Методы подобия и моделирования с привлечением физических уравнений
Министерство образования и науки Украини
Херсонский национальний технический университет
Кафедра ОПЛПБО
Реферат
Тема:
Методы подобия и моделирования с привлечением физических уравнений
Выполнил:
Студент гр.3М Кандалинцев В.В.
Проверил:
преподаватель Вильшун И.А.
Херсон 2009
Введение
В том случае, когда физическое явление изучено настолько, что представляется возможным дать его математическую формулировку, можно произвести масштабные преобразования имеющихся уравнений (с граничными и начальными условиями) и найти соответствующие критерии подобия. Существенным при этом является тот факт, что для получения критериев подобия не обязательно иметь решение составленных уравнений, достаточно располагать исходными уравнениями в дифференциальной, интегральной или конечной форме, присоединив к ним начальные и граничные условия. Метод анализа уравнений, следовательно, предполагает знание значительного объема информации, относящейся к изучаемому объекту.
Таким образом, различия между методами анализа размерностей величин и анализом уравнений определяются лишь разницей в степени необходимой полноты знаний о физических свойствах, процессов. В первом случае аппарат анализа размерностей применяется к формулам размерности физических величин, во втором случае — к аналитическим зависимостям между величинами.
В данной главе при получении условий моделирования с помощью физических уравнений делается предположение о геометрическом подобии модели и натуры. Это предположение сближает метод анализа уравнений с методом анализа размерностей величин и при определенных условиях приводит к результатам, совпадающим с классической теорией подобия.
§ 1. Подобие стационарных и нестационарных физических полей
Напомним, что стационарным полем физической величины Qj называется не изменяющаяся с течением времени совокупность значений этой величины во всех точках изучаемого пространства или объема.
Если известен вид уравнения, описывающего некоторый физический процесс, например F (Q>lt> Q>2>, Q>it> Q>n>) = 0 (1.16),
разрешая его относительно искомой функции, получим уравнение поля физической величины Qy.

В общем случае определяющие параметры в правой части уравнения (3.1) — заданные переменные величины, зависящие от координат: Q>t> = Q>x> (х, у, г), Q>n> = Q>n> (х, у, г). Следовательно, величина Qj в конечном счете также представляет собой функцию пространственных координат х, у, г:

Из уравнения (3.2) очевидно, что в силу произвольности функций Ф и ¥ входящие в него параметры Qj (/ = 1, 2, п) могут иметь различные размерности.
Пусть в двух геометрически подобных системах 1 и 2 с характерными размерами 1>Х> и />2> поля сходственных переменных (Q>7>)j и (Qj)>2> заданы уравнениями

в которых (QJi, (Q>2>)>x>, (Q>n>)>x> и (Q>x>)>29> (Q>2>)>2>, (Q>n>)>2> — сходственные (одноименные) физические параметры.
Если величины (Qj)i и (Qj)>2> распределены каждая в своей системе так, что в любой паре сходственных точек при

всегда имеют место соотношения

то соответствующие им поля скалярных физических величин называются подобными стационарными полями [101].
В случае, если рассматривается подобие полей векторных или тензорных физических переменных, в соотношениях (3.5) под (Qt)i и (Qi)a следует понимать компоненты векторов или тензоров.


Равенства (3.7) свидетельствуют, что в сходственных точках подобных стационарных полей безразмерные координаты и безразмерные физические переменные соответственно равны.
Ввиду того, что для перехода от поля физической величины (Qj)i к полю сходственной величины (Q>7>)>a> необходимо задать два независимых между собой масштаба — геометрический />0> и физический (Qj)o, можно говорить об аффинности геометрических образов (то есть графиков, эпюр, рельефов функций) физических полей для механически подобных объектов. Таким образом, с формальной точки зрения геометрические отображения подобных стационарных физических полей являются аффинными объектами, совмещение которых может быть осуществлено путем неравномерной деформации [100].
Простым примером, иллюстрирующим аффинность физических полей, могут служить эпюры нормальных и касательных напряжений в геометрически подобных балках.
Действительно, для консольной балки постоянного прямоугольного сечения, нагруженной сосредоточенной силой Р на конце, уравнения одномерных полей нормальных и касательных напряжений (для фиксированного сечения х = 0) в критериальной форме имеют вид [84]

Здесь принято (b/l)= 1/10, (h/l) = 1/5, где 6, А, / — размеры поперечного сечения и длина консоли; г — текущая координата, совпадающая с вертикалью в плоскости изгиба балки.
Вычисляя отношения максимальных значений а и т к высотам сечений для каждой из геометрически подобных балок 1 и 2, с помощью формул (3.8) найдем


