Биохимические пути в исследовании механизмов психических и нервных болезней
Курсовая работа
на тему:
«Биохимические пути в исследовании механизмов психических и нервных болезней»
2009
ВВЕДЕНИЕ
Патологические состояния центральной нервной системы многочисленны, многообразны и чрезвычайно сложны по механизму возникновения и развития. В этой работе будут показаны только пути, на которых ученые-биохимики добились некоторых успехов в познании отдельных элементов патологических процессов, лежащих в основе ряда болезней и болезненных состояний центральной нервной системы.
1. ХИМИЧЕСКИЕ ФАКТОРЫ ВНУТРЕННЕГО ПОДКРЕПЛЕНИЯ ПРИ НАРКОМАНИЯХ
У примитивно устроенных организмов цепочка, реакций в центральной нервной системе, начинающаяся поя действием той или иной мотивации, например голода, инстинкта продолжения рода и т.п., имеет минимальное число промежуточных звеньев и завершается непосредственным достижением или недостижением цели. Достижение конечной цели является простейшим подкреплением, вознаграждающим фактором. У относительно высокоразвитых организмов процесс достижения цели может быть разделен на большее число этапов. Завершение промежуточного этапа не вознаграждается конечным результатом и, как установлено, существует система так называемого внутреннего подкрепления. Например, выполняя определенную работу, современный человек, как правило, не получает после ее завершения пищевого вознаграждения, но получает деньги, испытывая при этом определенное удовлетворение и уверенность в возможности с помощью денег реализовать цель – приобретение и потребление пищи. В центральной нервной системе чувство удовлетворения может быть обеспечено с помощью ряда гуморальных факторов, к которым в первую очередь относятся нейропептиды – некоторые из опиоидов, нейротензин и др.
Простейший эксперимент, позволяющий в опытах на животных выявить эти гуморальные факторы, состоит в предоставлении им возможности выбора веществ, вызывающих приятные ощущения при самовведении в желудочек мозга. Белая крыса, например, с вживленными в мозг канюлями, имеющая возможность нажатием той или иной педали инъецировать себе раствор одного из испытуемых веществ, довольно быстро переходит от беспорядочного нажатия разных педалей к заведомо предпочтительному самовведению довольно узкого круга веществ. Существуют и более сложные формы такого рода экспериментов.
В результате, к категории предпочитаемых веществ – вероятных внутренних факторов подкрепления – сейчас относят некоторые из опиоидных нейропептидов – р-эидорфин и эике-фалины, а также нейротензин. Одновременно выявляются и нейропептиды, обладающие противоположным действием: вазопрессин и, по-видимому, меланостатин и тиролиберин.
Вводя себе извне нейропептиды вознаграждения, животное обходится без нормального механизма, необходимого в естественных условиях для обеспечения пути к цели, завершение которого вознаграждается образованием внутреннего химического сигнала – фактора внутреннего удовлетворения.
Многие исследователи рассматривают эти эксперименты как модель наркомании. Существо наркомании состоит, с этой точки зрения, в подмене внешним химическим агентом естественного внутреннего химического вознаграждения. Такая подмена при доступности химического эквивалента внутреннего фактора не требует целенаправленного труда и ряда других процессов для того, чтобы достичь состояния удовлетворения, наслаждения и т.п. Экзогенные опиаты – морфин и его аналоги – являются эквивалентами внутренних опиоидов, взаимодействуя с теми же классами рецепторов головного мозга, что и опиоидные нейропептиды. Характерно, что наиболее апробированным средством снятия абстинентных состояний у наркоманов является специфический блокатор опиатных рецепторов – налоксон, а также его аналоги.
Механизмы наркоманий, вызванных опиатами, находят, таким образом, истолкование, которое можно отнести к категории достаточно обоснованной гипотезы. Сложнее обстоит дело с рядом других наркотиков – кокаином, каниабиноидами, ЛСД, мецкалинами и др. В отношении некоторых из них рассматриваются гипотезы, аналогичные изложенной выше. В частности, катехоламины, особенно норадреналин, и серотонин, в определенных зонах мозга участвуют в процессах внутреннего подкрепления. Об этом свидетельствует наличие зон, расположенных по ходу катехоламинергических и серотонинергических путей, раздражение которых вызывает ощущения удовлетворения, удовольствия и т.п. Многие из упомянутых выше наркотинов известны как агенты, вмешивающиеся в катехоламинергическую и серотонинергическую нейротрансмиссию. Поэтому, хотя и с меньшей степенью доказательности, чем в случае опиатных наркотиков, гипотеза о наркомании, как подмене факторов внутреннего подкрепления, правомочна и для многих неопиатных соединений. Следует также иметь в виду, что механизмы и химические факторы внутреннего подкрепления известны лишь частично.
В рамки изложенной гипотезы пытались заключить и данные о механизмах алкоголизма. Прослеживаются сложные связи между развитием алкоголизма, уровнями опиоидных пептидов, непептидных факторов, подобных опиатам, катехоламинов, серотонина и других гуморальных регуляторов. Сложность этих связей такова, что, не исключая роли факторов внутреннего подкрепления, целесообразно рассмотреть ряд данных о механизмах алкоголизма особо.
