Теория вероятностей (работа 8)
Министерство образования и науки Российской Федерации
Бузулукский гуманитарно-технологический институт (филиал) государственного образовательного учреждения высшего профессионального образования
«Оренбургский государственный университет»
Факультет заочного обучения
Кафедра физики, информатики, математики
Контрольная работа
по дисциплине Математика
Руководитель работы:
Шабалина Л.Г.
Исполнитель:
Студент з-09 ПГС группы
Сушков Е.А.
Бузулук 2010
Задание 1
1. Рабочий обслуживает три станка, работающих независимо друг от друга. Вероятность того, что в течение часа 1-й станок не потребует внимания рабочего, равна 0,9; для второго - 0,8; для третьего – 0,85.
Какова вероятность того, что в течение часа:
а) ни один станок не потребует внимания рабочего;
б) все три станка потребуют внимания рабочего;
в) какой-нибудь один станок потребует внимания рабочего;
г) хотя бы один станок потребует внимания рабочего?
Решение: I II III
P 0, 9 0, 8 0, 85
а) А (i =1,2,3) – не потребует внимания станок в течение часа
В – событие, где все 3 станка не потребуют внимания рабочего в течение часа
Р (В) = Р (А1 × А2 × А3) = Р(А1) × Р(А2) × Р(А3) = 0,9 × 0,8 × 0,85 = 0,612
б) А (i =1,2,3) – не потребует i-й внимания станок
Ᾱ (i =1,2,3) – потребует i-й внимания станок, независимое событие
Р (Ᾱ 1) = 1 – 0,9 = 0,1
Р (Ᾱ 2) = 1 – 0,8 = 0,2
Р (Ᾱ 3) = 1 – 0,85 = 0,15
Р (Ᾱ 1 × Ᾱ 2 × Ᾱ 3) = (0,1 × 0,2 × 0,15) = 0,003
в) Ᾱ 1 = 0,1; Ᾱ 2 = 0,2; Ᾱ 3 = 0,85
Аi – один станок потребует внимания рабочего в течение часа
Р (В) = Р (А1 × Ᾱ 2 × А3 + Ᾱ 1 × А2 × А3 + А1 × А2 × Ᾱ 3) = (0,9× 0,2 × 0,85 + 0,1 × 0,8 × 0,85 + 0,9 × 0,8 × 0,15) = 0,329
г) Найдём вероятность через противоположное событие, т.е. ни один станок не потребует внимания рабочего в течение часа
Р (А1 × А2 × А3) = Р (А1) × Р (А2) × Р (А3) = 0,9 × 0,8 × 0,85 = 0,612
Р ( С) = 1 – 0,612 = 0,388
Ответ: а) вероятность равна 0,612, что в течение часа ни один станок не потребует внимания рабочего; б) вероятность равна 0,003, что в течение часа все три станка потребуют внимания рабочего; в) вероятность равна 0,329, что в течение часа какой-нибудь один станок потребует внимания рабочего; г) вероятность равна 0,388, что в течение часа хотя бы один станок потребует внимания рабочего.
Задание 2
Ящик содержит 10 деталей, среди которых 3 стандартные. Найти вероятность того, что среди отобранных 5 деталей окажутся: а) только 2 стандартные детали; б) все детали нестандартные; в) все детали стандартные; г) хотя бы одна деталь стандартная.
Решение:
а) число способов, где взяли 5 деталей из 10 детали, можно подсчитать по формуле:
С2 – число способов, где взяли 2 стандартные детали из 3-х нестандартных
С3 – число способов, где взяли 3 стандартные детали из 7-ми нестандартных
С5 – всего способов, где взяли 5 стандартных деталей из 10-ти
С2 =__3!___ = 3 С3 = __7!___ = 35 С5 = __10!___ = 252
2! × 1! 3! × 4! 5! × 5!
С3 × С7 = 3 × 35 = 0,417
С5 252
б) С7 – число способов выбора, где взяли 5 деталей из 7-ми
С5 = __7!__ = 21
5! × 2!
