Поняття фракталів
План
I. Вступ
1.1 Фрактал. Історія його виникнення
1.2 Види фракталів та методи їх створення
1.3 Типи самоподібності у фракталах
1.4 Розмірність фракталів
II. Основна частина
2.1 Класифікація алгоритмів створення фракталів
2.2 Системи Ітеріруємих Функцій
2.3 Стиснюючі афінні перетворення
2.4 Метод простої заміни
2.4.1 Серветка Серпінського
2.4.2 Дракон Хартера-Хейтуея
2.5 Алгебраїчні фрактали
2.6 Графіки функцій комплексної змінної
2.7 Формули побудови фракталів
2.7.1 Різновид алгебраїчних фракталів — басейни Ньютона
2.7.2 Множина Жюліа та Мандельброта
III. Висновок
IV. Використана література
І Вступ
1.1 Фрактал. Історія його виникнення
Все, що створено людиною, обмежено площинами. Коли зустрічається об’єкт у природі, то спочатку можна побачити, що описати його форму можна лише наближено й допоможуть в цьому фрактали. Де закінчуються правильні форми Евклідової геометрії, там зустрічаються фрактали.
Фракта́л (лат. fractus — подрібнений, дробовий) – нерегулярна, самоподібна структура. У широкому розумінні фрактал означає фігуру, малі частини якої в довільному збільшенні є подібними до неї самої (мал.1).
Об'єкти, які тепер називаються фракталами, досліджувались задовго до того, як їм було дано таку назву. В етноматематиці, наприклад в роботах Рона Еглаша "Африканські Фрактали", задокументовано поширені фрактальні геометричні фігури в мистецтві тубільців. У 1525 році німецький митець Альбрехт Дюрер опублікував свою працю “Керівництво Художника”, один із розділів якої має назву "Черепичні шаблони, утворені пентагонами". Пентагон Дюрера багато в чому є схожим на килим Серпінського, але замість квадратів використовуються п'ятикутники. Джексон Поллок (американський експресіоніст 50-тих років) малював об'єкти, дуже схожі на фрактали.
Ідею "рекурсивної самоподібності" було висунуто філософом Лейбніцом, який також розробив багато з деталей цієї ідеї. У 1872 Карл Веєрштрасс знайшов приклад функції з неінтуітивною особливістю, скрізь неперервної, але ніде недиференційованої — графік цієї функції тепер називався б фракталом. У 1904 Хельга Фон Кох, незадоволений занадто абстрактним та аналітичним означенням Веєрштрасса, розробив більш геометричне означення схожої функції, яка тепер має назву сніжинки Коха. Ідею самоподібних кривих, котрі складаються із частин, схожих на ціле, було далі розвинено Полем П'єром Леві, який у своїй роботі "Криві та поверхні на площині та у просторі", виданій 1938 року, описав нову фрактальну криву, відому тепер як Крива Леві (мал.2 а, б, в).

а) б) в)
Мал.2
Ґеорг Кантор навів приклади підмножин дійсних чисел із незвичними властивостями — ці множини Кантора тепер також визнаються як фрактали.
Ітераційні функції на комплексній площині досліджувались в кінці XIX та на початку XX століття Анрі Пуанкаре, Феліксом Кляйном, П'єром Фату та Ґастоном Жюліа. Проте за браком сучасної комп'ютерної графіки у них забракло засобів відобразити красу багатьох із відкритих ними об'єктів.
У 1975 році Мандельброт використав слово фрактал як назву для об'єктів, розмірність Хаусдорфа яких є більшою за топологічну розмірність, наприклад Крива Хильберта (мал.3 а,б,в,г).


Мал.3
1.2 Види фракталів та методи їх створення
Існують три поширені методи створення (генерування) фракталів:
Перший метод — ітераційні функції, які будуються відповідно до фіксованого правила геометричних заміщень, в результаті яких утворюються геометричні фрактали, наприклад: сніжинка Коха (мал.4).

Мал.4
А також множина Кантора, килим Серпінського, трикутник Серпінського, крива Пєано, крива Коха, крива дракона, Т-Квадрат та губка Менгера є прикладами геометричних фракталів.
Другий метод — рекурентні відношення, це фрактали, що визначаються рекурентним відношенням у кожній точці простору (такому як площина комплексних чисел). Отримані таким методом фрактали називають алгебраїчними.
Прикладами алгебраїчних фракталів є множина Мандельброта (мал.5), палаючий корабель та фрактал Ляпунова.

