Теорема Дирихле
Содержание
Введение 2
1. Характеры 3
1.1 Определение характера. Основные свойства характеров 3
1.2 Суммы характеров. Соотношение ортогональности 6
1.3 Характеры Дирихле 8
2. L-функция Дирихле 13
3. Доказательство теоремы Дирихле 29
Введение
Простые числа расположены в натуральном ряде весьма неравномерно.
Целью данной работы является доказательство следующей теоремы о простых числах в арифметической прогрессии.
Теорема Дирихле. Если разность и первый член арифметической прогрессии есть взаимно простые натуральные числа, то она содержит бесконечное множество простых чисел.
Пусть
mn + l, n=1,2, …,
прогрессия, удовлетворяющая условию теоремы.
Условие (m, l)=1, наложенные на числа m и e в формулировке теоремы, естественно, поскольку в случае, когда d=(m, l)>1, все члены прогрессии делятся на d и поэтому не являются простыми числами.
Сформулированная теория была впервые высказана Л. Эйлером в 1783 г. В 1798 г. А. Лежандр опубликовал доказательство для четных m, использовавшее, как выяснилось позднее, одну ошибочную лемму.
Полностью доказал теорему в 1837–1839 гг. Петер Густав Лежен-Дирихле (1805–1859), немецкий математик, автор трудов по аналитической теории чисел, теории функций, математической физике.
В 1837 г. вышли две работы Дирихле, посвященные теореме о простых числах в арифметической прогрессии. Они содержали формулировку теоремы в общем виде, однако доказательство приводилось только для случая, когда разность прогрессии есть простое число. В конце второй работы содержится построение характеров для произвольного модуля и некоторые утверждения о том, как можно доказать утверждение L (1,χ)0 для неглавных характеров x в одном случае. В 1839 г. Дилихле опубликовал полное доказательство теоремы о простых числах в арифметической прогрессии. С тех пор она носит его имя.
1. Характеры
1.1 Определение характера. Основные свойства характеров
Х
арактером
(от греческого хараæτήp-признак,
особенность) χ конечной абелевой группы
G
называется не равная тождественно нулю
комплекснозначная функция, определенная
на этой группе и обладающая тем свойством,
что если, АG
и BG
χ (АВ)= χ (А) χ(В).
Обозначим через Е единичные элементы в группе G и через А-1 обратный элемент для АG
Характеры группы G обладают следующими свойствами:
1. Если Е-единица группы, то для каждого характера χ
χ (Е)=1 (1.1)
Доказательство. Пусть для каждого элемента АG справедливо неравенство
>1>(А)=(АЕ)= (А) χ (Е)
Из этого равенства получим, что (Е)0. Теперь из равенства
(Е)= (ЕЕ)= (Е) (Е)=1
следует равенство (1.1)
2. (А) 0 для каждого АG
Действительно, если бы χ (А) =0 для некоторого АG, то
(А) χ (А-1)= (АА-1)= χ (Е)=0,
а это противоречит свойству 1.
3. Если группа G имеет порядок h, то Аh=Е для каждого элемента АG Следовательно,
