Лейкоцитоспермия в диагностике бактериальных инфекций
Лейкоцитоспермия в диагностике бактериальных инфекций
Сорокин Константин Владимирович
Введение
Лейкоцитоспермия, определяемая ВОЗ как концентрация лейкоцитов >1 млн/мл спермы, наблюдается приблизительно у 20% мужчин с бесплодием, но ее влияние на качество спермы не выяснено. В некоторых исследованиях выявлено отрицательное влияние лейкоцитоспермии на качество спермы, в других влияния не обнаружено или наблюдалось даже улучшение качества спермы [1-5]. В последних исследованиях показано, что активные формы кислорода, которые производятся, в частности, лейкоцитами, могут повредить ДНК сперматозоидов [6,7]. Это приводит к важным выводам: большинство мужчин, страдающих бесплодием, сдают сперму для искусственного оплодотворения, и необходимо избежать повреждения сперматозоидов и инфицирования яйцеклетки.
Происхождение лейкоцитов в эякуляте часто остается невыясненным. В основном, они происходят из придатка яичка, так как исчезают после вазэктомии [2], и появляются при инфицировании. Однако, у большинства мужчин, обратившихся в андрологическую клинику по поводу бесплодия, не наблюдалось проявлений инфекции (например, эпидидимита). Кроме того, наличие лейкоцитов слабо коррелирует с присутствием бактерий [8,9]. Бактериоспермия, которая предположительно связана с контаминацией, обнаруживалась более чем в 50% случаев [10] вне зависимости от лейкоцитоспермии. Дезинфекция кожи должна уменьшать количество ложноположительных посевов за счет исключения контаминации энтеральными бактериями [11]. Однако чувствительность определения патогенных бактерий в образцах спермы по критериям ВОЗ составляет лишь 20% [12].
Анализы спермы выполняются различными специалистами (андрологами, урологами, гинекологами, врачами-лаборантами), и критерии ВОЗ не всегда строго соблюдаются. Обычно вместо пероксидазной реакции для оценки количества лейкоцитов используют фазовую микроскопию, или же пероксидазную реакцию используют, если количество лейкоцитов превышает определенный уровень (например, 1 млн/мл). Однако этим достаточно простым методом подсчитываются не только все лейкоциты (гранулоциты, лимфоциты, макрофаги), но и другие круглые клетки, например, круглые сперматиды, сперматоциты, сперматоспоры и слущенный эпителий. Как показал Keel [13], исследовавший 500 американских клинических лабораторий, в большинстве их них не знают о различиях этих методов. 35% из этих лабораторий не были ознакомлены с инструкциями ВОЗ или даже не имели ни одного экземпляра руководства, в котором говорится о важности использования и распространения стандартных методов анализа спермы.
Так как вместо определения количества лейкоцитов с помощью реакций до сих пор широко распространен подсчет, цель данного исследования — изучить корреляцию между лейкоцитоспермией и присутствием в сперме бактерий, а, следовательно, определить диагностическую ценность подсчета лейкоцитов для определения бактериоспермии. Все анализы проводили строго по инструкциям ВОЗ.
Материалы и методы
Были обследованы 143 мужчины, обратившиеся в клинику андрологии для анализа спермы. Причиной обращения в клинику было бесплодие. Всех пациентов обследовали клинически, включая осмотр и пальпацию пениса, мошонки и простаты, а также тщательно собирали анамнез. Все пациенты сдавали сперму для анализа и посева. До сдачи анализа не должно было происходить эякуляции по крайней мере в течение 3-5 дней. Пациенты должны были помочиться перед сдачей анализа, а также вымыть пенис, мошонку и руки водой с мылом. Им выдавали широко открывающуюся пластиковую банку и просили принести сперму в лабораторию не позднее, чем через полчаса после эякуляции. Если это было невозможно, эякуляция происходила в специальной комнате в клинике. Все образцы спермы получали в результате мастурбации.
