Интегрирование и производная функций
Задание 1
Осуществить интерполяцию
с помощью полинома Ньютона исходных
данных из табл. 1 вычислить значение
интерполяционного полинома в точке
.
Таблица 1
|
Порядковый номер исходных данных |
||||||||||
|
№ |
1 |
2 |
3 |
4 |
5 |
6 |
7 |
8 |
9 |
10 |
|
Х |
1,415 |
1,420 |
1,425 |
1,430 |
1,435 |
1,440 |
1,445 |
1,450 |
1,455 |
1,460 |
|
У |
0,888 |
0,889 |
0,89 |
0,891 |
0,892 |
0,893 |
0,894 |
0,895 |
0,896 |
0,897 |
интерполяция погрешность производная

Решение
Интерполяционный многочлен Ньютона для равноотстоящих узлов записывается в виде

- конечная разность первого порядка
- конечная разность К-го порядка.
Таблица конечных разностей для экспериментальных данных:
|
|
|
|
|
|
|
|
|
|
|
|
|
|
1 |
1,415 |
0,888 |
0,001 |
0 |
0 |
0 |
0 |
0 |
0 |
0 |
0 |
|
2 |
1,420 |
0,889 |
0,001 |
0 |
0 |
0 |
0 |
0 |
0 |
0 |
|
|
3 |
1,425 |
0,89 |
0,001 |
0 |
0 |
0 |
0 |
0 |
0 |
||
|
4 |
1,430 |
0,891 |
0,001 |
0 |
0 |
0 |
0 |
0 |
|||
|
5 |
1,435 |
0,892 |
0,001 |
0 |
0 |
0 |
0 |
||||
|
6 |
1,440 |
0,893 |
0,001 |
0 |
0 |
0 |
|||||
|
7 |
1,445 |
0,894 |
0,001 |
0 |
0 |
||||||
|
8 |
1,450 |
0,895 |
0,001 |
0 |
|||||||
|
9 |
1,455 |
0,896 |
0,001 |
||||||||
|
10 |
1,460 |
0,897 |
.
Задание 2
Уточнить значение корня на заданном интервале тремя итерациями и найти погрешность вычисления.
,
[0,4].
Решение
Вычислим первую и вторую производную функции
.
Получим
и
.
Итерационное уравнение запишется так:
.
В качестве начального
приближения возьмем правый конец отрезка
.
Проверяем условие сходимости:
.
Условие сходимости метода Ньютона выполнено.
Таблица значений корня уравнения:
|
i |
|
|
1 |
3,083 |
|
2 |
2,606 |
|
3 |
2,453 |
Уточненное значение корня

.
В качестве оценки абсолютной погрешности полученного результата можно использовать величину
.
Задание 3
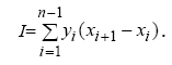
Методами треугольников, трапеций и Симпсона вычислить определенный интеграл.

Решение
Метод прямоугольников
Значение интеграла на интервале определяется следующей формулой:

|
|
|
|
|
1 |
0,25 |
0,2 |
|
2 |
0,2 |
0,1667 |
|
3 |
0,1667 |
0,1429 |
|
4 |
0,1429 |
0,125 |
|
|
0,7595 |
0,6345 |
Значение интеграла:
.
Метод трапеций
Площадь трапеции равняется полусумме оснований, умноженной на высоту, которая равна расстоянию между точками по оси х. интеграл равен сумме площадей всех трапеций.

|
|
|
|
1 |
0,25 |
|
2 |
0,2 |
|
3 |
0,1667 |
|
4 |
0,1429 |
|
5 |
0,125 |
Значение интеграла:
.
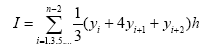
Метод Симпсона

|
|
|
|
1 |
0,25 |
|
2 |
0,2 |
|
3 |
0,1667 |
|
4 |
0,1429 |
Значение интеграла:
.
Задание 4
Проинтегрировать уравнение методом Эйлера на интервале [0.2, 1.2] . Начальное условие у(0,2)=0,25.

Решение

Все вычисления удобно представить в виде таблицы:
|
|
|
|
|
|
|
|
0 |
0,2 |
0,2500 |
0,2751 |
0,0688 |
0,3188 |
|
1 |
0,45 |
0,3188 |
0,4091 |
0,1023 |
0,4211 |
|
2 |
0,7 |
0,4211 |
0,5634 |
0,1408 |
0,5619 |
|
3 |
0,95 |
0,5619 |
0,7359 |
0,1840 |
0,7459 |
|
4 |
1,2 |
0,7459 |
0,9318 |
0,2329 |
Таким образом, задача решена.
Задание 5
Задача 1. Вычислить сумму и разность комплексных чисел, заданных в показательной форме. Переведя их в алгебраическую форму. Построить операнды и результаты на комплексной плоскости.

Задача 2. Вычислить произведение и частное комплексных чисел. Операнды и результаты изобразить на комплексной плоскости.

Решение
Задача 1.


Задача 2.


Задание 6
Вычислить производную
функции f(z)
в точке
.


Решение
Так как для аналитических функций справедливы все формулы и правила дифференцирования действительного аргумента, то

Задание 7
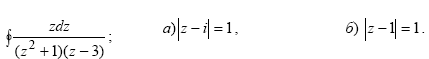
Вычислить интеграл по замкнутым контурам а) и б), считая обход контура в положительном направлении. Нарисовать область интегрирования, указать на рисунке особые точки.

Решение
а)

Подынтегральная функция
имеет особые точки:
.
Тогда интеграл вычистится по следующей
формуле:
.
б)

Подынтегральная функция
имеет особые точки:
.
Тогда интеграл вычистится по следующей
формуле:
.












слева





