Циклоида
Федеральное агентство по образованию
ГОУ ВПО «Красноярский государственный педагогический университет им. В.П. Астафьева
Факультет математики и информатики
Кафедра математического анализа и методики его преподавания
Курсовая работа
по математическому анализу на тему
«Циклоида»
Выполнила студентка 43 группы
Ковальчук М.В.
Научный руководитель
доцент кафедры мат. анализа и мп
Шатохина М.П
Красноярск 2010
Оглавление
Введение
Исторические сведения
Основные свойства циклоиды
Построение циклоиды
Геометрическое определение циклоиды
Параметрическое уравнение циклоиды и уравнение в декартовых координата
Задачи на нахождение частей циклоиды и фигур, образованных циклоидой
Заключение
Литература
Введение
Кривая циклоида очень интересна для изучения, однако не так просто найти литературу ей посвященную. В большинстве таких источников циклоида упоминается только вскользь или рассматривается не достаточно полно. Однако она используется при решении различных задач. В виду того, что в школах вводится углубленное изучение математических дисциплин, в скором времени может понадобиться подробная информация о различных кривых, в том числе и о циклоиде. Так же задачи связанные с циклоидой встречаются и в физике и в высшей математике. Поэтому я посчитала данную тему актуальной и интересной для изучения.
Цель работы: описать основные свойства циклоиды, привести решение геометрических задач, связанных с циклоидой.
1. Исторические сведения
Первым кто стал изучать циклоиду, был Галилео Галилей (1564-1642)_ знаменитый итальянский, астроном, физик и просветитель. Он же и придумал название «циклоида» , что значит : «напоминающая о круге». Сам Галилей о циклоиде ничего не писал, но о его работах в этом направлении упоминают ученики и последователи Галилея: Вивиани, Торичелли и другие.
Великий античный философ — «отец логики» — Аристотель из Стагиры (384—322 годы до н. э.), занимаясь логическим обоснованием понятия движения, рассматривал, между прочим, следующий парадокс.

рис. 1
Пусть кружок, изображенный на рис. 1 жирной линией, катится по прямой АВ. Когда кружок этот сделает полный оборот, точка М вернется на прямую АВ и займет положение М>х>. При этом, как мы знаем, отрезок ММ>Х> будет равен длине «жирной» окружности. Рассмотрим начерченный кружок с центром О, изображенный тонкой линией. Когда точка М придет в положение М>1> этот маленький кружок тоже сделает полный оборот и его точка К придет в положение К>1>. При этом в каждый момент времени какая-то одна единственная точка маленькой окружности совмещается с единственной же точкой отрезка КК>1>. Каждой точке окружности соответствует единственная точка отрезка и каждой точке отрезка — единственная точка окружности. Поэтому напрашивается вывод: длина маленькой «тонкой» окружности равна длине отрезка КК>1> — ММ>1 >т. е. равна длине большой («жирной») окружности. Итак, круги различных радиусов имеют окружности одинаковой длины! В этом и состоит парадокс Аристотеля.
Ошибка здесь в следующем. Из того, что каждой точке окружности радиуса ОК соответствует единственная точка отрезка КК>1> вовсе не следует, что длина этой окружности равна КК>1>. Так, например, на рис. 2 точки отрезка АВ приведены при помощи лучей, проходящих через точку D, во «взаимно однозначное» соответствие с точками вдвое большего отрезка СЕ, но никому в голову не придет утверждать, что отрезки АВ и СЕ имеют одинаковую длину! Это же относится не только к отрезкам прямых, но и кривых линий. Парадоксу Аристотеля можно придать следующую, более грубую, а потому и более ясную форму: рассмотрим две концентрические окружности (рис. 3). На них «поровну» точек: соответствующие точки соединены на рис. 3 прямыми линиями (радиусами). И все же никто не станет утверждать, что длины этих окружностей одинаковы.

