменная связана с остальными переменными. Эта статистика имеет распределение Стьюдента. В выдаче пакета печатается наблюдаемая ее двусторонняя значимость - вероятность случайно при нулевом регрессионном коэффициенте получить значение статистики, большее по абсолютной величине, чем выборочное. Значимость включения переменной в регрессию. При последовательном подборе переменных предусмотрена автоматизация, основанная на значимости включения и исключения переменных.
Пусть результативный показатель у связан с аргументом х соотношением::
y =
+
,
где - случайная величина, имеющая нормальный закон распределения, причем М = 0 и
D
=
.
Истинная функция регрессии в этом случае имеет вид:
F(x) = M(y/x) = 2x
.
Предположим,
что точный вид истинного уравнения
регрессии нам не известен, но мы
располагаем девятъю наблюдениями над
двумерной случайной величиной, связанной
соотношением уi = 2x
+
i,
и предcтавленной на рисунке:
у
f(x)
70


60
50
y
40

30
20





10
x
00 2 4 6 8 10
Взаимное расположение истинной f(x) и теоритической у модели регрессии.
Расположение точек на рисунке позволяет ограничиться классом линейных зависимостей вида: у = 0 + 1 x.[2]
С помощью метода наименьших квадратов найдем оценку уравнения регрессии
у = b0 +b1 x.
Дли сравнения
на рисунке приводятся графики истинной
функции регрессии f{х) =2x
,
теоретической аппроксимирующей функции
регрессии
=
0
+ 1
x. К последней сходится по вероятности
оценка уравнения регрессии
при неограниченном увеличении объема
выборки (n
).
Поскольку мы ошиблись в выборе класса функции регрессии, что, к сожалению, достаточно часто встречается в практике статистических исследований, то наши статистические выводы и оценки не будут обладать свойством состоятельности, т.е., как бы
мы не
увеличивали объем наблюдений, наша
выборочная оценка
не
будет сходиться к истинной функции
регрессии f(х). Задача
регрессионного анализа состоит в
построении модели, позволяющей по
значениям независимых показателей
получать оценки значений зависимой
переменной. Регрессионный анализ
является основным средством исследования
зависимостей между социально-экономическими
переменными. Эту задачу мы рассмотрим
в рамках самой распространенной в
статистических пакетах классической
модели линейной регрессии. Специфика
социологических исследований состоит
в том, что очень часто необходимо изучать
и предсказывать социальные события.
Вторая часть данной главы будет посвящена
регрессии, целью которой является
построение моделей, предсказывающих
вероятности событий. Величина называется
ошибкой регрессии. Первые математические
результаты, связанные с регрессионным
анализом, сделаны в предположении, что
регрессионная ошибка распределена
нормально с параметрами, ошибка для
различных объектов считаются независимыми.
Кроме того, в данной модели мы рассматриваем
переменные как неслучайные значения.
Такое, на практике, получается, когда
идет активный эксперимент, в котором
задают значения (например, назначили
зарплату работнику), а затем измеряют
(оценили, какой стала производительность
труда).
Если бы мы
правильно выбрали класс функций
регрессии, то неточность в описании
f(x) с помощью
объяснялась бы только ограниченностью
выборки и, следовательно, она могла бы
быть сделана сколько угодно малой при
n
.
С целью наилучшего восстановления по исходным статистическим данным условного значения результатирующего показателя у(х) и неизвестной функции регрессии f(x) = M(y/x) наиболее часто используют следующие критерии адекватности (функции потерь).[7]
1. Метод
наименьших квадратов, согласно которому
минимизируется квадрат отклонения
наблюдаемых значений результативного
показателя yi(i=1,2,…,n) от модельных значений
i
= f(xi, ),
где
= (0,
1,…,k)
-
коэффициенты уравнения регрессии, xi –
значение вектора аргументов в i-м
наблюдении:
.
Решается
задача отыскания оценки
вектора .
Получаемая регрессия называется
среднеквадратической. За
это иногда зависимую переменную называют
откликом. Теория регрессионных уравнений
со случайными независимыми переменными
сложнее, но известно, что, при большом
числе наблюдений, использование метода
разработанного корректно. Для получения
оценок коэффициентов регрессии
минимизируется сумма квадратов ошибок
регрессии. В пакете вычисляются
статистики, позволяющие решить эти
задачи. Существует ли линейная
регрессионная зависимость? Для проверки
одновременного отличия всех коэффициентов
регрессии от нуля проведем анализ
квадратичного разброса значений
зависимой переменной относительно
среднего. Его можно разложить на две
суммы следующим образом. Статистика в
условиях гипотезы равенства нулю
регрессионных коэффициентов имеет
распределение Фишера и, естественно,
по этой статистике проверяют, являются
ли коэффициенты одновременно нулевыми.
Коэффициенты детерминации и множественной
корреляции. При сравнении качества
регрессии, оцененной по различным
зависимым переменным, полезно исследовать
доли объясненной и необъясненной
дисперсии. Корень из коэффициента
детерминации называется коэффициентом
корреляции. Следует иметь в виду, что
является смещенной оценкой. Абсолютные
значения коэффициентов не позволяют
сделать такой вывод.
2. Метод
наименьших модулей, согласно которому
минимизируется сумма абсолютных
отклонений наблюдаемых значений
результативного показателя от модульных
значений
= f(xi, ),
т.е.
.
Получаемая регрессия называется среднеабсолютной (медианой).
3. Метод минимакса сводится к минимизации максимума модуля отклонения наблюдаемого значения результативного показателя yi от модельного значения f(xi, ), т.е.
.
Получаемая при этом регрессия называется минимаксной. Рассмотрим, что представляет собой эта значимость. Обозначим коэффициент детерминации, полученный при исключении из правой части уравнения переменной. При этом мы получим уменьшение объясненной дисперсии, на величину. Для оценки значимости включения переменной используется статистика, имеющая распределение Фишера при нулевом теоретическом приросте. Вообще, если из уравнения регрессии исключаются переменных, статистикой значимости исключения будет. Пошаговая процедура построения модели. Основным критерием отбора аргументов должно быть качественное представление о факторах, влияющих на зависимую переменную, которую мы пытаемся смоделировать. Очень хорошо реализован процесс построения регрессионной модели: на машину переложена значительная доля трудностей в решении этой задачи. Возможно построение последовательное построение модели добавлением и удалением блоков переменных. Но мы рассмотрим только работу с отдельными переменными. По умолчанию программа включает все заданные переменные.
В практических положениях часто встречаются задачи, в которых изучается случайная величина у, зависящая от некоторого множества переменных x1, x2,…,хk и неизвестных параметров j(j=0,1,2,…,k). Будем рассматривать (у, x1, x2,…,хk ) как
(k +1) – мерную генеральную совокупность, из которой взята случайная выборка объемов n, где (уi,xi1,xi2,…,xik) результат i-го наблюдения i=1,2,…,n. Требуется по результатам наблюдений оценить неизвестные параметры j(j=0,1,2,…,k). [4]
1.1. Функциональные и стохастические связи.
Между различными явлениями и их признаками необходимо прежде всего выделить 2 типа связей: функциональную (жестко детерминированную) и статистическую (стохастически детерминированную).
В соответствии с жестко детерминистическим представлением о функционировании экономических систем необходимость и закономерность однозначно проявляются в каждом отдельном явлении, то есть любое действие вызывает строго определенный результат; случайными (непредвиденными заранее) воздействиями при этом пренебрегают. Поэтому при заданных начальных условиях состояние такой системы может быть определено с вероятностью, равной 1. Разновидностью такой закономерности является функциональная связь. Задача регрессионного анализа состоит в построении модели, позволяющей по значениям независимых показателей получать оценки значений зависимой переменной. Регрессионный анализ является основным средством исследования зависимостей между социально-экономическими переменными. Эту задачу мы рассмотрим в рамках самой распространенной в статистических пакетах классической модели линейной регрессии. Специфика социологических исследований состоит в том, что очень часто необходимо изучать и предсказывать социальные события. Вторая часть данной главы будет посвящена регрессии, целью которой является построение моделей, предсказывающих вероятности событий. Величина называется ошибкой регрессии. Первые математические результаты, связанные с регрессионным анализом, сделаны в предположении, что регрессионная ошибка распределена нормально с параметрами, ошибка для различных объектов считаются независимыми. Кроме того, в данной модели мы рассматриваем переменные как неслучайные значения. Такое, на практике, получается, когда идет активный эксперимент, в котором задают значения (например, назначили зарплату работнику), а затем измеряют (оценили, какой стала производительность труда).
Связь признака у с признаком х называется функциональной, если каждому возможному значению независимого признака х соответствует 1 или несколько строго определенных значений зависимого признака у. Определение функциональной связи может быть легко обобщено для случая многих признаков х1,х2 …хn . Метод включения и исключения переменных состоит в следующем. Из множества факторов, рассматриваемых исследователем как возможные аргументы регрессионного уравнения, отбирается один, который более всего связан корреляционной зависимостью. Далее проводится та же процедура при двух выбранных переменных, при трех и т.д. Процедура повторяется до тех пор, пока в уравнение не будут включены все аргументы, выделенные исследователем, удовлетворяющие критериям значимости включения. Замечание: во избежание зацикливания процесса включения исключения значимость включения устанавливается меньше значимости исключения. Переменные, порождаемые регрессионным уравнением. Сохранение переменных, порождаемых регрессией, производится подкомандой. Благодаря полученным оценкам коэффициентов уравнения регрессии могут быть оценены прогнозные значения зависимой переменной, причем они могут быть вычислены и там, где значения определены, и там где они не определены.