Мал.5

Третій метод — випадкові процеси, це фрактали, що генеруються з використанням стохастичних, а не детермінованих процесів, наприклад: фрактальні ландшафти (мал.6 а,б,в,г,д), траєкторія Леві та броунівське дерево.

Мал.6.
1.3 Типи самоподібності у фракталах
Розрізняють три типи самоподібності у фракталах:
Точна самоподібність — це найсильніший тип самоподібності; фрактал виглядає однаково при різних збільшеннях. У фракталів, згенерованих з використанням ітераційних функцій, часто виявляється точна самоподібність.
Майже самоподібність — слабка форма самоподібності; фрактал виглядає приблизно (але не точно) самоподібним при різних збільшеннях. Майже самоподібні фрактали містять малі копії цілого фракталу у перекручених та вироджених формах. Фрактали, згенеровані з використанням рекурентних відношень, зазвичай є майже (але не точно) самоподібними.
Статистична самоподібність — це найслабкіша форма самоподібності; фрактал має чисельні або статистичні міри, що зберігаються при збільшенні. Найприйнятніші означення "фракталів" просто містять в собі деякий вид статистичної самоподібності (розмірність фракталу, саме по собі, є чисельною мірою, що зберігається при збільшенні). Ймовірнісні фрактали є прикладами фракталів, які є статистично, але не майже й не точно самоподібними.
1.4 Розмірність фракталів
У евклідової геометрії є поняття розмірності: розмірність крапки — нуль, відрізка та кола — одиниця, круга і сфери — два, кулі — три. З одновимірними об'єктами ми пов'язуємо поняття довжини, з двовимірними - площі і так далі. Але як можна уявити собі множину з розмірністю 3/2? Мабуть, для цього потрібно щось проміжне між довжиною і площею, і якщо довжину умовно назвати 1-мірою, а площа - 2-мірою, то потрібна (3/2) -міра.
У 1919 році Ф. Хаусдорф дійсно визначив таку а-міру і на цій основі кожній множині в евклідовому просторі підставив число, назване їм метричною розмірністю. Він же навів перші приклади множин з дробовою розмірністю. Виявилось, що дробову розмірність мають канторова множина, крива Коха і інші екзотичні об'єкти, до недавнього часу маловідомі за межами математики.
Оскільки фрактал складається з нескінченного числа елементів, що повторюються, неможливо точно виміряти його довжину. Це означає, що чим точнішим інструментом ми будемо його вимірювати, тим більшою виявиться його довжина. Тоді як гладка евклідова лінія заповнює в точності одновимірний простір, фрактальна лінія виходить за межі одновимірного простору, вторгаючись у двовимірне. Таким чином, фрактальна розмірність кривої Коха знаходитиметься між 1 і 2. Найдивовижнішим виявляється те, що й багато природних об'єктів володіють ніби дробовою розмірністю, хоча, відверто кажучи, для природних об'єктів таку розмірність обчислити неможливо. Правильніше сказати, що в певних діапазонах спостереження природні об'єкти, що виникли в результаті довгої дифузії й абсорбції, схожі на фрактальні множини. Наприклад, розмірність побережжя лежить між 1,01 і 1,6, а кровоносної системи людини — між 3,4 і 3,6
ІІ Основна частина
2.1 Класифікація алгоритмів створення фракталів
Бенуа Мандельброт в своїх книгах навів яскраві приклади вживання фракталів до пояснення деяких природних явищ. Мандельброт приділив велику увагу цікавій властивості, якою володіють багато фракталів. Річ у тому, що часто фрактал можна розбити на скільки завгодно малі частини так, що кожна частина виявиться просто зменшеною копією цілого. Інакше кажучи, якщо ми дивитимемося на фрактал в мікроскоп, то із здивуванням побачимо ту ж саму картину, що і без мікроскопа. Це властивість самоподібності різко відрізняє фрактали від об'єктів класичної геометрії.
Необхідно відзначити, що властивість самоподiбностi характерна лише для регулярних фракталів.Багато регулярних фракталів будуються шляхом нескiнченного повторення декількох простих операцій - заміною одного елементу деякою комбінацією інших, йому подібних. Потім ця ж операція повторюється з кожним з цих елементів, і так далі до нескінченності. На методі простої заміни заснований перший алгоритм побудови фракталів.
Виникає питання, чи не можна цю "процедуру заміни" перекласти мовою математичних формул. Таким чином, в середині 80-х років з'явився метод Систем Ітеріруємих Функцій - СІФ (Iterated Function System - IFS) як простий засіб здобуття фрактальних структур. Таким чином, деякі з вищеперелічених фракталів можна отримати за допомогою методу СІФ. Метод Систем Ітеріруємих функцій є основою для другого алгоритму побудови фрактальних структур. Замість детермінованого способу побудови регулярних фракталів в алгоритм створення фрактальних структур був включений деякий елемент випадковості, що приводить до побудови випадкових фракталів. Багато фракталів можуть бути отримані за допомогою цих двох алгоритмів. Тоді в першому випадку вони побудовані як регулярні фрактали, а в другому як випадкові.
Одним з найбільш яскравих прикладів серед різних систем ітеріруємих функцій є відкрита система М. Бранслі з чотирьох стискуючих афінних перетворень, аттрактором для якої є множина точок, яка дуже нагадує по формі зображення листа папороті.