рис 2 рис. 3
Аристотель рассматривал именно то движение, которое через 1900 лет привело Галилея к открытию циклоиды; но он не заинтересовался кривыми, которые вычерчиваются точками окружности катящегося круга.
В
самом начале XVII века юный Галилей пытался
экспериментально проверить свою догадку
о том, что свободное падение —
равноускоренное движение. Когда он
перенес наблюдения с Пизанской башни
в лаборатории, ему стало очень мешать
то, что тела падают «слишком быстро».
Чтобы замедлить это движение, Галилей
решил заменить свободное падение тел
их движением по наклонной плоскости,
предположив, что и оно будет равноускоренным.
Проводя эти опыты, Галилей обратил
внимание на то, что в конечной точке
величина скорости тела, скатившегося
по наклонной плоскости, не зависит от
угла наклона плоскости, а определяется
только высотой
H
и совпадает с конечной скоростью тела,
свободно упавшего с той же высоты (как
вы хорошо знаете, в обоих случаях
|v̄|=
Изучив
движения по наклонным плоскостям,
Галилей перешел к рассмотрению движения
материальной точки под действием силы
тяжести по ломаным линиям. Сравнивая
времена движения по различным ломаным,
соединяющим фиксированную пару точек
А и
В, Галилей
заметил, что если через эти две точки
А, В
провести четверть окружности и вписать
в нее две ломаные М и
L,
такие, что ломаная
L
«вписана» в ломаную М, то материальная
точка из А
в В
быстрее попадает по ломаной М, чем по
ломаной L.
Увеличивая у ломаной число звеньев и
переходя к пределу, Галилей получил,
что по четверти окружности, соединяющей
две заданные точки, материальная точка
спустится быстрее, чем по любой вписанной
в эту четверть окружности ломаной. Из
этого Галилей сделал ничем не
аргументированный вывод, что четверть
окружности, соединяющая пару заданных
точек А, В (не лежащих на одной вертикали),
и будет для материальной точки, движущейся
под действием силы тяжести,
линией наискорейшего спуска
(позже линию наискорейшего спуска стали
называть
брахистохроной).
Впоследствии выяснилось, что это
утверждение Галилея было не только
необоснованным, но и ошибочным.
Свойства касательной и нормали к циклоиде были впервые изложены Торичелли (1608—1647) в его книге «Геометрические работы» (1644 год). Торичелли использовал при этом сложение движений. Несколько позже, но полнее, разобрал эти вопросы Роберваль (псевдоним французского математика Жилля Персонна, 1602—1672). В 1634 году Роберваль –вычислил площадь, ограниченную аркой циклоиды и ее основанием. Свойства касательной к циклоиде изучал также Декарт; он изложил свои результаты, не прибегая к помощи механики.
2. Основные свойства циклоиды
Определение циклоиды, введенное ранее, никогда не удовлетворяло ученых: ведь оно опирается на механические понятия — скорости, сложения движений и т. д. Поэтому геометры всегда стремились дать циклоиде чисто геометрическое определение» Но для того, чтобы дать такое определение, нужно прежде всего изучить основные свойства циклоиды, пользуясь ее механическим определением. Выбрав наиболее простое и характерное из этих свойств, можно положить его в основу геометрического определения.
Начнем с изучения касательной и нормали к циклоиде. Что такое касательная к кривой линии, каждый представляет себе достаточно ясно; точно определение касательной дается в курсах высшей математики, и мы его приводить здесь не будем. Нормалью называется перпендикуляр к касательной, восставленный в точке касания. На рис. 16 изображена касательная и нормаль к кривой АВ в ее точке М

Рассмотрим циклоиду (рис. 17),круг катящийся по прямой АВ. Допустим, что вертикальный радиус круга, проходивший в начальный момент через нижнюю точку циклоиды, успел повернуться на угол φ и занял положение ОМ. Иными словами, мы считаем, что отрезок М>о>Т составляет такую долю отрезка М>о>М>1>, какую угол φ составляет от 360° (от полного оборота).

