Развитие математического мышления учащихся на основе дифференцированного обучения
МИНИСТЕРСТВО ВЫСШЕГО И СРЕДНЕГО СПЕЦИАЛЬНОГО
ОБРАЗОВАНИЯ РЕСПУБЛИКИ УЗБЕКИСТАН
ТАШКЕНТСКИЙ ГОСУДАРСТВЕННЫЙ ПЕДАГОГИЧЕСКИЙ
УНИВЕРСИТЕТ имени НИЗАМИ
Методические рекомендации для учителей
РАЗВИТИЕ МАТЕМАТИЧЕСКОГО МЫШЛЕНИЯ УЧАЩИХСЯ НА ОСНОВЕ ДИФФЕРЕНЦИРОВАННОГО ОБУЧЕНИЯ
БАКИРОВА А. Ю.
НОРМАТОВ А.А.
Ташкент 2004
СОДЕРЖАНИЕ
дифференциация обучение учащийся математический
Часть 1. Дифференциация обучения – один из важнейших путей развития лицея, колледжа
1.1 Основные понятия дифференциации обучения
1.2 Уровень развития
1.3 Интересы, склонности, специальные способности
1.4 Виды и формы дифференцированного обучения
Часть 2. Педагогическая концепция развития математического мышления учащихся на основе дифференцированного обучения
2.1 Психолого-педагогическая диагностика интересов учащихся
2.2 Методика развития математического мышления учащихся на основе дифференцированного обучения
Часть 3. Дифференцированный контроль знаний, умений и навыков учащихся при обучении математике
3.1 Дифференцированный подход в обучении математике на современном этапе развития общеобразовательной школы
3.2 Уровневое тестирование
3.3 Уровневая (балльная, рейтинговая) контрольная работа
Часть 1. Дифференциация обучения – один из важнейших путей развития лицея, колледжа
Происходящие в стране политические, социально-культурные, духовные и экономические перемены приводят к тому, что общество постепенно начинает признавать индивидуальные проявления личности как, по меньшей мере, не менее значимые, чем коллективные и общественные.
Педагогическая наука и практика также переходят от модели унифицированного общественно-ориентированного образования к моделям вариативного и личностно-ориентированного. Разрушается миф об "одинаковости" всех детей, за которым реально стоял партийно-классовый принцип отбора в образовательные учреждения. Появляются разнообразные методы и формы обучения и воспитания детей, в том числе одаренных, с аномалиями развития и плохо адаптирующихся к социальным нормам. Разрабатываются программы социальной и психолого-педагогической поддержки неординарных детей в процессе их воспитания и обучения.
Впервые за многие десятилетия образовательные учреждения предлагают детям и родителям образование по выбору. Перестает существовать монополия государственного образования. Действующий "базисный" учебный план дает возможность реализации национально-региональных и местных особенностей воспитания.
Формирующаяся на наших глазах модель вариативной системы образования предполагает, с одной стороны, сохранение единого образовательного пространства в стране, обеспечивающего гарантированный уровень подготовки, и, с другой стороны, обучение каждого ребенка в соответствии с его индивидуальными особенностями, способностями, интересами.
В связи с этим проблема дифференциации обучения находится в центре внимания педагогических коллективов, с ее решением связываются обновление и дальнейшее развитие школы, преодоление устаревших методов обучения и воспитания, развитие индивидуальности детей на началах гуманизации и демократизации.
Проблему дифференциации обучения обостряет вхождение республики Узбекистан в мировое сообщество, где эта модель достаточно распространена и обеспечивает качественное образование молодежи. Однако механический перенос западных вариантов дифференциации в нашу действительность по ряду причин не может быть осуществлен. Поэтому многие школы, лицеи и колледжи ищут свои, отечественные пути и средства обновления образования на путях дифференциации.
1.1 ОСНОВНЫЕ ПОНЯТИЯ ДИФФЕРЕНЦИАЦИИ ОБУЧЕНИЯ
Дифференциация в переводе с латинского "difference" означает разделение, расслоение целого на различные части, формы, ступени.
Дифференцированное обучение - это: 1) форма организации учебного процесса, при которой учитель работает с группой учащихся, составленной с учетом наличия у них каких-либо значимых для учебного процесса общих качеств (гомогенная группа); 2) часть общей дидактической системы, которая обеспечивает специализацию учебного процесса для различных групп обучаемых.
Дифференциация обучения (дифференцированный подход в обучении) — это: 1) создание разнообразных условий обучения для различных школ, классов, групп с целью учета особенностей их контингента; 2) комплекс методических, психолого-педагогических и организационно-управленческих мероприятий, обеспечивающих осуществление процесса обучения в гомогенных группах.
Принцип дифференциации обучения — положение, согласно которому педагогический процесс строится как дифференцированный. Одним из основных видов дифференциации (разделения) является индивидуальное обучение.
Индивидуальное обучение — форма, модель организации учебного процесса, при которой: 1) учитель взаимодействует лишь с одним учеником; 2) один учащийся взаимодействует лишь со средствами обучения (книга, компьютер и т.п.).
Индивидуальный подход — это: 1) принцип педагогики, согласно которому в процессе учебно-воспитательной работы с группой учитель взаимодействует с отдельными учащимися по индивидуальной модели, учитывая их личностные особенности; 2) ориентация на индивидуальные особенности ребенка в педагогическом общении с ним; 3) учет индивидуальных особенностей ребенка в процессе обучения; 4) создание психолого-педагогических условий не только для развития всех учащихся, но и для развития каждого ребенка в отдельности.
Индивидуализация обучения — это: 1) организация учебного процесса, при которой выбор способов, приемов, темпа обучения обуславливается индивидуальными особенностями учащихся; 2) различные учебно-методические, психолого-педагогические и организационно-управленческие мероприятия, обеспечивающие индивидуальный подход.
Вариативное обучение — разветвленная система разнообразных видов дифференциации учебного процесса, предоставляющая ребенку максимальные возможности для выбора и удовлетворения его интересов и развития способностей.
1.2 УРОВЕНЬ УМСТВЕННОГО РАЗВИТИЯ
Жизнь опровергла принятые советской педагогикой постулаты: "все дети по способностям равны" и "ребенок — чистый лист, на котором можно написать все, что угодно". Учеными доказано: все дети очень различны по своим психо-физиологическим данным.
Задатки. Психическое развитие личности присуще каждому индивиду от природы. Наследственные механизмы запускают физический рост и развитие организма и тем самым готовят физиологические предпосылки для психического развития. Эти предпосылки обуславливают особенности строения мозга и нервной системы, индивидуальны для каждого человека и называются задатками.
Способности. На основе задатков у личности развиваются способности — качества, обеспечивающие успешность и продуктивность той или иной деятельности. На формирование способностей существенное влияние оказывают вся окружающая ребенка среда и целенаправленные воздействия — обучение и воспитание.
Развитие способностей на основе задатков начинается очень рано. Поэтому уже первоклассники обладают неодинаковыми способностями, так как отличаются по своим задаткам и условиям их развития в дошкольном периоде.
Следует отметить, что задатки и способности личности не являются чем-то неизменным: те и другие развиваются. Это развитие идет неравномерно и не жестко связано с возрастом; отдельные способности проявляются в самые различные возрастные периоды и часто относятся к какой-то одной ограниченной области.
Для школьной практики очень важны способности ребенка, проявляющиеся в учебной деятельности и определяющие особую характеристику личности — уровень умственного развития.
Уровень умственного развития ребенка в педагогической практике связывают прежде всего с его учебными успехами. Учителя делят учеников по данному признаку на отличников, хорошистов, троечников, двоечников. Однако по утверждениям психологов дело обстоит гораздо сложнее: в уровне умственного развития следует различать: 1) обучаемость и обученность; 2) общие и специальные умственные способности.
Обучаемость (способности к учению, умственные способности) определяет возможности ребенка достигать в более короткие сроки более высокого уровня и качества знаний и умений.
В зарубежной психологии умственные способности характеризуются коэффициентом интеллекта, который выявляется с помощью стандартизированного теста IQ (intelligens quality). Причем считается, что коэффициент IQ есть постоянная величина, определяющая генотип индивида.
Данные современной науки свидетельствуют о том, что умственные способности, во-первых, не являются неизменными и, во-вторых, не могут быть объективно оценены тестами, ибо последние выявляют одновременно и обученность.
Обученность включает весь объем усвоенных знаний, умений и навыков (ЗУН), определяет культурный уровень, кругозор, эрудированность индивида и весьма зависит от прошлого опыта обучения и от социальных условий, в которых протекала его жизнедеятельность. Свою роль играют особенности нравственно-волевых качеств личности (трудолюбие, настойчивость, самостоятельность). Школьные отметки, баллы успеваемости по предметам представляют оценку прежде всего обученности ребенка.