Мал.7
Третім алгоритмом створення фрактальних об'єктів на площині є використання комплексних відображень, що зіставляють одному комплексному числу інше комплексне число за деяким ітераційним правилом. Прикладом фрактала отриманого за допомогою комплексних відображень є множина Жюліа (мал.7).
2.2 Системи Ітеріруємих Функцій
У евклідовом просторі
відстань
(x;y)
між точками x=(
;
)
і y=(
;
)
визначається за допомогою наступної
формули

Відстань в просторі
можна також вимірювати функцією
(x;y)=|
-
|+|
-
|.
Дві приведені функції, будучи вимірами відстані, по-різному визначають відстані між двома точками. Існують чотири основні властивості функції відстані:
відстані від точки x до точки y і від точки y до точки x рівні: d(x;y)=d(у;x);
відстань від точки x до цієї ж точки x дорівнює нулю: d(x;x)=0;
відстань по прямій - це найкоротша відстань між двома точками: d(x;y) <=d(x;z)+d(z;y);
для двох точок x і у функція
відстані має бути дійсною, скінченою
і додатною :
.
Функція відстані, що задовольняє даним властивостям, називається метрика.
Метричний простір (X,d) - множина точок X разом з метрикою d, визначеною на X.
Перетворення - зіставлення, згідно заздалегідь визначеному правилу, точці в одному просторі точки в іншому (можливо і в тому ж самому просторі).
В
ідображення,
це перетворення, яке переводить простір
X>1 >в простір
X>2> і позначається
f>n>: X>1
>X>2>.
С
тиснююче
відображення - перетворення
в метричному просторі X>1
>X>2 >за
умови існування коефіцієнта стиснення
перетворення f: 0
s<1
такого, що d(f(x>1>),f(x>2>))
sd(x>1>,x>2>)
для всіх

С
истема
ітеріруємих функцій
(Iterated Function System) складається з повного
метричного простору (X,d) і скінченної
множини стиснюючих відображень f>n>:
X>1 >X>2>
з коефіцієнтами стиснення Sn.
2.3 Стиснюючі афінні перетворення

Мал. 8.
Перш ніж розкривати зміст поняття
- стиснюючі афінні перетворення,
розглянемо лінійне перетворення
на комплексній площині
Z, яке переводить рівносторонній трикутник
з довжиною сторони рівній одиниці в
рівносторонній трикутник в два рази
меншого розміру представлений на мал.
8.
Розглянуте вище лінійне перетворення на комплексній площині є окремим випадком афінного перетворення площини
x>n+1>=ax>n>+by>n>+e
y>n+1>=cx>n>+dy>n>+f
Його можна подати в матричному вигляді

Так, наприклад, розглянуте перетворення можна записати у вигляді

У загальному випадку афінне перетворення на площині задається шістьма незалежними дійсними числами. Два числа e і f описують звичайну трансляцію, а чотири числа а, b, с, d задають довільне лінійне перетворення при незмінному положенні початку координат (0;0).
2.4 Метод простої заміни
2.4.1 Серветка Серпінського
Фрактал серветка Серпінського може бути побудований як за допомогою методу простої заміни, який застосовують для побудови регулярних фракталів, так і за допомогою методу IFS.
Розглянемо алгоритм побудови, заснований на методі простої заміни. Правильний трикутник ділений середніми лініями на чотири рівні трикутники і внутрішність центрального викидаємо. З трьома трикутниками, що залишилися, робимо те ж саме і так нескінченне число разів. Після певного числа викидань залишається множина S, представлена на мал. 9, яка є серветкою Серпінського.