Касательная к циклоиде
При этом точка М>0> пришла в точку М. Точка М и есть интересующая нас точка циклоиды.
Стрелочка OH изображает скорость движения центра катящегося круга. Такой же горизонтальной скоростью обладают все точки круга, в том числе и точка М. Но, кроме того, точка М принимает участие во вращении круга. Скорость МС, которую точка М на окружности получает при этом вращении, направлена по касательной МС>1> к окружности, т. е. перпендикулярно к радиусу ОМ. А т.к. в этом случае скорость МС по величине равна скорости MP (т. е. скорости ОН). Поэтому параллелограмм скоростей в случае нашего движения будет ромбом (ромб МСКР на рис. 17). Диагональ МК этого ромба как раз и даст нам касательную к циклоиде.
Все сказанное дает возможность решить следующую «задачу на построение»: дана направляющая прямая АВ циклоиды, радиус г производящего круга и точка М, принадлежащая циклоиде (рис. 17). Требуется построить касательную МК к циклоиде.
Имея точку М, мы без труда строим производящий круг, в том его положении, когда точка на окружности попадает в М. Для этого предварительно найдем центр О при помощи радиуса МО =r (точка О должка лежать на прямой, параллельной АВ на расстоянии г от нее). Затем строим отрезок MP произвольной длины, параллельный направляющей прямой. Далее строим прямую МС>1>, перпендикулярную к ОМ На этой прямой откладываем от точки М отрезок МС, равный MP. На МС и MP, как на сторонах, строим ромб. Диагональ этого ромба и будет касательной к циклоиде в точке М.
Это построение — чисто геометрическое, хотя получили мы его, используя понятия механики. Теперь мы можем проститься с механикой и дальнейшие следствия получать без ее помощи. Начнем с простой теоремы.
Теорема 1. Угол между касательной к циклоиде (в произвольной точке) и направляющей прямой равен дополнению до 90° половины угла поворота радиуса производящего круга.
Иными
словами, на нашем рис. 17 угол
KLT
равен
или
∟КМР
=
.
Это
равенство мы теперь докажем. Для
сокращения речи условимся угол
поворота радиуса производящего круга
называть «основным углом». Значит, угол
МОТ на рис. 17 — основной угол. Будем
считать основной угол острым. Читатель
сам видоизменит рассуждения для случая
тупого угла, т. е. для случая, когда
катящийся круг сделает больше четверти
полного оборота.
Рассмотрим угол СМР. Сторона СМ перпендикулярна к ОМ (касательная к окружности перпендикулярна к радиусу). Сторона MP (горизонталь) перпендикулярна к ОТ (к вертикали). Но угол МОГ, по условию, острый (мы условились рассматривать первую четверть оборота), а угол СМР — тупой (почему?). Значит, углы МОТ и СМР составляют в сумме 180° (углы со взаимно перпендикулярными сторонами, из которых один острый, а другой — тупой).
Итак, угол CMP равен 180° — φ Но, как известно, диагональ ромба делит угол при вершине пополам.
Следовательно,
угол
КМР=90°
—
что и требовалось доказать.
Обратим теперь внимание на нормаль к циклоиде. Мы говорили уже, что нормалью к кривой называется перпендикуляр к касательной, проведенный в точке касания (рис. 16). Изобразим левую часть рис. 17 крупнее, причем проведем нормаль ME (ME ┴ МК; см. рис. 18).
Из рис. 18 следует, что угол ЕМР равен разности углов КМЕ и КМР, т. е. равен 90° — ∟KMP.

К теореме 2
Но
мы только что доказали, что сам угол
КМР
равен 90° -

Таким образом, получаем:
∟РМЕ
= 90° - ∟
КМР
= 90° - (90° -
) =

Мы доказали простую, но полезную теорему. Дадим ее формулировку:
Теорема 2. Угол между нормалью к циклоиде (в любой ее точке) и направляющей прямой равен половине «основного угла».
(Вспомним, что «основным углом» называется угол поворота радиуса катящегося круга )
Соединим
теперь точку М («текущую» точку циклоиды)
с «нижней» точкой (Т) производящего
круга (с точкой касания производящего
круга и направляющей прямой — см. рис.
18). Треугольник МОТ, очевидно, равнобедренный
(ОМ и
ОТ
— радиусы производящего круга). Сумма
углов при основании этого треугольника
равна 180° —
,
а каждый из углов при основании —
половике этой суммы. Итак,
∟OMT
=
90°—
.
Обратим
внимание на угол
РМТ.
Он равен разности углов
ОМТ
и
ОМР.
Мы видели сейчас, что ∟OMT
равен 90°-
; что касается угла ОМР, то нетрудно
выяснить, чему он равен. Ведь угол
ОМР равен
углу
DOM
(внутренние накрест лежащие углы при
параллельных).