Обучаемость и обученность связаны, зависят друг от друга, развиваются чаще всего параллельно. Обучаемость представляет собой потенциальные возможности, предпосылки для учения (зону ближнего развития), обученность же является результатом учения и содержательной базой для реализации способностей (зона актуального развития). Вот почему определение уровня умственных способностей (обучаемости) детей представляет столь трудную проблему и никак не может быть сведено к школьному баллу успеваемости.
По уровню общего умственного развития (обучаемости + обученности) можно выделить следующие группы детей школьного возраста:
— малоспособные дети с аномалиями развития задатков, с задержкой психического развития (обучаемость и обученность значительно ниже нормы), такие дети не в состоянии достичь заранее намеченного уровня ЗУН даже за длительное время (составляют до 5% учащихся; их надо обучать по особой программе, с особыми целями);
— педагогически запущенные дети (настолько слабая обученность, что даже наличие хорошей обучаемости не выводит их на возрастную норму достижений; однако при достаточном времени и средствах эти дети способны усвоить заданный материал; их количество по разным оценкам колеблется в пределах 10-40%);
—дети со средним уровнем умственного развития (обучаемость и обученность соответствуют среднестатистической норме; эти дети составляют большинство — 60-70%);
—способные, продвинутые в развитии обучаемости (быстро "схватывают") и обученности (много знают) по сравнению со средней возрастной нормой (это основная часть отличников и хорошистов — 5-10%);
одаренные, или талантливые — высший уровень обучаемости, (им по силам то, с чем не могут справиться остальные; могут учиться в высоком темпе; составляют 1-3% учащихся). Большие коррективы в эту структуру распределения вносят уровень воспитанности детей, социальные условия микрорайона и, наконец, конкретный состав учащихся школы.
1.3 ИНТЕРЕСЫ, СКЛОННОСТИ, СПЕЦИАЛЬНЫЕ СПОСОБНОСТИ
Кроме уровня общего умственного развития (общих умственных способностей) у школьников могут проявляться и специальные способности, т.е. способности в какой-либо области знаний и деятельности.
Уже с дошкольного возраста такие дети начинают избирательно относиться к различным видам и сферам деятельности. К некоторым из них они проявляют интересы и склонности.
Интерес — форма проявления познавательных потребностей личности, выражающаяся в повышенном внимании, эмоциональном отношении, в выборе, предпочтении объекта интереса. Понятие интерес тесно сопрягается с такими личностными свойствами как потребности и отношения. Интерес как бы рождается из потребности, но в отличие от последней выражает не нужду в чем либо, а избирательное предпочтение данных предметов и явлений окружающего мира.
Развитие интереса выражается в появлении склонности — предпочтения, пристрастия к определенному виду деятельности и формировании соответствующих этой деятельности специальных способностей.
Классификация интересов, склонностей и специальных способностей по предметной области:
—гуманитарные (языки, литература, музыка, изобразительное и прикладное искусство, театр и кино, хореография);
—естественно-природные (физические, химические, биологические, география, экологические, медицина, сельское хозяйство);
— обществоведческие (история, политика, социум, экономика, психология, право);
— абстрактно-знаковые (математика, кибернетика, логика, информатика);
— технократические (энергетика, механика, электротехника, строительство, транспорт, связь).
По уровню проявления:
— аморфные (неясные, нестойкие);
— ситуационные (проявляющиеся лишь в определенных условиях);
— устойчиво-широкие (направленные на несколько областей);
— локально-стержневые (сосредоточенные на какой-либо одной области);
— доминантно-поглощающие (подчиняющие себе все сферы личности).
По психологической сфере личности:
познавательные, эстетические, нравственные, действенно-практические.
Познавательные интересы представляют собой избирательную направленность, обращенную к области познания, к ее предметному содержанию и процессу овладения знаниями.
Эстетические интересы являются особым видом интересов, выражающимся в избирательной направленности на объекты и области прекрасного в окружающем мире (в его формах, структуре и движении).
Нравственные интересы — это такой их вид, который выражает повышенное внимание, чувствительность к нравственным ценностям.
Действенно-практические интересы определяют предпочтение двигательно-практической сферы жизнедеятельности. Все виды интересов тесно связаны между собой: любой из них представляет совокупность мыслительных (познавательных), эмоционально-эстетических и нравственно — волевых и двигательных процессов.
Многосторонне и влияние интересов и склонностей на личность и ее деятельность. В педагогическом процессе интересы индивида могут использоваться как средство:
— мотивации обучения (положительное отношение к учебе, к соучастникам обучения, к результатам учебного труда); некоторые школьники способны овладеть лишь теми знаниями, к которым их влекут интерес и личный опыт;
— интенсификации личностного развития (от любознательности до научного поиска, от увлеченности до творчества и от активности до самообразования и самоорганизации);
— воспитания нравственных и эстетических качеств (от прилежания до трудолюбия, от эмоциональной чувствительности до высокой духовности);
— активизации процесса обучения (учение без принуждения, учение, основанное на интересе, на успехе);
— наконец, как средство преодоления отставания ребенка в обучении и развитии, средство воспитания и перевоспитания "трудных" детей.
Во время обучения интерес к предмету часто переплетается с интересом к общению с данным учителем.
К старшему школьному возрасту познавательные интересы детей соединяются с социальными, появляется ориентация на профессию. Поэтому очень важно как можно раньше выявлять и формировать специальные способности детей.
Однако массовая школа не разделяет детей по их индивидуальным особенностям и интересам; она учит всех одинаково, причем содержание и методы обучения рассчитаны на учащихся среднего уровня умственного развития. В результате для части детей не создается оптимальных условий обучения: одни не реализуют своих способностей, а другие не осваивают программы и вообще как бы "выпадают" из учебного процесса.
Главной целью дифференциации обучения и является преодоление, сглаживание противоречия между единым усредненным подходом ко всем учащимся и индивидуальностью каждого ребенка.
1.4 ВИДЫ И ФОРМЫ ДИФФЕРЕНЦИРОВАННОГО ОБУЧЕНИЯ
Дифференцированное обучение осуществляется в различных организационных формах, с помощью различных учебных средств и на различных уровнях (частно-методическом, технологическом, общепедагогическом, социальном). В современной образовательной практике используется следующая классификация видов и форм дифференциации.
По характерным индивидуально-психологическим особенностям детей, составляющим основу формирования гомогенных групп, различают дифференциацию:
— по возрастному составу (школьные классы, возрастные параллели, разновозрастные группы);
— по полу (мужские, женские, смешанные классы, команды, школы);
— по области интересов (гуманитарные, физико-математические, биолого-химические и другие группы, направления, отделения, школы);
— по уровню умственного развития (уровню достижений);
— по личностно-психологическим типам (типу мышления, акцентуации характера, темпераменту, социотипу и др.);
— по уровню здоровья (физкультурные группы, группы ослабленного зрения, слуха, больничные классы).
По организационному уровню гомогенных групп выделяют дифференциацию:
— региональную по типу школ (спецшколы, гимназии, лицеи, колледжи, частные школы, комплексы);
— внутришкольную (уровни, профили, отделения, углубления, уклоны, потоки);
— в параллели (группы и классы различных уровней: гимназические, классы компенсирующего обучения и т.д.);
— межклассную (факультативные, сводные, разновозрастные группы);
— внутриклассную, или внутрипредметную (группы в составе класса).
Внутриклассную дифференциацию называют еще "внутренней", в отличие от всех других видов "внешней" дифференциации.
К внутренней дифференциации иногда относят и деление класса на любые, даже разнородные группы, для которых применяется интегративная модель дифференцированного обучения. Примерами может служить разделение учащихся при групповых способах обучения, использование игровых методик, бригадно-лабораторного метода, метода проектов и т.п.
В особую дифференциальную группу может быть выделена любая группа, обучение в которой отличается какими-либо условиями или компонентами учебно-воспитательного процесса. По этим признакам отмечают следующие виды дифференцированных групп:
— по целям обучения: группы компенсирующего обучения (выравнивания, коррекции, педагогической поддержки), творческие, работы с одаренными, предвузовской подготовки, овладения специальностью и др.;