Мал.9.
Фрактальна розмірність серветки Серпінського підраховується по формулі D=ln3/ln2=1,5849. Серветка має нульову площу, оскільки неважко перевірити, що в процесі її побудови була виключена площа, в точності рівна площі вихідного трикутника. Про це ж свідчить і значення фрактальної розмірності D<2, яка менше розмірності площини, на якій знаходиться цей об'єкт.
Всім відомий трикутник Паскаля
(мал.10) за допомогою якого обчислюють
коефіцієнти розкладу виразу виду
.
Починаючи з трикутника, що складається
з одиниць, обчислюють значення на кожному
наступному рівні шляхом додавання
сусідніх чисел; останньою ставлять
одиницю.

Мал.10
Таким чином можна наприклад визначити, що:
.

Мал.11
Цей трикутник можна перетворити на привабливий фрактальний візерунок (мал.11), якщо замінити непарні коефіцієнти одиницями, а парні — нулями.
Візерунок демонструє властивості коефіцієнтів, що використовується при «арифметизації» комп’ютерних програм, що перетворює їх в алгебраїчні рівняння.
2.4.2 Дракон Хартера-Хейтуея
Для більшості регулярних фракталів фрактальна розмірність D менша, ніж розмірність d того простору, в якому знаходиться даний фрактальний об'єкт. Нерівність D < d відображає факт некомпактності фрактала, причому чим більше розрізняються величини D і d, тим більше рихлим є фрактал. Існують фрактали, які щільно заповнюють простір, в якому вони знаходяться, так що їх фрактальна розмірність D = d. Одним з прикладів такого роду є криві Пеано (Peano curves). Дракон Хартера-Хейтуея (мал.12) є прикладом кривої Пеано, для якої область, яку вона заповнює на площині, має химерну форму.

Мал.12
Перші чотири кроки його побудови представлено на мал.12
Як випливає з мал.13 кожний з відрізків прямої на наступному кроці замінюється на два відрізки, створюючих бічні сторони рівнобедреного прямокутного трикутника, для якого вихідний відрізок був би гіпотенузою. В результаті відрізок як би прогинається під прямим кутом. Напрям прогину чергується. Перший відрізок прогинається вправо (по ходу руху зліва направо), другий - вліво, третій - знову управо і так далі На мал.13 пунктиром показана конфігурація попереднього кроку. Таким чином, після кожного кроку число наявних відрізків подвоюється, а довжина кожного відповідно зменшується вдвічі. Тому фрактальна розмірність кривої, що утворюється в результаті (після нескінченного числа кроків), рівна 2.
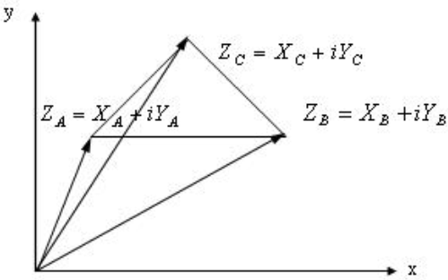
Для реалізації вказаного вище алгоритму побудови необхідно перейти до комплексних чисел Z>A>, Z>B> и Z>C> (Мал.14).

Мал.13
Для знаходження координат точки C представимо комплексні числа в тригонометричній формі. Знаходження координат точки C представлене формулами 1-8.
(1)
(2)
(3)
(4)
(5)
(6)


Гранична фрактальна крива (коли n прямує до нескінченності) називається драконом Хартера-Хейтуея. У машинній графіці використання геометричних фракталів необхідно для отримання зображень дерев, кущів, берегових ліній. Двовимірні геометричні фрактали використовуються для створення об’ємних текстур (малюнка на поверхні об’єкту).
2.5 Алгебраїчні фрактали
Це найкрупніша група фракталів. Отримують їх за допомогою нелінійних процесів в n-мірних просторах. Найбільш досліджені двомірні процеси. Інтерпретуючи нелінійний ітераційний процес, як дискретну динамічну систему, можна користуватися термінологією теорії цих систем: фазовий портрет, сталий процес, аттрактор та інші.
Відомо, що нелінійні динамічні системи володіють декількома стійкими станами. Той стан, в якому виявилася динамічна система після деякої кількості ітерацій, залежить від її початкового стану. Тому кожен стійкий стан (або як говорять - аттрактор) володіє деякою областю початкових станів, з яких система обов'язково попаде в дані кінцеві стани. Таким чином фазовий простір системи розбивається на області тяжіння аттракторів. Якщо фазовим є двомірний простір, то забарвлюючи області тяжіння різними кольорами, можна отримати кольоровий фазовий портрет цієї системи (ітераційного процесу). Змінюючи алгоритм вибору кольору, можна отримати складні фрактальні картини з химерними багатокольоровими узорами. Несподіванкою для математиків стала можливість за допомогою примітивних алгоритмів породжувати дуже складні нетривіальні структури.