Характерной особенностью функциональных связей является то, что в каждом отдельном случае известен полный перечень факторов, определяющих значение зависимого (результативного) признака, а также точный механизм их влияния, выраженный определенным уравнением.
Функциональную связь можно представить уравнением:
yi= (xi),
где yi - результативный признак ( i = 1, … , n);
f(xi) - известная функция связи результативного и факторного признаков;
xi - факторный признак.[11]
В реальной общественной жизни ввиду неполноты информации жестко детерминированной системы, может возникнуть неопределенность, из-за которой эта система по своей природе должна рассматриваться как вероятностная, при этом связь между признаками становится стахостической.
Стахостическая связь – это связь между величинами, при которой одна из них, случайная величина у, реагирует на изменение другой величины х или других величин х1,х2 …хn (случайных или неслучайных) изменением закона распределения. Это обуславливается тем, что зависимая переменная (результативный признак), кроме рассматриваемых независимых, подвержена влиянию ряда неучтенных или неконтролируемых (случайных) факторов, а также некоторых неизбежных ошибок измерения переменных. Поскольку значения зависимой переменной подвержены случайному разбросу, они не могут быть предсказаны с достаточной точностью, а только указаны с определенной вероятностью.
Характерной особенностью стахостических связей является то, что они проявляются во всей совокупности, а не в каждой ее единице. Причём неизвестен ни полный перечень факторов, определяющих значение результативного признака, ни точный механизм их функционирования и взаимодействия с результативным признаком. Всегда имеет место влияние случайного. Появляющиеся различные значения зависимой переменной – реализация случайной величины. Однако при небольшой взаимосвязи между переменными, если стандартизовать переменные и рассчитать уравнение регрессии для стандартизованных переменных, то оценки коэффициентов регрессии позволят по их абсолютной величине судить о том, какой аргумент в большей степени влияет на функцию. Стандартизация переменных. Бета коэффициенты. Коэффициенты в последнем уравнении получены при одинаковых масштабах изменения всех переменных и сравнимы. В случае взаимосвязи между аргументами в правой части уравнения могут происходить странные вещи. Надежность и значимость коэффициента регрессии. Здесь обозначен коэффициент детерминации, получаемый при построении уравнения регрессии, в котором в качестве зависимой переменной взята другая переменная. Из выражения видно, что величина коэффициента тем неустойчивее, чем сильнее переменная связана с остальными переменными. Эта статистика имеет распределение Стьюдента. В выдаче пакета печатается наблюдаемая ее двусторонняя значимость - вероятность случайно при нулевом регрессионном коэффициенте получить значение статистики, большее по абсолютной величине, чем выборочное. Значимость включения переменной в регрессию. При последовательном подборе переменных предусмотрена автоматизация, основанная на значимости включения и исключения переменных.
Модель стохастической связи может быть представлена в общем виде уравнением:
ŷi = (xi) + i ,
где ŷi - расчётное значение результативного признака;
f(xi) - часть результативного признака, сформировавшаяся под воздействием учтенных известных факторных признаков(одного или множества), находящихся в стахостической связи с признаком;
i - часть результативного признака, возникшая в следствие действия неконтролируемых или неучтенных факторов, а также измерения признаков, неизбежно сопровождающегося некоторыми случайными ошибками. За это иногда зависимую переменную называют откликом. Теория регрессионных уравнений со случайными независимыми переменными сложнее, но известно, что, при большом числе наблюдений, использование метода разработанного корректно. Для получения оценок коэффициентов регрессии минимизируется сумма квадратов ошибок регрессии. В пакете вычисляются статистики, позволяющие решить эти задачи. Существует ли линейная регрессионная зависимость? Для проверки одновременного отличия всех коэффициентов регрессии от нуля проведем анализ квадратичного разброса значений зависимой переменной относительно среднего. Его можно разложить на две суммы следующим образом. Статистика в условиях гипотезы равенства нулю регрессионных коэффициентов имеет распределение Фишера и, естественно, по этой статистике проверяют, являются ли коэффициенты одновременно нулевыми. Коэффициенты детерминации и множественной корреляции. При сравнении качества регрессии, оцененной по различным зависимым переменным, полезно исследовать доли объясненной и необъясненной дисперсии. Корень из коэффициента детерминации называется коэффициентом корреляции. Следует иметь в виду, что является смещенной оценкой. Абсолютные значения коэффициентов не позволяют сделать такой вывод.
Проявление стохастических связей подвержено действию закона больших чисел: лишь в достаточно большом числе единиц индивидуальные особенности сгладятся, случайности взаимопогасятся, и зависимость, если она имеет существенную силу, проявится достаточно отчётливо. [6]
Корреляционная связь существует там, где взаимосвязанные явления характеризуются только случайными величинами. При такой связи среднее значение (математическое ожидание) случайной величины результативного признака у закономерно изменяется в зависимости от изменения другой величины х или других случайных величин х1,х2 …хn. Корреляционная связь проявляется не в каждом отдельном случае, а во всей совокупности в целом. Только при достаточно большом количестве случаев каждому значению случайного признака х будет соответствовать распределение средних значений случайного признака у. Наличие корреляционных связей присуще многим общественным явлениям. Задача регрессионного анализа состоит в построении модели, позволяющей по значениям независимых показателей получать оценки значений зависимой переменной. Регрессионный анализ является основным средством исследования зависимостей между социально-экономическими переменными. Эту задачу мы рассмотрим в рамках самой распространенной в статистических пакетах классической модели линейной регрессии. Специфика социологических исследований состоит в том, что очень часто необходимо изучать и предсказывать социальные события. Вторая часть данной главы будет посвящена регрессии, целью которой является построение моделей, предсказывающих вероятности событий. Величина называется ошибкой регрессии. Первые математические результаты, связанные с регрессионным анализом, сделаны в предположении, что регрессионная ошибка распределена нормально с параметрами, ошибка для различных объектов считаются независимыми. Кроме того, в данной модели мы рассматриваем переменные как неслучайные значения. Такое, на практике, получается, когда идет активный эксперимент, в котором задают значения (например, назначили зарплату работнику), а затем измеряют (оценили, какой стала производительность труда).
Корреляционная связь – понятие более узкое, чем стохастическая связь. Последняя может отражаться не только в изменении средней величины, но и в вариации одного признака в зависимости от другого, то есть любой другой характеристики вариации. Таким образом, корреляционная связь является частным случаем стохастической связи.
Прямые и обратные связи. В зависимости от направления действия, функциональные и стахостические связи могут быть прямые и обратные. При прямой связи направление изменения результативного признака совпадает с направлением изменения признака-фактора, то есть с увеличением факторного признака увеличивается и результативный, и, наоборот, с уменьшением факторного признака уменьшается и результативный признак. В противном случае между рассматриваемыми величинами существуют обратные связи. Например, чем выше квалификация рабочего (разряд), тем выше уровень производительности труда – прямая связь. А чем выше производительность труда, тем ниже себестоимость единицы продукции – обратная связь. Рассмотрим, что представляет собой эта значимость. Обозначим коэффициент детерминации, полученный при исключении из правой части уравнения переменной. При этом мы получим уменьшение объясненной дисперсии, на величину. Для оценки значимости включения переменной используется статистика, имеющая распределение Фишера при нулевом теоретическом приросте. Вообще, если из уравнения регрессии исключаются переменных, статистикой значимости исключения будет. Пошаговая процедура построения модели. Основным критерием отбора аргументов должно быть качественное представление о факторах, влияющих на зависимую переменную, которую мы пытаемся смоделировать. Очень хорошо реализован процесс построения регрессионной модели: на машину переложена значительная доля трудностей в решении этой задачи. Возможно построение последовательное построение модели добавлением и удалением блоков переменных. Но мы рассмотрим только работу с отдельными переменными. По умолчанию программа включает все заданные переменные.