2. АЦЕТАЛЬДЕГИД, НЕПЕПТИДНЫЕ И ПЕПТИДНЫЕ ОПИОИДЫ И АЛКОГОЛИЗМ
Первые исследования биохимических механизмов алкоголизма привели к установлению трех важных фактов. Во-первых, этанол является мембранотрогтным агентом и может в концентрациях, вызывающих опьянение, менять состояние рецепторов и многих энзимов, инкорпорированных в мембрану. Во-вторых, широко представленный в организме, особенно в печени, фермент – алкогольдегидрогеназа, участвующая в метаболизме многих регуляторных соединений, вступает в контакт с поступающим извне этанолом и как бы отвлекается от ряда нормальных функций, что, в свою очередь, ведет к отклонениям в синтезе ряда регуляторов. В-третьих, наконец, алкогольдегидрогеназа быстро превращает часть поступающего этанола в ацетальдегид; последний может быть источником образования ряда биоактивных факторов и, кроме того, его прямое действие на мозг вызывает неприятные ощущения – синдром похмелья; далее ацетальдегид постепенно окисляется митохондриальной ацетальдегиддегидрогеназой и образующийся ацетат может служить для синтеза жирных кислот и т.п. Ощущения, вызываемые ацетальдегидом, явились отправной точкой для создания ряда противоалкогольных средств, подавляющих ацетальдегиддегидрогеназу, повышающих тем самым уровень, ацетальдегида и ускоряющих, в результате, развитие тяжелого состояния после приема даже небольших доз алкоголя. В практику вошел, в частности, такой ингибитор этого фермента, как тетурам, систематическое введение которого приносит определенную пользу в лечении алкоголизма. Особенно перспективными оказались воздействия, позволяющие на длительное время изменять активность двух указанных главных ферментов метаболизма этанола. В экспериментах на крысах-алкоголиках эффективной оказалась индукция аутоантител, связывающих эти ферменты.
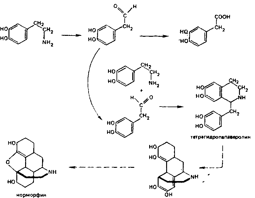
Далее было установлено, что ацетальдегид, взаимодействуя с дофамином, может образовать в организме так называемый саль-солинол:

а
взаимодействуя с серотонином, –
метил-тетрагидро-
-карбо-лин:

Эти соединения имеют некоторое структурное сходство с морфином.
Адетальдегид способен также тормозить один из этапов катаболизма дофамина – его окислительное дезаминирование, – так что накапливается промежуточный продукт – 3,4 – диокси-фенилацетатальдегид. Последний, взаимодействуя опять-таки с дофамином, образует тетрагидропапаверолин, способный, в свою очередь, превращаться в соединения, все более приближающиеся по структуре к морфину, в том числе – норморфин:

В последние годы прослежены метаболические пути, ведущие к образованию в организме млекопитающих даже кодеина и морфина, хотя и в очень малых количествах. Более того, сейчас можно считать, что в микроконцентрациях многие соединения этого ряда постоянно представлены в мозге. Однако введение извне этанола и образование из него ацетальдегида резко повышает уровень морфиноподобных соединений.
Установлена способность сальсолинола и других эндогенных аналогов морфина, образующихся с участием ацетальдегида, служить как агонистами, так и блокаторами опиоидных рецепторов в зависимости от концентрации и других условий. Следствия такого взаимодействия могут состоять, во-первых, в подмене эндогенных факторов вознаграждения и, во-вторых, если концентрация сальсолинола в организме алкоголика постоянно повышена, то блокада рецепторов в отношении собственных эндогенных, наиболее адекватных, факторов вознаграждения может вызвать постоянное чувство неудовлетворенности и побуждать к поиску наркотических средств.
Пока трудно отдать предпочтение одной из этих возможностей, но образование сальсолинола и подобных ему непептидных морфиноподобных соединений при алкоголизме указывает на вероятную связь опиоидной системы с механизмом алкоголизма. К этой же мысли приводит тот факт, что классический блокатор опиатных рецепторов – налоксон оказался полезен также при лечении алкоголизма.
Наконец, показательно, что у большинства алкоголиков возрастает уровень антител к морфиноподобным соединениям. Понятна поэтому настойчивость, с которой современные исследователи после открытия опиоидных пептидов ищут корреляции между уровнем последних, а также состоянием опиоидных рецепторов, с одной стороны, и глубиной и фазой алкоголизма, с другой стороны. Найденные сейчас корреляции, подтверждающие более или менее значительное участие системы опиоидов в механизмах алкоголизма, свидетельствуют о довольно сложных отношениях, подчас противоречивых. Так, например, показано меньшее содержание метэнкефалина в мозге предрасположенных к алкоголю животных и меньшая концентрация в гипоталамусе р-эндорфина у животных со сформированным алкоголизмом и наследственно предрасположенных к алкоголизму.
Установлено также, хотя и не на всех экспериментальных моделях, что введение таким животным этанола повышает уровень метэнкефалина и р-эндорфина.
Можно пытаться толковать эти данные так, что сниженные уровни эндогенных опиоидов в мозге обусловливают влечение к этанолу как к фактору, ведущему к образованию в мозге опиоидов, т.е. к нормализации гуморальных систем вознаграждения. С этим согласуются феномены снятия абстиненции и некоторого снижения влечения к алкоголю при введении извне опиоидных нейропептидов, а также некоторых ингибиторов протеолитического распада опиоидных пептидов в организме. Однако ряд экспериментальных данных трудно согласовать с таким толкованием. Так, в отличие от метэнкефалина содержание лейэнкефалина в мозге предрасположенных к алкоголизму животных повышено.
Противоречивы данные об изменениях уровня р-эндорфина в плазме и цереброспинальной жидкости при введении этанола. Источником недоразумений является также то, что при алкоголизме возможны, и в ряде работ зарегистрированы, не только изменения уровня эндогенных опиоидов, но и состояния их рецепторов в силу упоминавшейся мембранотропности этанола. Есть данные о снижении сродства энкефалинов к их рецепторам под действием этанола. Следовательно, для строгого учета роли эндогенных опиоидов при алкоголизме необходимо совместное рассмотрение данных об уровне опиоидов и о состоянии их рецепторов. Таких данных пока недостаточно.