То есть эпюры нормальных и касательных напряжений для образцов 1 и 2 можно совместить между собой только путем неравномерной деформации в ортогональных направлениях а — г или v — г (рис. 3.1). Это свидетельствует об аффинности геометрических образов полей напряжений аит (3.8) при механическом подобии балок.
Нестационарным полем физической величины Qj называется совокупность мгновенных значений этой величины во всех точках данного пространства или объема.
Для нестационарных задач поле переменной Qj в отличие от (3.2) имеет вид


Аналогично тому, как это было сделано для стационарного поля, можно показать, что в сходственных точках подобных нестационарных полей в сходственные моменты времени безразмерные координаты и безразмерные физические переменные соответственно равны.
Кроме того, геометрические отображения подобных нестационарных полей в сходственные моменты времени обладают свойствами аффинности и могут быть совмещены между собой путем неравномерной деформации.
Заканчивая рассмотрение подобия стационарных и нестационарных физических полей, остановимся на свойствах инвариантности безразмерных уравнений, описывающих подобные физические поля.
Рассмотрим с этой целью уравнения полей двух механически подобных систем 1 и 2 (3.3). Согласно П-теоремы анализа размерностей, каждое из этих уравнений всегда может быть преобразовано к безразмерной (критериальной) форме, содержащей в качестве новых переменных безразмерные комбинации основных параметров

Здесь k = п — г; г — ранг матрицы размерностей переменных Qj.
Так как объекты 1 и 2 механически подобны, для безразмерных комбинаций П/, представляющих собой критерии подобия, имеют место равенства

Согласно условиям подобия (3.11) левые части уравнений (3.10) равны между собой. Кроме того, попарно равны также сходственные аргументы функций Q>г> и Q>2>.
Поскольку равенство левых частей уравнений (ЗЛО) должно выполняться при любых значениях определяющих критериев подобия, функции в>х> и в>2> — тождественно одинаковы:

Таким образом, безразмерные критериальные) уравнения физических полей тождественно совпадают между собой, если соответствующие им объекты 1 и 2 удовлетворяют условиям механического подобия.
§ 2. Масштабные преобразования алгебраических и дифференциальных уравнений. Теоремы подобия
До сих пор вопросы подобия явлений обсуждались нами с позиций анализа размерностей физических величин. Перейдем к рассмотрению условий подобия, исходя из анализа физических уравнений процесса.
Будем считать известными уравнение или систему дифференциальных уравнений с соответствующими граничными и начальными условиями, которые полностью определяют данный механический процесс или явление.
Предположим вначале, что решение рассматриваемой системы дифференциальных уравнений известно и может быть "представлено в форме одного или нескольких конечных соотношений между переменными:

Здесь величины Qj (/ = 1, 2, п) включают независимые переменные, искомую функцию и остальные основные параметры некоторого решения «s».
Любое другое решение этой же задачи, подобное решению (3.12), определяется как результат подобного преобразования переменных Qj по формулам

Так как подобные явления, соответствующие решениям (3.14) и (3.12), принадлежат к одному классу, преобразование переменных по формулам (3.13) не должно изменять вида функции F. Следовательно, выяснение условий подобия данных явлений может быть сведено к исследованию условий инвариантности уравнений (3.12), (3.14) по отношению к преобразованиям подобия (3.13).
С этой целью рассмотрим возможные варианты преобразований (3.13) при различном выборе масштабов kj.
Если множители kj выбираются произвольными без каких бы то ни было ограничений, уравнениям (3.12) и (3.14) можно одновременно удовлетворить при условии

Согласно этому условию функция (3.12) должна обладать таким особым свойством, когда подобное преобразование отдельных переменных Qj приводит к подобному преобразованию функции F в целом. Зависимости вида (3.12), удовлетворяющие условиям (3.15), принадлежат к так называемым гомогенным (однородным) функциям г.