Число выбора деталей считается в сочетании С5 = 1
С7 – число способов, где взяли 5 деталей из 7-ми
С10 – всего способов, где взяли 5 деталей из 10-ти
Искомая вероятность Р ( Д):
Р (Д) = С7 × С3 = 21 × 1 = 0,083
С10 252
в) Событие, где взяли 5 стандартных деталей из 3-х стандартных деталей невозможно. Вероятность равна нулю.
г) Найдём искомую вероятность через противоположное событие:
С7 – число способов, где взяли 5 нестандартных деталей из 7-ми
С3 – число способов выбора из 3-х
С10 – всего способов, где взяли 5 деталей из 10-ти
С7 × С3 = 0,083 - искомая вероятность равна результату под пунктом б). С10
Ответ: а) Если среди отобранных 5 деталей окажутся только 2 стандартные детали, то вероятность равна 0,417; б) если среди отобранных 5 деталей окажутся все детали нестандартные, то вероятность равна 0,083; в) если среди отобранных 5 деталей окажутся все детали стандартные, то вероятность равна 0; г) если среди отобранных 5 деталей окажется, хотя бы одна деталь стандартная, то вероятность равна 0,083.
Задание 3
Имеется 2 ящика изделий, причем в одном ящике все изделия доброкачественны, а во втором - только половина. Изделие, взятое наудачу из выбранного ящика, оказалось доброкачественным. На сколько отличаются вероятности того, что изделие принадлежит первому и второму ящику, если количество изделий в ящиках одинаково?
Решение: I ящик II ящик
Доброкачественные 50 × 50 изделия Н1 – взяли из I ящика с доброкачественными изделиями, то Р ( Н1) = 0,5
Н2 – взяли из II ящика, то Р ( Н2) = 0,5
Событие А, где взяли доброкачественную деталь, Р ( А ǀ Н1) = 1
Событие А ǀ Н1 – доброкачественная деталь из I ящика
Событие А ǀ Н2 – из II ящика, Р ( А ǀ Н2) = 0,5
Тогда искомая вероятность Р ( А ) =Р ( Н1 ) × Р ( А ǀ Н1 ) + Р ( Н2 ) × Р (А ǀ Н2)
Р ( А) = 0,5 × 1 + 0,5 × 0,5 = 0,5 + 0,25 = 0,75
Р ( Н1 ) × Р ( А ǀ Н1 ) ˃ Р ( Н2 ) × Р ( А ǀ Н2)
Ответ: Если изделие принадлежит первому и второму ящику, и количество изделий в ящиках одинаково, то вероятности отличаются на 0,75.
Задание 4
В ящике находятся изделия, сделанные на трех станках: 20 – на первом станке, 18 - на втором и 14 - на третьем. Вероятности того, что изделия, изготовленные на первом, втором и третьем станках, отличного качества, соответственно, равны 0,7; 0,85; 0,9. Взятое наудачу изделие оказалось отличного качества. Какова вероятность того, что оно изготовлено на втором станке?
Решение: I II III
20 18 14
0,7 0,85 0,9
Р ( А ǀ Н1 ) = 0,7 Р ( А ǀ Н2 ) = 0,85 Р ( А ǀ Н3 ) = 0,9
Р ( А) = 0,7 × 0,85 × 0,9 = 0,536
А – взятое изделие отличного качества из II станка
Искомая вероятность равна:
Р ( Н2 ǀ А ) = ________ Р ( Н2 ) × Р ( А ǀ Н2)
Р ( Н1 ) × Р ( А ǀ Н1 ) + Р ( Н2 ) × Р ( А ǀ Н2 ) + Р ( А ǀ Н3)
Где Н1, Н2, Н3 – соответственно изготовлено изделий на станках I, II и III.
Р ( А ǀ Н1) = 0,7 – вероятность отличной детали I станка
Р ( А ǀ Н2) = 0,85 – вероятность отличной детали II станка
Р ( А ǀ Н3) = 0,9 – вероятность отличной детали III станка
Р ( Н2 ǀ А) = ________ 0,346 × 0,85 ______________ = 0,294 = 0,365
0,385 × 0,7 + 0,346 × 0,85 + 0,269 × 0,9 0,806
Ответ: Вероятность равна 0,365, что взятое наудачу изделие оказалось отличного качества изготовлено на втором станке.