Прямолинейные и криволинейные связи. По аналитическому выражению (форме) связи могут быть прямолинейными и криволинейными. При прямолинейной связи с возрастанием значения факторного признака происходит непрерывное возрастание (или убывание) значений результативного признака. Математически такая связь представляется уравнением прямой, а графически – прямой линией. Отсюда ее более короткое название – линейная связь. При криволинейных связях с возрастанием значения факторного признака возрастание (или убывание) результативного признака происходит неравномерно, или же направление его изменения меняется на обратное. Геометрически такие связи представляются кривыми линиями (гиперболой, параболой и т.д.).
Однофакторные и многофакторные связи. По количеству факторов, действующих на результативный признак, связи различаются: однофакторные (один фактор) и многофакторные (два и более факторов). Однофакторные (простые) связи обычно называются парными (т.к. рассматривается пара признаков). Например, корреляционная связь между прибылью и производительностью труда. В случае многофакторной (множественной) связи имеют в виду, что все факторы действуют комплексно, то есть одновременно и во взаимосвязи. Например, корреляционная связь между производительностью труда и уровнем организации труда, автоматизации производства, квалификации рабочих, производственным стажем, простоями и другими факторными признаками. С помощью множественной корреляции можно охватить весь комплекс факторных признаков и объективно отразить существующие множественные связи. Метод включения и исключения переменных состоит в следующем. Из множества факторов, рассматриваемых исследователем как возможные аргументы регрессионного уравнения, отбирается один, который более всего связан корреляционной зависимостью. Далее проводится та же процедура при двух выбранных переменных, при трех и т.д. Процедура повторяется до тех пор, пока в уравнение не будут включены все аргументы, выделенные исследователем, удовлетворяющие критериям значимости включения. Замечание: во избежание зацикливания процесса включения исключения значимость включения устанавливается меньше значимости исключения. Переменные, порождаемые регрессионным уравнением. Сохранение переменных, порождаемых регрессией, производится подкомандой. Благодаря полученным оценкам коэффициентов уравнения регрессии могут быть оценены прогнозные значения зависимой переменной, причем они могут быть вычислены и там, где значения определены, и там где они не определены.
1.2. Статистические методы моделирования связи.
Для исследования стохастических связей широко используется метод сопоставления двух параллельных рядов, метод аналитических группировок, корреляционный анализ, регрессионный анализ и некоторые непараметрические методы.[1]
Метод сопоставления двух параллельных рядов является одним из простейших методов. Для этого факторы, характеризующие результативный признак располагают в возрастающем или убывающем порядке (в зависимости от эволюции процесса и цели исследования), а затем прослеживают изменение величины результативного признака. Сопоставление и анализ расположенных таким образом рядов значений изучаемых величин позволяют установить наличие связи и ее направление. Зависимость между факторами и показателями может прослеживаться во времени (параллельные динамические ряды). Однако при небольшой взаимосвязи между переменными, если стандартизовать переменные и рассчитать уравнение регрессии для стандартизованных переменных, то оценки коэффициентов регрессии позволят по их абсолютной величине судить о том, какой аргумент в большей степени влияет на функцию. Стандартизация переменных. Бета коэффициенты. Коэффициенты в последнем уравнении получены при одинаковых масштабах изменения всех переменных и сравнимы. В случае взаимосвязи между аргументами в правой части уравнения могут происходить странные вещи. Надежность и значимость коэффициента регрессии. Здесь обозначен коэффициент детерминации, получаемый при построении уравнения регрессии, в котором в качестве зависимой переменной взята другая переменная. Из выражения видно, что величина коэффициента тем неустойчивее, чем сильнее переменная связана с остальными переменными. Эта статистика имеет распределение Стьюдента. В выдаче пакета печатается наблюдаемая ее двусторонняя значимость - вероятность случайно при нулевом регрессионном коэффициенте получить значение статистики, большее по абсолютной величине, чем выборочное. Значимость включения переменной в регрессию. При последовательном подборе переменных предусмотрена автоматизация, основанная на значимости включения и исключения переменных.
Метод аналитических группировок тоже относится к простейшим методам. Чтобы выявить зависимость с помощью этого метода, нужно произвести группировку единиц совокупности по факторному признаку и для каждой группы вычислить среднее или относительное значение результативного признака. Сопоставляя затем изменения результативного признака по мере изменения факторного можно выявить направление, характер и тесноту связи между ними. Задача регрессионного анализа состоит в построении модели, позволяющей по значениям независимых показателей получать оценки значений зависимой переменной. Регрессионный анализ является основным средством исследования зависимостей между социально-экономическими переменными. Эту задачу мы рассмотрим в рамках самой распространенной в статистических пакетах классической модели линейной регрессии. Специфика социологических исследований состоит в том, что очень часто необходимо изучать и предсказывать социальные события. Вторая часть данной главы будет посвящена регрессии, целью которой является построение моделей, предсказывающих вероятности событий. Величина называется ошибкой регрессии. Первые математические результаты, связанные с регрессионным анализом, сделаны в предположении, что регрессионная ошибка распределена нормально с параметрами, ошибка для различных объектов считаются независимыми. Кроме того, в данной модели мы рассматриваем переменные как неслучайные значения. Такое, на практике, получается, когда идет активный эксперимент, в котором задают значения (например, назначили зарплату работнику), а затем измеряют (оценили, какой стала производительность труда).
В общем виде задача статистики в области изучения взаимосвязей состоит не только в количественной оценке их наличия, направления и силы связи, но и в определении формы (аналитического выражения) влияния факторных признаков на результативный. За это иногда зависимую переменную называют откликом. Теория регрессионных уравнений со случайными независимыми переменными сложнее, но известно, что, при большом числе наблюдений, использование метода разработанного корректно. Для получения оценок коэффициентов регрессии минимизируется сумма квадратов ошибок регрессии. В пакете вычисляются статистики, позволяющие решить эти задачи. Существует ли линейная регрессионная зависимость? Для проверки одновременного отличия всех коэффициентов регрессии от нуля проведем анализ квадратичного разброса значений зависимой переменной относительно среднего. Его можно разложить на две суммы следующим образом. Статистика в условиях гипотезы равенства нулю регрессионных коэффициентов имеет распределение Фишера и, естественно, по этой статистике проверяют, являются ли коэффициенты одновременно нулевыми. Коэффициенты детерминации и множественной корреляции. При сравнении качества регрессии, оцененной по различным зависимым переменным, полезно исследовать доли объясненной и необъясненной дисперсии. Корень из коэффициента детерминации называется коэффициентом корреляции. Следует иметь в виду, что является смещенной оценкой. Абсолютные значения коэффициентов не позволяют сделать такой вывод.
1.3. Статистическое моделирование связи методом корреляционного и регрессионного анализа.
Задачи корреляционного анализа сводятся к измерению тесноты известной связи между варьирующими признаками, определению неизвестных причинных связей (причинный характер которых должен быть выяснен с помощью теоретического анализа) и оценки факторов, оказывающих наибольшее влияние на результативный признак. [4]
Задачами регрессионного анализа являются выбор типа модели (формы связи), установление степени влияния независимых переменных на зависимую и определение расчётных значений зависимой переменной (функции регрессии). Задача регрессионного анализа состоит в построении модели, позволяющей по значениям независимых показателей получать оценки значений зависимой переменной. Регрессионный анализ является основным средством исследования зависимостей между социально-экономическими переменными. Эту задачу мы рассмотрим в рамках самой распространенной в статистических пакетах классической модели линейной регрессии. Специфика социологических исследований состоит в том, что очень часто необходимо изучать и предсказывать социальные события. Вторая часть данной главы будет посвящена регрессии, целью которой является построение моделей, предсказывающих вероятности событий. Величина называется ошибкой регрессии. Первые математические результаты, связанные с регрессионным анализом, сделаны в предположении, что регрессионная ошибка распределена нормально с параметрами, ошибка для различных объектов считаются независимыми. Кроме того, в данной модели мы рассматриваем переменные как неслучайные значения. Такое, на практике, получается, когда идет активный эксперимент, в котором задают значения (например, назначили зарплату работнику), а затем измеряют (оценили, какой стала производительность труда).
