Апарат мереж Петрі та його використання під час моделювання інтелектуальніх мереж (ІМ)
Размещено на http://www.
Апарат мереж Петрі та його використання під час моделювання інтелектуальніх мереж (ІМ)
Мережа Петрі – це графічний і математичний засіб моделювання систем і процесів. Базова мережа Петрі складається з позицій, переходів, дуг і фішок. Позицією моделюються умови, при цьому наявність фішки на відповідній позиції вказує на виконання умови. Перехід у мережі Петрі моделює подію, тобто дію, що відбувається в системі. Виникнення події відповідає спрацьовуванню (або запуску) переходу. Розміщення фішок на відповідних позиціях мережі Петрі називають розміткою мережі, вона визначає стан системи. Спрацьовування переходів змінює розмітку мережі, що відповідає зміні стану системи при реалізації будь-якої події, а зміна розмітки приводить до можливості спрацювання нових переходів, тобто виникненню нових подій у системі, що змінила свій стан.
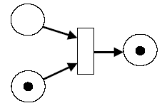
Графічна модель системи у вигляді мережі Петрі є орієнтованим графом із двома типами вершин, з'єднаних між собою спрямованими дугами. Позиція графічно позначається кружком або еліпсом, а перехід – бар'єром або прямокутником (рис.1), дуги можуть з'єднувати вершини тільки різних типів: позицію з переходом або перехід із позицією.
|
|
|
|
|
|
Позиція |
Перехід |
Дуга |
Фішка |
Рисунок 1 – Основні елементи мережі Петрі
Перехід дозволений (збуджений) якщо всі його вхідні позиції мають фішки. Спрацьовує довільний перехід з безлічі дозволених. При спрацьовуванні перехід вилучає фішки з усіх своїх вхідних позицій і поміщає в усі свої вихідні позиції. Спрацьовування переходу відбувається миттєво. Графічна інтерпретація спрацьовування переходів показана на рис.2.
|
|
|
|
|
a) перехід не дозволений |
б) перехід дозволений |
в) після спрацьовування |
Рисунок 2 – Правила спрацьовування переходу
З безлічі дозволених спрацьовує лише один перехід, який обирається довільно. Це обумовлює недетермінований характер функціонування мережі. Таким чином, мережа Петрі описує безліч різних припустимих варіантів функціонування систем і процесів, що моделюються.
Для моделювання реальних об'єктів використовують кратні дуги, для яких умова збудження має виконуватися в кожному екземплярі дуги. Графічно, як правило, зображують одну дугу, підписуючи над нею кратність (рис.3).
|
|
|
|
а) до спрацьовування переходу |
б) після спрацьовування переходу |
Рисунок 3 – Розмітка мережі Петрі із кратними дугами
У класичній мережі Петрі всі фішки мають тип булевих даних, тому не відрізняються одна від одної. Одним з найбільш відомих і популярних розширень базових мереж Петрі є розфарбовані мережі Петрі (Coloured Petri Nets, CPN), у яких використовують фішки складного типу. Тип фішки іноді називають її кольором. Такий підхід робить модель більш лаконічною в порівнянні з еквівалентною моделлю у вигляді базової мережі Петрі, оскільки одна позиція в такому випадку може моделювати безліч умов. На рис.4 наведено модель системи розподілу ресурсів у вигляді базової (рис.4,а) та розфарбованої (рис.4,б) мережі Петрі.
Декларація типів, змінних і функцій CPN-моделі системи розподілу ресурсів (рис.4,б), має такий вигляд:

Для моделювання систем і процесів, за аналізом яких необхідно враховувати не тільки порядок виконання дій, але й часові характеристики, часто використовують часові мережі Петрі, які також є одним з відомих розширень базових мереж Петрі.
|
|
|
|
а) |
б) |
Рисунок 4 – Модель системи розподілу ресурсів
Для врахування часових
характеристик вводяться поняття
модельного часу і часової мітки фішки
,
яка показує момент часу, у який дана
фішка може бути використана. На графічній
моделі часові мітки фішок відображається
написом
,
розміщеним поруч із фішкою. Кожному
переходу або його вихідній дузі можна
присвоїти деяку затримку
,
що графічно відображається на моделі
написом
,
розміщеним поруч із відповідним переходом
або дугою. Під час спрацювання переходів
без затримок часовій мітці фішки, що
поміщається в його вихідну позицію,
присвоюється поточне значення модельного
часу. Якщо подія, що моделюється переходом,
вносить затримку в процес, що моделюється,
мітці присвоюється значення, що дорівнює
сумі поточного модельного часу та
часової затримки даного переходу. На
рис.5 наведено часову CPN-модель системи
розподілу ресурсів, що пояснює правила
спрацьовування переходів у часових
мережах Петрі.
Ще одним розширенням базових мереж Петрі є ієрархічні мережі Петрі, які дозволяють моделювати дуже великі системи за модульним принципом, при цьому використовуються методи опису системи як «зверху вниз», так і «знизу вгору». Існуючі модулі можна використовувати в моделі кілька разів, крім того, на їхній основі можна створювати нові модулі.
Під час проектування інтелектуальних мереж одним з етапів є розрахунок навантаження та вибір необхідної ємності обладнання. При цьому важливо враховувати той факт, що навантаження на ресурси IМ істотно залежить від того, які саме послуги надаються мережею.
Важко спрогнозувати, які саме послуги IМ будуть розроблятися та впроваджуватися в майбутньому, але в багатьох із них взаємодія з користувачем буде відігравати важливу роль. При цьому в багатьох послугах IМ має місце ситуація, коли одночасно з утриманням ресурсів інтелектуальної периферії (Intelligent Peripheral, IP) відбувається звертання до бази даних, розташованої у вузлі зберігання даних послуг (Service Data Point, SDP), наприклад, при аутентифікації користувача або перерахуванні логічного номера абонента, якого визивають, у фізичний. Таким чином, процес взаємодії з користувачем має наступні фази:
– обслуговування
запиту в IP до звертання до зовнішньої
бази даних протягом часу
;
– звертання до SDP з
одночасним утриманням зайнятого ресурсу
IP протягом часу
;
– продовження
обслуговування в IP після одержання
необхідних додаткових даних від SDP
протягом часу
.

а) до спрацювання переходу Т4

б) після спрацювання переходу Т4
Рисунок 4 – Часова CPN-модель системи розподілу ресурсів
Таким чином, ресурси
IP займаються користувачем протягом
всіх трьох фаз обслуговування, а SDP –
тільки протягом другої фази. Вважається,
що всі три фази можуть повторюватися
довільне число разів, залежно від логіки
послуги, кількість циклів визначається
параметром
.
На рис.5 наведено мережу
Петрі, що описує захват користувачем
ресурсів двох різних типів
і
,
що відповідають ресурсам вузлів IP і SDP
відповідно.
Припустимо, що IМ надає
різних видів послуг, при цьому запити
на послугу типу
надходять із інтенсивністю
і утворюють чергу до групи ресурсів
вузла IP
.
Чергу до вузла SDP
утворюють запити, які надходять на
обслуговування у вузол SDP після першої
та третьої фази обслуговування.
Під час розрахунку
вважається, що всі потоки запитів є
пуасонівськими, а тривалості обслуговування
на всіх трьох фазах
,
і
– експоненціально розподіленими з
інтенсивностями
,
і
відповідно, довжина черги не обмежена.
Позначимо число ресурсів вузлів IP і SDP
як
і
відповідно.
Група ресурсів вузла
SDP і черга до них може бути апроксимована
системою масового обслуговування (СМО)
,
а інтенсивність потоку викликів, що
надходить на обслуговування у вузол
SDP визначається виразом
, (1)
навантаження на групу ресурсів вузла SDP становить
. (2)
Р
исунок
5
Імовірність очікування
в системі
може бути визначена за формулою Ерланга:
(3)
При дисципліні
обслуговування FIFO час очікування є
експоненціально розподіленим з
інтенсивністю
.
Тоді при
середній час очікування в черзі
складе
. (4)
У загальному випадку
час обслуговування користувача послуги
класу
у вузлі IP складається з декількох фаз,
як показано на рис.6.
Р
исунок
6
Для визначення
середнього часу очікування в черзі
можна використати наступне співвідношення:
,(5)
де
– інтенсивність надходження заявок на
групу ресурсів вузла IP,
– середній час
обслуговування запиту на послугу IМ,
– середній час
обслуговування запиту на послугу класу
(див. рис.6).
Позначимо кількість
повторів трьох фаз обслуговування як
,
тоді
, (6)
, (7)
, (8)
. (9)
Значення
є сумою випадкової кількості
випадкових величин
і може бути визначене з наступних
виразів:
,
(10)
(11)
,
. (12)
Середній час перебування заявки в СМО визначаємо за формулою
, (13)
мережа петрі моделювання математичне
а навантаження на групу ресурсів вузла IP складе
.
(14)
Подану методику аналізу характеристик обслуговування запитів на послуги IМ можна застосовувати при великій кількості типів послуг і невеликому рівні загального навантаження.
Размещено на http://www.