1= χ (Е)= χ (Аh)= χ (А)h,
то есть χ (А) есть некоторый корень степени h из единицы.
Характер χ>1,> обладающий свойством χ>1>(А)=1 для каждого элемента АG, называется главным характером группы G. Остальные характеры называются неглавными.
Лемма 1. Пусть Н подгруппа конечной абелевой группы G, причем G/H – циклическая порядка n, тогда для каждого характера χ>H>> >– подгруппы Н существует ровно n характеров.
Доказательство.
Рассмотрим группу G=
gkH,
причем gnH=H,
gnH
и gn=h>1>=1.
Для каждого элемента XG существует и притом единственное к=к>х> и h>х>=h такое, что если 0 к>х ><n, то X= gkх h>х>=gkh. Возьмем еще один элемент группы G, Y= gm h>y>, где 0 m<n. Перемножим эти два элемента
ХY= gк+m hh>y>.
Определим характер χ (X).
χ (X)= χ (gк h)= χ (gк) χ (n)= χ к (g) χ> >>H> (h).
В данном выражении неизвестным является χ (g).
χ n (g)= χ (gn)= χ (h>1>)= χ> >>H>(h>1>) – данное число.
χ
(g)=
– n
корней из 1,
то есть ξ>ј>n=χn(g)= χ> >>H>(h>1>), получаем xk (g)= ξ>ј>n. Следовательно, x(g)= ξ>1>, …, ξ>n>
Из полученных равенств получаем:
χ (X)= χ k (g) χ> >>H>(h>x>)= ξ>j>kx χ> >>H> (h>x>)
χ (Y)= χ m (g) χ> >>H>(h>y>)= ξ>j>ky χ> >>H> (h>y>)
Определим умножение характеров
χ (X) χ (Y)= ξ>j>ky χ> >>H> (h>y>) ξ>j>k-x χ> >>H> (h>x>)= ξ>j>kx+ky χ> >>H> (h>x>) χ> >>H> (h>y>)= >j>k+m χ> >>H> (hh>y>)
Для того чтобы определение выполнялось, необходимо рассмотреть степень gkx+kx. Возможны два случая:
1) Если 0 к>х >+ k>y><n, то
к>х >+ k>y>= k>xy>>,>; h>x>h>y>> >= h>xy>>.>
В этом случае определение выполняется.
2) Если n к>х >+ k>y><2n-1, то получим
к>х >+ k>y> = n + k>xy>>.>.
Тогда
XY= g kx+ky h>x>h>y>=ghgkx+ky-n h>x> h>y>=gkx+ky-n h>1>h>x>h>y>
В свою очередь 0 к>х >+ k>y> – nn-1 k>x>+k>y> – n=k>xy>, h>1>h>x>h>y>> >= h>xy>.
χ (XY) = ξ>j>> >kх+kу χ>н> (h>x>>у)> = ξ>j> kх + kу – n χ>н >(h>1>) χ>н>(h>x>) χ>н> (h>y>) = ξ>j>кх ξ>j> ку ξ>j>– n χ>н >(h>1>) χ>н>(h>x>) χ>н> (h>y>) = ξ>j> кх χ>н >(h>1х>) · ξ>j> ку χ>н>(h>y>) = χ (X) χ(Y).
Лемма доказана.
5. Характеры конечной мультипликативной абелевой группы G образуют конечную мультипликативную абелевую группу Ĝ.
Под произведением двух характеров χ' и х χ'' группы G будем понимать характер х, определяемый следующим свойством:
χ (AB) = χ' (A) χ'' (В)
Для любого элемента АG, имеем:
χ (АВ) = χ' (АВ) χ'' (АВ) = χ' (А) χ' (В) · χ'' (А) χ'' (В) = χ(А) χ(В)
Таким образом, получаем χ ' χ '' действительно является характером.
Роль единичного элемента группы G играет главный характер χ>1>
Обратным элементом G является:
χ
>2>
(g>1>
g>2>)
=
=
=
= χ>2>(g>1>)
χ>2>(g>1>)
1.2 Суммы характеров. Соотношение ортогональности
Пусть G – конечная мультипликативная абелева группа порядка h. Рассмотрим сумму:
S
=
,
где А пробегает все элементы G, и сумму
Т =