Анализ спермы проводил один специально обученный лаборант не позднее, чем через час после эякуляции. Анализ проводился полностью по инструкции ВОЗ [14]. Учитывали концентрацию сперматозоидов, рН семенной жидкости, содержание лейкоцитов и возраст пациента. pH измеряли при помощи индикаторных бумажных полосок фирмы Merck (Merck KGaA, 64271 Дармштадт, Германия) (рабочий интервал pH 6.5-10.0). Однако в дальнейшем анализировали только содержание лейкоцитов и наличие роста бактерий в посевах.
Подсчитывали все клетки (макрофаги, гранулоциты), не определяемые как половые клетки и их предшественники. Не использованы никаких специальные методы окраски, таких как пероксидазная реакция и т.п. Для определения морфологии клеток использовали предметные стекла марки Testsimplets; Waldeck GmbH, Мюнстер, Германия, окрашенные метиленовым синим или ацетатом крезолового фиолетового. Лаборант помещал каплю спермы на предметное стекло, выдерживал ее при комнатной температуре в течение 2 часов и рассматривал под увеличением в 600 раз.
Концентрацию лейкоцитов подсчитывали по инструкции ВОЗ:
|
|
|
N x S |
|
Количество лейкоцитов |
= |
|
|
|
|
100 |
N — количество лейкоцитов в том же поле зрения, где находятся 100 сперматозоидов,
S — концентрация сперматозоидов (млн/мл). Подсчитывают не менее 200 лейкоцитов.
Наименьшее содержание лейкоцитов, определяемое этим методом — 3700 клеток/мл.
После анализа образцы спермы отправляли в отделение медицинской микробиологии для посева. Посев производили на экономически доступные агаровые среды. В дальнейшем анализировали только рост патогенных бактерий. Нормальную флору уретры не учитывали и включали в группу нормальной бактериальной флоры гениталий.
Статистический анализ производили при помощи статистического пакета программ для социальных наук (SPSS 10.0.7, SPSS.Inc. 1989-1999). Все демографические данные представлены медианой и 25-м и 75-м квартилями. Для определения диагностической ценности лейкоцитоспермии при выявлении роста бактерий вычисляли чувствительность, специфичность, положительное и отрицательное предсказательные значения (positive predictive value — PPV, negative predictive value — NPV), и отношение правдоподобия (likelihood ratio (LR)).
Таблица 1 — Результаты посевов спермы: произведен посев 143 образцов, взятых у мужчин с бесплодием. Определяли общее преобладание вида (в целом в двух группах), включая различные изоляты
|
Виды бактерий |
Группа I |
Группа II |
Преобладание |
|
Ureaplasma urealyticum |
16 |
18 |
34/23.8 |
|
Enterococcus faecalis |
15 |
9 |
24/16.8 |
|
Escherichia coli |
4 |
6 |
10/7.0 |
|
Бета-гемолитический стрептококк |
5 |
4 |
9/6.3 |
|
Prevotella sp. |
3 |
6 |
9/6.3 |
|
Bacteroides sp. |
4 |
2 |
6/4.2 |
|
Коагулазо-негативный стафилококк |
3 |
2 |
5/3.5 |
|
Staphylococcus aureus |
2 |
1 |
3/2.1 |
|
Enterobacter sp. |
4 |
2 |
6/4.2 |
|
Streptococcus viridans sp. |
0 |
2 |
2/1.4 |
|
Анаэробные бактерии |
1 |
0 |
1/0.7 |
|
Mycoplasma sp. |
1 |
0 |
1/0.7 |
|
Gardnerella sp. |
1 |
0 |
1/0.7 |
Обозначение: группа I — нет лейкоцитов, группа II — присутствуют лейкоциты.
Таблица 2 — Количество изолятов патогенных бактерий
|
Количество изолятов |
Группа I (n = 39) |
Группа II (n = 34) |
|
1 |
26 |
18 |
|
2 |
8 |
13 |
|
3 |
4 |
3 |
|
4 |
1 |
0 |
Обозначение: группа I — нет лейкоцитов, группа II — присутствуют лейкоциты.
