Многочлены Лежандра, Чебышева и Лапласа
СОДЕРЖАНИЕ
Введение
Многочлены Лежандра
Многочлены Чебышева
Преобразование Лапласа
Обращение преобразования Лапласа с помощью многочленов, ортогональных на конечном промежутке
4.1 Постановка задачи
4.2.Обращение преобразования Лапласа с помощью смещенных многочленов Лежандра
4.3. Обращение преобразования Лапласа с помощью смещенных многочленов Чебышева первого рода.
Заключение
преобразование смещенный многочлен исчисление
ВВЕДЕНИЕ
Математический анализ – раздел математики, дающий методы количественного исследования разных процессов изменения; занимается изучением скорости изменения (дифференциальное исчисление) и определением длин кривых, площадей и объемов фигур, ограниченных кривыми контурами и поверхностями (интегральное исчисление). Для задач математического анализа характерно, что их решение связано с понятием предела.
Начало математическому анализу положил в 1665 И.Ньютон и (около 1675) независимо от него Г.Лейбниц, хотя важную подготовительную работу провели И.Кеплер (1571–1630), Ф.Кавальери (1598–1647), П.Ферма (1601–1665), Дж.Валлис (1616–1703) и И.Барроу (1630–1677).
Операционное исчисление – раздел математики, занимающийся главным образом алгебраическими операциями, производимыми над символами операции (или преобразования).
Во многих задачах математического анализа рассматриваются ситуации, в которых каждая точка одного пространства ставится в соответствие некоторой точке другого (или того же) пространства. Пространства могут быть абстрактными, в которых «точки» в действительности являются функциями. Соответствие между двумя точками устанавливается с помощью преобразования или оператора. В задачу теории операторов входит подробное описание и классификация различных видов преобразований и их свойств, а также разработка символических методов, позволяющих минимизировать и упростить вычисления. Обычно теорию операторов применяют к пространствам, в которых допускается сложение или умножение точек, т.е. линейным пространствам, группам, кольцам, полям и т.д.
Операционное исчисление позволяет осуществить абстрактные постановки задач и обобщить такие разделы математического анализа, как теория дифференциальных и интегральных уравнений. Мощным стимулом для развития теории операторов стали современные проблемы квантовой теории. Наиболее полные результаты получены для дистрибутивных операторов в т.н. гильбертовом пространстве. Интерес к этой области во многом связан с представлением таких операторов интегральными преобразованиями.
В середине XIX века появился ряд сочинений, посвящённых так называемому символическому исчислению и применению его к решению некоторых типов линейных дифференциальных уравнений. Сущность символического исчисления состоит в том, что вводятся в рассмотрение и надлежащим образом интерпретируются функции оператора дифференцирования.
.
Среди сочинений по символическому исчислению следует отметить вышедшую в 1862 году в Киеве обстоятельную монографию русского математика М. Е. Ващенко-Захарченко «Символическое исчисление и приложение его к интегрированию линейных дифференциальных уравнений». В ней поставлены и разрешены основные задачи того метода, который в дальнейшем получил название операционного.
В 1892 году появились работы английского учёного О. Хевисайда, посвящённые применению метода символического исчисления к решению задач по теории распространения электрических колебаний в проводах.

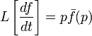
В отличие от своих предшественников, Хевисайд определил обратный оператор однозначно, полагая и считая f(u) = 0 для u < 0. Труды Хевисайда положили начало систематическому применению символического, или операционного, исчисления к решению физических и технических задач.

Однако широко развитое в трудах Хевисайда операционное исчисление не получило математического обоснования, и многие его результаты оставались недоказанными. Строгое обоснование было дано значительно позже, когда была установлена связь между функциональным преобразованием Лапласа и оператором дифференцирования