— по содержанию обучения: спецклассы (группы, школы) профильные, по направлениям, с углублением, с уклоном, раннего изучения предмета, специальных программ, группы профессионализации и специализации, дополнительных образовательных услуг и др;
— по методам и технологиям: группы развивающего обучения, коллективного способа обучения, работающие по авторским методикам Шаталова, Волкова или других авторов; компьютерной технологии, социоигровой, вальдорфской педагогики, монтес сори — методики, повышенного индивидуального внимания, компенсирующего обучения и др.;
— по уровню обучения: группы базового образовательного стандарта, продвинутого уровня (группы углубленного изучения предмета, факультативные, гимназические, лицейские), компенсирующего, адаптирующего уровня (выравнивания, коррекции, педагогической поддержки), специальные и др.;
— по темпу (времени) обучения: классы (группы) опережающего, ускоренного и замедленного обучения.
В настоящее время наибольшее распространение получили два вида дифференциации по индивидуально-психологическим особенностям детей: по уровню умственного развития и по области интересов (профилю). Они организуются на различных возрастных ступенях: при поступлении в школу, при переходе из начальной ступени в среднюю и из средней — в старшую.
2. Педагогическая концепция развития математического мышления на основе дифференцированного обучения
2.1 Психолого-педагогическая диагностика интересов учащихся
Прежде чем приступить к рассмотрению методики дифференцированного обучения математике в лицее рассмотрим методику изучения способностей.
Диагностические особенности метода - в основу работы закладывается изучение способностей личности.
В структуре математических способностей в педагогической литературе выделяются более 10 групп компонентов [51]. Мы предполагаем проанализировать два основных компонента математических способностей: быстроту усвоения и активность мышления.
1 группа – быстрота усвоения, характеризуется следующими категориями:
1) дословное повторение текста;
2) частичное повторение;
3) воспроизведение 50% текста;
4) самостоятельное воспроизведение ранее изученного текста;
5) воспроизведение материала с помощью учителя;
6) воспроизведение с ошибками, но основная нить вопроса удерживается;
7) замедленное, невнятное воспроизведение текста;
8) умственная отсталость (затухание развития).
2 группа - активность мышления, характеризуется пятью категориями:
1) плодотворная работа на протяжении всего занятия;
2) работа со «вспышками»;
3) неполная работоспособность;
4) быстрая утомляемость;
5) игнорирование заданий.
Указанные категории позволяют выделить три уровня математических способностей:
Уровень А – учащиеся, имеющие хорошие математические способности (1 группа, категории 1)-4); 2 группа, категории 1)-2)). Уровень В – учащиеся, имеющие средние математические способности (1 – 4)-6); 2 – 2)-3)).Уровень С – учащиеся, имеющие низкие математические способности (1 –7)-8); 2 – 4)-5)).
Составляем таблицу и заполняем ее для каждого учащегося.
Дополнительной формой дифференцирования учащихся являются задания в тестовой форме (оперативный контроль), нацеленные на диагностику умственного развития учащихся. Рассмотрим один из них.
Это «тест достижений», где основой является не форма, а содержание заданий и который позволяет выявить знания в предметной области (в области математики).
На выполнение каждого теста отводится 30 минут. Ответы к заданиям записываются в специальные бланки.
Задания подбираются по уровням сложности.
1.Задания первого уровня усвоения – на опознание, различие или классификацию изученных объектов.
2.Второго уровня усвоения, выявляющее умение учащихся воспроизводить информацию без подсказки, по памяти для решения типовых задач. Различают следующие задания второго уровня усвоения – подстановка, конструктивные, собственно типовые.
3.Третий уровень усвоения – тесты требующие какое-то предварительное преобразование усвоенных методик и их приспособление к ситуации в задаче, т.е. требуют выполнения эвристической деятельности (применение формул сокращенного умножения в нестандартной ситуации, выявление закономерности и др.).
Тесты четвертого уровня усвоения должны выявлять творческие умения учащихся. В этих тестах нет готового эталона и о качестве его решения учащимся может судить только компетентный эксперт. Поэтому тесты этого уровня в диагностическом тестировании не применяются.
Сравнение ответа учащегося
с эталоном, в котором определено число
существенных операций, ведущих к решению
теста, к числу правильно выполненных
учащимся операций
теста дает возможность определить
эффективность усвоения
.
Таким образом,
.
Коэффициент
усвоения поддается нормированию
и на этой основе легко дифференцировать
учащихся.
По коэффициенту усвоения
судят о завершенности процесса обучения.
Исследования показывают, что при
процесс обучения можно считать
завершенным, т.к. в последующей деятельности
учащийся способен в ходе самообучения
совершенствовать свои знания.
Далее, для каждого уровня усвоения определяем коэффициент усвоения.
Например,
,
где
- числу правильно выполненных учащимся
операций во всех тестах первого уровня,
- число существенных операций, ведущих
к решению тестов первого уровня.
В приведенных тестах,
общее число операций
,
.
Положительную оценку учащийся получил
бы, если выполнил правильно не менее 8
операций (
).
С учетом вышесказанного
– уровень С – учащиеся уровень усвоения
которых
;
уровень В -
;
уровень А -
.
Совмещая результаты проверок быстроты усвоения и активности мышления с результатами теста, выявляем окончательное дифференцирование учащихся.
2.2 Методика развития математического мышления учащихся на основе дифференцированного обучения
А теперь рассмотрим непосредственно методику дифференцированной работы на уроке.
Класс разделен на три группы А, В, С.
Первый этап – дифференцированная домашняя работа. Трем группам определяется три разных задания. Группе С на дом предлагаются задания точно соответствующие обязательным результатам обучения. Группа В выполняет такие же задания и плюс более сложные задания из учебника. Для группы А задания из учебника дополняются заданиями из различных пособий для поступающих в вузы.
Второй этап – учет знаний учащихся на уроке. На этом этапе работу учителя облегчает таблица учета знаний, в которой предусмотрены следующие графы: уровень учащегося; повторение (П); домашнее задание (Д); положительные ответы; ошибки, недочеты; общий итог, оценка.
Перед уроком каждый учащийся, подойдя к таблице, заполняет в строке возле своей фамилии клетки в графах «П» и «Д». Остальные клетки таблицы заполняет учитель во время урока.
Подчеркнем, что на таких уроках учитель не занимается непосредственной проверкой того, как учащиеся повторили теоретический материал или выполнили домашнее задание.
Третий этап – организация базового повторения, т.е. заполнение выявленных пробелов в теоретическом материале, разъяснение недочетов и ошибок в самостоятельных и контрольных работ. Материал, который планирует повторить учитель, записывается в виде таблицы на доске. При разборе каждого задания из таблицы учитель предлагает такие, например, задания:
«Выберите из данных ответов верный», «Исправьте ошибку в данном задании» - для уровня С.
«Назовите правило, по которому выполняется действие», «Закончите задание» - для уровня В.
«Поясните причину ошибки», «Дайте определения основным понятиям, использующимся в данной задаче» - для уровня А. Также учащимся уровня А можно предложить самим придумать задания и вопросы по таблице.
Четвертый этап – проверка усвоения пройденного материала. Она может проводиться в четырех режимах.
Режим «самоконтроля» предлагается учащимся из группы А, учащиеся из групп В и С поочередно работают у доски; в течении урока к работе у доски привлекаются все учащиеся класса; к доске никого не вызывают, но учащиеся рассаживаются по группам, члены групп опрашивают друг друга по заранее составленным вопросам.
Пятый этап – изучение нового материала. Каждая тема требует особого подхода к ее объяснению. Но в организационном плане можно выделить четыре урока: 1 урок – «изучаем», 2 урок – «усваиваем», 3 урок – «закрепляем», 4 урок – «углубляем».
Первый урок «изучаем» обращен одинаково ко всем учащимся. На следующих уроках проявляется дифференциация. Задания для группы А быстро переходят от обязательных к эвристическим, требующих дополнительных знаний мыслительных операций. Группа В сосредотачивается на упражнениях, которые требуют старания, хорошего понимания темы и умений сделать 1-2 логических шага в направлении развития этих положений. Задания для группы С снова и снова возвращают учащихся к основным моментам объясненной темы.
Шестой этап – самостоятельные и контрольные работы.
Самостоятельные работы делим на три вида:
решение по образцу (группа С);
выделение нужного ответа из нескольких (группа В);
3) работа с дополнительным материалом (группа А).
Контрольные работы разделяются по содержанию на базовые (когда проверяется обязательный материал) и так называемые объемные, в которые входят задания по всему материалу изученного курса. На одной и той же контрольной работе учащимся из группы А предлагаются задания, хоть и соответствующие программе, но повышенной сложности.