Решение всех названных задач приводит к необходимости комплексного использования этих методов. Рассмотрим, что представляет собой эта значимость. Обозначим коэффициент детерминации, полученный при исключении из правой части уравнения переменной. При этом мы получим уменьшение объясненной дисперсии, на величину. Для оценки значимости включения переменной используется статистика, имеющая распределение Фишера при нулевом теоретическом приросте. Вообще, если из уравнения регрессии исключаются переменных, статистикой значимости исключения будет. Пошаговая процедура построения модели. Основным критерием отбора аргументов должно быть качественное представление о факторах, влияющих на зависимую переменную, которую мы пытаемся смоделировать. Очень хорошо реализован процесс построения регрессионной модели: на машину переложена значительная доля трудностей в решении этой задачи. Возможно построение последовательное построение модели добавлением и удалением блоков переменных. Но мы рассмотрим только работу с отдельными переменными. По умолчанию программа включает все заданные переменные.
Корреляционный и регрессионный анализ. Исследование связей в условиях массового наблюдения и действия случайных факторов осуществляется, как правило, с помощью экономико-статистических моделей. В широком смысле модель – это аналог, условный образ (изображение, описание, схема, чертёж и т.п.) какого-либо объекта, процесса или события, приближенно воссоздающий «оригинал». Модель представляет собой логическое или математическое описание компонентов и функций, отображающих существенные свойства моделируемого объекта или процесса, даёт возможность установить основные закономерности изменения оригинала. В модели оперируют показателями, исчисленными для качественно однородных массовых явлений (совокупностей). Выражение и модели в виде функциональных уравнений используют для расчёта средних значений моделируемого показателя по набору заданных величин и для выявления степени влияния на него отдельных факторов. Метод включения и исключения переменных состоит в следующем. Из множества факторов, рассматриваемых исследователем как возможные аргументы регрессионного уравнения, отбирается один, который более всего связан корреляционной зависимостью. Далее проводится та же процедура при двух выбранных переменных, при трех и т.д. Процедура повторяется до тех пор, пока в уравнение не будут включены все аргументы, выделенные исследователем, удовлетворяющие критериям значимости включения. Замечание: во избежание зацикливания процесса включения исключения значимость включения устанавливается меньше значимости исключения. Переменные, порождаемые регрессионным уравнением. Сохранение переменных, порождаемых регрессией, производится подкомандой. Благодаря полученным оценкам коэффициентов уравнения регрессии могут быть оценены прогнозные значения зависимой переменной, причем они могут быть вычислены и там, где значения определены, и там где они не определены.
По количеству включаемых факторов модели могут быть однофакторными и многофакторными (два и более факторов).
В зависимости от познавательной цели статистические модели подразделяются на структурные, динамические и модели связи.
Двухмерная линейная модель корреляционного и регрессионного анализа (однофакторный линейный корреляционный и регрессионный анализ). Наиболее разработанной в теории статистики является методология так называемой парной корреляции, рассматривающая влияние вариации факторного анализа х на результативный признак у и представляющая собой однофакторный корреляционный и регрессионный анализ. Овладение теорией и практикой построения и анализа двухмерной модели корреляционного и регрессионного анализа представляет собой исходную основу для изучения многофакторных стохастических связей. Однако при небольшой взаимосвязи между переменными, если стандартизовать переменные и рассчитать уравнение регрессии для стандартизованных переменных, то оценки коэффициентов регрессии позволят по их абсолютной величине судить о том, какой аргумент в большей степени влияет на функцию. Стандартизация переменных. Бета коэффициенты. Коэффициенты в последнем уравнении получены при одинаковых масштабах изменения всех переменных и сравнимы. В случае взаимосвязи между аргументами в правой части уравнения могут происходить странные вещи. Надежность и значимость коэффициента регрессии. Здесь обозначен коэффициент детерминации, получаемый при построении уравнения регрессии, в котором в качестве зависимой переменной взята другая переменная. Из выражения видно, что величина коэффициента тем неустойчивее, чем сильнее переменная связана с остальными переменными. Эта статистика имеет распределение Стьюдента. В выдаче пакета печатается наблюдаемая ее двусторонняя значимость - вероятность случайно при нулевом регрессионном коэффициенте получить значение статистики, большее по абсолютной величине, чем выборочное. Значимость включения переменной в регрессию. При последовательном подборе переменных предусмотрена автоматизация, основанная на значимости включения и исключения переменных.
Важнейшим этапом построения регрессионной модели (уравнения регрессии) является установление в анализе исходной информации математической функции. Сложность заключается в том, что из множества функций необходимо найти такую, которая лучше других выражает реально существующие связи между анализируемыми признаками. Выбор типов функции может опираться на теоретические знания об изучаемом явлении, опят предыдущих аналогичных исследований, или осуществляться эмпирически – перебором и оценкой функций разных типов и т.п. [10]
При изучении связи экономических показателей производства (деятельности) используют различного вида уравнения прямолинейной и криволинейной связи. Внимание к линейным связям объясняется ограниченной вариацией переменных и тем, что в большинстве случаев нелинейные формы связи для выполнения расчётов преобразуют (путём логарифмирования или замены переменных) в линейную форму. Уравнение однофакторной (парной) линейной корреляционной связи имеет вид:
ŷ = a0 + a1x ,
где ŷ - теоретические значения результативного признака, полученные по уравнению регрессии;
a0 , a1 - коэффициенты (параметры) уравнения регрессии. Задача регрессионного анализа состоит в построении модели, позволяющей по значениям независимых показателей получать оценки значений зависимой переменной. Регрессионный анализ является основным средством исследования зависимостей между социально-экономическими переменными. Эту задачу мы рассмотрим в рамках самой распространенной в статистических пакетах классической модели линейной регрессии. Специфика социологических исследований состоит в том, что очень часто необходимо изучать и предсказывать социальные события. Вторая часть данной главы будет посвящена регрессии, целью которой является построение моделей, предсказывающих вероятности событий. Величина называется ошибкой регрессии. Первые математические результаты, связанные с регрессионным анализом, сделаны в предположении, что регрессионная ошибка распределена нормально с параметрами, ошибка для различных объектов считаются независимыми. Кроме того, в данной модели мы рассматриваем переменные как неслучайные значения. Такое, на практике, получается, когда идет активный эксперимент, в котором задают значения (например, назначили зарплату работнику), а затем измеряют (оценили, какой стала производительность труда).
Поскольку a0 является средним значением у в точке х=0, экономическая интерпретация часто затруднена или вообще невозможна. За это иногда зависимую переменную называют откликом. Теория регрессионных уравнений со случайными независимыми переменными сложнее, но известно, что, при большом числе наблюдений, использование метода разработанного корректно. Для получения оценок коэффициентов регрессии минимизируется сумма квадратов ошибок регрессии. В пакете вычисляются статистики, позволяющие решить эти задачи. Существует ли линейная регрессионная зависимость? Для проверки одновременного отличия всех коэффициентов регрессии от нуля проведем анализ квадратичного разброса значений зависимой переменной относительно среднего. Его можно разложить на две суммы следующим образом. Статистика в условиях гипотезы равенства нулю регрессионных коэффициентов имеет распределение Фишера и, естественно, по этой статистике проверяют, являются ли коэффициенты одновременно нулевыми. Коэффициенты детерминации и множественной корреляции. При сравнении качества регрессии, оцененной по различным зависимым переменным, полезно исследовать доли объясненной и необъясненной дисперсии. Корень из коэффициента детерминации называется коэффициентом корреляции. Следует иметь в виду, что является смещенной оценкой. Абсолютные значения коэффициентов не позволяют сделать такой вывод.
Коэффициент парной линейной регрессии a1 имеет смысл показателя силы связи между вариацией факторного признака х и вариацией результативного признака у. Вышеприведенное уравнение показывает среднее значение изменения результативного признака у при изменении факторного признака х на одну единицу его измерения, то есть вариацию у, приходящуюся на единицу вариации х. Знак a1 указывает направление этого изменения.
Параметры уравнения a0 , a1 находят методом наименьших квадратов (метод решения систем уравнений, при котором в качестве решения принимается точка минимума суммы квадратов отклонений), то есть в основу этого метода положено требование минимальности сумм квадратов отклонений эмпирических данных yi от выравненных ŷ :
(yi – ŷ)2 = (yi – a0 – a1xi)2 min [9]
Для нахождения минимума данной функции приравняем к нулю ее частные производные и получим систему двух линейных уравнений, которая называется системой нормальных уравнений:

.
Р
ешим
эту систему в общем виде:

П


араметры
уравнения парной линейной регрессии
иногда удобно исчислять по следующим
формулам, дающим тот же результат:
О
пределив
значения a0 , a1 и подставив их в уравнение
связи ŷ = a0 + a1x , находим значения ŷ ,
зависящие только от заданного значения
х.
Рассмотрим построение однофакторного уравнения регрессии зависимости работающих активов у от капитала х (см. таблица 1). Рассмотрим, что представляет собой эта значимость. Обозначим коэффициент детерминации, полученный при исключении из правой части уравнения переменной. При этом мы получим уменьшение объясненной дисперсии, на величину. Для оценки значимости включения переменной используется статистика, имеющая распределение Фишера при нулевом теоретическом приросте. Вообще, если из уравнения регрессии исключаются переменных, статистикой значимости исключения будет. Пошаговая процедура построения модели. Основным критерием отбора аргументов должно быть качественное представление о факторах, влияющих на зависимую переменную, которую мы пытаемся смоделировать. Очень хорошо реализован процесс построения регрессионной модели: на машину переложена значительная доля трудностей в решении этой задачи. Возможно построение последовательное построение модели добавлением и удалением блоков переменных. Но мы рассмотрим только работу с отдельными переменными. По умолчанию программа включает все заданные переменные.
Здесь представлены показатели 32 банков: размер капитала и работающих активов. Передо мной стоит задача определить, есть ли зависимость между этими двумя признаками и, если она существует, определить форму этой зависимости, то есть уравнение регрессии.
За факторный признак я взяла размер капитала банка, а за результативный признак – работающие активы. [11]
Сопоставление данных параллельных рядов признаков х и у показывает, что с убыванием признака х (капитал), в большинстве случаев убывает и признак у (работающие активы). Задача регрессионного анализа состоит в построении модели, позволяющей по значениям независимых показателей получать оценки значений зависимой переменной. Регрессионный анализ является основным средством исследования зависимостей между социально-экономическими переменными. Эту задачу мы рассмотрим в рамках самой распространенной в статистических пакетах классической модели линейной регрессии. Специфика социологических исследований состоит в том, что очень часто необходимо изучать и предсказывать социальные события. Вторая часть данной главы будет посвящена регрессии, целью которой является построение моделей, предсказывающих вероятности событий. Величина называется ошибкой регрессии. Первые математические результаты, связанные с регрессионным анализом, сделаны в предположении, что регрессионная ошибка распределена нормально с параметрами, ошибка для различных объектов считаются независимыми. Кроме того, в данной модели мы рассматриваем переменные как неслучайные значения. Такое, на практике, получается, когда идет активный эксперимент, в котором задают значения (например, назначили зарплату работнику), а затем измеряют (оценили, какой стала производительность труда).
Следовательно, можно предположить, что между х и у существует прямая зависимость, пусть неполная, но выраженная достаточно ясно.
Для уточнения формы связи между рассматриваемыми признаками я использовала графический метод. Я нанес на график точки, соответствующие значениям х и у, и получила корреляционное поле (см. график 1). Метод включения и исключения переменных состоит в следующем. Из множества факторов, рассматриваемых исследователем как возможные аргументы регрессионного уравнения, отбирается один, который более всего связан корреляционной зависимостью. Далее проводится та же процедура при двух выбранных переменных, при трех и т.д. Процедура повторяется до тех пор, пока в уравнение не будут включены все аргументы, выделенные исследователем, удовлетворяющие критериям значимости включения. Замечание: во избежание зацикливания процесса включения исключения значимость включения устанавливается меньше значимости исключения. Переменные, порождаемые регрессионным уравнением. Сохранение переменных, порождаемых регрессией, производится подкомандой. Благодаря полученным оценкам коэффициентов уравнения регрессии могут быть оценены прогнозные значения зависимой переменной, причем они могут быть вычислены и там, где значения определены, и там где они не определены.
Анализируя поле корреляции, можно предположить, что возрастание признака у идет пропорционально признаку х. В основе этой зависимости лежит прямолинейная связь, которая может быть выражена простым линейным уравнением регрессии:
ŷ = a0 + a1x,
где ŷ - теоретические расчётные значения результативного признака (работающие активы), полученные по уравнению регрессии;
a0 , a1 - коэффициенты (параметры) уравнения регрессии;
х – капитал исследуемых банков.
Пользуясь вышеуказанными формулами для вычисления параметров линейного уравнения регрессии и расчётными значениями из таблицы 1, получаем:

Следовательно, регрессионная модель зависимости работающих активов от капитала банков может быть записана в виде конкретного простого уравнения регрессии:
.[4]
Это уравнение характеризует зависимость работающих активов от капитала банка. Расчётные значения ŷ , найденные по этому уравнению, приведены в таблице 1. Правильность расчёта параметров уравнения регрессии может быть проверена сравниванием сумм ∑у = ∑ŷ . В моем случае эти суммы равны. Однако при небольшой взаимосвязи между переменными, если стандартизовать переменные и рассчитать уравнение регрессии для стандартизованных переменных, то оценки коэффициентов регрессии позволят по их абсолютной величине судить о том, какой аргумент в большей степени влияет на функцию. Стандартизация переменных. Бета коэффициенты. Коэффициенты в последнем уравнении получены при одинаковых масштабах изменения всех переменных и сравнимы. В случае взаимосвязи между аргументами в правой части уравнения могут происходить странные вещи. Надежность и значимость коэффициента регрессии. Здесь обозначен коэффициент детерминации, получаемый при построении уравнения регрессии, в котором в качестве зависимой переменной взята другая переменная. Из выражения видно, что величина коэффициента тем неустойчивее, чем сильнее переменная связана с остальными переменными. Эта статистика имеет распределение Стьюдента. В выдаче пакета печатается наблюдаемая ее двусторонняя значимость - вероятность случайно при нулевом регрессионном коэффициенте получить значение статистики, большее по абсолютной величине, чем выборочное. Значимость включения переменной в регрессию. При последовательном подборе переменных предусмотрена автоматизация, основанная на значимости включения и исключения переменных.
Но для того, чтобы применить мою формулу, надо рассчитать, насколько она приближенна к реальности, то есть проверить ее адекватность.
2. Проверка адекватности регрессионной модели.
Для практического использования моделей регрессии большое значение имеет их адекватность, т.е. соответствие фактическим статистическим данным.
Корреляционный и регрессионный анализ обычно (особенно в условиях так называемого малого и среднего бизнеса) проводится для ограниченной по объёму совокупности. Поэтому показатели регрессии и корреляции – параметры уравнения регрессии, коэффициенты корреляции и детерминации могут быть искажены действием случайных факторов. Чтобы проверить, насколько эти показатели характерны для всей генеральной совокупности, не являются ли они результатом стечения случайных обстоятельств, необходимо проверить адекватность построенных статистических моделей.
При численности объектов анализа до 30 единиц возникает необходимость проверки значимости (существенности) каждого коэффициента регрессии. При этом выясняют насколько вычисленные параметры характерны для отображения комплекса условий: не являются ли полученные значения параметров результатами действия случайных причин. Задача регрессионного анализа состоит в построении модели, позволяющей по значениям независимых показателей получать оценки значений зависимой переменной. Регрессионный анализ является основным средством исследования зависимостей между социально-экономическими переменными. Эту задачу мы рассмотрим в рамках самой распространенной в статистических пакетах классической модели линейной регрессии. Специфика социологических исследований состоит в том, что очень часто необходимо изучать и предсказывать социальные события. Вторая часть данной главы будет посвящена регрессии, целью которой является построение моделей, предсказывающих вероятности событий. Величина называется ошибкой регрессии. Первые математические результаты, связанные с регрессионным анализом, сделаны в предположении, что регрессионная ошибка распределена нормально с параметрами, ошибка для различных объектов считаются независимыми. Кроме того, в данной модели мы рассматриваем переменные как неслучайные значения. Такое, на практике, получается, когда идет активный эксперимент, в котором задают значения (например, назначили зарплату работнику), а затем измеряют (оценили, какой стала производительность труда).
З
начимость
коэффициентов простой линейной регрессии
(применительно к совокупностям, у которых
n<30) осуществляют с помощью t-критерия
Стьюдента. При этом вычисляют расчетные
(фактические) значения t-критерия
д
ля
параметра a0 :