Богатый, хотя опять-таки неоднозначный, экспериментальный материал собран о роли катехоламинов и серотонина в развитии алкоголизма. Здесь прослеживается четкая зависимость действия этанола от этапа, фазы развития алкоголизма.
Однократный прием этанола вызывает вначале усиленный выброс катехоламинов – дофамина и норадреналина, обусловленный, вероятно, мембранотропным действием алкоголя на пресинаптические рецепторы. Секретируемые катехоламины входят в число факторов внутреннего вознаграждения, вызывающих эйфорическое состояние. После выброса катехоламинов срабатывает система обратной регуляции, которая не просто нормализует состояние системы, а создает временный дефицит катехоламинов в синаптической щели и жидкостях организма. Возможно, это служит одним из побуждающих факторов к повторению приема этанола.
При развитии хронического алкоголизма состояние сниженного выхода, усиленной деградации и повышенного обратного захвата катехоламинов как бы закрепляется, создавая, как полагают, постоянный механизм, побуждающий к частому приему этанола для временной коррекции этих нарушений. Полное прекращение приема алкоголя на стадии развитого хронического алкоголизма ведет к экстренной мобилизации всех существующих механизмов синтеза, выброса и сохранения катехоламинов в синаптической щели. Разрегулированная на предыдущих стадиях система срабатывает так, что происходит не нормализация уровня катехоламинов, а чрезмерное возрастание их концентрации, в частности дофамина. Они участвуют в развитии абстиненции.
Сходной является, в общем, и динамика изменений выхода и превращений серотонина. Извращения его выброса могут быть связаны с эйфорией и галлюцинациями. Вместе с тем роль серотонинергической системы представляется пока неоднозначной – Так, с одной стороны, ряд стимуляторов синтеза и выхода серотонина, блокаторы обратного захвата и многие агонисты подавляют влечение к этанолу. В то же время селективные антагонисты 5НТ>3>-рецепторов и такие ингибиторы синтеза серотонина, как р-хлорфенилаланин, также подавляют потребление этанола. Активная иммунизация животных против серотонина ведет к снижению его уровня в плазме крови и в мозге и к подавлению влечения к алкоголю экспериментальных животных. По-видимому, участие серотонинергической системы в механизмах влечения к алкоголю очень тесно связано с типом рецепторов серотонина, а также локализацией как рецепторов, так и мест синтеза этого медиатора.
В механизмы наркоманий и алкоголизма вовлечена также главная тормозная система мозга – ГАМК-ергическая. Подавление этой системы позволяет понять устойчивость патологических влечении.
Характерно, что действие на влечение к алкоголю ряда нейропептидов более или менее коррелирует с их участием в развитии или подавлении стрессовых состояний. Вообще известно, что стресс сам по себе стимулирует влечение к алкоголю. Пептид дельтасна, оказавшийся сильным противострессовым агентом, достоверно снижает потребление этанола экспериментальными животными при систематическом его введении. У предрасположенных к алкоголю белых крыс его содержание в плазме крови и стриатуме снижено.
В целом представленные результаты исследований в области нейрохимических механизмов алкоголизма не образуют пока единой стройной картины, но свидетельствуют об относительной близости времени, когда она сформируется.
3. СТРАХ, ФОБИИ, р-КАРБОЛИНЫ, ЭНДОЗЕПИНЫ И ХОЛЕЦИСТОКИНИН 4
Сравнительно
давно фармакологи создали новый класс
транквилизаторов –
бензодиазепины,
вошедшие
сейчас в широкую медицинскую практику.
Затем были выявлены рецепторы этих
соединений в головном мозге. Поскольку
не были известны внутренние лиганды
этих рецепторов, их обозначили как
рецепторы диазепама. Далее, оказалось,
что эти рецепторы являются частью
рецепторов гамма-аминомасляной кислоты
или самостоятельным рецептором, прочно
связанным с рецептором ГАМК. Наконец,
удалось выделить часть эндогенных
лигандов этих рецепторов: во-первых,
большой пептид – эвдозепин,
состоящий
примерно из сотни аминокислотных
остатков, его активные фрагменты –
малые 18- и 6 членные пептиды и, во-вторых,
непептидные соединения –
производные
так
называемых
-карболинов.
Примером
последних является метилтетрагидро
-карболин.
Активные фрагменты эндозепинов имеют
структуру: QATVGDVNTDRPGLLDLK
и GLLDLK.
Эти
соединения оказывают действие на
поведение животных, обратное действию
ГАМК и ее аналогов. Они вызывают
беспокойство, проявления страха и в
опытах на грызунах проконфликтное
поведение. В США документировано острое
беспокойство, паническое состояние
людей, которым вводили одно из производных
-карболина.
Что касается транквилизаторов – бензодиазепинов, с которых начался этот цикл исследований, то они оказались блока – торами рецепторов эндозепинов, подавляющими их взаимодействие с эндогенными факторами страха, беспокойства и проконфликтного поведения.
В последние годы внимание нейрохимиков и психиатров привлек еще один пептид, вызывающий беспокойство, страх и паническое поведение как у людей, так и у животных, – наименьший из обнаруживаемых в мозге С-конпевых фрагментов холецистокинина – ХЦК 4. Его действие на поведение опосредовано стимуляцией некоторых отделов дофаминергической системы через специальные рецепторы ХЦК>В>. Уже синтезированы антагонисты ХЦК 4, с помощью которых удается снизить уровень тревожности и панических реакций как в опытах на животных, так и в первых клинических исследованиях.
Для понимания биохимических механизмов ряда расстройств психики значение этих открытий весьма велико. Многие психические расстройства сопровождаются навязчивыми страхами, фобиями, крайне беспокойным и конфликтным поведением. Они характерны, в частности, для поздних стадий алкоголизма, некоторых проявлений шизофрении и др.