Результаты
Из 143 образцов 81 не содержали лейкоцитов (группа I), а в 62 образцах лейкоциты были обнаружены (группа II). Медиана концентрации лейкоцитов в группе II составила 0,63 млн/мл (0,44-1,00 млн/мл). Проявлений инфекции (например, эпидидимита) не наблюдалось. Наиболее распространенными оказались следующие виды бактерий: Ureaplasma urealyticum (группа I: n = 16; группа II: n = 18), Enterococcus faecalis (группа I: n = 15; группа II: n = 9), Escherichia coli (группа I: n = 4; группа II: n = 6), бета-гемолитический стрептококк (группа I: n = 5; группа II: n = 4) и Prevotella sp. (группа I: n = 3; группа II: n = 6) (Таблица 1). Патогенные бактерии были обнаружены в 48,2% (39/81) образцов из группы I и в 54,8% (34/62) образцов из группы II. Нормальная бактериальная флора гениталий была обнаружена в 34 образцах из группы I и в 26 образцах из группы II, тогда как в 8 образцах группы I и в 2 образцах группы II роста флоры не было. Некоторые образцы содержали бактерии нескольких изолятов (Таблица 2).
Для определения диагностической ценности лейкоцитоспермии при выявлении бактерий, были выбраны пограничные значения концентрации лейкоцитов >0.25, >0.5, >0.75, и >1 млн/мл. Результаты представлены в Таблице 3. Чувствительность определения бактерий при концентрации лейкоцитов >0,25 млн/мл составила 0,47 при специфичности 0,60. Чувствительность и специфичность при концентрации лейкоцитов >1 млн/мл составили 0,16 и 0,84 соответственно. Наибольшее отношение правдоподобия (likelihood ratio — LR) — 1,29, было получено для концентрации лейкоцитов >0,5 млн/мл при чувствительности и специфичности 0,37 и 0,72 соответственно.
В группах с разной концентрацией лейкоцитов было подсчитано процентное соотношение образцов, содержащих бактерии. Бактерии были обнаружены в 27 (57,5%) образцах с концентрацией лейкоцитов >0,5 млн/мл, в 16 (51,6%) образцах с концентрацией лейкоцитов >0,75 млн/мл, в 12 (52,2%) образцах с концентрацией лейкоцитов >1 млн/мл и в 34 (54,8%) образцах в с концентрацией лейкоцитов >0,25 млн/мл.
Обсуждение результатов
В 51,1% (73/143) обследованных на предмет фертильности образцов спермы вне зависимости от наличия лейкоцитов были обнаружены бактерии.
Таблица 3 — Чувствительность, специфичность, положительное и отрицательное предсказательные значения (PPV и NPV) и отношение правдоподобия (LR) разного уровня лейкоцитоспермии для предсказания бактериоспермии
|
Концентрация лейкоцитов (млн/мл) |
Чувствительность |
Специфичность |
PPV |
NPV |
LR |
|
>0.25 |
0.47 |
0.60 |
0.55 |
0.52 |
1.16 |
|
>0.5 |
0.37 |
0.72 |
0.57 |
0.52 |
1.29 |
|
>0.75 |
0.22 |
0.79 |
0.52 |
0.49 |
1.02 |
|
>1 |
0.16 |
0.84 |
0.52 |
0.49 |
1.04 |
Нормальная флора кожи гениталий была обнаружена в 42,0% (60/143) образцов, и только 7,0% (10/143) образцов были стерильны. Наиболее часто обнаруживали U. urealyticum (23,8% (34/143) образцов). Этот вид бактерий обычно можно выделить у молодых людей при частых половых контактах и вызывает уретрит. Лейкоциты обнаружены в 43,4% (62/143) образцов, при этом в 16,1% (23/143) из них концентрация лейкоцитов превышала 1 млн/мл.
В литературе встречаются результаты аналогичного исследования спермы, в котором лейкоцитоспермия (по критериям ВОЗ) наблюдалась в 10-20% [15]. В нашем исследовании содержала лейкоциты значительно большая часть образцов (43,4% (62/143)). В нашей лаборатории не использовали пероксидазную реакцию, поэтому различие можно объяснить неправильным определением лейкоцитов. Кроме того, в литературе термин «лейкоцитоспермия» часто применяют для концентрации лейкоцитов >1 млн/мл, поэтому такие данные могут быть занижены. Для сравнения, лейкоцитоспермия по критериям ВОЗ наблюдалась в 16,1% (23/143) образцов, что вполне соотносится с данными литературы. Однако в группе II патогенные бактерии обнаруживались в 54,8% (34/62) образцов, а в группе I — в 48,2% (39/81) образцов.