где пробегает все элементы группы характеров Ĝ.
Рассмотрим чему равна каждая из сумм.
а) Если В-фиксированный элемент группы G и А пробегает все элементы G, то АВ также пробегает все элементы группы G. Следовательно,
S·
(В) =
(В) =
=
= S.
Получили S (В) = S, откуда следует, что ( (В) – 1)·S = 0. Следовательно, возможны два варианта:
1) S = 0, то (В) – негативный характер
2) S≠0, то (В) = 1 для каждого элемента В€G и в этом случае (В)= >1>(В) есть главный характер и сумма S равна порядку h группы G. Таким образом,
S
=
=
(1.2)
б) Если мы умножим сумму Т на некоторый характер ’ группы Ĝ, то аналогичным образом получим
’ (А)
Т =
’
(А) =
= Т,
Следовательно,
1) или Т = 0, то А ≠Е
2) или Т ≠ 0, то ’ (А) = 1 для каждого характера ’€ G. В этом случае согласно свойству 3§ 1, имеем А=Е. И тогда Т=h. Таким образом,
Т =
=

1.3 Характеры Дирихле
Пусть m – положительное целое число. Определим числовые характеры по модулю m. Мы знаем, что (m) приведенных классов вычетов по модулю m образуют мультипликативную абелеву группу порядка h=(m). Мы можем, следовательно, рассмотреть характер этой группы. Но определение характера для приведенных классов вычета по модулю m можно перенести на множество целых чисел следующим образом. Положим
(а)= (А), если аА,
где А – приведенный класс вычетов по модулю m. Тогда очевидно, (а)= (b) (mod m), и (ab)= (а) (b), если (а, m)=(b, m)=1. Поскольку (А)0 для каждого приведенного класса вычетов А, то (а)0, если (a, m)=1.
Это определение применимо только к целым числам а, которые взаимно просты с m.
Мы можем рассмотреть его на все целые числа, положив
(а)=0, если (a, m)>1.
Следовательно, характер по модулю m есть арифметическая функция , обладающая следующими свойствами:
(а)= (b), если с=b (mod m)
(ab)= (a) (b) для всех целых a и b
(а)=0, если (a, m)>1
(а)0, если (a, m)=1
Имеется точно (m) – количество характеров по модулю m, где (m) – количество положительных целых чисел, не превосходящих m и взаимно простых с m. Они образуют мультипликативную абелеву группу приведенных классов вычета по mod m. Единичным элементом этой группы будет главный характер >1,> то есть такой характер, что >1>(а)=1, если (а, m)=1. Далее имеем следующее соотношение ортогональности:
=

=

Пусть m – положительное целое число. Определим числовые характеры по модулю m. Комплекснозначная функция, определенная для всех целых чисел n, называется числовым характером или характером Дирихле по модулю m, она удовлетворяет следующим условиям:
а) (n) = 0 тогда и только тогда, когда (n, m) ≠ 1
б) (n) периодична с периодом m
в) для любых чисел а и b
(аb) = (а) (b)
Функция
>1>(n)
= 
является числовым характером и называется главным характером. Остальные числовые характеры по модулю m называются неглавными.
Имеет место следующее утверждение о числовых характерах.
Теорема 1 Существует равно φ(m) числовых характеров по модулю m. Если = (n) – числовой характер по модулю m, то:
1) для n, взаимно простых с модулем m, значения (n) есть корень из 1 степени φ(m).
2) для всех n выполняется неравенство / (n)/ ≤1
3) Имеет место равенство

4) Для каждого целого числа n
= 
Доказательство.
Пусть
(n)
– некоторый числовой характер по модулю
m.
Из пункта б) определения следует, что
(n)
задает некоторую функцию ’(
)
=
(n)
на мультипликативной группе
классов
вычетов по модулю m,
взаимно простых с m,
а именно
’(
)
=
(n)
Здесь
обозначает класс вычетов по модулю m,
содержащий n.
Так как (1)
≠ 0, то ’(
)
не равняется тождественно нулю, а из
пункта в) определения числового характера
следует, что ’(
)
= ’(
)
= ’
(ab)
=
(a)
(b)
= ’(
)’(
).
Таким образом, ’(
)
есть характер модультипликативной
группы G>m>>.>
Обратно, по каждому
характеру ’(
)
группы G>m>
можно построить числовой характер
(n)
по модулю m,
положив

Установленное соответствие является взаимнооднозначным. И все утверждения теоремы 1 следуют из доказанного выше для групповых характеров применительно к группе G>m>, если учесть, что порядок группы G>m> равен φ(m), где φ(m) – функция Эйлера.
В дальнейшем требуется еще одно утверждение с числовых характерах. Обозначим для каждого , ≥ 1

Где суммирование ведется по всем натуральным числам n, не превосходящим .
Лемма 2. Пусть (n) – неглавный характер. Тогда для каждого , ≥ 1 справедливо неравенство
/S(x)/<m
Доказательство. Функция (n) периодична с периодом m и по теореме з
0,
так как ≠
>1>
Поэтому, представив [] – целую часть числа – в виде []=m1+z, 0zm, будет иметь
S()
=S([])=q

