Точные методы численного решения систем линейных алгебраических уравнений
Министерство науки и образования Украины
Сумской государственный университет
Механико-математический факультет
Кафедра информатики
“Точные методы численного решения систем линейных алгебраических уравнений”
Сумы 2006
Содержание
Постановка задачи
1. Введение
2. Точные методы решения СЛАУ
3. Практическая реализация метода Халецкого
3.1 Программа на языке Pascal
3.2 Решение в Excel
Заключение
Литература
Приложение
Постановка задачи
Решить систему линейных алгебраических уравнений, используя точный метод численного решения (схему Халецкого).
1. Введение
Существует несколько способов решения таких систем, которые в основном делятся на два типа: 1) точные методы, представляющие собой конечные алгоритмы для вычисления корней системы, 2) итерационные методы, позволяющие получать корни системы с заданной точностью путем сходящихся бесконечных процессов.
Для того чтобы система линейных алгебраических уравнений имела решение, необходимо и достаточно, чтобы ранг основной матрицы был равен рангу расширенной матрицы. Если ранг основной матрицы равен рангу расширенной матрицы и равен числу неизвестных, то система имеет единственное решение. Если ранг основной матрицы равен рангу расширенной матрицы, но меньший числа неизвестных, то система имеет бесконечно решений.
Пример системы линейных уравнений:
>
>
Или в матричном
виде: >
>,
где >
>матрица
коэффициентов системы;
>
>
- вектор неизвестных; >
>-
вектор свободных членов.
2. Точные методы решения СЛАУ
Метод главных элементов.
Пусть дана система линейных алгебраических уравнений. Рассмотрим расширенную матрицу, состоящую из коэффициентов системы a[i,j] и свободных членов b[i]. Метод главных элементов - это обобщение метода исключения переменных (метода Гаусса). Обозначим матрицу, состоящую из коэффициентов при неизвестных и столбца свободных членов исходной системы за M.
Выбираем
наибольший по модулю элемент, не
принадлежащий столбцу свободных членов.
Пусть это будет
.
Этот элемент называется главным
элементом, а строка, в которой он
находится, называется главной строкой.
Вычисляются множители:

Далее
производим следующие преобразования:
к каждой неглавной строке прибавим
главную строку, умноженную на
соответствующий множитель
для
этой строки. В результате мы получим
матрицу, у которой q-й столбец состоит
из нулей. Отбросим этот столбец и главную
p-ю строку, получим новую матрицу
с
меньшим на единицу числом строк и
столбцов. Над матрицей
повторяем
те же операции, после чего получаем
матрицу
и
т.д. Таким образом, мы построим
последовательность матриц

последняя, из которых представляет двучленную матрицу - строку, её также будем считать главной строкой. Для определения неизвестных объединяем в систему все главные строки, начиная с последней. После надлежащего изменения нумерации неизвестных получается система с треугольной матрицей, из которой легко шаг за шагом найти неизвестные данной системы.
Заметим, что метод Гаусса является частным случаем, метода главных элементов, а схема метода Гаусса получается, если за главный элемент всегда выбирать левый верхний элемент соответствующей матрицы. Запрограммировать метод главных элементов непросто, поэтому чтобы уменьшить вычислительную погрешность, применяют метод Гаусса с выбором главного элемента. Необходимое условие применения метода главных элементов: определитель системы не равен нулю.
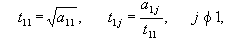
Метод квадратных корней
Метод квадратных корней разработан для решения линейных систем с симметричной матрицей коэффициентов. Пусть дана линейная система
Ax=b,
где
или
(симметрическая
матрица).
Симметричную матрицу можно представить в виде произведения двух транспонированных между собой треугольных матриц
A=T'*T,

Перемножим матрицы T' и T. Из T' i-ю строку из T j-тый столбец, получим следующие уравнения:

Последовательно находим:


После подстановки в систему, последняя распадается на две системы с треугольными матрицами.

Решим систему T'*y=b. Запишем её в развёрнутом виде:

Отсюда последовательно находим

Решаем систему T*x=y, записав её в развёрнутом виде:

Решение имеет вид

Прямым ходом
с помощью формул вычисляются t[i,j] и y[i],
обратным ходом по формуле находятся
x[i].Текущий контроль прямого хода
осуществляется с помощью так называемых
"контрольных сумм", которые
представляют собой сумму элементов
строк матрицы исходной системы, включая
свободные члены. Если над контрольными
суммами в каждой строке проделывать те
же операции, что и над остальными
элементами этой строки, то при отсутствии
ошибок в вычислениях сумма преобразованных
элементов равна преобразованной сумме.
Обратный ход контролируется следующим
образом: если в формулах для определения
вместо
столбца свободных членов взять
соответствующие элементы из столбца
контрольных сумм, то получим новые
неизвестные, которые обозначим
'.
При отсутствии
ошибок
'-
=1.
Метод Халецкого
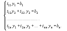
Запишем систему линейных уравнений в матричном виде:
>
>,
где A=[a>ij>] – квадратная матрица порядка n и
>
>,
>
>
- векторы-столбцы.
Представим
матрицу A в виде произведения нижней
треугольной матрицы B=[b>ij>]
и верхней треугольной матрицы C=[c>ij>]
с единичной диагональю >
>,
где
>
>
и >
>.
Тогда элементы b>ij> и c>ij> определяются по формулам
>
>
и >
>
Отсюда искомый
вектор x может быть вычислен из уравнений
>
>
и >
>.
Так как матрицы B и C – треугольные, то системы легко решаются:
>
>
и >
>
Из этих двух формул видно, что числа y>i> выгодно вычислять вместе с коэффициентами c>ij>. Этот метод получил название схемы Халецкого. В схеме применяется обычный контроль с помощью сумм. Если матрица A – симметрическая a>ij>=a>ji>, то
>
>
Пример. Решить систему
>
>
Решение.
В первый
раздел таблицы впишем матрицу коэффициентов
системы, ее свободные члены и контрольные
суммы. Далее так как >
>
>
>,
то первый столбец из раздела 1 переносится
в первый столбец раздела II. Чтобы получить
первую строку раздела II, делим все
элементы первой строки раздела I на
элемент>
>,
в нашем случае на 3.
Имеем:
>
>;
>
>;
>
>;
>
>;
>
>.
Переходим к
заполнению второго столбца раздела II,
начиная со второй строки. Пользуясь
формулами, определяем >
>:
>
>;
>
>;
>
>.
Далее определяя по формулам, заполняем вторую сетку для раздела II:
>
>
>
>
>
>
>
>
Затем переходим
к третьему столбцу, вычисляя его элементы
>
>
и >
>
по формулам и т.д., пока не будет заполнена
вся таблица раздела II. Таким образом,
заполнение раздела II происходит способом
“елочки”: столбец - строка, столбец -
строка и т.д.
В разделе Ш,
пользуясь формулами, определяем >
>
и >
>.
Текущий контроль осуществляется с помощью столбца ∑, над которым производятся те же действия, что и над столбцом свободных членов.
|
|
|
|
|
|
|
|
|
|
|
|
|
|
|
I |
|
|
|
|
|
|
3 |
1 |
-1 |
2 |
6 |
11 |
|
I |
|
|
|
|
|
|
-5 |
1 |
3 |
-4 |
-12 |
-17 |
|
I |
|
|
|
|
|
|
2 |
0 |
1 |
-1 |
1 |
3 |
|
I |
|
|
|
|
|
|
1 |
-5 |
3 |
-3 |
3 |
-1 |
|
II |
|
|
|
|
|
|
3│1 |
0.333333 |
-0.333333 |
0.666667 |
2 |
3.666667 |
|
II |
|
|
|
|
|
|
-5 |
2.666667│1 |
0.5 |
-0.25 |
-0.75 |
0.5 |
|
II |
|
|
|
|
|
|
2 |
-0.666667 |
2│1 |
-1.25 |
-1.75 |
-2 |
|
II |
|
|
|
|
|
|
1 |
-5.333333 |
6 |
2.5│1 |
3 |
4 |
|
III |
|
|
|
|
|
|
|
|
|
|
2 |
1 |
|
III |
|
|
|
|
|
|
|
|
|
|
-0.75 |
-1 |
|
III |
|
|
|
|
y3 |
|
|
|
|
|
-1.75 |
2 |
|
III |
|
|
|
|
y4 |
|
|
|
|
|
3 |
3 |
3. Практическая реализация метода Халецкого
3.1 Программа на языке Pascal
program kursovaya;
uses crt;
const sizemat=10;
type mattype=array[1..sizemat,1..sizemat] of double;
mattype1=array[1..sizemat] of double;
{Процедура для вывода матрицы на экран}
procedure writemat (var a:mattype; n,m:byte);
var i,j:byte;
begin
writeln;
for i:=1 to n do
begin
for j:=1 to m do
write(a[i,j]:7:3,' ');
writeln
end;
end;
{Процедура для ввода значений элементов матрицы}
procedure inputmat (var a:mattype;var d:mattype1; var n:byte);
var i,j:byte;
begin
writeln;
write ('Введите размер матрицы = ');
readln(n);
writeln;
writeln('Введите матрицу:');
writeln;
for i:=1 to n do
for j:=1 to n do
read (a[i,j]);
writeln;
writeln('Введите свободные коэффициенты:');
writeln;
for i:=1 to n do
readln(d[i]);
writeln;
end;
{Процедура получения двух треугольных матриц, произведение которых равно исходной матрице}
procedure getBnC(var a,b,c:mattype; n:byte);
var k,i,a1,j:byte;
begin
for k:=1 to n do
for i:=1 to n do
begin
if k=i then c[k,i]:=1
else c[k,i]:=0;
b[k,i]:=0;
end;
for a1:=1 to n do
begin
if a1=1 then
begin
for i:=1 to n do
b[i,1]:=a[i,1];
for i:=2 to n do
c[1,i]:=a[1,i]/b[1,1];
end
else
begin
k:=a1;
for i:=a1 to n do
begin
b[i,k]:=a[i,k];
for j:=1 to k-1 do
b[i,k]:=b[i,k]-b[i,j]*c[j,k];
end;
i:=a1;
for k:=i+1 to n do
begin
c[i,k]:=a[i,k];
for j:=1 to i-1 do
c[i,k]:=c[i,k]-b[i,j]*c[j,k];
c[i,k]:=c[i,k]/b[i,i];
end;
end;
end;
end;
procedure otvet(var b,c:mattype; d:mattype1; n:byte);
var x,y,s:mattype1;
i,j,k:byte;
w,q:double;
y1,x1:mattype;
begin
for i:=1 to n do
if i=1 then y[i]:=d[i]/b[i,i]
else
begin
w:=0;
for k:=1 to i-1 do
begin
y1[i,k]:=w+b[i,k]*y[k];
w:=y1[i,k];
end;
y[i]:=(d[i]-w)/b[i,i];
end;
for i:=n downto 1 do
if i=n then x[i]:=y[i]
else
begin
q:=0;
for k:=i+1 to n do
begin
x1[i,k]:=q+c[i,k]*x[k];
q:=x1[i,k];
end;
x[i]:=y[i]-q;
end;
writeln;
writeln('Ответ X:');
writeln;
for i:=1 to n do
writeln('x[',i,']= ',x[i]:1:4);
writeln;
end;
{Основная программа}
var a,a1,c,b:mattype;
d:mattype1;
n:byte;
begin
clrscr;
writeln ('Курсовая работа ');
InputMat(a,d,n); {Ввод матрицы A }
getBnC(a,b,c,n);{ Получение треугольных матриц B u C}
Writeln('Матрица B: ');
writemat(b,n,n);
readln;
Writeln('Матрица C: ');
writemat(c,n,n);
otvet(b,c,d,n);
readln;
end.
3.2 Решение в Excel