Подобные результаты убеждают в том, что выявить корреляцию между лейкоцитоспермией и бактериоспермией крайне трудно. Вероятнее всего, лейкоцитоспермия имеет ограниченную диагностическую ценность для выявления не только бактериоспермии, но и бактериальных инфекций. Ни у одного из 143 мужчин на момент обследования не было признаков инфекций. Следовательно, более актуально обсуждать выявление бактериоспермии, а не инфекций. Согласно рекомендациям ВОЗ, участников исследования просили мыть руки и пенис водой с мылом, но не обрабатывать кожу антисептиками. Несмотря на то, что такая подготовка предотвращает ложноположительные результаты, обычно ее не проводят. Основная цель исследования состояла в том, чтобы оценить самые распространенные методы анализа, строго следуя рекомендациям ВОЗ.
Во всех группах, выделенных в зависимости от концентрации лейкоцитов, более 50% образцов содержали бактерии. Чувствительность уменьшалась от 0,47 в группе с минимальной концентрацией лейкоцитов (>0,25 млн/мл) до 0,16 в группе с максимальной концентрацией (>1 млн/мл). В этих же группах специфичность повышалась от 0,60 до 0,84. PPV и NPV в различных группах значимо не менялись (0,55 и 0,52; 0,52 и 0,49). LR не был решающим параметром (менялся в диапазоне от 1,16 до 1,04). Тем не менее, наибольшее значение LR принимало в группе с концентрацией лейкоцитов >0,5 млн/мл. PPV и NPV в этой группе были также наибольшими.
Из этих данных можно сделать вывод о том, что лейкоцитоспермия не может служить для определения бактериоспермии. Такой результат согласуется с заключениями Punab и сотр. [12]. Однако в этом исследовании под лейкоцитами понимали только лимфоциты, тогда как к лейкоцитам также относятся макрофаги и гранулоциты. По данным этого исследования, в группе образцов с лейкоцитоспермией по критериям ВОЗ чувствительность составила 25% (в нашем исследовании с учетом всех типов лейкоцитов — 16%), а оптимальное соотношение чувствительность/специфичность было при концентрации лейкоцитов >0,2 млн/мл (чувствительность 45% и специфичность 69%). Мы получили схожие результаты в группе с концентрацией лейкоцитов 0,25 млн/мл — чувствительность 47%, специфичность 60%. LR в этой группе составило 1,16, а в группе, выделенной по критериям ВОЗ, — 1,04.
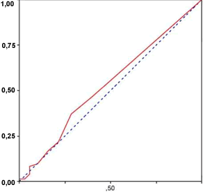
Помимо этого, результаты, полученные для лейкоцитоспермии как маркера бактериоспермии, согласуются с исследованиями, в которых применяли пероксидазную реакцию [8,9]. Trum и сотр. [8] обнаружили у 39% мужчин бактериальные инфекции и у 11% — вирусные. Площадь под кривой receiver operating составила 0,55 и 0,56 соответственно, и был сделан вывод о низкой диагностической ценности лейкоцитоспермии для выявления бактериальных инфекций. Площадь под кривой в нашем исследовании составила 0,53 (95% доверительный интервал 0,44-0,63) (См. Рис.1), что сравнимо с результатами более быстрого подсчета лейкоцитов. Rodin и сотр. [9] использовали различные методы окраски лейкоцитов (по Граму, пероксидазную, крезоловым фиолетовым - метиленовым синим) и также не получили корреляции между наличием лейкоцитов и бактерий. Следовательно, можно сделать вывод о том, что лейкоцитоспермия имеет небольшое значение в выявлении бактериоспермии и дефектов спермы.

Ось x — специфичность, ось y — чувствительность
Рис. 1 – Кривая receiver operating для разных концентраций лейкоцитов и бактериоспермии. Площадь под кривой 0,53 (95% доверительный интервал 0,44-0,63), См. данные в Таблице 3.