В виду равенства /(n)/1 отсюда получили S()zm
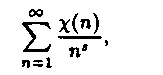
2. L-функция Дирихле
Пусть х(п) – произвольный характер по модулю m. Рассмотрим ряд
,
(2.1)
члены которого являются функциями комплексного переменного S. В области сходимости он определяет функцию, которая называется L-функцией Дирихле, соответствующей характеру (n), и обозначается L (s, ).
Лемма 3
1. Если >1>, то ряд (1) сходится в области ReS > 0 и определяемая им функция L (s, ) является аналитической в этой области.
2. Ряд, определяющий L (S, >1>), сходится в области ReS >1. Функция L (S, >1>) является аналитической в области ReS > 1.
Доказательство.
Пусть (n) – произвольный характер по модулю m, а б – некоторое положительное число. Так как /(n)/ 1, то в области ReS > 1 + б справедливо неравенство

Следовательно, ряд (1) равномерно сходится в области ReS > 1 + б. Определяемая им функция L (S, ) по теореме Вейерштрасса о сумме равномерно сходящегося ряда аналитических функций является аналитической в этой области. Ввиду произвольности 6 это доказывает второе утверждение Леммы.
Для неглавных характеров (n) потребуется более сложное исследование ряда (1).
Лемма 4 (преобразование Абеля).
Пусть a>n>, n=1,2,…, – последовательность комплексных чисел, >1,
А()=
а q(t) – комплекснозначная функция, непрерывно дифференцируемая на множестве 1t
Тогда
(2.2)
Если же

то
(2.3)
при условии, что ряд в левой части равенства сходится.
Доказательство. Положим А(0)=0 и В(х) равным левой части равенства (2.2). Тогда при любом натуральном N

так как А(0)=0. Далее

поскольку функция А(х) постоянна на каждом полуинтервале nt<n+1. Следовательно, равенство (2.2) доказано при целых значениях х.
пусть х1 – произвольное число. Положим N=[x]; значит, NxN+1. Тогда А(х)=А(N), B(x)=B(N), а

Следовательно,

Тем самым доказано, что равенство (2.2) верно и для нецелых чисел значений х.
Равенство (2.3) получаем из равенства (2.2) переходом к пределу при х. Лемма доказана.
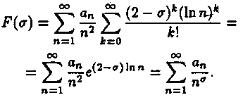
Воспользовавшись леммой 4, получим следующее равенство
(2.4)
где

функция, введенная Лемме 4.
Для s = +it из области ReS = , где – некоторое положительное число, пользуясь леммой 4, находим

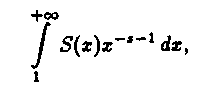
Поэтому интеграл

сходится в области ReS > . Поскольку в этой области выполняется неравенство

то из равенства (2) следует, что ряд (1), определяющий функцию L (S, x), сходится в области ReS > . Эти рассуждения справедливы для любого положительного числа . Значит, ряд (1) сходится в полуплоскости ReS > 0.
Из равенства (2) следует, что в этой полуплоскости для L-функции, соответствующей неглавному характеру (n), справедливо представление

(2.5)
так как

Интеграл, стоящий в правой части равенства (2.5), можно также представить в виде
(2.6)
Члены ряда (2.6) являются аналитическими функциями в области ReS >, что следует из равенств

При этом использовано, что на полуинтервале nх< n+1 функция S(х) принимает значение S(n). Поскольку

то ряд (2.6) равномерно сходится в области ReS >. Отсюда, как и выше, получаем, что сумма его, т.е.

является аналитической функцией (по теореме Вейерштраса) в области ReS >.
Из представления (2.5) следует теперь, что L (S, x) есть аналитическая функция в полуплоскости ReS >, а ввиду произвольности S – и b полуплоскости ReS > 0.
Следствие. Пусть (n) – произвольный характер. Тогда в области ReS > 1 справедливо равенство
(2.7)
Это следует из того, что ряд (2.1) по доказанному равномерию сходится в области ReS>1+, где >0. Следовательно, по теореме Вейштрасса о равномерно сходящихся рядах аналитических функций в этой области ряд (2.1) можно почленно дифференцировать

Поэтому в полуплоскости ReS>1+ выполняется равенство (2.7). Так как в этом рассуждении -любое положительное число, то равенство (2.7) будет справедливо в полуплоскости ReS>1.
Для L-функций имеет место представление в виде бесконечного произведения по простым числам, аналогичное тождеству Эйлера. Рассмотрим вспомогательную Лемму.
Лемма 5. Пусть функция f(n) вполне мультипликативна и ряд
(2.8)
абсолютно сходится. Тогда выполняется равенство
(2.9)
Доказательство. Отметим прежде всего, что /f(n)/<1 при любом натуральном n>1. В противном случае при каждом m
/f(n)m/=/f(n)/m1,
что противоречит сходимости ряда (2.6). Поэтому при каждом простом р ряд