Мал.14.
Наприклад, фрактал Ньютона, який штрихується відповідно до кількості ітерацій (мал.14).
2.6 Графіки функцій комплексної змінної
Комплексні числа можна трактувати
як точки на площині. Тоді множину
Мандельброта можна побудувати у просторі
.
Взагалі, графік дійсної функції можна побудувати в двомірному просторі (2D), на площині xOy. Це багатьом знайомо й звично(мал.15 а,б):

Мал.15(а,б)
Г
рафік
комплексної функції можна було б
побудувати в чотиривимірному (4D) просторі
(дві координати потрібно для зображення
,
і дві – для
).
Н


а
жаль, переважна більшість людей стикаються
з серйозними проблемами при уяві
чотиривимірного простору... Тому, одне
з хитрощів, зазвичай вживане, полягає
в наступному: графік будується в
тривимірному (3D) просторі. Вісь Ox
відповідає за , вісь Oy
– за , вісь Oz
– за…….. Для зображення використовується
колір отриманої 3D-крапки. Колір береться
із заздалегідь сформованої кольорової
шкали (градієнта).
Ось декілька прикладів (мал.16
а,б) для
:

а)

б)
Мал.16 (а,б)
Для наочності під отриманою
«поверхнею» зображено множина значень
(
(«кругла тінь»).
2.7 Формули побудови фракталів
2.7.1 Різновид алгебраїчних фракталів — басейни Ньютона (мал.17).
p(z) = 0, p(z) =
− 1,
які будуються за формулою:


Узагальнена формула , де a — будь-яке комплексне число.

2.7.2 Множина Жюліа та Мандельброта
Позначимо через
площину комплексних чисел, а через
—
риманову сферу
.
Розглянемо процес
,
де
та
.
Взявши будь-яке число
,
піднесемо до квадрату та додамо константу
для того, щоб отримати
;
потім повторимо розрахунки для того,
щоб отримати
,
і так далі.
Почнемо з найпростішого із
можливих значень константи
,
тобто
.
Тоді при кожній ітерації підраховується
точний квадрат числа:
.
У залежності від значення розглядається
три випадки:
Якщо
,
тоді числа отримуються все менші та
менші, їх послідовність прямує до нуля.
Якщо
,
тоді числа отримуються все більші та
більші, прямуючи до нескінченності.
Якщо
,
тоді точки продовжують залишатися на
відстані 1 від нуля. Їх послідовності
лежать на границі двох областей
тритягання, у данному випадку на колі
(мал.18) з одиничним радіусом та центром
у нулі.

Мал.18
Ситуація така: площина ділиться на дві зони впливу, а границя між ними є просто коло.
Сюрприз починається, коли ми
візьмемо значення параметру
не дорівнює нулю, наприклад
.
У цьому випадку для послідновності
присутні також три вищеперелічених
випадків, але внутрішня точка, до якої
прямує послідовність, вже не є нулем, а
границя вже не є плоскою, вона надто
крива(мал.19). Саме це Б. Мандельброт
назвав фрактальной структурой
такої границі.

Мал.19
Однією з таких характерних особливостей такої границі є її самоподібність. Якщо взяти будь-яку частину границі, то можна побачити, що вона зустрічається в різних місцях границі та мають різні розміри. Границі такого виду в математиці називають множинами Жюліа.
Різноманітні значення параметру
можуть створювати різноманітні множини
Жюліа, причому найменші зміни цього
параметру нерідко призводять до суттєвих
метаморфоз.

Деякі множини Жюліа зв’язні, інші являють собою «пилевидні» канторові множини(мал.20 а,б,в,г).
Існує правило, що з’ясовує вид
множини Жюліа. Воно залежить від параметру
та пов’язано з зображенням множини
Мандельброта. Множина всіх точок
,
для яких ітерації
залишаються обмеженими при
,
називається множиною Мандельброта
(мал.21).