для
параметра a1 :
где n - объём выборки;
- среднее квадратическое отклонение результативного признака от выравненных значений ŷ ;
или

- среднее
квадратическое отклонение факторного
признака x от общей средней
.
[8]
Вычисленные
по вышеприведенным формулам значения
сравнивают с критическими t , которые
определяют по таблице Стьюдента с учетом
принятого уровня значимости α и числом
степеней свободы вариации
.
В социально-экономических исследованиях
уровень значимости α обычно принимают
равным 0,05. Параметр признаётся значимым
(существенным) при условии, если tрасч>
tтабл . В таком случае практически
невероятно, что найденные значения
параметров обусловлены только случайными
совпадениями. За
это иногда зависимую переменную называют
откликом. Теория регрессионных уравнений
со случайными независимыми переменными
сложнее, но известно, что, при большом
числе наблюдений, использование метода
разработанного корректно. Для получения
оценок коэффициентов регрессии
минимизируется сумма квадратов ошибок
регрессии. В пакете вычисляются
статистики, позволяющие решить эти
задачи. Существует ли линейная
регрессионная зависимость? Для проверки
одновременного отличия всех коэффициентов
регрессии от нуля проведем анализ
квадратичного разброса значений
зависимой переменной относительно
среднего. Его можно разложить на две
суммы следующим образом. Статистика в
условиях гипотезы равенства нулю
регрессионных коэффициентов имеет
распределение Фишера и, естественно,
по этой статистике проверяют, являются
ли коэффициенты одновременно нулевыми.
Коэффициенты детерминации и множественной
корреляции. При сравнении качества
регрессии, оцененной по различным
зависимым переменным, полезно исследовать
доли объясненной и необъясненной
дисперсии. Корень из коэффициента
детерминации называется коэффициентом
корреляции. Следует иметь в виду, что
является смещенной оценкой. Абсолютные
значения коэффициентов не позволяют
сделать такой вывод.
Т
еперь
я рассчитаю t-критерий Стьюдента для
моей модели регрессии.
- это средние квадратические отклонения.

Р

асчетные
значения t-критерия Стьюдента:
По таблице распределения Стьюдента я нахожу критическое значение t-критерия для ν= 32-2 = 30 . Вероятность α я принимаю 0,05. tтабл равно 2,042. Так как, оба значения ta0 и ta1 больше tтабл , то оба параметра а0 и а1 признаются значимыми и отклоняется гипотеза о том, что каждый из этих параметров в действительности равен 0 , и лишь в силу случайных обстоятельств оказался равным проверяемой величине.
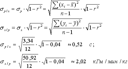
Проверка
адекватности регрессионной модели
может быть дополнена корреляционным
анализом. Для этого необходимо определить
тесноту корреляционной связи между
переменными х и у. Теснота корреляционной
связи, как и любой другой, может быть
измерена эмпирическим корреляционным
отношением ηэ , когда δ2 (межгрупповая
дисперсия) характеризует отклонения
групповых средних результативного
признака от общей средней:
.
Говоря о корреляционном отношении как о показателе измерения тесноты зависимости, следует отличать от эмпирического корреляционного отношения – теоретическое. Рассмотрим, что представляет собой эта значимость. Обозначим коэффициент детерминации, полученный при исключении из правой части уравнения переменной. При этом мы получим уменьшение объясненной дисперсии, на величину. Для оценки значимости включения переменной используется статистика, имеющая распределение Фишера при нулевом теоретическом приросте. Вообще, если из уравнения регрессии исключаются переменных, статистикой значимости исключения будет. Пошаговая процедура построения модели. Основным критерием отбора аргументов должно быть качественное представление о факторах, влияющих на зависимую переменную, которую мы пытаемся смоделировать. Очень хорошо реализован процесс построения регрессионной модели: на машину переложена значительная доля трудностей в решении этой задачи. Возможно построение последовательное построение модели добавлением и удалением блоков переменных. Но мы рассмотрим только работу с отдельными переменными. По умолчанию программа включает все заданные переменные.
Теоретическое корреляционное отношение η представляет собой относительную величину, получающуюся в результате сравнения среднего квадратического отклонения выравненных значений результативного признака δ, то есть рассчитанных по уравнению регрессии, со средним квадратическим отношением эмпирических (фактических) значений результативности признака σ:
,
где
;
.
Тогда
.
[2]
Изменение значения η объясняется влиянием факторного признака. Метод включения и исключения переменных состоит в следующем. Из множества факторов, рассматриваемых исследователем как возможные аргументы регрессионного уравнения, отбирается один, который более всего связан корреляционной зависимостью. Далее проводится та же процедура при двух выбранных переменных, при трех и т.д. Процедура повторяется до тех пор, пока в уравнение не будут включены все аргументы, выделенные исследователем, удовлетворяющие критериям значимости включения. Замечание: во избежание зацикливания процесса включения исключения значимость включения устанавливается меньше значимости исключения. Переменные, порождаемые регрессионным уравнением. Сохранение переменных, порождаемых регрессией, производится подкомандой. Благодаря полученным оценкам коэффициентов уравнения регрессии могут быть оценены прогнозные значения зависимой переменной, причем они могут быть вычислены и там, где значения определены, и там где они не определены.
В основе
расчёта корреляционного отношения
лежит правило сложения дисперсий, то
есть
,
где
- отражает вариацию у за счёт всех
остальных факторов, кроме х , то есть
являются остаточной дисперсией:

.
Тогда формула теоретического корреляционного отношения примет вид:
,
или
.
Подкоренное выражение корреляционного выражения представляет собой коэффициент детерминации (мера определенности, причинности).
Коэффициент детерминации показывает долю вариации результативного признака под влиянием вариации признака-фактора. Задача регрессионного анализа состоит в построении модели, позволяющей по значениям независимых показателей получать оценки значений зависимой переменной. Регрессионный анализ является основным средством исследования зависимостей между социально-экономическими переменными. Эту задачу мы рассмотрим в рамках самой распространенной в статистических пакетах классической модели линейной регрессии. Специфика социологических исследований состоит в том, что очень часто необходимо изучать и предсказывать социальные события. Вторая часть данной главы будет посвящена регрессии, целью которой является построение моделей, предсказывающих вероятности событий. Величина называется ошибкой регрессии. Первые математические результаты, связанные с регрессионным анализом, сделаны в предположении, что регрессионная ошибка распределена нормально с параметрами, ошибка для различных объектов считаются независимыми. Кроме того, в данной модели мы рассматриваем переменные как неслучайные значения. Такое, на практике, получается, когда идет активный эксперимент, в котором задают значения (например, назначили зарплату работнику), а затем измеряют (оценили, какой стала производительность труда).
Теоретическое корреляционное выражение применяется для измерения тесноты связи при линейной и криволинейной зависимостях между результативным и факторным признаком.
Как видно из вышеприведенных формул корреляционное отношение может находиться от 0 до 1. Чем ближе корреляционное отношение к 1, тем связь между признаками теснее.
Теоретическое корреляционное отношение применительно к моему анализу я рассчитаю двумя способами:

[5]
Полученное значение теоретического корреляционного отношения свидетельствует о возможном наличии среднестатистической связи между рассматриваемыми признаками. Коэффициент детерминации равен 0,62. Отсюда я заключаю, что 62% общей вариации работающих активов изучаемых банков обусловлено вариацией фактора – капитала банков (а 38% общей вариации нельзя объяснить изменением размера капитала).
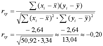
Кроме того, при линейной форме уравнения применяется другой показатель тесноты связи – линейный коэффициент корреляции:
,
где n – число наблюдений.
Для практических вычислений при малом числе наблюдений (n≤20÷30) линейный коэффициент корреляции удобнее исчислять по следующей формуле:
.
Значение линейного коэффициента корреляции важно для исследования социально-экономических явлений и процессов, распределение которых близко к нормальному. Он принимает значения в интервале: -1≤ r ≤ 1.
Отрицательные значения указывают на обратную связь, положительные – на прямую. При r = 0 линейная связь отсутствует. Чем ближе коэффициент корреляции по абсолютной величине к единице, тем теснее связь между признаками. И, наконец, при r = ±1 – связь функциональная. Задача регрессионного анализа состоит в построении модели, позволяющей по значениям независимых показателей получать оценки значений зависимой переменной. Регрессионный анализ является основным средством исследования зависимостей между социально-экономическими переменными. Эту задачу мы рассмотрим в рамках самой распространенной в статистических пакетах классической модели линейной регрессии. Специфика социологических исследований состоит в том, что очень часто необходимо изучать и предсказывать социальные события. Вторая часть данной главы будет посвящена регрессии, целью которой является построение моделей, предсказывающих вероятности событий. Величина называется ошибкой регрессии. Первые математические результаты, связанные с регрессионным анализом, сделаны в предположении, что регрессионная ошибка распределена нормально с параметрами, ошибка для различных объектов считаются независимыми. Кроме того, в данной модели мы рассматриваем переменные как неслучайные значения. Такое, на практике, получается, когда идет активный эксперимент, в котором задают значения (например, назначили зарплату работнику), а затем измеряют (оценили, какой стала производительность труда).
Используя данные таблицы 1 я рассчитала линейный коэффициент корреляции r. Но чтобы использовать формулу для линейного коэффициента корреляции рассчитаем дисперсию результативного признака σy:


Квадрат линейного коэффициента корреляции r2 называется линейным коэффициентом детерминации. Из определения коэффициента детерминации очевидно, что его числовое значение всегда заключено в пределах от 0 до 1, то есть 0 ≤ r2 ≤ 1. Степень тесноты связи полностью соответствует теоретическому корреляционному отношению, которое является более универсальным показателем тесноты связи по сравнению с линейным коэффициентом корреляции. Однако при небольшой взаимосвязи между переменными, если стандартизовать переменные и рассчитать уравнение регрессии для стандартизованных переменных, то оценки коэффициентов регрессии позволят по их абсолютной величине судить о том, какой аргумент в большей степени влияет на функцию. Стандартизация переменных. Бета коэффициенты. Коэффициенты в последнем уравнении получены при одинаковых масштабах изменения всех переменных и сравнимы. В случае взаимосвязи между аргументами в правой части уравнения могут происходить странные вещи. Надежность и значимость коэффициента регрессии. Здесь обозначен коэффициент детерминации, получаемый при построении уравнения регрессии, в котором в качестве зависимой переменной взята другая переменная. Из выражения видно, что величина коэффициента тем неустойчивее, чем сильнее переменная связана с остальными переменными. Эта статистика имеет распределение Стьюдента. В выдаче пакета печатается наблюдаемая ее двусторонняя значимость - вероятность случайно при нулевом регрессионном коэффициенте получить значение статистики, большее по абсолютной величине, чем выборочное. Значимость включения переменной в регрессию. При последовательном подборе переменных предусмотрена автоматизация, основанная на значимости включения и исключения переменных.
Факт совпадений и несовпадений значений теоретического корреляционного отношения η и линейного коэффициента корреляции r используется для оценки формы связи. [4]
Выше отмечалось, что посредством теоретического корреляционного отношения измеряется теснота связи любой формы, а с помощью линейного коэффициента корреляции – только прямолинейной. Следовательно, значения η и r совпадают только при наличии прямолинейной связи. Несовпадение этих величин свидетельствует, что связь между изучаемыми признаками не прямолинейная, а криволинейная. Установлено, что если разность квадратов η и r не превышает 0,1 , то гипотезу о прямолинейной форме связи можно считать подтвержденной. В моем случае наблюдается примерное совпадение линейного коэффициента детерминации и теоретического корреляционного отношения, что дает мне основание считать связь между капиталом банков и их работающими активами прямолинейной.
При линейной однофакторной связи t-критерий можно рассчитать по формуле:
,
где (n - 2) – число степеней свободы при заданном уровне значимости α и объеме выборки n. Задача регрессионного анализа состоит в построении модели, позволяющей по значениям независимых показателей получать оценки значений зависимой переменной. Регрессионный анализ является основным средством исследования зависимостей между социально-экономическими переменными. Эту задачу мы рассмотрим в рамках самой распространенной в статистических пакетах классической модели линейной регрессии. Специфика социологических исследований состоит в том, что очень часто необходимо изучать и предсказывать социальные события. Вторая часть данной главы будет посвящена регрессии, целью которой является построение моделей, предсказывающих вероятности событий. Величина называется ошибкой регрессии. Первые математические результаты, связанные с регрессионным анализом, сделаны в предположении, что регрессионная ошибка распределена нормально с параметрами, ошибка для различных объектов считаются независимыми. Кроме того, в данной модели мы рассматриваем переменные как неслучайные значения. Такое, на практике, получается, когда идет активный эксперимент, в котором задают значения (например, назначили зарплату работнику), а затем измеряют (оценили, какой стала производительность труда).
Так, для коэффициента корреляции между капиталом и работающими активами получается:

Если сравнить полученное tрасч с критическим значением из таблицы Стьюдента, где ν=30, а α=0,01 (tтабл=2,750), то полученное значение t-критерия будет больше табличного, что свидетельствует о значимости коэффициента корреляции и существенной связи между капиталом и работающими активами.
Таким образом, построенная регрессионная модель ŷ=245,75+1,42x в целом адекватна, и выводы полученные по результатам малой выборки можно с достаточной вероятностью распространить на всю гипотетическую генеральную совокупность. За это иногда зависимую переменную называют откликом. Теория регрессионных уравнений со случайными независимыми переменными сложнее, но известно, что, при большом числе наблюдений, использование метода разработанного корректно. Для получения оценок коэффициентов регрессии минимизируется сумма квадратов ошибок регрессии. В пакете вычисляются статистики, позволяющие решить эти задачи. Существует ли линейная регрессионная зависимость? Для проверки одновременного отличия всех коэффициентов регрессии от нуля проведем анализ квадратичного разброса значений зависимой переменной относительно среднего. Его можно разложить на две суммы следующим образом. Статистика в условиях гипотезы равенства нулю регрессионных коэффициентов имеет распределение Фишера и, естественно, по этой статистике проверяют, являются ли коэффициенты одновременно нулевыми. Коэффициенты детерминации и множественной корреляции. При сравнении качества регрессии, оцененной по различным зависимым переменным, полезно исследовать доли объясненной и необъясненной дисперсии. Корень из коэффициента детерминации называется коэффициентом корреляции. Следует иметь в виду, что является смещенной оценкой. Абсолютные значения коэффициентов не позволяют сделать такой вывод.
3. Практическая часть
-
уравнение регрессии.
|
x |
1 |
2 |
3 |
4 |
5 |
6 |
7 |
8 |
9 |
10 |
|
y |
1.35 |
1.09 |
6.46 |
3.15 |
5.80 |
7.2 |
8.07 |
8.12 |
8.97 |
10.66 |
Приведем квадратное уравнение к линейной форме:
;

Запишем матрицу X.

Составим матрицу Фишера.