если существует
производная
,
для которой

существует и f(0) = 0, то
.
Одним из наиболее мощных средств решения дифференциальных уравнений, как обыкновенных, так, особенно, в частных производных, является метод интегральных преобразований. Преобразования Фурье, Лапласа, Ганкеля и другие применяются для решения задач теории упругости, теплопроводности, электродинамики и других разделов математической физики. Использование интегральных преобразований позволяет свести дифференциальное, интегральное или интегро-дифференциальное уравнение к алгебраическому, а также, в случае дифференциального уравнения в частных производных, уменьшить размерность.
Интегральные преобразования задаются формулой
,
(1)
где функции
называются оригиналом и изображением
соответственно, и являются элементами
некоторого функционального пространства
,
при этом функция
называется ядром интегрального
преобразования.
Большинство интегральных преобразований являются обратимыми, то есть по известному изображению можно восстановить оригинал, зачастую также интегральным преобразованием:
(2)
Хотя свойства интегральных преобразований достаточно обширны, у них довольно много общего.
преобразование смещенный многочлен исчисление
1. Многочлены Лежандра
Многочлены Лежандра —
многочлен, который в наименьшей степени
отклоняется от нуля в смысле среднего
квадратического. Образует ортогональную
систему многочленов, на отрезке
по
мере Лебега. Многочлены Лежандра могут
быть получены из многочленов
ортогонализацией
Грама ― Шмидта.
Названы по имени французского математика Адриен Мари Лежандра.
Многочлены Лежандра определяются по формуле (называемой формулой Родрига)
(3)
часто записываемой в виде:
(4)
Многочлены Лежандра также определяются по следующим формулам:


,
если
;
,
если
.
Они также могут быть вычислены по рекуррентной формуле:

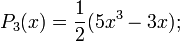
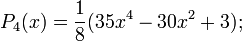
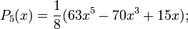
Первые многочлены Лежандра равны:











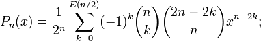
Многочлены Чебышева
Многочлены Чебышева
— две последовательности многочленов
T>n>(x)
и U>n>(x),
названные
в честь Пафнутия Львовича Чебышева.
Многочлены
Чебышева играют важную роль в теории
приближений, поскольку корни многочленов
Чебышева первого рода используются в
качестве узлов в интерполяции
алгебраическими многочленами.
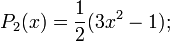
Многочлен Чебышева первого рода T>n>(x) характеризуется как многочлен степени n со старшим коэффициентом 2n - 1, который меньше всего отклоняется от нуля на интервале [ − 1,1]. Впервые рассмотрены самим Чебышёвым.
Многочлены Чебышева первого рода T>n>(x) могут быть определены с помощью рекуррентного соотношения:



Многочлены Чебышева
первого рода
могут
быть также определены с помощью равенства:

или, что почти эквивалентно,

Несколько первых многочленов Чебышева первого рода










Многочлены Чебышева обладают следующими свойствами:
Ортогональность по
отношению к соответствующим скалярному
произведению (с весом
для
многочленов первого рода и
для
многочленов второго рода).
Среди всех многочленов,
значения которых на отрезке [ − 1,1] не
превосходят по модулю 1, многочлен
Чебышева имеет: наибольший старший
коэффициент наибольшее значение в любой
точке за пределами [ − 1,1] если
,
то
,
где t>k> —
коэффициент многочлена Чебышева первого
рода, a>k> —
коэффициент любого из рассматриваемых
полиномов.
Нули полиномов Чебышева являются оптимальными узлами в различных интерполяционных схемах. Например, в методе дискретных особенностей, который часто используется при исследовании интегральных уравнений в электродинамике и аэродинамике.
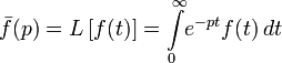
Преобразование Лапласа
Преобразование
Лапласа — интегральное преобразование,
связывающее функцию
комплексного
переменного (изображение) с функцией
действительного
переменного (оригинал). С его помощью
исследуются свойства динамических
систем и решаются дифференциальные и
интегральные уравнения.
Одной из особенностей преобразования Лапласа, которые предопределили его широкое распространение в научных и инженерных расчётах, является то, что многим соотношениям и операциям над оригиналами соответствуют более простые соотношения над их изображениями. Так, свёртка двух функций сводится в пространстве изображений к операции умножения, а линейные дифференциальные уравнения становятся алгебраическими.
Интеграл Лапласа имеет вид:
(5)
где интегрирование производится по некоторому контуру L>в> плоскости комплексного переменного z, ставящий в соответствие функции f(z), определенной на L, аналитическую функцию F(p) комплексного переменного p=s+it. Многие интегралы вида (5) были рассмотрены П. Лапласом.
В узком смысле под преобразованием Лапласа подразумевают одностороннее преобразование Лапласа
,
(6)
называемое так в отличие от двустороннего преобразования Лапласа
(7)
Преобразование
Лапласа – частный вид интегральных
преобразований;. преобразования вида
(6) или (7) тесно связаны с Фурье
преобразованием.
Двустороннее
преобразование Лапласа (7) можно
рассматривать как преобразование Фурье
функции
,
одностороннее преобразование Лапласа
(6) - как преобразование Фурье функции
j(t) равной
при 0 < t
< ∞
и равной
нулю при -∞ < t
< 0.
Подынтегральная комплексная локально суммируемая функция f(t) называется функцией-оригиналом, или просто оригиналом; в приложениях часто удобно трактовать переменное t как время. Функция F(p)=L[f], (р) называется также преобразованием Лапласа оригинала f(t) или изображением по Лапласу. Интеграл (6) понимается, вообще говоря, как условно сходящийся на бесконечности.
Априори возможны три случая:
1) существует
действительное число
такое, что интеграл (6) сходится при
,
а при
– расходится; это число σ>с>
называется
абсциссой (условной) сходимости;
2) интеграл (6) сходится
при всех р,
в этом случае полагают
;
3) интеграл (6) расходится
при всех р, в этом случае полагают
Если
,
то интеграл
(6) представляет однозначную аналитическую
функцию F(p) в полуплоскости сходимости
.
Обычно ограничиваются рассмотрением
абсолютно сходящихся интегралов (6).
Точная нижняя грань тех s, для которых
существует интеграл
,
называется абсциссой абсолютной
сходимости
Если а – есть нижняя
грань тех s, для которых
число а иногда называют показателем
роста оригинала f(t).
При некоторых дополнительных условиях оригинал f(t) однозначно восстанавливается по своему F(p). Например, если f(t) имеет ограниченную вариацию в окрестности точки t>0> или если f(t) кусочногладкая, то имеет место формула обращения преобразования Лапласа:
(8)
Формулы (6) и (8) позволяют получить ряд соотношений между операциями, производимыми над оригиналами и изображениями, а также таблицу изображений для часто встречающихся оригиналов. Все это составляет элементарную часть операционного исчисления.
В математической физике важные применения находит многомерное преобразование Лапласа:
(9)
где t = (t>1>, ……, t>n>)
-точка re-мерного евклидова пространства
Rn, p = (p>1>, ……, p>n>) = σ + iτ = (σ>1>, ……, σ>n>) + (τ>1>, ……, τ>n>)
-точка комплексного пространства
Cn, n≥1, (p,t) = (σ,t)+i(τ,t) = p>1>t>1> + … +p>n>t>n>
-скалярное произведение, dt = dt>1>…dt>n> - элемент объема в Rn. Комплексная функция f(t) в (9) определена и локально суммируема в области интегрирования