Задание 5
Найти вероятность того, что событие А произойдет не менее 2 раз в 4 независимых испытаниях, если вероятность наступления события А в одном испытании равна 0,6.
Решение:
Событие А произойдёт не менее 2-х раз в 4 независимых испытаниях
Р ( А ) = р Р ( А) = Сm × рm × qn - m
Р = 0,6
q = 1 – р = 1 – 0,6 = 0,4
– вероятность противоположного события. Нет наступления события А в 1-ом испытании.
Найдём произведение npq и определим формулу вычисления:
вероятность случайный величина интегральный
n = 4 npq = 4 × 0,6 × 0,4 = 0,96
Можно использовать формулу Бернули:
Р ( А) = С2 × p2 × q2 + С3 × р3 × q1 + С4 × р4 × q0
Найдём через противоположное событие:
Р ( А) = 1 – С0 × p0 × q4 + С1 × p1 × q3 = 1 – 1 × 1 × (0,4)4 + 4 × 0,6 × (0,4)3 = 1 – 0,0256 + 4 × 0,6 × 0,064 = 0,9744 + 0,1536 = 1,128
С4 = __4!__ = 4
1! × 3!
Ответ: Если событие А произойдет не менее 2 раз в 4 независимых испытаниях, то вероятность равна 1,128.
Задание 6
Вероятность того, что пара обуви, наудачу из изготовленной партии, окажется 1-го сорта, равна 0,7. Определить вероятность того, что из 2100 пар, поступающих на контроль, число пар первосортной обуви окажется не менее 1000 и не более 1500.
Решение:
Для решения задачи используем интегральную формулу Муавра – Лапласа.
Вероятность событий Рn (m1 ˂ m ˂ m2) = Ф (х2) – Ф (х1)
р = 0,7; n = 2100; m1 = 1000; m2 = 1500; q = 0,3
х1 = _m1 – np_ = 1000 – 2100 × 0,7 = 1000 – 1470 = – 470 = – 22,38
√ npq √2100 × 0,7 × 0,3 √441 21
х2 = _m2 – np_ = 1500 – 2100 × 0,7 = 1500 – 1470 = _30_ = 1,43
√ npq √2100 × 0,7 × 0,3 √441 21
Ф ( – х) = – Ф (х) Ф (– 22,38) = 0,5 Ф (– 22,38) = 0,4236
Ф (х2) – Ф (х1) = Ф (х2) + Ф (х1) = 0,5 + 0,4236 = 0,9236
Ответ: Если число пар первосортной обуви окажется не менее 1000 и не более 1500, то из 2100 пар, поступающих на контроль, равна вероятности 0,9236.
Задание 7
Случайная
величина Х задана интегральной функцией
F(x).
Требуется: а) найти дифференциальную
функцию f(х)
(плотность вероятности), б) найти
математическое ожидание и дисперсию
Х, в) построить графики интегральной и
дифференциальной функций, г) вероятность
попадания случайной величины Х в интервал
.