Система
нормальных уравнений.

Решим ее методом Гаусса.

Уравнение регрессии имеет вид:
[7]
3.1. Оценка значимости коэффициентов регрессии.
Для проверки нулевой гипотезы используем критерий Стьюдента.












Коэффициенты
значимые коэффициенты.[6]
3.2. Проверка адекватности модели по критерию Фишера.




гипотеза о
равенстве математического ожидания
отвергается. [4]
3.3. Проверка адекватности модели по коэффициенту детерминации или множественной корреляции.
Коэффициент детерминации :

-
регрессионная модель адекватна.
Коэффициент
множественной корреляции

Рассчитать и построить график уравнения прямолинейной регрессии для относительных значений PWC170 и времени челночного бега 3х10 м у 13 исследуемых и сделать вывод о точности расчета уравнений, если данные выборок таковы:
xi, кГ м/мин/кг ~ 15,6; 13,4; 17,9; 12,8; 10,7; 15,7; 11,7; 12,3; 12,3; 11,1; 14,3; 12,7; 14,4 yi, с ~ 6,9; 7,2; 7,1; 6,7; 7,6; 7,0; 6,4; 6,9; 7,7; 7,6; 7,9; 8,2; 6,8
Решение
1. Занести данные тестирования в рабочую таблицу и сделать соответствующие расчеты.
|
xi |
xi
-
|
(xi
-
|
yi |
yi
–
|
(yi
–
|
(xi
-
|
|
15.6 |
2.1 |
4.41 |
6.9 |
-0.3 |
0.09 |
-0.63 |
|
13.4 |
-0.1 |
0.01 |
7.2 |
0 |
0 |
0 |
|
17.9 |
4.4 |
19.36 |
7.1 |
-0.1 |
0.01 |
-0.44 |
|
12.8 |
-0.7 |
0.49 |
6.7 |
-0.5 |
0.25 |
0.35 |
|
10.7 |
-2.8 |
7.84 |
7.6 |
0.4 |
0.16 |
-1.12 |
|
15.7 |
2.2 |
4.84 |
7.0 |
-0.2 |
0.04 |
-0.44 |
|
11.7 |
-1.8 |
3.24 |
6.4 |
-0.8 |
0.64 |
1.44 |
|
12.3 |
-1.2 |
1.44 |
6.9 |
-0.3 |
0.09 |
0.36 |
|
12.3 |
-1.2 |
1.44 |
7.7 |
0.5 |
0.25 |
-0.60 |
|
11.1 |
-2.4 |
5.76 |
7.6 |
0.4 |
0.16 |
-0.96 |
|
14.3 |
0.8 |
0.64 |
7.9 |
0.7 |
0.49 |
0.56 |
|
12.7 |
-0.8 |
0.64 |
8.2 |
1 |
1 |
-0.80 |
|
14.4 |
0.9 |
0.81 |
6.8 |
-0.4 |
0.16 |
-0.36 |
|
|
|
|
|
|
|
|
1. Рассчитать значение нормированного коэффициента корреляции по формуле:

2. Рассчитать конечный вид уравнений прямолинейной регрессии по формулам (2) и (3):
(2)
(3)

Т.е.

4. Рассчитать абсолютные погрешности уравнений регрессии по формулам (4) и (5):

5. Рассчитать относительные погрешности уравнений регрессии по формулам (6) и (7):

6. Для
графического представления корреляционной
зависимости между признаками рассчитать
координаты линий регрессии, подставив
в конечный вид уравнений (1) и (2) данные
любого исследуемого (например, четвертого
из списка).
Тогда:
при х = 12,8 кГм/мин/кг у =7,235 с » 7,2 с;
при у = 6,7 с х = 13,895 с » 13,9 кГм/мин/кг.
7. Представить графически данное уравнение регрессии.

8. На основании произведенных расчетов и графического изображения уравнения регрессии сделать вывод.
Вывод:
1) в
исследуемой группе наблюдается
недостоверная обратная взаимосвязь
между данными относительных значений
PWC170 и времени челночного бега 3х10 м, т.к.
rху = -0,20 < rst = 0,55 для К= 11 при = 95%;
2)
относительная погрешность функции ух
= 7,875 – 0,05х меньше (7,22%), а, следовательно,
прогноз результата в челночном беге по
данным относительных значений пробы
PWC170 более точен;
3) на графике линии
уравнения регрессии расположены почти
под прямым углом, так как значения
коэффициента корреляции близки к
нулю.[3]
Заключение
В исследуемой
группе наблюдается недостоверная
обратная взаимосвязь между данными
относительных значений PWC170 и времени
челночного бега 3х10 м, т.к. rху = -0,20 < rst
= 0,55 для К= 11 при = 95%;
- относительная
погрешность функции ух = 7,875 – 0,05х меньше
(7,22%), а, следовательно, прогноз результата
в челночном беге по данным относительных
значений пробы PWC170 более точен;
- на
графике линии уравнения регрессии
расположены почти под прямым углом, так
как значения коэффициента корреляции
близки к нулю.
Также в работе показана корреляционная зависимость показателей 32 российских банков, проведен регрессионный анализ и нашли регрессионную модель данной взаимосвязи показателей. Задача регрессионного анализа состоит в построении модели, позволяющей по значениям независимых показателей получать оценки значений зависимой переменной. Регрессионный анализ является основным средством исследования зависимостей между социально-экономическими переменными. Эту задачу мы рассмотрим в рамках самой распространенной в статистических пакетах классической модели линейной регрессии. Специфика социологических исследований состоит в том, что очень часто необходимо изучать и предсказывать социальные события. Вторая часть данной главы будет посвящена регрессии, целью которой является построение моделей, предсказывающих вероятности событий. Величина называется ошибкой регрессии. Первые математические результаты, связанные с регрессионным анализом, сделаны в предположении, что регрессионная ошибка распределена нормально с параметрами, ошибка для различных объектов считаются независимыми. Кроме того, в данной модели мы рассматриваем переменные как неслучайные значения. Такое, на практике, получается, когда идет активный эксперимент, в котором задают значения (например, назначили зарплату работнику), а затем измеряют (оценили, какой стала производительность труда).
Полученное уравнение ŷ=245,75+1,42х позволяет проиллюстрировать зависимость размера работающих активов банков от размера их капитала.
И так, с помощью корреляционно-регрессионного анализа, можно исследовать показатели банков.[8]
Использованная литература
Аверкин А.Н., Батыршин И.З., Блишун А.Ф. и др. Нечеткие множества в моделях управления и искусственного интеллекта // Под ред. Д.А. Поспелова. – М.: Наука, 1986. – 312 с.
Аветисян Д.О. Проблемы информационного поиска: (Эффективность, автоматическое кодирование, поисковые стратегии) - М.: Финансы и статистика, 1981. - 207 с.
Айвазян С.А., Бежаева З.И., Староверов О.В. Классификация многомерных наблюдений. – М.: Статистика, 1974. – 240 с.
Айвазян С.А., Енюков И.С., Мешалкин Л.Д. Прикладная статистика. Основы моделирования и первичная обработка данных. Справочное издание. – М.: Финансы и статистика, 1983. – 472 с.
Айвазян С.А., Енюков И.С., Мешалкин Л.Д. Прикладная статистика: Исследование зависимостей: Справочник. – М.: Финансы и статистика, 1985. – 182с.
Айвазян С.А. , Мхитарян В.С. Прикладная статистика и основы эконометрики. – М. Юнити, 1998. – 1024 с.
Ван дер Варден Б.Л. Математическая статистика. – М.: Изд-во иностр. лит., 1960. – 302 с.
Гайдышев И.П. Анализ и обработка данных: специальный справочник. - СПб.: Питер, 2001. - 752 с.
Гмурман В.С. Теория вероятностей и математическая статистика. – М.: Высш. шк., 1972. – 368 с.
Калинина В.Н., Панкин В.Ф. Математическая статистика. – М.: Высш. шк., 2001. – 336 с.
Кендалл М., Стьюарт А. Теория распределений. – М.: Наука, 1966. – 566 с.
Кендалл М., Стьюарт А. Статистические выводы и связи. – М .: Наука, 1973. – 899 с.



=50,92
=3,34
=
-2,64