Заключение
Первым из алгоритмов, посвященным большому разделу решения систем линейных уравнений, представляем алгоритм Халейкого. Это фактически метод решения систем общего вида, конкурирующий по быстродействию с общеизвестным методом Гаусса-Жордана, но позволяющий более эффективно использовать решение.
Если мы можем разложить матрицу линейной системы A в произведение A=L*U(B*C), где L(B) - нижняя, а U(C) - верхняя треугольные матрицы, то решение системы уравнений с произвольной правой частью производится весьма просто, применением двух обратных подстановок. Более того, в отличие от известного метода Гаусса-Жордана, разложенная матрица позволяет быстро решать серии линейных уравнений с различными правыми частями при одной и той же матрице.
Метод Халецкого позволяет провести LU-декомпозицию матрицы примерно за то же число операций, что и "прямая" часть метода Гаусса-Жордана. Итоговые коэффициенты двух треугольных матриц упаковываются в матрицу того же размера, что и A, и на том же месте в памяти. При этом верхняя матрица U размещается в наддиагональной части и на диагонали; нижняя L в поддиагональной части, а диагональные элементы L считаются все равными 1 (без ограничения общности) и не выводятся.
Метод Халецкого исключительно является точным методом, при этом предполагалось, что арифметические операции выполняются над точными числами. Если же метод реализуется на ЭВМ, то появляется вычислительная погрешность, заметим, что даже результаты точных методов являются приближенными из-за неизбежных округлений. Для итерационных процессов также добавляется погрешность метода.
Схема Халецкого удобна для работы на вычислительных машинах, так как при представлении матрицы А в виде произведения нижней треугольной матрицы L и верхней треугольной матрицы U с единичной диагональю, операцию “накопления” можно проводить без записи промежуточных результатов.
Литература
Б.П. Демидович и И.А. Марон. “Основы вычислительной математики”, Москва, 1963г.
Н.С. Бахвалов, Н.П. Жидков, Г.М. Кобельков. “Численные методы”, Москва, 1987г.
Ю.П. Боглаев. “Вычислительная математика и программирование”, Москва, 1990г.
Приложение
Результаты работы программы:






























│1





│1





│1





│1