Для успешного овладения программным материалом, развития математического мышления мы рекомендуем:
1) определить минимум знаний, высот которых должны достичь слабые лицеисты при изучении данной темы; наметить дополнительные задания для средних и сильных лицеистов;
2) наметить систему обучающих, тренировочных и творческих заданий для различных категорий учащихся;
3) изучить уровень подготовленности учащихся к восприятию каждой новой темы (путем опроса, бесед, проведения проверочных и контрольных работ) для объединения их во временные учебные группы;
4) определить наиболее эффективные приемы сочетания коллективной, групповой и индивидуальной работы на уроке, а именно:
- к самой многочисленной группе лицеистов (В) относить учащихся, равномерно усваивающих при незначительной помощи учителя программный материал, владеющих навыками самостоятельной работы;
- к группе «сильных» лицеистов (А) относить учащихся быстро схватывающих изучаемый материал, могущих выполнять задания повышенной трудности при минимальной помощи учителя или вообще без нее;
- к группе «слабых» (С) – относить учащихся, слабо овладевающих новым материалом, недостаточно владеющих навыками самостоятельной работы, нуждающихся в постоянном внимании и контроле учителя;
- учащихся объединять во временные учебные группы на период изучения большого раздела программного материала.
При внутриклассном дифференцированном обучении организация фронтальных работ рекомендуется в тех случаях, когда все лицеисты примерно одинаково подготовлены к выполнению задания, когда каждый из них способен принять активное участие в выполнение коллективной работы.
Подготавливать учащихся к активному выполнению фронтальных заданий помогает групповая работа, направленная на искоренение и предупреждение ошибок определенной части учащихся. Таким образом, групповая работа способствует совершенствованию фронтальной, обогащает ее, делает гибкой и управляемой.
Приемы сочетания фронтальной, групповой и индивидуальной форм работ зависят от учебно-воспитальных задач урока, сложности заданий, познавательных возможностей учащихся.
Фронтальная работа успешно применяется при ознакомлении с новым, одинаково трудным для всех учащихся материалом. Но так как усвоение нового материала проходит у учащихся разными темпами, то с некоторыми из них необходима дополнительная доработка нового материала по группам. Так осуществляется переход от фронтальной работы к групповой.
При первичном закреплении знаний, как правило, выделяются сочетания групповой и индивидуальной работы; систематизация усвоенных знаний обобщается фронтально.
При последующем закреплении изученного выделяются следующие сочетания форм работ: а) закрепление осуществляется фронтально, групповая и индивидуальная работы имеют цель углубления знаний; б) закрепление изученного осуществляется в группах и индивидуально, фронтальная работа посвящается подведению итогов усвоения.
На этапе совершенствования (обобщение и систематизация) знаний выделяются следующие приемы сочетания этих форм: а) первичное применение знаний в измененных условиях и выполнение различных работ творческого характера осуществляется фронтально; приобретенные умения используются в групповой и индивидуальной работе; б) групповые и индивидуальные формы посвящены обобщению и систематизации знаний; применение знаний осуществляется во фронтальной работе.
Дифференциация заданий по математике в лицее осуществляется по следующим признакам: а) по степени самостоятельности познавательных действий, необходимых для выполнения задания; б) по степени трудности их выполнения каждым учащимся.
В свою очередь все дифференцированные задания различаются по их дидактической цели. Они могут быть направлены: на подготовку лицеистов к восприятию нового материала; на самостоятельное усвоение учащимися новых знаний; на первичное закрепление, расширение и совершенствование усвоенных знаний; на выработку, закрепление и совершенствование умений и навыков; на выполнение домашних заданий.
3. Дифференцированный контроль знаний, умений и навыков учащихся при обучении математике
3.1 Дифференцированный подход в обучении математике на современном этапе развития общеобразовательной школы
В последние годы значительно усилился интерес учителей к проблеме дифференцированного подхода в обучении математике на различных ступенях математического образования. Этот интерес во многом объясняется стремлением учителей так организовать учебно-воспитательный процесс, чтобы каждый учащийся был оптимально занят учебно-воспитательной деятельностью на уроках и в домашней подготовке к ним с учетом его математических способностей и интеллектуального развития, чтобы не допускать пробелов в знаниях и умениях учащихся, а в конечном итоге дать полноценную базовую математическую подготовку учащимся обычного класса. Такой организации обучения математике требует современное состояние нашего общества, когда в условиях рыночной экономики от каждого человека требуется высокий уровень профессионализма и такие деловые качества как предприимчивость, способность ориентироваться в той или иной ситуации, быстро и безошибочно принимать решение.
Математика объективно является наиболее сложным предметом, требующим более интенсивной мыслительной работы, более высокого уровня обобщений и абстрагирующей деятельности. Поэтому невозможно добиться усвоения математического материала всеми учащимися на одинаково высоком уровне. Даже ориентировка на "среднего" учащегося в обучении математике приводит к снижению успеваемости в классе, к издержкам воспитательного характера у ряда учащихся (потеря интереса к математике, порождение безответственности, нежелание учиться и др.).
Признание математики в качестве обязательного компонента образования в большей мере обуславливает необходимость осуществления дифференцированного подхода к учащимся - как к определенным их группам (сильным, средним, слабым), так и к отдельным учащимся. Дифференцированный (групповой и индивидуальный) подход становится необходим не только для поднятия успеваемости слабых учащихся, но и для развития сильных учащихся, причем его понимание не должно сводиться лишь к эпизодическому добавлении в процессе обучения слабо успевающим учащимся тренировочных задач, а более подготовленным - задач повышенной трудности. Более полное понимание дифференциации обучения предполагает использование ее на различных этапах изучения математического материала: подготовки учащихся к изучению нового, введения нового, применения к решению задач, этапа контроля за усвоением и др. Дифференцировано может быть содержание изучаемого материала (выделение обязательного и дополнительного); дифференцировать можно методы (приемы) обучения, варьируя ими с целью оказания различной степени индивидуальной или групповой помощи учащимся при организации самостоятельной работы по изучению нового, при решении задач и др.; дифференцировать можно средства и формы обучения. Опыт передовых учителей показывает, что дифференциация может затрагивать все элементы методической системы обучения и в этом случае она дает наибольший эффект в условиях обычного класса.
В концепции образования дифференциация рассматривается как составная часть и необходимое условие гуманизации и демократизации образования, его перевода на новую культурообразующую базу.
В методической литературе по математике различают два вида дифференциации: уровневая (внутренняя) и профильная.
Уровневая дифференциация выражается в том, что обучение учащихся одного и того же класса в рамках одной программы и учебника проходит на различных уровнях усвоения учебного материала. Определяющим при этом является уровень обязательной подготовки (базовый уровень), который задается образцами типовых задач. На основе этого уровня формируется более высокий уровень овладения материалом - уровень возможностей. Предпринята попытка в разработке образцов задач для итоговых требований к математической подготовке учащихся, претендующих на более продвинутый уровень подготовки.
Уровневая дифференциация предполагает, что каждый учащийся класса должен услышать изучаемый программный материал в полном объёме, увидеть образцы учебной математической деятельности. При этом одни учащиеся воспримут и усвоят учебный материал, предложенный учителем или изложенный в книге, а другие усвоят из него только то, что предусматривается обязательными результатами в качестве минимума. Каждый учащийся имеет право добровольно выбрать уровень усвоения и отчетности в результатах своего учебного труда по каждой конкретной теме (разделу), а возможно и курсу в целом. Задачей учителя является обеспечение поступательного движения учащихся к более высокому уровню знаний и умений.