-положительном
координатном угле пространства Rn.
Если
функция f(t) ограничена в C*,
то интеграл (9) существует во всех точках
удовлетворяющих
условию Re(p,t)>0,
,
которое определяет снова положительный
координатный угол
Интеграл (9) определяет
голоморфную функцию комплексных
переменных p
= (p>1>
,- p>n>)
в трубчатой
области
пространства
с
основанием S.
В более общем случае в качестве области
интегрирования
в (9) и основания Sтрубчатой области можно
взять любую пару сопряженных замкнутых
выпуклых острых конусов в пространстве
с
вершиной в начале координат. При n=1
формула (9) переходит в (6), причем
- положительная полуось и
- правая полуплоскость. Преобразование
Лапласа (9) определено и голоморфно и
для функций f(t) гораздо более широких
классов. Элементарные свойства
преобразования Лапласа с соответствующими
изменениями остаются справедливыми и
для многомерного случая.
Численное преобразование
Лапласа - численное выполнение
преобразования (6), переводящего оригинал
f(t),
0<t<∞
в
изображение F(p),
,
а также
численное обращение преобразования
Лапласа, т. е. численное нахождение f(t)
из интегрального уравнения (6) либо по
формуле обращения (8).
Необходимость применения численного преобразования Лапласа возникает вследствие того, что таблицы оригиналов и изображений охватывают далеко не все встречающиеся в практике случаи, а также вследствие того, что оригинал или изображение зачастую выражаются слишком сложными, неудобными для применений формулами.
Проблема обращения преобразования Лапласа, как задача отыскания решения f(x) интегрального уравнения первого рода (6), относится к классу некорректных задач и может быть решена, в частности, посредством регуляризирующего алгоритма.
Задачу численного обращения преобразования Лапласа можно также решать методами, основанными на разложении функции-оригинала в функциональный ряд. Сюда в первую очередь можно отнести разложение в степенной ряд, в обобщенный степенной ряд, в ряд по показательным функциям, а также в ряды по ортогональным функциям, в частности по многочленам Чебышева, Лежандра, Якоби и Лагерра. Задача разложения оригинала в ряды по многочленам Чебышева, Лежандра, Якоби в окончательном своем виде сводится к проблеме моментов на конечном промежутке. Пусть известно преобразование Лапласа F(p) функции β(t)f(t):
где f(t) - искомая функция, а β(t) - неотрицательная, интегрируемая на [0,∞) функция. Предполагается, что функция f(t) интегрируема на любом конечном отрезке [0, Т] и принадлежит классу L>2>(β(t), 0, ∞).По изображению F(р).функции β(t), f(t), функция f(t) строится в виде ряда по смещенным многочленам Якоби, в частности по смещенным многочленам Лежандра, Чебышева первого и второго рода, коэффициенты которого a>k> вычисляются по формуле.

где
-
коэффициенты смещенного многочлена
Лежандра, Чебышева первого и второго
рода соответственно, записанных в виде
Другим приемом численного обращения преобразования Лапласа является построение квадратурных формул для интеграла обращения (8).
4. Обращение преобразования Лапласа с помощью многочленов, ортогональных на конечном промежутке
Постановка задачи
Задачу преобразования Лапласа можно решать методами, основанными на разложении оригинала в ряды по ортогональным функциям, в частности по многочленам Чебышева, Лежандра и Якоби.Эта задача, которая в окончательном своем виде сводится к проблеме моментов на конечном промежутке, была подвергнута изучению в работах многих авторов.
Рассмотрим постановку этой задачи в таком виде, как это сделано в работах В.М. Амербаева и в книге В.А. Диткина и А.П. Прудникова [2].
Пусть известно преобразование Лапласа F(p) функции β(t)f(t):
(10)
Где f(t) – искомая функция, а β(t) – неотрицательная, абсолютно интегрируемая на [0,∞) функция. Предположим, что функция f(t) интегрируема на любом конечном отрезке [0, Т] и принадлежит классу L>2>(β(t), 0, ∞):
(11)
Требуется по изображению F(р) функции β(t)f(t), построить функцию f(t).
В интеграле (10) введем замену переменной x=e-t; тогда он приведется к виду
(12)
где
В силу условий,
которые наложены на функции f(t)
и β(t),
интеграл (12) сходится всюду в плоскости
Re
p≥,0,
поэтому
переменной р
можно придать значения 0, 1, 2, … и получить
«взвешенные моменты» функции

(13)
После этого решаемую
задачу можно сформулировать так: найти
функцию
по ее «взвешенным моментам»
,
или, что тоже самое, найти функцию f(t)
по значениям изображения функции
β(t)f(t) в
целочисленных точках p
= k
(k
= 0, 1, 2, …). В
частном случае эту задачу можно упростить
и по первым п
+ 1 «взвешенным
моментам» искать многочлен
,
такой, чтобы его «взвешенные моменты»
совпадали с заданными моментами функции
,
то есть чтобы выполнялись равенства
(14)
4.2.Обращение преобразования Лапласа с помощью смещенных многочленов Лежандра
Рассмотрим частный случай весовой функции
(15)
или
.
Многочленами,
ортогональными на отрезке [0,1] с весом
,
будут смещены многочлены Лежандра