4. ДОФАМИН И ПАРКИНСОНИЗМ
Раскрытие биохимических процессов, лежащих в основе болезни Паркинсона – глубокого нарушения стереотипной двигательной активности, ее координации и инициации, – стало одним из первых ярких достижений патологической нейрохимии.
Синдром болезни удалось воспроизвести в экспериментах на животных, вводя им 6 оксидофамин. Этот аналог дофамина проникает в везикулы нервных окончаний, предназначенные для накопления и выброса катехоламинов, конкурирует с последними за включение в везикулы и, в конечном счете, подавляет катехоламинергическую трансмиссию. Этот процесс иногда называют химической десимпатизацией, имея в виду особую роль катехоламинов в симпатической нервной системе. Однако это название неточно, ибо катехоламины широко распространены и функционируют во многих других отделах нервной системы.
Дофаминергические нейроны стриатума, части хвостатого ядра и особенно черной субстанции, являющиеся основными центральными организаторами стереотипной двигательной активности, оказались высокочувствительными к такому действию 6 оксидофамина. В результате впервые удалось, вводя вещество определенной биохимической направленности действия, вызвать такое специфическое заболевание, как паркинсонизм.
В последние годы появилась возможность еще более точного определения нейронов, повреждение которых достаточно для возникновения паркинсонизма. Синтетический нейротоксин – метилфенилтетрапэдропиридин избирательно связывается с меланинсодержащими нейронами черной субстанции, вызывая их депигментацию и паркинсонический синдром. Отмечено также существенное снижение содержания в черном веществе метэнкефалнна и холецистокинина и обнаружен, наконец, дефицит одного из глиальных белков, выполняющих тропические функции по отношению к нейронам, синтезирующим глутамин.
Участие дофаминергических систем в паркинсоническом синдроме предполагает возможность облегчения синдрома введением в мозг дофамина. Поскольку дофамин не проходит гематоэнцефалический барьер, воспользовались для введения больным его ближайшим предшественником – диоксифенилаланином. Он существенно облегчает состояние паркинсоников. Следует, однако, подчеркнуть, что длительное введение больным больших доз диоксифенилаланина, значительно усиливающего синтез дофамина во всех отделах мозга, может вести к появлению симптомов, сходных с другим психическим заболеванием – шизофренией, одним из физиологических и биохимических проявлений которого является именно гиперактивность дофаминергической системы.
Новейший путь лечения паркинсонизма состоит в пересадках клеток или участков ткани здорового мозга из мезэнцефалона человеческих плодов, способных продуцировать дофамин, в определенные участки мозга больного. Заметим, что особенности иммунологического статуса мозга значительно облегчают такие пересадки. Результаты первых серий таких пересадок обнадеживают. Сейчас накапливается опыт длительного наблюдения следствий этих операций и разрабатываются культуры клеток мезэнцефалона с тем, чтобы отказаться от использования материалов, получаемых при абортах.
5. ШИЗОФРЕНИЯ, КАТЕХОЛАМИНЫ И ВНУТРЕННИЕ НЕЙРОЛЕПТИКИ
Практически полный отказ современной психиатрии от палат для буйных психических больных объясняется двумя причинами, различными внешне, но сходными по сути. Первая состоит в хирургическом вмешательстве – перерезании катехол-аминергических путей, идущих к лобной коре от таламуса, ретикулярной формации, черной субстранции и некоторых других отделов мозга. Довольно эффективное для снятия агрессивных проявлений шизофрении, это средство, тем не менее, связано с определенной деградацией умственных способностей и в настоящее время уступило место фармакологическим воздействиям. Последние состоят в подавлении рецепции и/или секреции катехоламинов, особенно дофамина, такими соединениями, как галоперидол, трициклические нейролептики и др. Строго говоря, эти агенты не столько лечат больных от шизофрении, сколько подавляют ее проявление: агрессивное поведение, галлюцинации, стереотипную двигательную активность и т.п.
Эффективность указанных средств приближает к пониманию механизмов болезни, включающих глубокое извращение и патологическое усиление в определенных отдела, мозга шизофреников катехоламинергической, особенно дофал. инергической, трансмиссии. Установлено 4–5 кратное повышение плотности рецепторов дофамина D>4>. Показательно, что одно из лучших антипсихотических лекарств – клозапин – обладает наибольшим сродством именно к рецепторам D>4>. Выявлен также значительно повышенный уровень дофамина в височной доле головного мозга, особенно в левой миндалине. Отмечен и ряд морфологических изменений в тех же отделах – увеличение объема боковых желудочков, утончение парагиппокампальной коры и др.
Противоречивыми, в отличие от закономерных изменений содержания дофамина, являются сведения о содержании норадреналина в различных отделах мозга шизофреника. Относительно воспроизводимы лишь данные о повышении уровня норадреналина в цереброспинальной жидкости.
Особого внимания заслуживают сообщения о воспроизведении отдельных проявлений шизофрении при воздействии агентов, так или иначе вмешивающихся в состояние катехоламинергической и серотонинергической систем. Так, аналог дофамина – растительный алкалоид мецкалин вызывает галлюцинации, в том числе цветные, имеющие сходные элементы с шизофреническими.
Животные, получившие высокие дозы фенамина, после периода возбуждения проявляют монотонную, стереотипную двигательную активность, напоминающую таковую у шизофреников.
Галлюцинаторные явления, наблюдаемые при введении некоторых аналогов серотонина, например диэтиламида лизергиновой кислоты, также заслуживают внимания с точки зрения возможной роли при шизофрении не только извращений катехоламинергической, но и серотонинергической трансмиссии.