3. Основные свойства касательной и нормали к циклоиде
Непосредственно очевидно, что ∟DOM равен 90° — φ.
Значит, ∟OMP = 90° — φ. Таким образом, получаем:
∟РМТ
= ∟ОМТ
- ∟
ОМР =
90° —
— (90° — φ) =
.
Получается замечательный результат: угол РМТ оказывается равным углу РМЕ (см. теорему 2). Следовательно, прямые ME и МТ сольются! Наш рис. 18 сделан не совсем правильно! Правильное расположение линий дано на рис. 19.
Сформулируем полученный результат виде теоремы 3.
Теорема 3 (первое основное свойство циклоиды). Нормаль к циклоиде проходит через «нижнюю» точку производящего круга.
Из этой теоремы получается простое следствие. Угол между касательной и нормалью, по определению, — прямой. Это угол, вписанный в окружность производящего круга. Поэтому он должен опираться на диаметр круга. Итак, ТТ>1>— диаметр, и T>1> — «верхняя» точка производящего круга. Сформулируем полученный результат.
Следствие (второе основное свойство циклоиды). Касательная к циклоиде проходит через «верхнюю» точку производящего круга.
Что бы объяснить это свойство нам необходимо построить циклоиду.
Построение циклоиды.

Построение циклоиды производится в следующей последовательности:
На направляющей горизонтальной прямой откладывают отрезок АА>12>, равный длине производящей окружности радиуса r, (2πr);
Строят производящую окружность радиуса r, так чтобы направляющая прямая была касательной к неё в точке А;
Окружность и отрезок АА>12> делят на несколько равных частей, например на 12;
Из точек делений 11, 21, ...121 восстанавливают перпендикуляры до пересечения с продолжением горизонтальной оси окружности в точках 0>1>, 0>2>, ...0>12>;
Из точек деления окружности 1, 2, ...12 проводят горизонтальные прямые, на которых делают засечки дугами окружности радиуса r;
Полученные точки А>1>, А>2>, ...А>12> принадлежат циклоиде.
На рис. 20 основание циклоиды разделено на 6 равных частей;

чем число делений будет больше, тем, как мы знаем, чертеж получится точнее. В каждой точке циклоиды, построенной нами, проведем касательную, соединяя точку кривой с «верхней» точкой производящего круга. На нашем чертеже получилось семь касательных (из них две — вертикальные). Проводя теперь циклоиду от руки, будем заботиться, чтобы она действительно касалась каждой из этих касательных: это значительно увеличит точность чертежа. При этом сама циклоида будет огибать все эти касательные 1).
Проведем на том же рис. 20 нормали во всех найденных точках циклоиды. Всего будет, не считая направляющей, пять нормалей. Можно построить от руки сгибающую этих нормалей. Если бы мы вместо шести взяли 12 или 16 точек деления, то нормалей на чертеже было бы больше, и огибающая наметилась бы ясней. Такая огибающая всех нормалей играет важную роль при изучении свойств любой кривой линии. В случае циклоиды обнаруживается любопытный факт: огибающей нормалей циклоиды служит точно такая же циклоида, только сдвинутая на 2а вниз и на πа вправо. Этот факт характерен именно для циклоиды.
4. Геометрическое определение циклоиды
Теперь мы дадим определение циклоиды как геометрического места точек, не пользуясь механикой. Проще всего поступить так. Рассмотрим произвольную прямую АВ (будем условно считать ее направление горизонтальным) и на ней точку М>0>. Далее рассмотрим всевозможные круги определенного радиуса, касающиеся этой прямой и расположенные по одну сторону от нее. На каждом круге от точки Т касания его с прямой АВ отложим (в направлении к точке М>0>) дугу ТМ, по длине равную отрезку М>0>Т. Геометрическое место точек М (взятых на всех упомянутых нами кругах) и будет циклоидой.
Установим еще одно важное свойство циклоиды и попробуем именно его положить в основу изучения этой кривой.
Рассмотрим треугольник МТТ>1> (рис. 21), образованный вертикальным диаметром производящего круга, касательной к циклоиде и нормалью к ней.
Связь между «высотой» и наклоном касательной
Угол
МТ>1>Т,
как вписанный в окружность, равен
половине центрального угла, опирающегося
на ту же дугу, т. е. равен
.
Проведем
МК||АВ
и
ME
┴
АВ.
Отрезок МЕ будет играть в дальнейшем
значительную роль, поэтому дадим ему
имя и обозначение: будем называть его
«высотою» точки М циклоиды и обозначать
буквою
h.
Итак, высота точки
М
циклоиды — это расстояние ее от
направляющей прямой.
Обратим внимание на угол КМТ. Он равен углу МТ>1>Т. Из треугольника ТМТ>1 >получаем:
МТ
= 2а
sin