Мал.21
Цікаво, що всі значення
,
при яких множини Жюлиа зв’язні, належать
множині Мандельброта, тому останнє може
бути визначеним і як множина всіх значень
параметру
,
при яких множина Жюліа зв’язна.
С
укупність
елементів
поля коплексних чисел, для яких
послідовність:
,
що визначена ітераційно за правилом
,
де …… задовольняє умову . Наприклад
множина Мандельброта (мал.22 а,б,в,г,д,е).

а)
б)
в)


г)
д)
е)

Мал.22
Висновок
Фрактал є однією з багатьох складових частин певної субстанції, тому зникнення однієї з таких складових призводить до втрати візуальної гармонії, що людське око розпізнає одразу. Присутність фрактала з першого погляду можна і не помітити, якщо не заглиблюватись у досконале вивчення математики. Ця наука, дійсно, не має меж і постійно спонукає до різноманітних досліджень.
Фрактал — це математична величина, що зустрічається досить часто. Але якщо добре не придивитися, його можна і не побачити. Абсолютно точна, алгебраїчна величина, яка творить собою неймовірні фігури, візерунки та складає цікаві орнаменти, що ми зустрічаємо кожного дня. Це і листя папороті, і маленькі сніжинки та ще багато іншого.
Галілео Галілей у 1623 році писав: “Вся наука записана у цій великій книзі, — я маю на увазі Всесвіт, — що завжди відкрита для нас, але яку неможливо зрозуміти, не навчившись розуміти мову, на якій вона написана, а написана вона на мові математики, і її лутерами є трикутники, кола і інші геометричні фігури, без яких людині не можливо розібрати жодного її слова; без них вона подібна блукаючому в пітьмі…”
Поняття фрактала змінило багато традиційних уявлень про геометрію, а в історії розвитку математики введення цього поняття стало переломним моментом. З кожним роком поняття фрактала стає відоме все більш широкому колу людей. І зараз цей термін важко залишити без належної уваги. У природі є багато чого, що має прямий зв’язок до цього терміну.
Займаючись цією темою напротязі двох років, я більш широко дізнався про об’єкт дослідження: його властивості, способи створення та використання. З алгебраїчних фракталів я звернув увагу на три основні їх види: множину Мандельброта, множину Жюліа, дракон Хартера-Хейтуея, які відрізняються один від одного за побудовою та своїми загальними формулами створення, на мою думку, найбільше досліджені в наш час. За допомогою їх з’являється більшість новостворених фракталів.
Знайшовши збірник зображень фракталів, що були створені небагато років тому, і серед яких провели конкурс на найкращий малюнок, мене дуже вразило розмаїття кольорів та фантазія людей. Мені стало відомо, яким чином вони створюються в наш час, що цією темою зацікавлені люди, яким до вподоби неординарне художнє мистецтво, що не рідко втілюється у комп’ютерній графіці.
Сподіваюсь, що і після закінчення гімназії, у мене залишиться велике бажання продовжити досліджувати загальні формули побудови фракталів і за допомогою цих формул створювати нові фрактали та захоплюватися їхньою незрівнянною красою.
Використана література
Мандельброт Б. Фрактальная геометрия природы. — М.: «Институт компьютерных исследований», 2002.
Пайтген Х.-О., Рихтер П. Х. Красота фракталов. — М.: «Мир», 1993.
Федер Е. Фракталы. — М: «Мир», 1991.
Фоменко А. Т. Наглядная геометрия и топология. — М.: изд-во МГУ, 1993.
Фракталы в физике. Труды 6-го международного симпозиума по фракталам в физике, 1985. — М.: «Мир», 1988.
Шредер М. Фракталы, хаос, степенные законы. Миниатюры из бесконечного рая. — Ижевск: «РХД», 2001.
Мандельброт Бенуа, Ричард Л. Хадсон (Не)послушные рынки: фрактальная революция в финансах = The Misbehavior of Markets. — М.: «Вильямс», 2006. — С. 400. ISBN 5-8459-0922-8
http://en.wikipedia.org/wiki/Fractal
http://en.wikipedia.org/wiki/Mandelbrot_set
10. http://en.wikipedia.org/wiki/Julia_set
11. http://en.wikipedia.org/wiki/Newton_fractal
12. http://en.wikipedia.org/wiki/Fractal_art
13. http://commons.wikimedia.org/wiki/Fractal
14.http://en.wikipedia.org/wiki/Fractal_landscape 15.http://ru.wikipedia.org/wiki/%D0%A4%D1%80%D0%B0%D0%BA%D1%82%D0%B0%D0%BB
16. http://www.fractalus.com/