Картина
патологического, несбалансированного
усиления при шизофрении катехоламинергических
и, возможно, серотонинергических систем
в определенных участках мозга хорошо
согласуется и с данными об изменении
набора и активности моноаминооксидаз,
расщепляющих соответствующие
нейромедиаторы после выхода из нервного
окончания. Из четырех форм МАО, обнаруженных
в мозге человека, –
I,
II
,
II
и
III – у шизофреников отсутствует III и
существенно модифицирована II форма.
Наконец, в механизмы шизофрении вовлечена еще одна нейромедиаторная система – глутаматергическая. Отмечено ее значительное ослабление во фронтальной коре. Напомним, что с этой системой особенно тесно связан ряд высших функций мозга. Такой антагонист глутамата, как пенциклидин, имитирует некоторые симптомы шизофрении на животных. Сейчас изучается возможность применения агонистов глутаматергических рецепторов для терапии шизофрении.
Меньше данных накоплено пока в отношении изменений пептидной регуляции при шизофрении.
В нервных окончаниях, как правило, встречаются те или иные ассоциации классических яюйромедиаторов с нейропептидами. В частности, дофаминергические окончания особенно часто содержат холецистокинин 8, вазоактивный интестинальный пептид и, реже, соматостатин и вещество Р. В норад-рененргических окончаниях частыми спутниками норадреналина являются нейропептиды Y и энкефалины. Известно также, что холецистокинин 8 и, с меньшей определенностью, соматостатин тормозят дофаминергическую передачу. Аналогичные данные имеются в отношении действия энкефалинов на норад-ренергическую трансмиссию. Активатором же норадренергаческой
передачи является нейропептид Y, а дофаминергической, опять-таки с меньшей определенностью, – вазоактивный интестинальный пептид. Поэтому существенное значение имеют данные о снижении содержания холецистокинина 8 в гиппокампе и миндалине мозга шизофреников. Снижено также содержание в гиппокампе соматостатина, а в миндалине – метэнкефалина и вещества Р, однако концентрация вазоактивного интестинального пептида в миндалине повышена.
Со всей этой группой данных ассоциируются сведения о нейролептическом действии холецистокинина 8 и родственного ему пептида – церулеина, а также некоторых эндорфинов. Оно проявляется в тестах, разработанных в свое время для отбора лекарств-нейролептиков: по способности вызывать каталепсию, по действию на агрессивное поведение, по подавлению эффектов фенамина и др. Снижение ими дофаминергической трансмиссии показано и в экспериментах на клеточном уровне. Все это послужило основанием для наименования холецистокинина 8, а также дезтирозил- и дезэнкефалин-эндорфинов эндогенными нейролептиками. К сожалению, попытки использовать их как лечебные средства для купирования шизофренического синдрома у людей пока не дали ощутимых результатов. Можно говорить пока лишь о положительных тенденциях, в частности о перспективности совместного применения холецистокинина или церулеина с обычными нейролептиками.
Более перспективными представляются исследования, основанные на данных о способности короткого концевого тетрапептида холецистокинина – ХЦК 4 – вызывать состояния тревоги, страха и паники. Действие ХЦК 4 опять-таки связано с активацией части дофаминергической системы. Поэтому на синтезе и испытаниях антагонистов ХЦК 4 основаны надежды на создание нового класса лекарственных веществ для лечения некоторых форм шизофрении.
6. КАТЕХОЛАМИНЫ, НЕЙРОПЕПТИДЫ И ДЕПРЕССИВНЫЕ СОСТОЯНИЯ
Подавление катехоламинергической и серотонинергической систем сопряжено с депрессивным состоянием. Однако картина подавления катехоламинергической трансмиссии при депрессиях не является простым обращением того, что наблюдается, например, при агрессивных формах шизофрении, а механизмы депрессий не сводятся только к нарушениям классических медиаторных систем.
Накопилось немало данных о существенном снижении норадренергической трансмиссии при депрессиях. В меньшей степени снижается активность серотонинергической системы. Еще меньше сдвигов в дофаминергической трансмиссии. Отсутствуют существенные изменения в других классических нейромедиаторных системах. В согласии с этими данными находится эффективность снятия депрессии большой группой лекарственных средств – имипрамином, амитршггилином, инказаном и многими другими, действие которых состоит либо в торможении обратного захвата норадреналина и серотонина, либо в ингибировании их расщепления моноаминооксидазами. Заметим лишь, что таков механизм действия антидепрессантов только на начальных этапах применения. При длительном же их введении включаются сложные изменения в рецепции медиаторов. При введении людям веществ, снижающих уровень катехоламинов, может возникнуть депрессия. Таким веществом оказался резерпин, применяемый при лечении гипертонии.
Таким образом, значимость снижения активности катехоламинергической системы при развитии депрессий очевидна; однако это снижение не является простой противоположностью тем изменениям, которые описаны для шизофрении. При шизофрении – преобладающее усиление дофаминергической трансмиссии, при депрессии – преимущественное подавление норадренергической и серотонинергической. Полагают также, что в характерном для депрессий подавлении психической и двигательной активности участвует также дисбаланс между возбуждающей глутаматергической и тормозной ГАМК-ергической системами, отмечаемый как при депрессиях, так и при шизофрении. Наконец, в мозге больных депрессиями обнаружены значительные, изменения плотности опиатных рецепторов. Это указывает на возможные отклонения в системе «внутреннего вознаграждения».
7. СУДОРОЖНЫЕ СОСТОЯНИЯ, ЭПИЛЕПСИЯ, ГЛУТАМАТНЫЕ РЕЦЕПТОРЫ И ИХ АНТАГОНИСТЫ
Биохимические механизмы судорожных состояний и особенно такой болезни, как эпилепсия, принципиально отличаются от описанных выше для шизофрении, депрессий, наркоманий и алкоголизма. Важная роль в индукции синдрома эпилепсии принадлежит глутаминергической системе. Очевидно также значение ГАМК-ергической и эндозепамергической систем.