Профильная дифференциация - это дифференциация по содержанию. Она предполагает обучение разных групп учащихся по программам, отличающимся глубиной и широтой изложения материала. Дифференциация этого вида, как правило, осуществляется через курсы по выбору и профильное обучение. При этом одни учащиеся выберут общекультурный уровень изучения и усвоения учебного материала, другие - прикладной, третьи - творческий, в соответствии со своими интересами, способностями, склонностями и с учетом возможной в будущем профессиональной деятельности.
Учебные задачи в математике рассматриваются как цель и как средство обучения. В силу этого нормативные требования к усвоению того или иного раздела (темы) формулируются и задаются в виде задач различного уровня сложности, решение которых является обязательным или желательным результатом обучения.
Под задачей, следуя психолого-педагогическому определению, будем понимать цель, достижение которой возможно с помощью определенных действий (деятельности) в столь же определенной ситуации. В зависимости от варианта предъявления ученику названных трех компонентов задачи от него будет требоваться выполнение деятельности продуктивного или репродуктивного характера. Тем самым задается различный уровень усвоения:
|
Уровни усвоения |
Компоненты задачи |
Деятельность ученика |
||
|
Цель |
Задачная ситуация |
Способ решения (действия) |
||
|
1 Узнавание, понимание |
задана |
задана (типовая) |
внешне задан в виде правила (алгоритма) |
по аналогии с решенной задачей |
|
2 Алгоритмический |
задана |
задана (типовая) |
явно не задан, воспроизводится по памяти, как ранее известный в виде алгоритма |
репродуктивно-алгоритмическая |
|
3 Эвристический |
задана |
задана неявно, требуется уточнение (не типовая, но знакомая) |
не задан, требуется видоизменить известный или получить новый комбинацией из нескольких известных |
продуктивно-эвристическая |
|
4 творческий |
задана в общей форме |
не задана, требуется найти подходящую ситуацию (проблемная) |
не задан, создается новый, ранее не известный |
продуктивно-творческая, исследовательская |
В основу вычленения уровневой дифференциации задач может быть положен критерий субъективной новизны ситуации для решающего. Выделим три уровня сложности учебных задач, которые соответствуют 1, 3 и 4 уровням усвоения опыта, приведенным в таблице.
2 уровень. Задачи решаются учащимися на основе только что изученных знаний и способов деятельности, которые они воспроизводят по памяти. Это типовые задачи на непосредственное применение теорем, определений, правил, алгоритмов, формул и т. п. в различных конкретных ситуациях, не требующих преобразующего воспроизведения структуры усвоенных знаний. Готовность учащихся выполнять воспроизводящую деятельность этого уровня рассматривается как обязательный результат обучения, который вычленен в большинстве школьных учебников.
3 уровень. Задачи требуют от учащихся применения усвоенных знаний и способов деятельности в нетиповой, но знакомой им ситуации, которое сопровождается преобразующим воспроизведением. Учащийся, комбинируя известные приемы решения задач, уточняет, проясняет задачную ситуацию и выбирает соответствующий способ деятельности. К такого рода задачам относятся так называемые комбинированные задачи, требующие применения различных элементов знаний уже усвоенных на I уровне.
4 уровень. Задачи этого уровня требуют от учащегося преобразующей деятельности при избирательном применении усвоенных знаний и приемов решения в относительно новой для него ситуации, заключающейся в использовании действий 2 и 3 уровней, в конструировании новых для учащегося систем, позволяющих решить предложенную задачу. В процессе поиска решения задачи учащийся, используя интуицию, смекалку, сообразительность, сам выходит на неизвестный для себя способ решения, открывая новые знания. Деятельность учащегося постепенно освобождается от готовых образцов, сложившихся установок и приобретает гибкий поисковый характер.
Охарактеризованные три уровня умения решать математические задачи характерны для итогового контроля по теме (разделу), курсу. В процессе усвоения математических знаний необходимо выделить еще один уровень (в таблице он назван первым), который показывает сформированность их на уровне понимания, узнавания. Учащийся решает типовую задачу на основе образца иди подробной инструкции, пользуется учебником, справочником, записями в тетради. На этом уровне он демонстрирует своё понимание соответствия условия и цели задачи тому способу решения, который использует, но еще не его запоминание.
В процессе освоения умения решать задачу того или иного типа некоторые учащиеся долго не могут запомнить прием решения и даже на итоговом контроле показывают только умения 1 уровня. Учащиеся, которые путают способ решения и формулу, по которой решается задача не могут найти ее в учебнике и с ее помощью решать задачу, т.е. не освоили умение 1 уровня, без этого не смогут освоить 2 уровень - уровень решения типовой задачи по памяти. Поэтому недопустимо игнорировать контроль 1 уровня.
Ознакомление учащихся с уровнями усвоения материала позволяет им рассчитывать свои силы, в ходе изучения темы они могут самостоятельно и осознанно оценить свои знания и возможности.
3.2 Уровневое тестирование
Одним из наиболее эффективных и удобных методов уровневой диагностики математических знаний, умений и навыков по сравнению с традиционными видами контроля (зачеты, опросы, устные контрольные работы и др.) являются тесты.
Тест состоит из нескольких коротких задач (вопросов), на которые учащийся должен реагировать или составлением ответа (что часто представляет собой заполнение пробелов), или комбинированием предложенных ему готовых ответов (выбор правильного ответа, объединение подходящих элементов, суждение о правильности представленных ответов и т.д.), а чаще всего включает в себя образец правильного решения каждой задачи (эталон).
Чтобы правильно составить тест для контроля уровня усвоения математического содержания, нужно знать основные требования, предъявляемые к предметным тестам: 1) функциональная валидность - соответствие проверяемому уровню усвоения; 2) содержательная валидность - соответствие содержанию проверяемого материала; 3) простота - включение в тест задач одного уровня, проверяющих усвоение одного факта или одного действия, 4) определенность - обеспечение общепонятности формулировок задач для всех учащихся; 5) однозначность - создание эталона, соответствующего полному и правильному решению задач.
Приведем примеры уровневых тестов различных видов, которые соответствуют типологии В. П. Беспалько.
Тесты 1 уровня. Они нацелены на выявление: 1) умение выполнять действие "подведения под понятие" при внешне заданных правилах действования ("с подсказкой"); 2) умения отличать правильное использование знания от неправильного. Тесты этого уровня должны требовать от ученика выполнение деятельности по узнаванию.
1. Тест опознания:
Является ли последовательность арифметической прогрессией: 1) 3; 6; 9; 12; ... ; 2) 2; 4; 8, 16; ...; 3) 10; 7; 4; 1; ...; 4) 100; 10; 1; 0,1; ...
Эталон: 1) - да; 2) - нет; 3) - да, 4) - нет.
2. Тест на различение:
Укажите арифметические прогрессии, разность которых равна 3: 1) 3; 6; 9; 12; ...; 2) 3, 0; –3; –6;...; 3) 1; 3; 9; 27;...; 4) –5; –2; 1; 4; ...
Эталон: 1) - да; 2) - нет; 3) - нет; 4) - да.
3. Тест на классификацию:
Укажите, какая из предложенных последовательностей является; а) арифметической прогрессией; б) геометрической прогрессией: 1) 3; 9; 27; …; 2) 1; 0,1; 0,01; …; 3) –40; –20; 0; …; 4) 23; 17,2; 11,4; …; 5) 8; 8; 8; …
Эталон: 1)- б); 2) - б); 3) -а); 4) -а); 5) -а) и -б).
4. Тест с пробелами:
Известны два члена арифметической прогрессии. Дополните неизвестный член прогрессии: 1) 4; 10; …; 2) 8; 5; …; 3) 3; …; 13; 4) 40; …;10; 5) …; 5; 9; 6) …; 10; 6.
Эталон: 1) - 16; 2) - 2; 3) - 8; 4) - 25; 5) - 1; 6) -14.
5. Математический диктант:
Учащиеся на слух воспринимают формулировки определений, теорем, фактов, формул и т. п. и определяют верно или неверно приведена учителем формулировка, ответ фиксируют в тетради в виде символов: "" - верно, "_" - неверно.
Верна или нет формулировка:
1) Две прямые называются параллельными, если они не пересекаются.
2) Два отрезка называются параллельными, если они не имеют общих точек.
3) Два луча называются параллельными, если они лежат на параллельных прямых.
4) Если при пересечении двух прямых третьей соответственные углы равны, то прямые параллельны.
5) Если при пересечении двух прямых третьей односторонние углы равны, то прямые параллельны.
Тесты 2 уровня. Они нацелены на выявление: 1) умения воспроизводить математическое содержание по памяти; 2) умения решать типовые задачи самостоятельно, воспроизводя по памяти способ решения.
1. Тест - подстановка:
Запишите формулы, которые надо использовать при решении следующих задач:
1) Найдите сумму десяти членов арифметической прогрессии, если a>1> = 5, a>10>= 50.
2) Найдите сумму двадцати членов арифметической прогрессии: –23, –20.
3) В арифметической прогрессии a>1> = 20; d = 5. Найдите двадцатый ее член.
4) В арифметической прогрессии a>4> = 1,7; a>6> = 3,2. Найдите a>5>.
5) Какой номер имеет член арифметической прогрессии, равный - 21, если первый член прогрессии равен 4, а равность рана 3.