абсолютно сходится, и его сумма как сумма бесконечно убивающей геометрической прогрессии равна (1-f(р))-1. Кроме этого, в силу абсолютной сходимости, ряды можно перемножить. Перемножая конечное число таких рядов и используя то, что f(n) есть вполне мультипликативная функция, получим

где n>e>> >= p … ps и в сумме в правой части равенства содержатся такие и только такие слагаемые f(n>e>), что все просты делители n>e>> >не превосходят х. Следовательно, в разности

остаются те и только те слагаемые f(m>e>), для которых у числа m>e> имеется хотя бы один простой делитель р>x. Тогда оценим разность
/S-S(x)/
и из абсолютной сходимости ряда (2.8) следует, что

Это доказывает, что бесконечное произведение (2.7) сходится и выполняется утверждение Леммы.
Лемма 6. Для каждого характера (n) в области ReS > 1 справедливо представление

Доказательство. Эта лемма является следствием Леммы 5, поскольку функция (n) вполне мультипликативна, то есть (АВ)= (А) (В), и выполняется неравенство /(n)/ 1 по теореме 1.
Следствие 1. В области ReS > 1 для главного характера >1>(n) по модулю m справедливо равенство
(2.10)
и поэтому функция L (S, >1>) может быть аналитически продолжена в область ReS > 0, где она имеет единственный полюс (первого порядка) в точке S=1.
Действительно, по определению главного характера >1>(n) имеет место равенство

Поэтому

Пользуясь теперь тождеством Эйлера для дзета-функции Римана получаем равенство (2.10). Остальные утверждения легко следуют из этого равенства, поскольку дзета-функция является аналитической в области ReS > 0 с единственным полюсом первого порядка в точке S = 1.
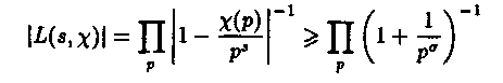
Следствие 2. Для каждого характера функция L (S, x) не обращается в нуль в области ReS > 1.
Доказательство.
Если = ReS > 1. то

Пользуясь неравенством для дзета-функции Римана, находим

Получаем:
L
(S,)
≥
> 0
Теперь докажем утверждения, что L – функция, соответствующая неглавному характеру , точке S =1 отлична от нуля.
Теорема 2. Если – неглавный характер, то L (1, )≠0
Для доказательства рассмотрим 2 случая
1. Пусть характер – комплексное число, не является действительным. Тогда характер 2(n) не является главным. В этом случае доказательство теоремы будет основываться на тех же идеях, что и доказательство отсутствия нулей дзета – функции на прямой ReS=1.
Лемма7. Пусть 0<ч<1, а х – действительное число, тогда выполняется неравенство /(1 – ч)3 (1 – чеix)4 (1 – че2ix)/-1 ≥ 1
Доказательство.
Для всех z из круга /z/<1 имеет место расположение
– ln
(1 – z)
=
(2.11)
Так как ln(t) = Re lnt, то обозначая М (ч φ), левую часть неравенства (2.11), получим
lnM
(ч
φ) = 3ln
(1 – ч)
– 4 ln
(1 – чеi4)
– ln
(1 – че2i4)
= – 3ln
(1-ч)
– 4Reln/1
– чеi4/
– Reln/1
– че2i4/=
rc
(3+4e)inl
/1-rei4/=
(3+4cosnl+2cos2nl)=
(2+4cos+1+cos2)=
1
(1+cos)20
ln=M (r, l)=0
Следовательно, M (r, l)=1 доказана.
Из леммы 7 следует, сто при любом действительном S>1 выполняется равенство:
|L3(8,
>1>)
L4(S,
)
4 (S,
4)
1 = П (1-
)3(1-
)4(1-
)|-1 (2.12)
Получая в лемме ч = р-s, т.е.
0< ч = >1>(р)<1
0< р-s <1
(р) р-s = чеi4, в силу того что (р) – комплексное
(р) р-s = че2i4
Получаем, что каждый сомножитель в правой части равенства (f) не меньше 1 и, следовательно, при любом S>1 выполняется равенство:
|L3(S>1>) · L4(S) L (S2)| ≥ 1 (2.13)
Допустим, что для некоторого характера (2≠>1>) выполняется равенство
L (1, ) = 0 (2.14)
Оценим сверху левую часть неравенства. Из оценки дзета-функции Римана
ξ(S)
≤
,
следует, что при S
€ R,
S>1
выполняется неравенство
а) 0 < 4 (S,
>1>)
=