С глутаминергической трансмиссией тесно связана не только возможность индукции судорожных состояний, но и ряд высших функций ЦНС, таких, например, как память. В этом одна из причин того, что эпилепсия не сводится к судорожному синдрому и сопряжена с рядом сложных изменений психики.
Рецепторы глутаминовой кислоты – образования сложные и неоднородные. Характерно, что раскрытие их структуры и разнообразия было ускорено обнаружением веществ, которые иногда называют возбуждающими нейротоксинами. К ним относится каиновая кислота, квисквалевая кислота и ряд других соединений, многие из которых имеют общие с глутаматом элементы структуры. Сам по себе глутамат при интрацеребральном введении в определенные зоны мозга может вызывать приступы судорог. Однако каи-нат и квисквалат оказались особенно мощными индукторами судорог и, более того, агентами, способными специфически разрушать нейроны, несущие глутаматные рецепторы.
На глутаматных рецепторах выявлены участки связывания барбитуратов – агентов, тормозящих их функцию и обладающих соответственно противосудорожной активностью. Один из самых мощных и специфичных блокаторов NMDA глутаматных рецепторов – 2 амино 7 фосфоногептановая кислота – предотвращает припадки эпилепсии у экспериментальных животных. Все это заставляет считать изменения глутаминергической трансмиссии одними из узловых в патогенезе эпилептиморфных судорожных состояний.
Поддержкой этой же гипотезы служит обнаружение в плазме крови эпилептиков значительно повышенных уровней антител к белкам глутаматного рецептора. Это используется для диагностики скрытых форм эпилепсии и оценки тяжести заболевания. Подобное явление отражает, по-видимому, снижение функций гематоэнцефалического барьера при развитии эпилепсии, сопровождающееся выходом в периферический кровоток определенных количеств белков рецептора и их фрагментов, и, далее, образованием антител к ним. Возможно, сам патогенез эпилепсии подобен патогенезу аутоиммунных болезней мозга, при которых аутоантитела к белкам мозга служат основным повреждающим фактором. В том, что последняя гипотеза правомочна, убеждают, во-первых, данные о повышенном уровне в плазме крови эпилептиков не только антител к белкам глутаматного рецептора, но и к другим белкам и липидам синаптических мембран мозга, например к белку S 100, а также результаты экспериментов с введением в мозг антител, полученных к различным белковыми и липидным фракциям мозга. Эпилептиформные процессы возникали, в частности, при инъекции антител к некоторым фракциям ганглиозидов.
Другая система, связь которой с судорожными состояниями и эпилепсией весьма вероятна, – ГАМК-ергическая.
Тормозные функции ГАМК-ергической системы носят более универсальный, менее специфический характер, чем функции возбуждающих нейромедиаторных систем. Это отражает, в частности, тот факт, что доля ГАМК-ергических терминалей в мозге является наибольшей. Снижение судорожной готовности и облегчение судорожных состояний установлено при центральном введении ГАМК, а также при периферическом введении его аналогов, способных проходить через гематоэнцефалический барьер. Таков же эффект соединений, тормозящих распад, стимулирующих синтез и обратный захват ГАМК: вальпроата натрия, а также прогабида, у-ацетилен-ТАМК и др.
На рецепторах ГАМК обнаружен барбитурат-связывающий участок. В этом случае в отличие от аналогичного участка на глутаматных рецепторах барбитураты усиливают эффект основного нейромедиатора.
Таким образом, барбитураты проявляют противосудорожное действие, изменяя состояние двух категорий рецепторов: глутаматных, подавляя возбуждающее действие ихлигандов, и ГАМКд-рецепторов, стимулируя их тормозное действие.
Еще более подтверждает представление о роли ГАМК-ергической системы в предотвращении и купировании судорожных состояний тот факт, что подавление синтеза ГАМК, напротив, провоцирует судороги. Ярким примером являются судороги у людей при авитаминозе В>6>. Витамин В>6> служит предшественникам пиридоксаль 5 фосфата, который, в свою очередь, является кофактором глутаматдекарбоксилазы, катализирующей последнюю стадию синтеза ГАМК. Провоцируют судороги и такие ингибиторы этого фермента, как аллилглицин, гидразиды и др. Судорожные припадки вызывает и один из ядов грибов – пикротоксинин, тоже связывающийся с ГАМК-рецепторами и подавляющий их активность. С ГАМК-рецепторами сопряжены, участки связывания эндозепинов – пептидов, вызывающих возбуждение, страх и проконфликтное поведение. Они снижают активность ГАМК-рецепторов. Понятно поэтому, что блокаторы рецепторов эндозепинов – бензодиазепиновые транквилизаторы – оказались агентами, облегчающими эпилептические процессы.
В этой связи, хотя излагаемый материал касается природы эпилепсии и эпилептических судорог, следует отметить и данные о патогенезе судорог, вызываемых такими ядами, как стрихнин и столбнячный токсин. Стрихнин блокирует рецепторы глицина, второго по значимости после ГАМК тормозного медиатора центральной нервной системы, функционирующего преимущественно в спинном мозге. Действие же столбнячного токсина направлено преимущественно на блокаду выхода ГАМК из нервных окончаний в головном мозге, что ведет к блокаде тормозных влияний на мотонейроны. Эти данные опять-таки подчеркивают роль нарушений систем тормозных нейромедиаторов.