Они задаются формулой
при
или же формулой

Величина r>n> в этом случае равна

и разложение функции f(t) по смещенным многочленам Лежандра имеет вид
(16)
Величины α>k> вычисляются по формуле
(17)
в которой
- коэффициенты смещенного многочлена
Лежандра

4.3. Обращение преобразования Лапласа с помощью смещенных многочленов Чебышева первого рода.
Положим теперь
Весовая функция имеет вид
и

Смещенные многочлены
Чебышева первого рода
являются
ортогональной системой на [0,1] по весу

Многочлены Якоби
отличаются от
только численным множителем, а именно
,
где
Многочлены
имеют вид

Значения r>n> вычисляются по формулам

а разложение функции f(t) по смещенным многочленам Чебышева первого рода имеет вид
(18)
Коэффициенты a>k>
(k=0,
1, …) вычисляются
по формуле (17), в которой
- коэффициенты смещенного многочлена
Чебышева первого рода
.
В вычислениях удобнее
пользоваться тригонометрической записью
многочленов
,
а именно:
Сделав замену
переменной 2x
– 1 = cosθ
(0≤θ≤π) и
учитывая, что
разложение (18) можно переписать в виде:

ЗАКЛЮЧЕНИЕ
Одним из наиболее мощных средств решения дифференциальных уравнений, как обыкновенных, так, особенно, в частных производных, является метод интегральных преобразований.
Преобразования Фурье, Лапласа, Ганкеля и другие применяются для решения задач теории упругости, теплопроводности, электродинамики и других разделов математической физики.
Преобразование
Лапласа — интегральное преобразование,
связывающее функцию
комплексного
переменного (изображение) с функцией
действительного
переменного (оригинал). С его помощью
исследуются свойства динамических
систем и решаются дифференциальные и
интегральные уравнения.
Одной из особенностей преобразования Лапласа, которые предопределили его широкое распространение в научных и инженерных расчётах, является то, что многим соотношениям и операциям над оригиналами соответствуют более простые соотношения над их изображениями.
Интеграл Лапласа имеет вид:
где интегрирование производится по некоторому контуру L>в> плоскости комплексного переменного z, ставящий в соответствие функции f(z), определенной на L, аналитическую функцию F(p) комплексного переменного p=s+it.
Численное преобразование Лапласа - численное выполнение преобразования
,
переводящего оригинал
f(t),
0<t<∞
в
изображение F(p),
,
а также
численное обращение преобразования
Лапласа.
Необходимость применения численного преобразования Лапласа возникает вследствие того, что таблицы оригиналов и изображений охватывают далеко не все встречающиеся в практике случаи, а также вследствие того, что оригинал или изображение зачастую выражаются слишком сложными, неудобными для применений формулами.
Задачу численного обращения преобразования Лапласа можно также решать методами, основанными на разложении функции-оригинала в функциональный ряд. Сюда в первую очередь можно отнести разложение в степенной ряд, в обобщенный степенной ряд, в ряд по показательным функциям, а также в ряды по ортогональным функциям, в частности по многочленам Чебышева, Лежандра, Якоби и Лагерра. Задача разложения оригинала в ряды по многочленам Чебышева, Лежандра, Якоби в окончательном своем виде сводится к проблеме моментов на конечном промежутке. Пусть известно преобразование Лапласа F(p) функции β(t)f(t):
где f(t) - искомая функция, а β(t) - неотрицательная, интегрируемая на [0,∞) функция.
СПИСОК ЛИТЕРАТУРЫ
Ван дер Поль Б., Бремер Х. Операционное исчисление на основе двустороннего преобразования Лапласа. — М.: Издательство иностранной литературы, 1952. — 507 с.
Диткин В.А., Прудников А. П. Интегральные преобразования и операционное исчисление. — М.: Главная редакция физико-математической литературы издательства «Наука», 1974. — 544 с.
Кожевников Н.И., Краснощекова Т. И., Шишкин Н. Е. Ряды и интегралы Фурье. Теория поля. Аналитические и специальные функции. Преобразования Лапласа. — М.: Наука, 1964. — 184 с.
Крылов В.И., Скобля Н.С. Методы приближенного преобразования Фурье и обращения преобразования Лапласа. – М.: Наука, 1974. – 226 с.