Решение:
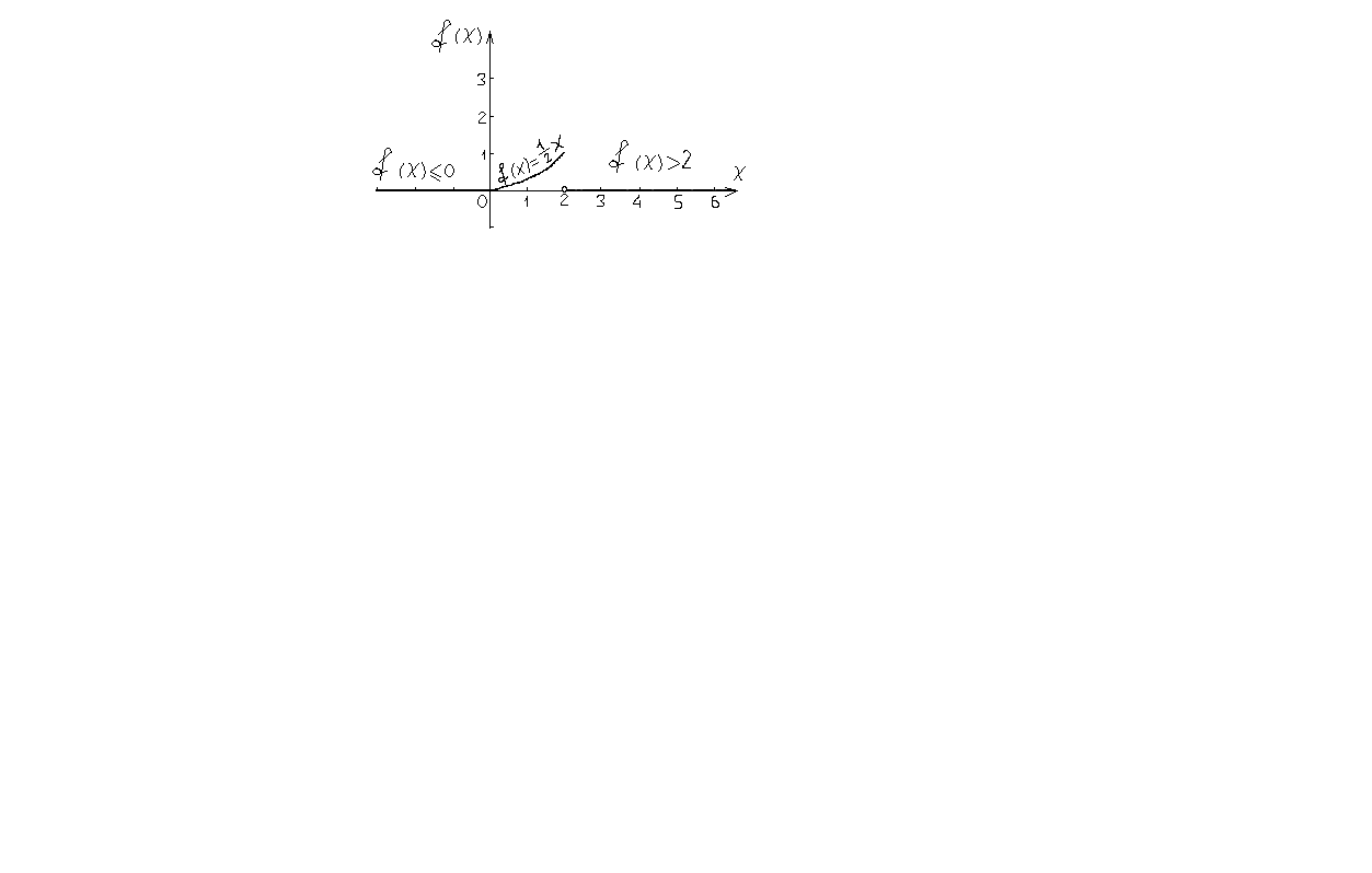
По определению Fʹ (х) = f (х)
0, при х ≤ 0
f ( х) = х2 , при 0 ˂ х ≤ 2
1, при х ˃ 2
Fʹ ( х ) = 0ʹ = 0 Fʹ ( х ) = ( х2 ÷ 4 )ʹ = 0,5х Fʹ ( х ) = 1ʹ = 0
в) Построение графиков интегральной и дифференциальной функции.


б) М (Х) = х f (х) dx = 0 dx + х × _1_ dx + 0 dx =_ 1_ × х3 ÷ 3 = х3 ÷ 6 =
2 2 =_ 23_ – _03 = 8 – 0 = 4 = а
6 6 6 3
Д (Х) = (х – _4_)2 f (х) dx = 0 (х – _4)2 f (х) dx + (х – 4)2 1 х dx +
3 3 3 2
+ (х – 4_)2 f (х) dx = (1 х3 – 4 х2 + 8 х) dx = (1_× х4 - 4_× х3 + 8_× х2) =
3 2 3 9 2 3 9
= 1_ × 24 – 4 × 23 + 8_ × 22 = 16 – 32 + 16 = 144 – 128 = 16 = _2_
2 4 3 3 9 2 8 9 9 72 72 9
г) Р ( 1 ˂ Х ˂ 2) = F (в) – F (а) 22 × 1 – 12 × 1 = _1 – _1 = _1_ ––
3 4 3 4 9 12 12
вероятность попадания в этот промежуток.