Была бы, однако, ошибочной попытка свести патогенез эпилепсии и ряда других судорожных состояний только к изменениям глутаминергической системы или ее баланса с ГАМК-ергической системой. Яркой иллюстрацией сложности проблемы и недопустимости поспешного формирования гипотез в этой области являются, например, данные о способности опиоидного пептида – метэнкефалина – вызывать судороги при аппликации в некоторых участках мозга – вне зон, где он проявляет аналитическое действие, типичное для опиоидов. Эти данные послужили также основой для предположений, что эпилептический приступ – результат чрезмерно высокого выброса энкефалина из опиоидергических терминалей с распространением его на зоны мозга, где он способен индуцировать судороги. Предэпилептическое состояние – аура – истолковывалось при этом как эйфоригенное действие опиоида. К сожалению, вся известная совокупность данных о механизмах эпилепсии не позволяет принять столь простое толкование. Здесь особенно важно сочетанное исследование биохимических и физиологических механизмов эпилепсии.
Особого внимания заслуживают появляющиеся в последнее время данные о роли пептидергических систем при эпилепсии и о существовании эндогенных пептидных лигандов глутаматных рецепторов.
Патогенез судорожных состояний и эпилепсии в отличие от многих других психических болезней тесно связан с изменениями энергетических процессов в нейронах, причем в тех из них, которые входят в патологические эпилептогенные очаги.
Отмечены изменения метаболической структуры нейронов и их митохондрий: повышение проницаемости мембран для К+ и Na+, коррелирующее с повышением чувствительности белков мембран к протеиназам, снижение синтеза АТФ и др. Аномальные локальные изменения концентраций К+ и Na+, а также NH>4>+, выделяющегося при эпилептическом приступе в результате усиления реакций дезамидинирования, могут вызывать или облегчать деполяризацию постсинаптических зон, снижать порог возбудимости и провоцировать судорожный приступ.
С поддержанием энергетического статуса мозга тесно связана система аденозиновых рецепторов Aj. Эти рецепторы выполняют ряд тормозных энергосберегающих функций, вызывая седативные и противосудорожные эффекты. Включение их осуществляется аденозином и аденозинмонофосфатом – конечным продуктом утилизации таких макроэргов, как АТФ и АМФ. Показаны изменения уровня этих соединений при эпилепсии и изучается возможность создания на этой основе новых противоэпилептических средств.
Сейчас трудно окончательно решить вопрос о первичности нарушений в медиаторных, рецепторных или энергетических системах в патогенезе эпилепсии. Несомненна, однако, их взаимодействие. На это указывают глубокие локальные изменения энергетических систем при инъекции каиновой кислоты именно в патологически измененных участках «эпилептического» мозга.
8. ХОЛИНЕРГИЧЕСКИЕ СИСТЕМЫ МОЗГА, р-АМИЛОИД, НЕЙРОПЕПТИДЫ И СЕНИЛЬНЫЕ ДЕМЕНЦИИ
Разновидность старческого слабоумия, так называемая сенильная деменция Альтцгеймеровского типа, сопровождается прежде всего дегенерацией большого числа подкорковых нейронов, холинергические терминали которых широко распространены в мозге. Далее возникают дегенеративные процессы в м-холинергических системах коры и гиппокампа, сопровождаемые снижением уровня ключевого энзима синтеза ацетилхолина – холинацетилтрансферазы и характерными морфологическими изменениями: дефицитом крупных пирамидных нейронов, появлением скоплений белка – участвует в межнейронных контактах и 2) частично расщепляясь специфическими протеазами, образует большой N концевой фрагмент, который выходит во внеклеточные среды мозга и принимает участие в процессах консолидации памяти. При болезни Альтцгеймера искажается протеолиз белка-предшественника и из средней его части вышепляется небольшой фрагмент из 41 аминокислотного остатка – собственно р-амилоид, откладывающийся на поверхности нейронов. Перестает формироваться и упомянутый выше большой фрагмент, стимулирующий консолидацию памяти. В результате возникает глубокое нарушение способности больных к запоминанию.
Дегенерация больших групп нейронов, входящих в м-холинергическую систему, сопровождается также глубокими изменениями ряда нейропептидных систем. К сожалению, пока нельзя сказать, какие из них первичны, а какие вторичны, но очевидно очень значительное снижение уровней кортиколиберина в затылочной коре и в хвостатом ядре, а также соматостатина в височной и лобной коре. В то же время возрастает уровень нейропептида Y в так называемой безымянной субстанции.
В отличие от ряда других психических болезней пока мало информации о лекарственных средствах, облегчающих сенильную деменцию, и поэтому мало соответствующих дополнительных косвенных указаний на биохимические механизмы болезни. Можно лишь отметить имеющиеся неравноценные данные о кратковременно облегчающих болезнь средствах, усиливающих холинергическую трансмиссию, что, во всяком случае, не противоречит изложенным выше представлениям.
В порядке иллюстрации того, как вредна поспешность в формировании научных гипотез, следует упомянуть предположение о том, что причиной болезни Альтцгеймера является токсическое действие алюминия. Авторы гипотезы исходили из сообщений о высоком содержании алюминия в нейронах гиппокампа и некоторых других отделах мозга у людей, страдавших болезнью Альтцгеймера. Этот факт был сопоставлен с широким употреблением алюминиевой посуды и содержащих алюминий пищевых добавок в современную историческую эпоху. Однако, по данным последних работ в этой области, изменения содержания алюминия если и существуют, то не столь велики, как казалось ранее, причем есть основания полагать, что проникновение в мозг и связывание нейронами алюминия – это вторичный процесс, являющийся следствием нарушения защитной функции гематоэнцефалического барьера-
9. КАТИОННЫЙ БЕЛОК МИЕЛИНА, НАРУШЕНИЯ ИММУНОЛОГИЧЕСКОЙ АВТОНОМИИ МОЗГА, АЛЛЕРГИЧЕСКИЙ ЭНЦЕФАЛОМИЕЛИТ И РАССЕЯННЫЙ СКЛЕРОЗ
Значительным достижением нейрохимии и нейроиммунологии является раскрытие ведущих механизмов ряда заболеваний, в основе которых лежит процесс повреждения и частичного рассасывания миелиновой оболочки аксонов, в том числе головного мозга. Этот процесс характерен для таких заболеваний, как аллергический энцефалит и рассеянный склероз, и сопровождается глубокими нарушениями функций ЦНС, в частности анорексией, атаксией и параличами; завершается он в значительной доле случаев летально.