Заключение
В данном исследовании лейкоциты были обнаружены в 43,4% (62 из 143) образцов спермы мужчин, которые обратились в урологическую клинику для диагностики бесплодия, а патогенные бактерии — в 51,1% (73/143) из них. Отношение чувствительность/специфичность для определения бактериоспермии при концентрации лейкоцитов >1 млн/мл (лейкоцитоспермия по критериям ВОЗ) было равно 0,16/0,84. Наибольшее отношение чувствительность/специфичность наблюдалось в группе с концентрацией лейкоцитов >0,5 млн/мл, LR в этой же группе составил 1,29. Тем не менее, подсчет лейкоцитов в сперме не имеет предсказательной способности для бактериоспермии. Это заключение согласуется с данными литературы о том, что подсчет лейкоцитов без использования специальной окраски, несмотря на простоту выполнения, имеет небольшую диагностическую ценность.
Список литературы
[1] Wolff H, Politch JA, Martinez A, Haimovici F, Hill JA, Anderson DJ. Leukocytospermia is associated with poor semen quality. Fertil Steril 1990; 53:528-36.
[2] Wolff H. The biologic significance of white blood cells in semen. Fertil Steril 1995;63:1143-57.
[3] Tomlinson MJ, Barratt CL, Cooke ID. Prospective study of leukocytes and leukocyte sub>populations in semen suggests they are not a cause of male infertility. Fertil Steril 1993;60:1069-75.
[4] Kiessling AA, Lamparelli N, Yin HZ, Seibel MM, Eyre RC. Semen leukocytes: friends or foes? Fertil Steril 1995;64:196-8.
[5] Alvarez JG, Sharma RK, Ollero M, Saleh RA, Lopez MC, Thomas AJ, et al. Increased DNA damage in sperm from leukocytospermic semen samples as determined by the sperm chromatin structure assay. Fertil Steril 2002; 78:319-29.
[6] Erenpreiss J, Hlevicka S, Zalkalns J, Erenpreisa J. Effect of leukocytospermia on sperm DNA integrity: a negative effect in abnormal semen samples. J Androl 2002; 23:717-23.
[7] Saleh RA, Agarwal A, Kandirali E, Sharma RK, Thomas AJ, Nada EA, et al. Leukocytospermia is associated with increased reactive oygen species production by human spermatozoa. Fertil Steril 2002;78:1215-24.
[8] Trum JW, Mol BW, Pannekoek Y, Spanjaard L, Wetheim P, Bleker OP, et al. Value of detecting leukocytospermia in the diagnosis of genital tract infection in sub>fertile men. Fertil Steril 1998;70:315-9.
[9] Rodin DM, Larone D, Goldstein M. Relationship between semen cultures, leukospermia, and semen analysis in men undergoing fertility evaluation. Fertil Steril 2003;79:1555-8.
[10] Cottell E, Harrison RF, McCaffrey M, Wealsh T, Mallon E, Barry-Kinsella C. Are seminal fluid microorganisms of significance or merely contaminants? Fertil Steril 2000;74:465-70.
[11] Kim FY, Goldstein M. Antibacterial skin preparation decreases the incidence of false-positive semen culture results. J Urol 1999;161:819-21.
[12] Punab M, Loivukene K, Kermes K, Mandar R. The limit of leukocytospermia from the microbiological viewpoint. Andrologia 2003;35:271-8.
[13] Keel B. How reliable are results from the semen analysis? Fertil Steril 2004;82:41–4.
[14] World Health Organization. WHO Laboratory Manual for the Examination of Human Semen and Sperm-Cervical Mucus Interaction. 4th ed. Cambridge: Cambridge University Press; 1999.
[15] Aziz N, Agarwal A, Lewis-Jones I, Sharma RK, Thomas AJ. Novel associations between specific sperm morphological defects and leukocytospermia. Fertil Steril 2004;82:621-7.