Таким образом, при произвольных масштабах kj свойствами инвариантности к подобным или, как часто говорят, к масштабным преобразованиям обладают лишь гомогенные функции F.
В работе 131] показано, что условия (3.15) ограничивают зависимости (3.12) классом степенных комплексов

Ввиду того, что ограничение (3.15) является чрезмерно жестким, а функции (3.16) не являются настолько универсальными, чтобы описать любой механический процесс, рассмотрим вопрос об инвариантности уравнения (3.12) по отношению к подобным преобразованиям (3.13) в видоизмененной постановке. Для этого откажемся от предположения о произвольности множителей kj и будем искать такие ограничения на выбор масштабов в формулах (3.13), которые обеспечивают сохранение вида функции F при выполнении преобразований подобия.
Не останавливаясь на доказательстве, укажем, что для сохранения свойства инвариантности уравнения (3.12) к группе подобных преобразований (3.13) необходимо потребовать выполнения

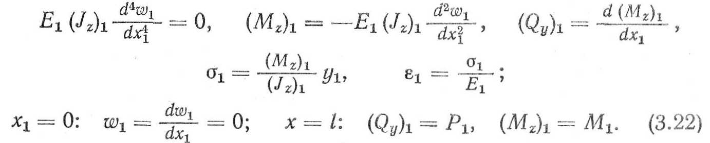
В качестве примера составления условий инвариантности (3.17) для конечных (алгебраических) уравнений рассмотрим элементарный пример о нагружении консольной балки сосредоточенной силой и моментом.
Пусть два геометрически подобных бруса 1 и 2 прямоугольного поперечного сечения имеют размеры /, b, h (рис. 3.2). Параметры образцов 1 и 2 будем снабжать соответствующими нижними индексами.
Каждый из образцов находится под действием сосредоточенных сил Р и моментов М>у> приложенных в сходственных точках 2?! и В>2> с координатами х>г> — l>l9> у>г> = 0, г>г> = О и х>2> = />2>, Уъ = О, 2а = 0.
Аналогом уравнений (3.12) для рассматриваемого примера является решение задачи сопротивления материалов о напряженно-деформированном состоянии бруса для произвольной точки А>г >в форме [84]


Одноименные уравнения в формулах (3.19) и (3.20) обладают важным свойством. В том случае, если масштабы kj (1>0>, <у>0>> Щ* Ео> 8о> Л» М>0>) не являются произвольными, а выбраны из условий (3.21), указанные уравнения для образцов 1 и 2 будут одинаковыми.
Таким образом, выполнение условий (3.21) обеспечивает инвариантность уравнений (3.18) по отношению к подобным преобразованиям (3.19). Согласно методу исследования подобия, основанному на масштабных преобразованиях физических уравнений в конечной форме, две геометрически подобные системы считаются механически подобными, если уравнения, описывающие эти системы, тождественно совпадают.
Можно показать, что в общем случае условия (3.17), обеспечивающие инвариантность физических уравнений, могут быть преобразованы в критерии подобия механических состояний или процессов, описываемых уравнениями (3.12) [311.

дикаторы подобия в различной математической форме выражают одни и те же условия механического подобия двух объектов — модели и натуры.
Перейдем к изучению подобных преобразований физических уравнений, содержащих дифференциальные операторы и переменные под знаком интеграла. Особенности анализа подобия явлений, описываемых дифференциальными и интегральными уравнениями, связаны с масштабными преобразованиями указанных операторов.

Учитывая эту аналогию между индикаторами подобия дифференциальных и алгебраических выражений, следует заключить, что при образовании индикаторов подобия для операторов дифференциальных уравнений знаки дифференциалов можно опустить, рассматривая дифференциалы как конечные приращения переменных.
В процессе подобных преобразований интегральных уравнений следует исходить из осредненных физических величин. Например, в сходственных точках объектов «6> и «s» одноименные величины относятся как (Qj)t/(Qj)>s> = kj. Это соотношение остается справедливым и для величин, осредненных по площади /.

Полученное равенство kj = kj подтверждает возможность составления индикаторов подобия для интегральных операторов из осредненных величин таким же путем, как они находятся для локальных значений переменных.
Таким образом, операции дифференцирования и интегрирования в физических уравнениях не изменяют условий подобия механических состояний и процессов [76].
В качестве примера масштабных, преобразований физических уравнений, содержащих дифференциальные операторы, рассмотрим уравнения краевой задачи об изгибе консольной балки (см/, рис, 3.2) для объекта 1 [84]:

Решение системы дифференциальных уравнений (3.22) в форме конечных соотношений (3.18) было использовано выше для примера подобных преобразований алгебраических уравнений.
Введем масштабы для всех переменных и постоянных величин, входящих в дифференциальные уравнения и краевые условия (3.22):

Заменяя все физические величины в уравнениях изгиба балки объекта 2 через переменные с индексом 1 по формулам (3.23) и учитывая правила масштабных преобразований дифференциальных операторов, получим при 1>0> Ф О, о>0> Ф О, Р>0> Ф О