2. Конструктивный тест:
1) Напишите формулу для нахождения двадцатого члена арифметической прогрессии.
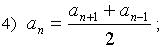
Эталон: a>20> = a>1>+19d.
2) Известны шестой и седьмой члены арифметической прогрессии. Напишите формулу, с помощью которой можно найти разность.
Эталон: d = a>7> – a>6>.
3. Типовая задача.
Любая задача, взятая из обязательных результатов обучения.
Тесты 3 уровня. Нацелены на выявление: 1) умения воспроизводить и преобразовывать усвоенную информацию; 2) умения применять усвоенные способы решения типовых задач в нетипичной ситуации, но отчасти знакомой ученику.
1. Найдите сумму членов прогрессии от 10 по 20 включительно, если первый член прогрессии равен –10, а разность равна 3.
2. Найдите сумму первых десяти членов арифметической прогрессии: 2; 5; ...., стоящих на четных местах.
3. Найдите первый член арифметической прогрессии, если a>10> = 4, a>18> = 20.
Тесты 4 уровня. Они нацелены на выявление творческого уровня усвоения материала, сопровождающееся возможностью учащегося переносить усвоенные методы (приемы) решения задач в совершенно новую для него задачную ситуацию, находить новые способы решения задачи.
Задачи математических олимпиад часто соответствуют этому уровню сложности.
Во время текущего математического контроля можно предлагать учащимся задачи, выводящие учащегося на субъективно новую информацию. Такие задачи особенно уместны для коллективного обсуждения решения на уроке. Но на итоговом контроле такие задачи лучше не предлагать, а ограничиться задачами, в которых субъективная новизна проявляется не в новом для учащегося способе деятельности, а в новом, ранее не встречающемся сочетании приемов решения типовых задач.
1. Докажите, что для любых чисел а и b значения выражений