получили 0<L
(S,
>1>)≤
б) Функция L (S, ) разложим в ряд Тейлора
L (S, ) = C>p> + C>1> (S – 1) + C>2>(S – 1)2 +… + C>n>(S – 1)n +…
Предположим, что у нее есть нуль L (1, ) = 1; тогда С>0 >= 0
Перепишем разложение L – функции в ряд
L(S) = C>к> (S – 1)к + С>к>>+1>(S – 1)к+1 = (S – 1)1 (C>к> + С>к>>+1>(S -1) +….), где к≥1, С>к> ≤ 0, т. к. S>1
| L (S, )| = |S – 1|k| C>k >+ C>k+1>(S – 1) +….| ≤ 2 C>k>|S – 1)k, при |S – | < r
Функция L (S, 2) в точке S = 1 не имеет полюса, следовательно не имеет особенности. Это в силу того, что комплексное и 2≠>1>
Получаем неравенство:
L (S, 2) ≤ C,
При условии | S – 1|< δ
Учитывая все неравенства и оценки
| L3
(S, )
L4(S,
)
L (S, 2)|
= (
)3
· 24
|C>k>|4
(S – 1)4k·
C≥1
Следовательно, это неравенство становится противоречивым, если перейти к пределу при S→1+0. Полученное противоречие показывает, что равенство (2.14) не выполняется.
2. Рассмотрим – вещественный характер, т.е. принимающий только вещественные значения, несовпадающий с главным характером
Лемма 8. Пусть – вещественный характер.
Рассмотрим функцию
F(S) = ξ(S) L (S, x) (2.15)
Докажем, что если Re S>1, то
(2.16)
представляется рядом Дирихле, которого справедливы следующие утверждения:
1) Все коэффициенты а>n>> >≥ 0
2) при n=k2, k € / N(N)/ а>n>≥1
3) В области ReS<1 можно почленно дифференцировать, то есть
F
(k)
(S)=
(-1)k(ln
n)k
k=1,2…;
(2.17)
4) Ряд (1) в точке S=1/2 расходится.
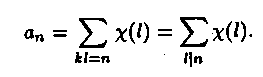
Доказательство. В области ReS > 1 ряды, определяющие функции S(S) и L (S,), абсолютно сходятся, поэтому их можно перемножить:
где
(2.19)
Пусть
-
расположение числа n
в произведение простых сомножителей.
Тогда все натуральные делители l
числа n
имеют вид

поэтому из равенства (14) находим, что

где a>ni = >1+ (p>i>)+ … +Li (p>i>), i=1,…, m (2.21)
так как – вещественный характер, то он может принимать только три значения: 0, 1, -1. Из равенства (2.21) следует, что
(2.22)
Во всех случаях числа a>ni>0, а значит, и a>n>=a>n>1 … a>nm>0
Если же число п является полным квадратом, то
N=k2=p>/>2 … p>m>> >2,
и из равенств (2.20) и (2.22) следует, что а>n> 1
При любом > 0 в области ReS> 1 + выполняется неравенство

Ряд (2.18) сходится в области ReS > 1. Поэтому по признаку Вейерштрасса ряд (2.16) сходится равномерно в области ReS > 1 + , а по теореме Вейерштрасса его можно в этой области почленно дифференцировать любое число раз. Следовательно, в области ReS > 1 + выполняется равенство (2. 17), а в силу произвольности оно выполняется и в области ReS > 1.
Однако ряд (39) расходится, так как по второму утверждению леммы
Ряд (2.16) при S
=
имеет неотрицательные члены. Поэтому,
если бы он сходился, то также сходился
бы ряд
(2.23)
Следовательно, ряд (2.23) расходится. Лемма доказана.
Переходим непоредственно к доказательству второго случая теоремы. Допустим, что L (1,) = 0. Тогда полюс дзета-функции будет компенсироваться в произведении S(S) L (S, ) нулем функции L (S, ).
Поэтому функция (2.15) F(S) будет аналитической в области ReS > 0 так как в точке S=1 у F() – устраненная особая точка. Следовательно, ее можно разложить в ряд Тейлора в точке S = 2:
(2.
24)
радиус сходимости которого не меньше 2 R2/
Из равенств (2.17), в частности S=2, находим
(2.25)
В радиусе сходимости будет брать не все S, а только вещественные ReS= S=(0,2). Пользуясь разложениями (18) и (19), находим