Результаты масштабных преобразований краевой задачи для дифференциальных уравнений (3.22) и для интеграла этих же уравнений (3.18) в алгебраической форме подтверждают вывод о независимости условий механического подобия от операторов дифференцирования в физических уравнениях.
В заключение обсуждения вопросов подобия механических систем на основе масштабных преобразований физических уравнений сформулируем три основные теоремы подобия [37].
Теорема I. В подобных явлениях критерии подобия имеют одинаковые численные значения.
Теорема II. Все конечные и дифференциальные уравнения, описывающие реальные физические процессы, могут быть преобразованы в уравнения, выражающие однозначную связь между критериями подобия.
Теорема III. Необходимые и достаточные условия подобия явлений заключаются в равенстве численных значений определяющих критериев подобия. Равенство численных значений остальных критериев является следствием существования подобия.
§ 3. О моделировании задач с начальными и граничными условиями
Дифференциальные уравнения механики элементов конструкций устанавливают взаимную связь между пространственными и временными изменениями физических переменных изучаемого явления. Эти уравнения описывают в пределах элементарного объема все без исключения явления данного класса, независимо от геометрической конфигурации объекта и характера его взаимодействия с окружающей средой.
Для того чтобы выделить из целого класса единичное явление, необходимо присоединить к дифференциальным уравнениям определенные условия, которые позволили бы рассматривать конкретный случай поведения объекта. Эти условия определяются:
1) распределением в пространстве существенных для процесса параметров системы для начального момента времени;
2) характером взаимодействия системы с окружающими объектами и внешней средой для каждого момента времени.
Условия 1 и 2 представляют собой соответственно начальные и граничные (или краевые) условия.
Система дифференциальных уравнений вместе с начальными и граничными условиями дает полную математическую формулировку поставленной задачи как для натурного объекта, так и для его модели.
Если дифференциальные уравнения совместно с начальными и краевыми условиями приведены к безразмерному виду, задание численных значений безразмерных начальных и краевых условий совместно с определяющими критериями подобия (§ 2.1) выделяет из всего класса механических состояний или процессов уже не единичное явление, а группу подобных явлений [101 ].
Таким образом, существенным элементом при исследовании подобия методом масштабных преобразований физических уравнений g целью последующего моделирования механических состояний или процессов являются преобразования подобия начальных и краевых условий совместно с преобразованиями самих дифференциальных уравнений.
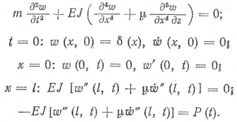
Рассмотрим особенности моделирования в задачах с начальными и граничными условиями на примере вынужденных поперечных колебаний стержня с учетом внутреннего трения в материале.
Для учета внутреннего трения в качестве уравнения состояния материала воспользуемся моделью упруговязкого тела Фойгта [86]. В этом случае напряжение а и деформация е в продольных волокнах стержня связаны зависимостью

где Е — модуль упругости; — коэффициент вязкости.
Принимая в дополнение к закону (3.25) гипотезу плоских сечений, придем к дифференциальным зависимостям для поперечных движений стержня [9]

Здесь х, i — осевая координата и время m, EJ — погонная масса и изгибная жесткость стержня; w (х>у> t)>9> Q (х, t)>9> М (х, t) — текущие значения прогибов, перерезывающих сил и изгибающих моментов.
Пусть призматический консольный стержень (см. рис. 2.2) нагружен на свободном конце сосредоточенной возмущающей силой Р = Р (t) и имеет в момент времени t = 0 начальные отклонения от оси 8 = б (х). В этом случае краевая задача для системы дифференциальных уравнений (3.26) при обозначениях ' () = = d/dt, (У = д/дх имеет вид

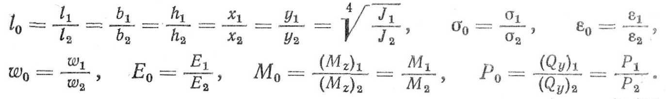
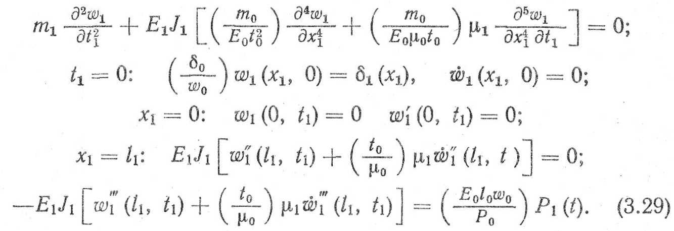
Рассматривая два геометрически подобных объекта — модель 1 и натуру 2, введем масштабы для основных параметров системы физических уравнений (3.27):