образуют арифметическую прогрессию.
2. Сумму n членов некоторой последовательности можно найти по формуле:

Будет ли эта последовательность арифметической прогрессией?
Решая первую задачу, ученик должен показать умение обобщить изученные свойства числовой арифметической прогрессии на алгебраические выражения, используемые в тексте. Решая вторую задачу, учащийся ставится в совершенно новую для него ситуацию, когда последовательность задана формулой суммы, и необходимо, прояснив ситуацию, определить, является ли последовательность арифметической прогрессией. Решая эту задачу, учащийся выводит новые соотношения, формулы, свойства.
3.3 Уровневая (балльная, рейтинговая) контрольная работа
Уровневая контрольная работа, ориентированная на уровневый подход в обучении математике, реализует принцип открытых перспектив, представляет учащемуся возможность выбора уровня своего обучения и уровня контроля.
Схема уровневой контрольной работы, составленной по критерию новизны и самостоятельности решения, может быть следующей:
Контрольная работа состоит из 10 задач, из которых учащемуся предлагается решить любые 5. Заранее сообщаются уровни сложности. Задачи 1-5 относятся к I уровню (решение по готовой формуле, известному правилу, алгоритму, закону...). Задачи 1-5 чаще всего 1 - 2 шаговые, проверяющие сформированность основных (базовых) умений и навыков темы.
Задачи 6 - 8 относятся ко II уровню, т.е., решая их, ученик должен показать умения использовать знания в усложненной, комбинированной, но знакомой ситуации. Задачи, предлагаемые учащимся, должны быть известны, но учащийся должен прояснить ситуацию и выбрать среди известных способов решения подходящий для этой задачи.
Задачи 9 - 10 относятся III уровню сложности и позволяют выявить более высокий уровень освоения темы, выявить умение применять типовые знания и умения в новой ситуации.
Субъективная новизна задач не должна достигаться включением новых для учащегося объектов, поскольку знание их не может быть получено самостоятельным путем в процессе решения. Все новые термины, специфические обороты речи должны рассматриваться в процессе обучения до контроля.
Субъективная новизна должна проявляться только в сочетании объектов и отношений в задаче, т.е. в их системе, которая выносится для контроля на III уровень. Творчество учащегося проявляется здесь в самостоятельном конструировании систем действий, ведущих к решению.
Норма оценивания работы, так же как и структура работы, должна быть известна учащимся до контрольной.
Задачи 1-5 оцениваются в 1 балл.
Задачи 6 - 8 в 2 балла.
Задачи 9, 10 - в 3 балла в соответствии со сложностью.
На контрольной работе учащийся может решать любое число задач, но заранее оговаривается, что зачет (подсчет баллов) ведется только по 5 задачам (наиболее сложных из решенных), хотя проверяются все решенные. Перед учащимся ставится цель, выполняя контрольную работу, набрать наибольшее количество баллов.
За набранные 5-6 баллов ставится отметка "3", за 7 - 8 баллов отметка "4", за 9 -10 баллов отметка "5".
Таким образом, чтобы получить отметку "4", учащийся должен решить хотя бы 2 комбинированные задачи II уровня, на отметку "5" необходимо решить одну из трёхбалльных задач, показав тем самым творческий уровень усвоения материала. Норма оценивания контрольной работы (количество баллов на отметку "3","4","5") может варьироваться в зависимости от подготовленности класса, сложности материала и т.п.
Если учащийся, решая 2-х и 3-х балльную задачу, допустил ошибку, но показал, что понимает способ решения, довел его до конца, то задание может быть оценено меньшим количеством баллов (если основной проверяемый материал выполнен верно, а ошибка на неосновной материал может расцениваться как случайная, если задача скомбинирована из двух типовых и учащийся допустил ошибку, решая задачу одного типа, а задача другого типа решена верно и т.д.)
Уровневая контрольная работа позволяет:
– уменьшить стресс учащихся на контрольной работе, т. к. задачи типовой части известны ученикам (типы задач);
– сделать учащегося субъектом учебного процесса, т. к. он выбирает задачи для решения в соответствии со своим уровнем усвоения темы и в этом выборе нет произвола учителя;
–перенести цели контроля с выяснения того, что он не знает, на контроль того, что он знает (гуманизировать контроль);
– сориентировать учащихся на творческое усвоение материала, а не на зубрежу.
Приведем примерные варианты итоговых и тематических уровневых контрольных работ для различных классов. Следует напомнить, что задачи 4 уровня приводятся как примерные. Если контрольная работа составляется по критерию субъективной новизны и ориентирована на контроль развития учащихся, то задания 4 уровня должны быть неизвестны учащимся.
Контрольные работы, предлагаемые в методической литературе, можно легко преобразовать в уровневые с возможностью выбора. Для этого увеличивается до 5 базовый набор первых задач за счет включения типовых и перевода комбинированных задач во второй уровень. Задачи 4 уровня подбираются в соответствии с содержанием задач, предлагаемых на уроке с учетом критерия субъективной новизны.
Уровневые итоговые контрольные работы
Алгебра (за курс девятилетней школы).
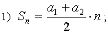
1. Найдите значение выражения:

при а = 12, b = 5.
2. Упростите выражение:

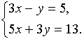
3. Решите систему уравнений:

4. Докажите тождество:

5. Произведение двух положительных чисел равно 96. Одно из них на 4 меньше другого. Найдите эти числа.
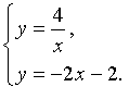
6. Решите графически систему:

7. Упростите выражение:

8. При каких значениях х выражение

имеет смысл?
9. При каких значениях k квадратное уравнение

а) не имеет корней;
б) имеет один корень;
в) имеет два корня.
10. Две бригады, работая вместе, могут выполнить некоторую работу за 8 часов. Первая бригада, работая одна, когда бы выполнить эту работу на 12 часов быстрее, чем вторая бригада. За сколько часов могла бы выполнить всю работу первая бригада, если бы она работала одна?
Геометрия (за курс девятилетней школы)
1. Из точки D, лежащей на биссектрисе угла В, опущены перпендикуляры DА и DC на стороны угла. Докажите, что DA = DC.
2. Постройте биссектрису данного тупого угла.
3. Найдите площадь прямоугольного треугольника, если его гипотенуза равна 10 см, а его катет - 6 см.
4. Найдите катеты прямоугольного треугольника, если его гипотенуза равна 12 см, а один из его углов 60°.
5. Основания прямоугольной трапеции равны 6 см и 10 см, а острый угол равен 45°. Найдите высоту трапеции.
6. Даны векторы

Найдите длину вектора

7. Найдите сторону квадрата, если его диагональ равна 8 см.
8. Найдите площадь равнобедренного треугольника по основанию 6 см и углу при основании 65°.
9. Докажите, что медианы, проведенные к боковым сторонам равнобедренного треугольника, равны.
10. Найдите радиус окружности, вписанной в прямоугольный треугольник с катетами 5 cм и 12 см.
Логарифмы (11 класс).
1. Найдите область определения функции:

2. Найдите x, если:

3. Решите уравнение:

4. Решите уравнение:

5. Решите неравенство:

6. Найдите наибольший корень уравнения:

7. Решите систему уравнений:

8. Решите неравенство:

9. Решите неравенство:

10. Решите уравнение:

11. Решите систему уравнений:

Тела вращения (11 класс).
1. Цилиндр получен вращением прямоугольника со сторонами 4 см и 6 см вокруг большей стороны. Найдите диагональ осевого сечения.
2. Конус получен вращением прямоугольного треугольника с катетом 12 см и гипотенузой 18 см вокруг большего катета. Найдите радиус конуса и площадь осевого сечения.
3. Сечение шара плоскостью, отстоящей от центра на расстоянии 4 см, имеет радиус 3 см. Найдите радиус шара.
4. Осевое сечение цилиндра
- квадрат, площадь которого 16
.
Найдите площадь основания цилиндра.
5. Радиус основания цилиндра равен 10 см, высота - 6 см. На каком расстоянии от оси цилиндра находится сечение, имеющее форму квадрата.
6. В конус вписана правильная треугольная пирамида, сторона основания которой равна а, боковое ребро составляет с плоскостью основания угол . Найдите площадь осевого сечения конуса.
7. Найдите радиус шара, описанного около правильной четырехугольной пирамиды, если сторона основания равна а, двугранный угол при основании равен α.
Примечание: 1-4 задачи 1 уровня (1 балл), 5-6 задачи 2 уровня (2 балла), 7 задача 3 уровня (3 балла).
Норма оценивания: на отметку "5" - 6-7 баллов, "4" - 5 -4 балла, "3" - 2-3 балла.
Алгебра и начала анализа (10 класс)
1. Найдите область определения функции:

2. Решите уравнение 2 cosx = 1.
3. Найдите

4. Докажите тождество:

5. Найдите угловой коэффициент касательной к графику функции

6. Исследуйте функцию

и постройте ее график. Найдите по графику наибольшее и наименьшее значения функции на отрезке [–0,5; 3].
7. Решите уравнение:

8. Напишите уравнение касательной к графику функции

9. Среди всех равнобедренных треугольников данного периметра 2р найдите треугольник наибольшей площади.
10. Решите неравенство:

11. На графике функции

найдите точки, расположенные в верхней полуплоскости, произведение расстояний от каждой из которых до осей координат является наибольшим.
Алгебра и начала анализа (за курс средней школы)
1. Найдите область определения функции:

2. Решите уравнение:

3. Решите уравнение:

4. Решите неравенство:

5. Вычислите:

6. Решите уравнение:

7. Исследуйте функцию с помощью производной и постройте ее график:

8. Вычислите площадь фигуры, ограниченной линиями:

9. На графике функции

найдите точки, расположенные в верхней полуплоскости, произведение расстояний от каждой из которых до осей координат является наибольшим.
10. При каком положительном а площадь S криволинейной трапеции, ограниченной линиями

принимает наименьшее значение.