Комментарий Wolfgang Weidner, Гессен, Германия
ВОЗ [1] выдвигает предложение использовать повышенное содержание пероксидаза-положительных лейкоцитов в сперме и высевание значительного количества патогенных бактерий в качестве признаков инфекций придаточных желез у мужчин. В 1995 году [2] эксперты пришли к выводу о том, что обычные методы окраски не позволяют достоверно выявить лейкоциты в сперме. Более того, хотя преоксидазный метод применим для подсчета гранулоцитов, золотой стандарт определения всех типов лейкоцитов — это иммуноцитологические методы [2]. Недавно были получены данные о том, что пероксидазный метод может оказаться неточным из-за экзоцитоза содержимого гранулоцитов в ходе воспаления [3].
Даже не учитывая методику анализа, можно сказать, что лейкоцитоспермия может возникнуть спонтанно [4], в результате фагоцитарной активности [5] и коррелирует с процессом апоптоза [6] в сперме. Кроме того, лейкоцитоспермия может быть связана с выделением лейкоцитов простатой, которая формирует основной объем эякулята [7]. Из этих данных следует, что содержание лейкоцитов в сперме зависит от множества различных и не вполне выясненных факторов.
Эти факторы должны учитываться при исследовании корреляции между лейкоцитоспермией и бактериоспермией. При концентрации лейкоцитов >1 млн/мл [6] чувствительность для определения значимой бактериоспермии в соответствии с кривыми receiver operating characteristic крайне низка [8]. С учетом того, что можно значительно снизить количество ложноположительных результатов путем простой подготовки кожи [9], обращают на себя внимание данные более позднего исследования [10], в котором оценивали содержание бактерий в первой порции мочи, средней порции мочи, сперме, повышенную концентрацию лейкоцитов в сперме и наступление беременности. Между содержанием бактерий в сперме, лейкоцитоспермией и наступлением беременности корреляции обнаружено не было.
В целом, на данный момент во всех исследованиях подтверждается заключение авторов (Lackner и сотр.) о том, что подсчет лейкоцитов без использования специальных методов не может быть использован для диагностики бактериоспермии.
[1] Rowe PJ, Comhaire FH, Hargreave TB, Mahmoud AMA. WHO manual for the investigation, diagnosis and manage-ment of the infertile men. Cambridge University Press; 2000.
[2] Wolff H. The biologic significance of white blood cells in semen. Fertil Steril 1995;63:1143-57.
[3] Villegas J, Schulz M, Vallejos V, Henkel R, Miska W, Sanchez R. Indirect immunofluorescence using monoclonal antibodies for the detection of leukocytospermia: comparison with peroxidase staining. Andrologia 2002;34:69-73.
[4] Yanushpolsky EH, Politch JA, Hill JA, Anderson DG. Antibiotic therapy and leukocytospermia: a prospective, ran-domzided, controlled study. Fertil Steril 1995;63:142-7.
[5] Tomlinson MJ, White A, Barratt CLR. Bolton AE, Cooke ID. The removal of morphologically abnormal sperm forms by phagocytes: a positive role for seminal leukocytes. Human Reproduction 1992;7:517-22.
[6] Ricci G, Perticarari S, Fragonas E, Giolo E, Canova S, Pazzo-bon C, et al. Apoptosis in human sperm: its correlation with semen quality and the presence of leukocytes. Human Reproduction 2002;17:2665-72.
[7] Ludwig M, Vidal A, Diemer Th, Pabst W, Failing K, Weidner W. Chronic prostatitis/chronic pelvic pain syndrome: seminal markers of inflammation. World J Urol 2003; 21:82-5.
[8] Punab M, Loivukene K, Kermes K, Mandar R. The limit of leukocytospermia from the microbiological viewpoint. Andrologia 2003;35:271-8.
[9] Kim FY, Goldstein M. Antibacterial skin preparation decreases the incidence of false-positive semen culture results. J Urol 1999;161:819-21.
[10] Cottell E, Harrison RF, McCaffrey M, Walsh T, Mallon E, Barry-Kinsella С Are seminal fluid microorganisms of significance or merely contaminants. Fertil Steril 2000; 74:465-70.
Для подготовки данной применялись материалы сети Интернет из общего доступа