а из треугольника ТКМ:
КТ
= МТ sin-
.
Сопоставляя эти результаты и замечая, что КТ = h, получим окончательно:
h
= 2a
sin2

Мы выразили высоту точки М через угол между касательной в точке М и вертикалью (горизонталью мы по-прежнему считаем направление прямой АВ). Теперь выразим синус этого угла через «высоту». Получим, очевидно:

где
через
k
обозначена постоянная для данной
циклоиды величина
Полученный
результат изложим в теореме.
Теорема 4. Синус угла между касательной к циклоиде в точке М и вертикалью пропорционален корню квадратному из «высоты» точки М.
Этим свойством обладает, очевидно, любая циклоида. Возникает вопрос: в какой мере это свойство характеризует именно циклоиду: будет ли всякая кривая, обладающая этим свойством, непременно циклоидой? Можно доказать, что это будет именно так, — что верна и следующая (обратная) теорема:
Теорема 5. Если даны прямая АВ и точка М, то единственной кривой, удовлетворяющей условиям теоремы 4 и проходящей через точку М, будет циклоида.
При этом радиус производящего круга этой циклоиды связан с коэффициентом k, о котором говорится в теореме 4, следующим соотношением:

(Разумеется, расстояние точки М от АВ должно быть меньше, чем 2а.)
Строгое доказательство этой теоремы средствами элементарной математики очень громоздко, и мы его приводить здесь не будем.

Семейство циклоид
Если в условии теоремы 5 не оговорить, что искомая кривая проходит через наперед указанную точку М, то получится не одна, а бесконечное множество циклоид, которые получаются друг из друга параллельным сдвигом по направлению прямой АВ (одна из них проходит через точку М, другая — через М>1 >третья — через М>2> и т. д.). Это множество, или, как его называют, семейство циклоид изображено на рис. 22.
5. Параметрическое уравнение циклоиды и уравнение в декартовых координатах
Допустим, что у нас дана циклоида, образованная окружностью радиуса а с центром в точке А.
Если выбрать в качестве параметра, определяющего положение точки, угол t=∟NDM на который успел повернуться радиус, имевший в начале качения вертикально е положение АО, то координаты х и у точки М выразятся следующим образом:
х= OF = ON - NF = NM - MG = at-a sin t,
y= FM = NG = ND – GD = a – a cos t
Итак параметрические уравнения циклоиды имеют вид:
(0
≤ t ≤ 2π).
При изменении t от -∞ до +∞ получится кривая, состоящая из бесчисленного множества таких ветвей, какая изображена на данном рисунке.
Так же, помимо параметрического уравнения циклоиды, существует и ее уравнение в декартовых координатах:
,
где r
– радиус окружности, образующей циклоиду.
6. Задачи на нахождение частей циклоиды и фигур, образованных циклоидой
Задача №1. Найти площадь фигуры, ограниченной одной аркой циклоиды, уравнение которой задано параметрически

и осью Ох.

Решение. Для решения данной задачи, воспользуемся известными нам фактами из теории интегралов, а именно:
Площадь криволинейного сектора.
Рассмотрим некоторую функцию r = r(ϕ), определенную на [α, β].
Будем считать, что r и ϕ — полярные координаты точки. Тогда любому
ϕ>0> ∈ [α, β] соответствует r>0> = r(ϕ>0>) и, значит, точка M>0>(ϕ>0>, r>0>), где ϕ>0>,
r>0> — полярные координаты точки. Если ϕ будет меняться, «пробегая» весь[α, β], то переменная точка M опишет некоторую кривую AB, заданную
уравнением r = r(ϕ).
Определение 7.4. Криволинейным сектором называется фигура, ограниченная двумя лучами ϕ = α, ϕ = β и кривой AB, заданной в полярных
координатах уравнением r = r(ϕ), α ≤ ϕ ≤ β.
Справедлива следующая
Теорема. Если функция r(ϕ) > 0 и непрерывна на [α, β], то площадь
криволинейного сектора вычисляется по формуле:

Эта теорема была доказана ранее в теме определенного интеграла.
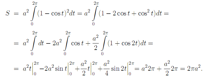
Исходя из приведенной выше теоремы, наша задача о нахождении площади фигуры, ограниченной одной аркой циклоиды, уравнение которой задано параметрические x= a (t – sin t) , y= a (1 – cos t) , и осью Ох, сводится к следующему решению.
Решение. Из уравнения кривой dx = a(1−cos t) dt. Первая арка циклоиды соответствует изменению параметра t от 0 до 2π. Следовательно,

Задача №2. Найти длину одной арки циклоиды

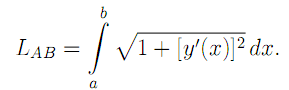
Так же в интегральном исчислении изучалась следующая теорема и следствие из нее.
Теорема. Если кривая AB задана уравнением y = f(x), где f(x) и f’(x) непрерывны на [a, b], то AB является спрямляемой и
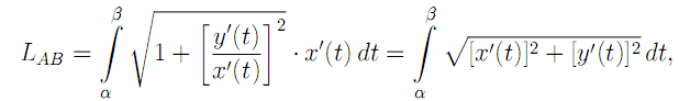
Следствие. Пусть AB задана параметрически
L>AB>
=
(1)

Пусть функции x(t), y(t) непрерывно-дифференцируемые на [α, β]. Тогда
формулу (1) можно записать так

Сделаем
замену переменных в этом интеграле x =
x(t), тогда y’(x)=
;
dx= x’(t)dt и, следовательно:

То есть:

А теперь вернемся к решении нашей задачи.
Решение.
Имеем
,
а поэтому
=
8a
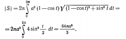
Задача №3. Надо найти площадь поверхности S, образованной от вращения одной арки циклоиды
L={(x,y): x=a(t – sin t), y=a(1 – cost), 0≤ t ≤ 2π}
В интегральном исчислении существует следующая формула для нахождения площади поверхности тела вращения вокруг оси х кривой, заданной на отрезке [a,b] параметрически: x=φ(t), y=ψ(t) (t>0> ≤t ≤t>1>)
|S|=
Применяя эту формулу для нашего уравнения циклоиды получаем:

Задача №4. Найти объем тела, полученного при вращении арки циклоиды

Вдоль оси Ох.
В интегральном исчислении при изучении объемов есть следующее замечание:
Если кривая, ограничивающая криволинейную трапецию задана параметрическими уравнениями и функции в этих уравнениях удовлетворяют условиям теоремы о замене переменной в определенном интеграле, то объем тела вращения трапеции вокруг оси Ох, будет вычисляться по формуле

Воспользуемся этой формулой для нахождения нужного нам объема.



Задача решена.
Заключение
Итак, в ходе выполнения данной работы были выяснены основные свойства циклоиды. Так же научились строить циклоиду, выяснила геометрический смысл циклоиды. Как оказалось циклоида имеет огромное практическое применение не только в математике, но и в технологических расчетах, в физике. Но у циклоиды есть и другие заслуги. Ею пользовались ученые XVII века при разработке приемов исследования кривых линий, — тех приемов, которые привели в конце концов к изобретению дифференциального и интегрального исчислений. Она же была одним из «пробных камней», на которых Ньютон, Лейбниц и их первые исследователи испытывали силу новых мощных математических методов. Наконец, задача о брахистохроне привела к изобретению вариационного исчисления, столь нужного физикам сегодняшнего дня. Таким образом, циклоида оказалась неразрывно связанной с одним из самых интересных периодов в истории математики.
Литература
Берман Г.Н. Циклоида. – М., 1980
Веров С.Г. Брахистохрона, или еще одна тайна циклоиды // Квант. – 1975. - №5
Веров С.Г. Тайны циклоиды// Квант. – 1975. - №8.
Гаврилова Р.М., Говорухина А.А., Карташева Л.В., Костецкая Г.С.,Радченко Т.Н. Приложения определенного интеграла. Методические указания и индивидуальные задания для студентов 1 курса физического факультета. — Ростов н/Д: УПЛ РГУ, 1994.
Гиндикин С.Г. Звездный век циклоиды // Квант. – 1985. - №6.
Фихтенгольц Г.М. Курс дифференциального и интегрального исчисления. Т.1. – М.,1969
1 Такая линия и называется «огибающей». Всякая кривая линия есть огибающая своих касательных.
