Метод Гаусса для решения систем линейных уравнений
Система линейных алгебраических уравнений
Понятие системы линейных алгебраических уравнений
Система уравнений – это условие, состоящее в одновременном выполнении нескольких уравнений относительно нескольких переменных. Системой линейных алгебраических уравнений (далее – СЛАУ), содержащей m уравнений и n неизвестных, называется система вида:

где числа a>ij> называются коэффициентами системы, числа b>i> – свободными членами, a>ij> и b>i> (i=1,…, m; b=1,…, n) представляют собой некоторые известные числа, а x>1>,…, x>n> – неизвестные. В обозначении коэффициентов a>ij> первый индекс i обозначает номер уравнения, а второй j – номер неизвестного, при котором стоит этот коэффициент. Подлежат нахождению числа x>n>. Такую систему удобно записывать в компактной матричной форме: AX=B. Здесь А – матрица коэффициентов системы, называемая основной матрицей;

– вектор-столбец
из неизвестных xj.
– вектор-столбец
из свободных членов bi.
Произведение матриц А*Х определено, так как в матрице А столбцов столько же, сколько строк в матрице Х (n штук).
Расширенной матрицей системы называется матрица A системы, дополненная столбцом свободных членов

Решение системы линейных алгебраических уравнений
Решением системы уравнений называется упорядоченный набор чисел (значений переменных), при подстановке которых вместо переменных каждое из уравнений системы обращается в верное равенство.
Решением системы называется n значений неизвестных х1=c1, x2=c2,…, xn=cn, при подстановке которых все уравнения системы обращаются в верные равенства. Всякое решение системы можно записать в виде матрицы-столбца

Система уравнений называется совместной, если она имеет хотя бы одно решение, и несовместной, если она не имеет ни одного решения.
Совместная система называется определенной, если она имеет единственное решение, и неопределенной, если она имеет более одного решения. В последнем случае каждое ее решение называется частным решением системы. Совокупность всех частных решений называется общим решением.
Решить систему – это значит выяснить, совместна она или несовместна. Если система совместна, найти ее общее решение.
Две системы называются эквивалентными (равносильными), если они имеют одно и то же общее решение. Другими словами, системы эквивалентны, если каждое решение одной из них является решением другой, и наоборот.
Преобразование, применение которого превращает систему в новую систему, эквивалентную исходной, называется эквивалентным или равносильным преобразованием. Примерами эквивалентных преобразований могут служить следующие преобразования: перестановка местами двух уравнений системы, перестановка местами двух неизвестных вместе с коэффициентами у всех уравнений, умножение обеих частей какого-либо уравнения системы на отличное от нуля число.
Система линейных уравнений называется однородной, если все свободные члены равны нулю:

Однородная система всегда совместна, так как x1=x2=x3=…=xn=0 является решением системы. Это решение называется нулевым или тривиальным.
Метод исключения Гаусса
2.1 Сущность метода исключения Гаусса
Классическим методом решения систем линейных алгебраических уравнений является метод последовательного исключения неизвестных – метод Гаусса (его еще называют методом гауссовых исключений). Это метод последовательного исключения переменных, когда с помощью элементарных преобразований система уравнений приводится к равносильной системе ступенчатого (или треугольного) вида, из которого последовательно, начиная с последних (по номеру) переменных, находятся все остальные переменные.
Процесс решения по методу Гаусса состоит из двух этапов: прямой и обратный ходы.
Прямой ход.
На первом этапе осуществляется так называемый прямой ход, когда путём элементарных преобразований над строками систему приводят к ступенчатой или треугольной форме, либо устанавливают, что система несовместна. А именно, среди элементов первого столбца матрицы выбирают ненулевой, перемещают его на крайнее верхнее положение перестановкой строк и вычитают получившуюся после перестановки первую строку из остальных строк, домножив её на величину, равную отношению первого элемента каждой из этих строк к первому элементу первой строки, обнуляя тем самым столбец под ним.
После того, как указанные преобразования были совершены, первую строку и первый столбец мысленно вычёркивают и продолжают пока не останется матрица нулевого размера. Если на какой-то из итераций среди элементов первого столбца не нашёлся ненулевой, то переходят к следующему столбцу и проделывают аналогичную операцию.
На первом этапе (прямой ход) система приводится к ступенчатому (в частности, треугольному) виду.
Приведенная ниже система имеет ступенчатый вид:
,
где
Коэффициенты aii называются главными (ведущими) элементами системы.
1-й шаг.
Будем
считать, что элемент
(если
a11=0, переставим строки матрицы так, чтобы
a>11
>не
был равен 0. Это всегда возможно, т. к.
в противном случае матрица содержит
нулевой столбец, ее определитель равен
нулю и система несовместна).
Преобразуем
систему, исключив неизвестное х1 во всех
уравнениях, кроме первого (используя
элементарные преобразования системы).
Для этого умножим обе части первого
уравнения на
и
сложим почленно со вторым уравнением
системы (или из второго уравнения
почленно вычтем первое, умноженное на
).
Затем умножим обе части первого уравнения
на
и
сложим с третьим уравнением системы
(или из третьего почленно вычтем первое,
помноженное на
).
Таким образом, последовательно умножаем
первую строку на число
и
прибавляем к i-й
строке, для i=2,
3, …,
n.
Продолжая этот процесс, получим эквивалентную систему:

Здесь
–
новые значения коэффициентов при
неизвестных и свободные члены в последних
m-1 уравнениях системы, которые определяются
формулами:

Таким
образом, на первом шаге уничтожаются
все коэффициенты, лежащие под первым
ведущим элементом a>11>
0,
на втором шаге уничтожаются элементы,
лежащие под вторым ведущим элементом
а>22>(1)
(если a>22>(1)
0)
и т.д. Продолжая этот процесс и дальше,
мы, наконец, на (m-1) шаге приведем исходную
систему к треугольной системе.
Если
в процессе приведения системы к
ступенчатому виду появятся нулевые
уравнения, т.е. равенства вида 0=0, их
отбрасывают. Если же появится уравнение
вида
то
это свидетельствует о несовместности
системы.
На этом прямой ход метода Гаусса заканчивается.
Обратный ход.
На втором этапе осуществляется так называемый обратный ход, суть которого заключается в том, чтобы выразить все получившиеся базисные переменные через небазисные и построить фундаментальную систему решений, либо, если все переменные являются базисными, то выразить в численном виде единственное решение системы линейных уравнений.
Эта процедура начинается с последнего уравнения, из которого выражают соответствующую базисную переменную (она в нем всего одна) и подставляют в предыдущие уравнения, и так далее, поднимаясь по «ступенькам» наверх.
Каждой строчке соответствует ровно одна базисная переменная, поэтому на каждом шаге, кроме последнего (самого верхнего), ситуация в точности повторяет случай последней строки.
Примечание: на практике удобнее работать не с системой, а с расширенной ее матрицей, выполняя все элементарные преобразования над ее строками. Удобно, чтобы коэффициент a11 был равен 1 (уравнения переставить местами, либо разделить обе части уравнения на a11).
Примеры решения СЛАУ методом Гаусса
В данном разделе на трех различных примерах покажем, как методом Гаусса можно решить СЛАУ.
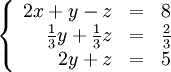
Пример 1. Решить СЛАУ 3-го порядка.

Обнулим
коэффициенты при
во второй
и третьей строчках. Для этого домножим
их на 2/3
и 1
соответственно
и сложим с первой строкой:

Теперь
обнулим коэффициент при
в третьей
строке, домножив вторую строку на 6
и вычитая
из неё третью:

В результате мы привели исходную систему к треугольному виду, тем самым закончив первый этап алгоритма.
На втором этапе разрешим полученные уравнения в обратном порядке. Имеем:
из
третьего;
из
второго, подставив полученное
;
из
первого, подставив полученные
и
.
В случае, если число уравнений в совместной системе получилось меньше числа неизвестных, то тогда ответ будет записываться в виде фундаментальной системы решений.
Пример 2. Решить неопределенную СЛАУ 4-го порядка:

В результате элементарных преобразований над расширенной матрицей системы

исходная система свелась к ступенчатой, где количество уравнений меньше, чем количество неизвестных:

Поэтому общее решение системы: x2=5x4–13x3–3; x1=5x4–8x3–1. Если положить, например, что x3=0, x4=0, то найдем одно из частных решений этой системы x1=-1, x2=-3, x3=0, x4=0.
Пример 3. Решить СЛАУ 4-ого порядка.
Условие:

х1 – 2х2 – х3 + х4 = 1
х1 – 8х2 – 2х3 – 3х4 = -2
2х1 + 2х2 – х3 + 7х4 = 7
х1 + х2 + 2х3 + х4 = 1
Перепишем систему линейных алгебраических уравнений в матричную форму. Получится матрица 4х5, слева от разделительной линии стоят коэффициенты при переменных, а справа стоят свободные члены.
1 -2 -1 1 | 1
1 -8 -2 -3 | -2
2 2 -1 7 | 7
1 1 2 1 | 1
Проведём следующие действия:
из второй строки вычтем первую строку (cтрока 2 – строка 1);
из третьей строки вычтем первую строку, умноженную на 2 (cтрока 3–2 х строка 1)
из четвертой строки вычтем первую строку (cтрока 4 – строка 1). Получим:
1 -2 -1 1 | 1
0 -6 -1 -4 | -3
0 6 1 5 | 5
0 3 3 0 | 0
Проведём следующие действия:
к третьей строке прибавим вторую строку (строка 3 + строка 2);
четвертую строку поделим на 3 (строка 4 = строка 4 / 3). Получим:
1 -2 -1 1 | 1
0 -6 -1 -4 | -3
0 0 0 1 | 2
0 1 1 0 | 0
Проведём следующие действия:
четвертую строку поставим на место второй строки;
третью строку поставим на место четвертой строки;
вторую строку поставим на место третьей строки. Получим:
1 -2 -1 1 | 1
0 1 1 0 | 0
0 -6 -1 -4 | -3
0 0 0 1 | 2
К третьей строке прибавим вторую строку, умноженную на 6 (строка 3 + 6 × строка 2). Получим:
1 -2 -1 1 | 1
0 1 1 0 | 0
0 0 5 -4 | -3
0 0 0 1 | 2
Проведём следующие действия:
к третьей строке прибавим четвертую, умноженную на 4 (строка3 + 4×строка4);
из первой строки вычтем четвертую строку (строка 1 – строка 4);
третью строку поделим на 5 (строка 3 = строка 3 / 5). Получим:
1 -2 -1 1 | 1
0 1 1 0 | 0
0 0 1 0 | 1
0 0 0 1 | 2
Проведём следующие действия:
из второй строки вычтем третью строку (строка 2 – строка 3);
к первой строке прибавим третью строку (строка 1 + строка 3). Получим:
1 -2 0 0 | 0
0 1 0 0 | -1
0 0 1 0 | 1
0 0 0 1 | 2
К первой строке прибавим вторую строку, умноженную на 2 (строка 1 + 2 × строка 2). Получим:
1 0 0 0 | -2
0 1 0 0 | -1
0 0 1 0 | 1
0 0 0 1 | 2
В левой части матрицы по главной диагонали остались одни единицы. В правом столбце получаем решение:
х>1 >= -2
х>2> = -1
х>3> = 1
х>4> = 2
Преимущества и недостатки метода Гаусса
Итак, метод Гаусса применим к любой системе линейных уравнений, он идеально подходит для решения систем, содержащих больше трех линейных уравнений. Метод Гаусса решения СЛАУ с числовыми коэффициентами в силу простоты и однотипности выполняемых операций пригоден для счета на электронно-вычислительных машинах.
Достоинства метода:
менее трудоёмкий по сравнению с другими методами;
позволяет однозначно установить, совместна система или нет, и если совместна, найти её решение;
позволяет найти максимальное число линейно независимых уравнений – ранг матрицы системы.
Существенным недостатком этого метода является невозможность сформулировать условия совместности и определенности системы в зависимости от значений коэффициентов и свободных членов. С другой стороны, даже в случае определенной системы этот метод не позволяет найти общие формулы, выражающие решение системы через ее коэффициенты и свободные члены, которые необходимо иметь при теоретических исследованиях.
Помимо аналитического решения СЛАУ, метод Гаусса также применяется для:
нахождения
матрицы, обратной к данной (к матрице
справа приписывается единичная такого
же размера, что и исходная:
,
после чего
приводится
к виду единичной матрицы методом
Гаусса–Жордана; в результате на месте
изначальной единичной матрицы справа
оказывается обратная к исходной матрица:
);
определения ранга матрицы (согласно следствию из теоремы Кронекера–Капелли ранг матрицы равен числу её главных переменных);
численного решения СЛАУ в вычислительной технике (ввиду погрешности вычислений используется Метод Гаусса с выделением главного элемента, суть которого заключена в том, чтобы на каждом шаге в качестве главной переменной выбирать ту, при которой среди оставшихся после вычёркивания очередных строк и столбцов стоит максимальный по модулю коэффициент).
Существуют и другие методы решения и исследования систем линейных уравнений, которые лишены отмеченных недостатков. Эти методы основаны на теории матриц и определителей.
Список источников
Кремер Н.Ш., Путко Б.А. Высшая математика для экономистов. - М.: Учеб. пособие, 1998.
Курош А.Г. Курс высшей алгебры. - М.: Учеб. пособие, 1968.
Справочник по математике для экономистов. Под ред. В.И. Ермакова // Инфра-М, Москва – 2009.