Ключевым экспериментом послужило открытие возможности вызывать аллергический энцефалит у разнообразных экспериментальных животных, если вводить им периферически собственный катионный белок миелина с иммуностимулятором – адъювантом Фрейнда.
КБМ составляет около трети белков миелина. и представляет собой крупный пептид, включающий 160–190 а.о., среди которых особенно велика доля остатков основных аминокислот – лизина, аргинина и гистидина – около 25% суммарно. Даже однократное введение этого белка в дозах менее 0,1 мг/кг с иммуностимуляторами вело через 2–4 недели к развитию у большей части животных аллергического энцефалита. Были выявлены, далее, несколько участков КБМ, ответственных за этот эффект. Минимальными по размеру оказались FSWGAEGQR и GSLPQKAQRPQDEN, энцефалитогенность которых близка или даже превышает исходный КБМ.
В конечном счете сложилось представление о том, что катионный белок миелина или его фрагменты, вводимые животным системно или поступающие из мозга в общий кровоток в результате какого-то повреждения гематоэнцефалического барьера, могут восприниматься внемозговой иммунной системой как чужеродные при условии одновременной иммуностимуляции. Возможность восприятия специфических белков центральной нервной системы как чужеродных является следствием частичной иммунологической автономии мозга, возникающей еще в эмбриогенезе. Поэтому поступление катионного белка миелина или его фрагментов на фоне иммуностимуляции ведет к развитию против них иммунного ответа. В частности, происходит специфическая активация Т-лимфоцитов; процесс завершается привлечением и активацией макрофагов, которые и повреждают миелин.
Поддержкой гипотезы об иммунных механизмах аллергического энцефалита служат данные о возможности его профилактики введением больших доз тех же фрагментов катионного белка миелина, но без иммуностимуляторов. Хотя удовлетворительное объяснение механизма возникающей толерантности – задача трудная, очевидна специфичность явления, ибо ряд пептидов и белков, близких по содержанию основных аминокислот не дают профилактического эффекта.
Раскрытие иммунохимических основ аллергического энцефалита и близких к нему болезней – рассеянного склероза и энцефалита, возникающего иногда после вакцинации против вируса бешенства, – заставляет исследователей с возрастающим вниманием относиться к данным об иммунохимических процессах при других психонейрологических болезнях. Выше уже упоминались предположения о возможной роли этих процессов в патогенезе эпилепсии. Разнообразные спектры антител к мозгоспецифическим белкам и ряд изменений иммуно-компетентных клеток регистрируются при шизофрении, депрессиях и др. Очевидной представляется важность накопления и обобщения данных, находящихся на стыке нейрохимии и нейроиммунологии.
ВЫВОДЫ
1. Один из механизмов наркоманий и алкоголизма состоит в имитации наркотиком, этанолом или их метаболитами функций эндогенных соединений, являющихся в норме факторами «внутреннего подкрепления», «вознаграждения» и т.п. Воздействие на их образование и рецепцию – перспективный путь преодоления состояний абстиненции и зависимости.
2. Главные ферменты метаболизма этанола – алкогольдегидрогеназа и ацетальдегиддегидрогеназа. Модуляция их активности оказывает влияние на формирование и поддержание зависимости от алкоголя.
3. Основные нейрохимические механизмы болезни Паркинсона состоят в подавлении синтеза дофамина клетками черной субстанции мозга.
4. Важными элементами нейрохимических механизмов шизофрении являются: усиление синтеза дофамина в височных и некоторых других областях мозга, усиление и извращение катехоламинергической импульсации в направлении от ряда структур среднего мозга к лобной коре, извращение систем удаления и окислительного расщепления моноаминов, изменение пептидергической трансмиссии. Факторы, подавляющие первые два из указанных процессов, временно приостанавливают проявления шизофрении.
5. В основе депрессивных состояний лежит понижение катехоламинергической трансмиссии. Определенную роль играет и извращение серотонинергической системы. Факторы, подавляющие обратный захват и распад катехоламинов, препятствуют проявлению депрессий.
6. Важным элементом механизмов тревожности, патологического страха и проконфликтного поведения может быть активация систем, генерирующих и рецептирующих эндозепины и производные бета-карболина.
7. Характерной чертой патогенеза эпилепсии и ряда других судорожных состояний является повышение и извращение эффективности глутаминергической трансмиссии и нарушения в ГАМК-ергической системе. Факторы, подавляющие первую систему и особенно активирующие вторую, способны купировать судорожные синдромы и некоторые другие проявления эпилепсии.
8. Основой проявлений ряда старческих психозов является нарушение холинергической трансмиссии. Они сопряжены также с извращением синтеза и патологическим накоплением одного из белков ЦНС – бета-амилоида.
9. Многие болезни мозга связаны с иммунохимическими процессами, в том числе с нарушением иммунной автономии мозга. Демиелинизирующие болезни – аллергический энцефалит, рассеянный склероз и др. – могут быть вызваны иммунизацией к катионному белку миелина. При эпилепсии, шизофрении и некоторых других психических болезнях в крови обнаруживаются антитела к отдельным нейроспецифическим белкам.