Уравнения (3.27) для модели и натуры различаются лишь индексами 1, 2 у всех постоянных и переменных величин. Рассматривая эти уравнения для натуры 2 и выполняя в них масштабные преобразования основных параметров в соответствии с формулами (3.28), придем ic видоизмененной краевой задаче в форме

Уравнения (3.29) представляют собой результат подобных преобразований равенств (3.27), записанных для натуры. Из условий инвариантности физических уравнений для двух механически подобных объектов — модели 1 и натуры 2 имеем четыре независимых индикатора подобия:

Индикаторы подобия (3.30) представляют собой уравнения связи между масштабами или просто уравнения связи. Выше было показано (§ 3.2), что они эквивалентны условиям подобия физических явлений.
Для практических целей уравнения связи удобно представить в форме отношений масштабов

Роль краевых условий при исследовании подобия методом масштабных преобразований физических уравнений особенно наглядно видна из рассмотрения соотношений (3.31). Оба подчеркнутых дважды уравнения связи являются здесь существенными условиями подобия и моделирования, которые нельзя получить из основного дифференциального уравнения движения без привлечения начальных и краевых условий.
С помощью уравнений связи по заданным характеристикам одного образца (модели) можно получить характеристики другого образца (натуры) простым пересчетом.
В данном примере четыре уравнения связи содержат восемь неизвестных масштабов, поэтому четыре масштаба могут быть выбраны произвольно.
Будем считать произвольными (свободными) масштабы Е>09> ц>0>, />0>, w>0>. Задавая свободный масштаб для поперечных прогибов в долях геометрического масштаба w>0> — kl>0>(k — произвольное число), найдем остальные (зависимые) масштабы из уравнений связи (3.31):

В отличие от уравнений связи (3.31), полученных путем подобных преобразований физических уравнений, метод анализа раз* мерностей в нашем случае приводит к пяти критериям подобия (я = 8, г = 3, k = п—г т 5), из которых следуют несколько другие уравнения для выбора масштабов моделирования:

В соотношениях (3.32) условие w>0> = 1>0> является жестким требованием анализа размерностей. При моделировании вынужденных колебаний стержня на основе масштабных преобразований уравнений краевой задачи (3.27) это условие существенно ослаблено равенством w>Q> = kl>09> которое позволяет расширить практические возможности выбора масштабов. При k = 1 условия моделирования для обоих методов теории подобия совпадают.
Уравнения (3.31) с учетом выражений для масштабов основных параметров (3.28) позволяют связать между собой характеристики подобных объектов в форме условий моделирования:

Условия инвариантности независимых безразмерных комплексов (3.33) для соответственных точек модели и натуры могут быть записаны также в виде

Уравнения (3.34) формально правильны. Однако они неудобны для представления результатов моделирования вынужденных колебаний стержня в критериальной форме, так как в них нет четкого разделения безразмерных отношений Щ (k = 1, 2, 3, 4) на определяющие и определяемые критерии подобия. Этот недостаток может быть устранен путем тождественных преобразований безразмерных комплексов (§ 1.6). В результате указанных преобразований имеем

Если влияние внутреннего трения на процесс колебаний Пренебрежимо мало, безразмерный комплекс Е\х21т в уравнении (3.35) может быть отброшен.
С другой стороны, пренебрежение начальными смещениями в уравнении (3.35) оказывается невозможным (б~>0: П>1>* -∞, П>4>*- ∞), так как учет влияния параметра б положен в основу условий единственности решения системы уравнений (3.27). Более гибким в этом смысле оказывается метод анализа размерностей, который приводит с помощью (3.32) к критериальному уравнению большей степени общности

Уравнение (3.36) допускает предельные переходы как для случая малых значений критерия Е\л2/т, так и при малых относительных начальных отклонениях б//.
Правила моделирования механических явлений и процессов на основе анализа физических уравнений и классического подхода к выбору геометрических свойств модели и натуры непосредственно следуют из теорем подобия (§ 3.2) и могут быть сформулированы в виде следующих положений.
1. Модель 1 и натурный объект 2 должны удовлетворять требованиям геометрического подобия.
2. Процессы, происходящие в модели и натуре, должны принадлежать к одному классу и описываться одинаковыми уравнениями.
3. Одноименные независимые безразмерные параметры, входящие в уравнения модели и натуры, должны иметь одинаковые численные значения.
4. Начальные и граничные условия объектов 1 и 2, записанные в безразмерном виде, должны тождественно совпадать.
Перечисленные условия являются необходимыми и достаточными для того, чтобы явления, происходящие в модели, были подобны явлениям в натурном объекте [100].