История математических констант - числа "пи" и "е"
Введение
Числа много тысячелетий назад вошли в жизнь и быт людей. Человек их использует не только при счёте и вычислениях, он придумал различные игры с числами и шарады. Некоторые числа наделил сверхъестественными свойствами, например, такие как 13, 666. Среди бесконечного множества действительных чисел существуют ещё особенные, и не только для математиков, числа и е. Эти числа имеют свои собственные обозначения, так как их нельзя записать точно с помощью цифр. Числа 3,14 и 2,7 лишь одни из приближённых значений чисел π и е. Эти числа являются иррациональными и трансцендентными, для их точного определения не хватило бы и триллиона десятичных знаков.
"Математиками изучены последовательности цифр е и , и выяснено, что все цифры в этом числе встречаются с одинаковой частотой". Эти числа могут заворожить своей непокорностью, в особенности . "Этому числу удавалось в течении тысячелетий держать в плену мысли и чувства не только математиков и астрономов, но и философов и художников". Тратились годы для вычисления нескольких десятичных знаков числа .
История числа
"Письменная история числа
начинается с
египетского папируса, датируемого
примерно 2000 годом до нашей эры, но оно
было известно еще древним людям. Число
обратило на себя
внимание людей ещё в те времена, когда
они не умели письменно излагать ни своих
знаний, ни своих переживаний, ни своих
воспоминаний. С тех пор как первые
натуральные числа 1,2,3,4,… стали неразлучными
спутниками человеческой мысли, помогая
оценивать количества предметов либо
их длины, площади или объёмы, люди
познакомились с числом .
Тогда оно ещё не обозначалось одной из
букв греческого алфавита и его роль
играло число 3. Нетрудно понять, почему
числу уделяли так
много внимания. Выражая величину
отношения между длиной окружности и её
диаметром, оно появилось во всех расчётах
связанных с площадью круга или длиной
окружности". Но уже в глубокой древности
математики довольно быстро и не без
удивления обнаружили, что число 3 не
совсем точно выражает то, что теперь
известно как число пи. Безусловно, к
такому выводу могли прийти только после
того, как к ряду натуральных чисел
добавились дробные или рациональные
числа. Так египтяне получили результат:
В дальнейшем Архимед, используя метод
верхних и нижних приближений, получает
следующие границы числа пи. Индусы в
V-VI веках пользовались числом
,
китайцы - числом

"Обозначение числа
происходит от греческого слова
("окружность"). Впервые это обозначение
использовал в 1706 году английский
математик У. Джонс, но общепринятым оно
стало после того, как его (начиная с 1736
года) стал систематически употреблять
Леонард Эйлер". В конце 18 века И.
Ламберт и А. Лежандр установили, что
иррациональное число, а в 1882 году Ф.
Лидерман доказал, что оно трансцендентное,
т.е. не может удовлетворять никакому
алгебраическому уравнению с целыми
коэффициентами.
На протяжении всего существования числа , вплоть до наших дней, велась своеобразная "погоня" за десятичными знаками числа p. Леонардо Фибоначи около 1220 года определил три первых точных десятичных знаков числа . В 16 веке Андриан Антонис определил 6 таких знаков. Франсуа Виет (подобно Архимеду), вычисляя периметры вписанного и описанного 322216-угольников, получил 9 точных десятичных знаков. Андриан Ван Ромен таким же способом получил 15 десятичных знаков, вычисляя периметры 1073741824-угольников. Лудольф Ван Кёлен, вычисляя периметры 32512254720-угольников, получил 20 точных десятичных знаков. Авраам Шарп получил 72 точных десятичных знаков числа . В 1844 году З. Дазе вычисляет 200 знаков после запятой числа , в 1847 году Т. Клаузен получает 248 знаков, в1853 Рихтер вычисляет 330 знаков, в том же 1853 году 440 знаков получает З. Дазе и в этом же году У. Шенкс получает 513 знаков. "С появлением ЭВМ количество верных знаков десятичных знаков резко возрастает:
1949 год - 2037 десятичных знаков (Джон фон Нейман, ENIAC), 1958 год - 10000 десятичных знаков (Ф. Женюи, IBM-704), 1961 год - 100000 десятичных знаков (Д. Шенкс, IBM-7090), 1973 год - 10000000 десятичных знаков (Ж. Гийу, М. Буйе, CDC-7600), 1986 год - 29360000 десятичных знаков (Д. Бейли, Cray-2), 1987 год - 134217000 десятичных знаков (Я. Канада, NEC SX2), 1989 год - 1011196691 десятичных знаков (Д. Гудновски и Г. Гудновски, Cray-2+IBM-3040)"
При вычислении верных десятичных знаков числа пользовались различными способами, некоторые, как и Архимед вычисляли периметры вписанных и описанных n-угольников, но позднее стали прибегать к помощи рядов.
Так Лейбниц вычислял с помощью ряда:

Шарп применил ряд:

Л. Эйлер с помощью ряда:

З. Дазе использовал ряд.
Джон Валлис (1616-1703) нашёл бесконечное произведение, с помощью которого можно вычислить число пи:

Определение числа
Теорема: Отношение длины окружности к её диаметру одинаково для всех окружностей.
Доказательство.
Обозначим через L - длину
окружности, через d - её диаметр, то
формулировка теоремы запишется следующим
образом:
Рассмотрим правильный n-угольник,
вписанный в окружность радиуса r со
стороной а>n> и периметром
Р>n>, то
Докажем, что отношение одинаково для
всех окружностей. Рассмотрим две
произвольные окружности с вписанными
в них правильными n-угольниками. Из
подобия треугольников АОВ и А>1>О>1>В>1>
следует, что
т.к. окружности брали произвольные, то
это равенство будет справедливо для
всех окружностей. Итак,
для всех окружностей, следовательно
Это отношение длины окружности к её
диаметру принято обозначать греческой
буквой "".
Определение: Числом называется отношение длины окружности к её диаметру.
История числа е
Число
появилось
сравнительно недавно. Его иногда называют
"неперовым числом" в честь
изобретателя логарифмов шотландского
математика Джона Непера (1550-1617), однако
необоснованно, так как нет твёрдых
оснований для утверждения, что Непер
имел о числе е чёткое представление"
[10]. Впервые обозначение "е"
ввёл Леонард Эйлер (1707-1783). Он также
вычислил точные 23 десятичные знака
этого числа, использовав представление
числа е в виде бесконечного числового
ряда:
полученное
Даниилом Бернули (1700-1782). "В 1873 году
Эрмит доказал трансцендентность числа
е.Л. Эйлер получил замечательный
результат, связывающий числа е, ,
и
:
.
Ему принадлежит и заслуга определения
функции
для
комплексных значений z, что положило
начало математическому анализу в
комплексной области - теории функций
комплексного переменного" [10]. Эйлером
были получены следующие формулы:
Рассматривают логарифмы по основанию
е, называемые натуральными и
обозначаются Lnx.
Способы определения
Число e может быть определено несколькими способами.
Через предел:
(второй замечательный предел) .
Как сумма ряда:
или
.
Как единственное число a, для которого выполняется

Как единственное положительное число a, для которого верно

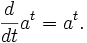
Свойства
Данное свойство играет важную роль в
решении дифференциальных уравнений.
Так, например, единственным решением
дифференциального уравнения
является
функция
,
где c - произвольная константа.
Число e иррационально и даже трансцендентно. Это первое число, которое не было выведено как трансцендентное специально, его трансцендентность была доказана только в 1873 году Шарлем Эрмитом. Предполагается, что e - нормальное число, то есть вероятность появления разных цифр в его записи одинакова.
,
см. формула Эйлера, в частности

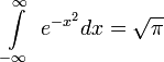
Ещё одна формула, связывающая числа е и π, т. н. "интеграл Пуассона" или "интеграл Гаусса"

Для любого комплексного числа z верны следующие равенства:

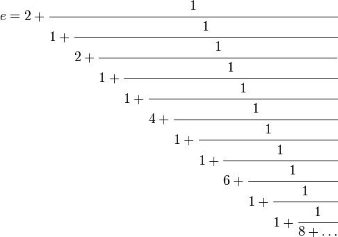
Число e разлагается в бесконечную цепную дробь следующим образом:
,
то есть


Представление Каталана:

История
Данное число иногда называют неперовым в честь шотландского учёного Непера, автора работы "Описание удивительной таблицы логарифмов" (1614 год). Однако это название не совсем корректно, так как у него логарифм числа x был равен
.
Впервые константа негласно присутствует в приложении к переводу на английский язык вышеупомянутой работы Непера, опубликованному в 1618 году. Негласно, потому что там содержится только таблица натуральных логарифмов, определённых из кинематических соображений, сама же константа не присутствует (см.: Непер).
Предполагается, что автором таблицы был английский математик Отред.
Саму же константу впервые вычислил швейцарский математик Бернулли при анализе следующего предела:

Первое известное использование этой константы, где она обозначалась буквой b, встречается в письмах Лейбница Гюйгенсу, 1690-1691 годы.
Букву e начал использовать Эйлер в 1727 году, а первой публикацией с этой буквой была его работа "Механика, или Наука о движении, изложенная аналитически" 1736 год. Соответственно, e обычно называют числом Эйлера. Хотя впоследствии некоторые учёные использовали букву c, буква e применялась чаще и в наши дни является стандартным обозначением.
Почему была выбрана именно буква e, точно неизвестно. Возможно, это связано с тем, что с неё начинается слово exponential ("показательный", "экспоненциальный"). Другое предположение заключается в том, что буквы a, b, c и d уже довольно широко использовались в иных целях, и e была первой "свободной" буквой. Неправдоподобно предположение, что Эйлер выбрал e как первую букву в своей фамилии (нем. Euler) [источник не указан 334 дня] .
Мнемоника
Приблизительное значение зашифровано в: "Мы порхали и блистали, но застряли в перевале; не признали наши крали авторалли" (нужно выписать подряд цифры, выражающие число букв в словах следующего стишка, и поставить запятую после первого знака)
Запомнить как 2,7 и повторяющиеся 18, 28, 18, 28.
Мнемоническое правило: два и семь, далее два раза год рождения Льва Толстого (1828), затем углы равнобедренного прямоугольного треугольника (45, 90 и 45 градусов). Стихотворная мнемофраза, иллюстрирующая часть этого правила: "Экспоненту помнить способ есть простой: две и семь десятых, дважды Лев Толстой"
Цифры 45, 90 и 45 можно запоминать как "год победы над фашистской Германией, затем дважды этот год и снова он"
Правила e связывается с президентом США Эндрю Джексоном: 2 - столько раз избирался, 7 - он был седьмым президентом США, 1828 - год его избрания, повторяется дважды, поскольку Джексон дважды избирался. Затем - опять-таки равнобедренный прямоугольный треугольник.
С точностью до трёх знаков после запятой через "число дьявола": нужно разделить 666 на число, составленное из цифр 6 − 4, 6 − 2, 6 − 1 (три шестёрки, из которых в обратном порядке удаляются три первые степени двойки):
.
Запоминание e как
.
Грубое (с точностью до 0,001),
но красивое приближение полагает e
равным
.
Совсем грубое (с точностью 0,01) приближение
даётся выражением
.
"Правило Боинга":
даёт
неплохую точность 0,0005.
Стишки:
Два и семь, восемнадцать,
Двадцать восемь, восемнадцать,
Двадцать восемь, сорок пять,
Девяносто, сорок пять.
Доказательство иррациональности
Предположим, что
рационально.
Тогда
,
где
- целое, а
- натуральное и больше 1, т.к.
- не целое. Следовательно

Умножая обе части уравнения
на
,
получаем

Переносим
в
левую часть:

Все слагаемые правой части целые, следовательно:
- целое

Но с другой стороны

Получаем противоречие.
Интересные факты
В IPO компании Google в 2004 году было объявлено о намерении компании увеличить свою прибыль на 2 718 281 828 долларов. Заявленное число представляет собой первые 10 цифр известной математической константы.
В языках программирования символу e в экспоненциальной записи чисел соответствует число 10, а не Эйлерово число. Это связано с историей создания.
Ссылки:
История числа e (англ.)
e for 2.71828… (англ.) (история и правило Джексона)
Горобец, Борис Соломонович. Мировые константы в основных законах физики и физиологии // Наука и жизнь. - 2004. - № 2. - статья с примерами физического смысла констант π и e.
Числа с собственными именами
Если мы вспомним, что число е = 2,718281828., то увидим, что основание логарифмов Бюрги отличается от числа е только начиная с четвертого десятичного знака. Иоганн Кеплер, понимавший огромное значение таблиц Бюрги для вычислений, настойчиво рекомендовал ему опубликовать свой метод ко всеобщему сведению, но Бюрги медлил, и получилось так, что в печати раньше появились таблицы логарифмов другого автора. Таблицы Бюрги были изданы в 1620 г., а на 6 лет раньше (в 1614 г.) Джон Непер опубликовал составленные им таблицы под названием "Описание удивительной таблицы логарифмов". Шотландский барон Джон Непер (1550-1617) тоже не был специалистом-математиком. Он делил свои интересы между многими отраслями знания, причем главным образом занимался вопросами, имевшими непосредственное приложение к жизни. Так, он изобрел несколько сельскохозяйственных машин, а также некоторые военные приборы. В области математики Непер интересовался главным образом вопросами вычислительного характера, отыскивая способы для облегчения счета. Так, в сочинении "Рабдология", изданном в год его смерти, он описывает свой прибор, который в наше время носит название "неперовы палочки" и служит хорошим методическим пособием в школе. Этот прибор состоит из десяти основных палочек, на которых помещена таблица умножения. Левая палочка неподвижна, а все остальные могут менять свои места. В каждом квадратике таблицы проведены диагонали, причем в нижней части квадратика помещаются единицы частных произведений таблицы умножения, а в верхней - десятки. При помощи прибора Непера можно производить умножение и деление чисел, причем умножение заменяется сложением, а деление вычитанием. Если, например, нужно умножить число 684 на 4, то для этого ставим рядом палочки, имеющие сверху числа 6, 8 и 4, и обращаем внимание на клетки этих палочек, стоящие в одной строке с 4.
Список литературы
1. Бохан К.А. и др. Курс математического анализа т. II. - М.: Просвещение 1972.
2. Кымпан Ф. История числа . - М.: Наука, Гл. ред. физ.-мат. лит., 1987.
3. Райк А.Е. Очерки по истории математики в древности. - Саранск, 1987.
4. Фихтенгольц Г.М. Основы математического анализа т. I, II. - М.: Государственное издательство технико-теоретической литературы, 1956.
5. Болтянский В. Экспонента. // Квант, 1984 №3.
6. Звонкин А. Что такое // Квант, 1978 №11.
7. Кузьмин Е., Ширшов А. О числе е. // Квант, 1979 №8.
8. Калейдоскоп Число . // Квант, 1996 №6.