Члены двойного ряда неотрицательны, поэтому он сходится абсолютно, и в нем можно поменять порядок суммирования. Тогда

Следовательно, ряд
(2.16) сходится во всех точках,
< (, 0, 2), и в точке
,
а это противоречит четвертому утверждению
леммы. Поэтому L
(S,)0/
Этим завершается доказательство теоремы
По следствию 2 леммы
2 функция
является аналитической в области ReS
> 1. Для дальнейшего доказательства
теоремы Дирихле нам будет необходимо
представление этой функции в виде ряда,
аналогичного ряда (2.16).
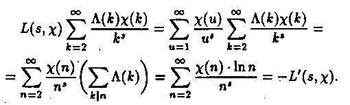
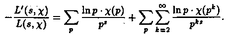
Лемма. Для каждого характера (n) в области ReS > 1 справедливо равенство
(2.26)

Доказательство.
Так как S=+it имеет место неравенство

получаем, что ряд стоящий в правой части равенства (2.26), абсолютно сходится в области >1. Умножим этот ряд на ряд определяющий L (S, ). Получили

Предпоследнее равенство имеет
место ввиду равенства
),
а последнее – по следствию из леммы 3,
равенство 2.7.
3. Доказательство теоремы Дирихле
Теорема. Если разность и первый член арифметической прогрессии есть взаимно простые натуральные числа, то она содержит бесконечное множество простых чисел.
Доказательство.
Рассмотрим равенство
(2.26), которое справедливое по Лемме в
области ReS
> 1. Поскольку
(n)
= 0 для всех n,
не являющихся степенями простых чисел,
то все отличные от нуля члены ряда в
правой части (2.26) имеют вид

где р – простое и k – натуральное числа. Ряд (2.26) абсолютно сходится, следовательно, его можно представить в виде двойного ряда) и, значит, в области ReS > 1
(3.1)
Второе слагаемое в правой части этого равенства равномерно ограничено по s в области ReS3/4. Действительно, если S=+it, 3/4, то

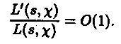
Следовательно, при S1+0 для каждого характера имеет место равенство
(3.2)
Здесь и в дальнейшем s 1 + обозначает, что S стремится к 1 по действительной оси справа.
Пусть – некоторое натуральное число, удовлетворяющее сравнению
(3.3)
Умножим обе части равенства (3.2) на () и просуммируем получившиеся равенства по всем числовым характерам . Тогда получим
(3.3)
Если простое число р удовлетворяет сравнению р l (mod m), то p ≠ 1 (mod m), и по теореме 1

Если же p≠l (mod m), то p≠ 1 и по той же теореме

Таким образом, равенство (3.3) можно переписать в виде
(3.4)
По лемме 3 и теореме
2 для неглавного характера
функция
является аналитической в точке S
= 1. Поэтому для таких характеров при S
1
+ 0 имеем
(3.5)
По следствию 1 леммы 4 функция L (S, >1>) имеет в точке S=1 полюс первого порядка. Значит, при S1+0
(3/6)
Учитывая равенства (3.5) и (3.6.) из равенства (26) получаем, что

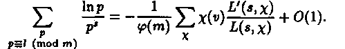
Так как число удовлетворяет сравнению (3.3), то (, m) = 1 и >0>()=1. Итак, при S1+0
(3.7)
Правая часть равенства а (3.7) при S1+0 имеет бесконечный предел. Значит, сумма, стоящая в левой части этого равенства, имеет бесконечное множество слагаемых. Поэтому существует бесконечное множество простых чисел, удовлетворяющих сравнению
pe (mod m)
Теорема Дирихле доказана.