Длина окружности и площадь круга
Конспект урока по математие для учащихся 6 "Б" класса
Тема урока: Длина окружности и площадь круга
Цели: ввести формулу площади круга и научить применять ее к решению задач; закрепить полученные знания в ходе выполнения упражнений, развивать логическое мышление учащихся.
Тип урока: изучение нового материала.
Оборудование: плакаты с формулами длины окружности и площади круга.
I. Устная работа (актуализация знаний)
1. Решить № 858 (а; б; в) устно и № 859 (в; г).
№ 858 (а; б; в)

№ 859 (в; г).

2. Решить задачу, повторив формулу длины окружности с : определите диаметры стволов деревьев-гигантов у их оснований: а) эвкалипта, длина окружности которого 25 м; б) мамонтова дерева, длина окружности которого 32 м.
II. Объяснение нового материала
1. Кругом называется часть плоскости, ограниченная окружностью. Например, дно стакана, поверхность крышки консервной банки.
2. Работа по рисунку 40 учебника на с. 138.
Если площадь круга обозначить
через S, то ее можно вычислить по формуле
.
3. Вычислить площадь круга, радиус которого равен 5 см.
Решение.
S = r2 = 3,14 · 52 = 3,14 · 25 = 78,5 (см2).
Ответ: 78,5 см2.
4. (Устно.) Вычислить площадь круга, диаметр которого равен 2 см; 20 см; 0,2 см.
5. Начертите круг. Измерьте его радиус и вычислите площадь круга.
III. Тренировочные упражнения
1. Решить задачу № 854 на доске и в тетрадях.
Решение.
с = 40,8 м;
Диаметр арены цирка 13 м, радиус 6,5 м. Площадь арены цирка равна
Ответ: 13 м м2.
2. Решить задачу № 855 на доске и в тетрадях.

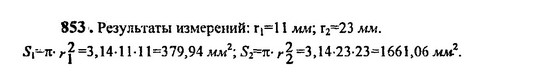
3. Решить задачу № 853 самостоятельно, используя рисунок 42 учебника и выполнив измерения радиуса каждой окружности.

4. Решить задачу (объясняет учитель):
Останкинская телебашня в Москве опирается на площадку, имеющую форму кольца. Диаметр наружной окружности 63 м, а внутренней окружности 44 м. Вычислите площадь фундамента Останкинской телебашни.
Решение.
>>>>>>>>>>
>>>>>>>>
>>
Ответ: 1525 м2.
IV. Итог урока
1. Повторить все формулы по теме.
2. Что называется кругом?
3. Как разделить круг на две равные части?
4. Найдите площадь
круга, радиус которого 4,4 дм. Число
округлите
до десятых.
Домашнее задание: запомнить формулы п. 24; решить № 856, 870, 871.
Литература
1. Математика. 6 класс. Виленкин Н.Я., Жохов В.И. и др. 13-е и 23 изд., перераб. - М: Мнемозина, 2004 и 2008 гг.
2. Математика. 6 класс: поурочные планы (по учебнику Н. Я. Виленкина, В. И. Жохова, А. С. Чеснокова, С. И. Шварцбурда). I полугодие. 3-е изд., перераб. и исправлен. / авт.-сост. Л. А. Тапилина. Т. Л. Афанасьева. – Волгоград: Учитель, 2008. – 173 с.
3. Математика. 6 класс: поурочные планы (по учебнику Н. Я. Виленкина, В. И. Жохова, А. С. Чеснокова, С. И. Шварцбурда). II полугодие. 3-е изд., перераб. и исправлен. / авт.-сост. Л. А. Тапилина. Т. Л. Афанасьева. – Волгоград: Учитель, 2008. – 143 с.