Ответ: М (Х) = _4 = а ; Д (Х) = _2 ; Р ( 1 ˂ Х ˂ 2) =_ 1_
3 9 12
Задание 8
Найти вероятность попадания в заданный интервал ( , ) нормально распределенной случайной величины Х, если известны ее математическое ожидание а и среднее квадратическое отклонение .
= 2, = 13, а = 10, = 4.
Решение:
Если случайная величина Х нормально распределена, то она является непрерывной случайной величиной, и М (Х) вычисляется, как: ( + ) ÷ 2, а Д (Х) вычисляется, как: (-) ÷ (в-а), и связаны формулой √ Д.
Тогда вероятность: Р { Х ϵ [,] } будет вычисляться по формуле:
Ф ( ( – ) ÷ ) – Ф ( ( – ) ÷ ).
М (Х) = ( + ) ÷ 2 = (2 + 13) ÷ 2 = 7,5
Д (Х) = ( - )2 ÷ 12 = 9 ÷ 12 = 0,75
= √ Д = √ 0,75 = 0,87 × 100 = 87
То искомая вероятность находится по формуле:
Р ( ˂ Х ˂ ) = Ф ( ( – ) ÷ ) – Ф ( ( – ) ÷ ) = Ф ((13 – 10) ÷ 4) –
Ф ((2 – 10) ÷ 4) = Ф (0,75) – Ф (– 2) = Ф (0,75) + Ф (2) = 0,2734 + 0,5 =
=0,773
Где Фх – функция Лапласа, которую находим по таблице.
Ответ: Вероятность попадания в заданный интервал ( , ) нормально распределенной случайной величины Х, равна 0,773.
Задание 9
Найти
доверительные интервалы для оценки
математического ожидания нормального
распределения с надежностью 0,95, если
выборочная средняя
,
объем выборки n
и среднее квадратическое отклонение
.
=
12, 15, n
= 169
= 5
Решение:
Находим доверительные интервалы: х – t γ ˂ а ˂ х + t γ
√ n √ n
где Ф (t) = Ф (γ ÷ ) → t = (γ ÷ ) = (0,95 ÷ 5) = 0,19
х – t γ = 12,15 – 0,19 × 0,95 = 12,15 – 0,01 = 12,14
√ n √ 169
х + t γ = 12,15 + 0,19 × 0,95 = 12,15 + 0,01 = 12,16
√ n √ 169
Ответ: Доверительные интервалы 12,14 ˂ а ˂ 12,16.
Литература
Севастьянов Б.А., Чистяков В.П, Зубков А.М. Сборник задач по теории вероятностей – М.: Наука, 1980.
Шипачев В.С. Высшая математика. М.: Высшая школа, 2004.
Чистяков В.П. Курс теории вероятности, М.: 2001.
Гмурман В.Е. Теория вероятностей и математическая статистика.- М.: Высшая школа, 2003.
Гмурман В.Е. Руководство к решению задач по теории вероятностей и математической статистике.- М.: Высшая школа, 2003.
Данко П.Е и др. Высшая математика в упражнениях и задачах (I и II часть).-М, 2005.
Богаров П.П., Печинкин А.В. Теория вероятностей. Математическая статистика – М.: 1998.
Венцель Е.С. Теория вероятностей – М.: 1962.
Солодовников А.С. Теория вероятностей М.: Просвещение, 1978.
Виленкин Н.Я., Потапов В.Т. Задачник-практикум по теории вероятности с элементами комбинаторики и математической статистики.
Кремер Н.Ш.: «Теория вероятностей и математическая статистика»; М.ЮНИТИ – Дана, 2003.
