Детский церебральный паралич, спастическая тетраплегия, тяжелое течение, стадия реабилитации
Официальные данные
Фамилия, имя: …
Возраст: 5 лет.
Домашний адрес:
Дата поступления в клинику:
Дата начала курации: 29.05.2008 год.
Жалобы
На невозможность самостоятельно стоять, передвигаться, ограниченность движений в обеих ногах и руках. На задержку психического развития: плохо разговаривает.
Анамнез болезни.
Со слов бабушки, девочка больна с 6 месяцев, когда в 2003 году родители обратили внимание на задержку физического развития: ребенок самостоятельно не сидел, плохо держал голову. С 7 месяцев появились признаки ограничения движения в сначала в руках затем в ногах. Обратились к врачу. В 9 месяцев было проведено обследование и поставлен диагноз: ДЦП, спастическая тетраплегия. С 1 года каждые 6 месяцев девочка проходит курс планового лечения.
В настоящее время проходит лечение в стационаре Детской городской больницы №5, психоневрологическом отделении.
Анамнез жизни.
Ребенок от первой беременности. Беременность протекала нормально. Мать инфекционных заболеваний в течение беременности не переносила. Питание удовлетворительное, витамин Д2 получала в необходимых количествах.
Роды I, в срок (40 неделя) самостоятельные, стремительные, без анестезии. Ребенок при рождении m = 3100 г, l = 51 см, окружность головы = 34 см, окружность груди = 34 см; закричала сразу, к груди приложена в родильном зале. Оценка по шкале Апгар 7 баллов. Пуповинный остаток удален на 3 сутки. Домой выписана на 5-ые сутки. Масса при выписке 3000 г. Вскармливание искусственное.
Развитие моторики: девочка начала держать голову с 5-х месяцев. С 6-х месяцев переворачивается на живот, с 8 месяца сидит.
Психическое развитие: улыбается с 3-х месяцев, начала гулить с 5-х месяцев, произносить отдельные слоги с 10 месяцев, с 1,5 лет произносит первые слова.
Зубы прорезались в 6 месяцев, к году у ребенка 8 зубов.
Детский сад не посещала.
Семейный анамнез: туберкулез, алкоголизм, венерические, у родственников отрицает.
Перенесенные заболевания.
Ветряная оспа – 3 года;
ОРВИ – с 3х лет 1-2 раза в год в осенне-зимний период;
Операций, гемотрансфузий не было.
Прививки по индивидуальному графику.
Аллергологический анамнез не отягощен.
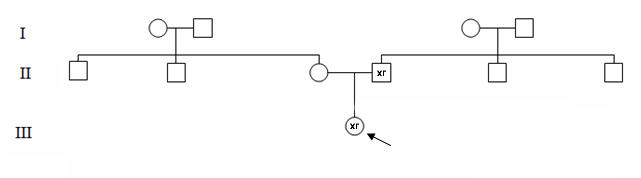
Генеалогическое дерево



Заключение: наследственность не отягощена.
Настоящее состояние больного
Общий осмотр.
Общее состояние легкой степени тяжести, положение тела естественное. Сознание ясное. Поведение активное. Конституциональный тип астенический.
Физическое развития ребенка ниже среднего, пропорциональное, гармоничное.
Кожа и ПЖК.
Кожные покровы розовые. Выраженного цианоза и участков патологической пигментации не наблюдается. Влажность и эластичность кожи соответствуют норме. Сыпи, расчесов, рубцов, видимых опухолей нет. Видимые слизистые розового цвета, чистые, желтушного прокрашивания уздечки языка и склер нет. Конъюнктива глаз розовая. Пальцы правильной формы. Грибкового поражения, повышенной ломкости ногтевых пластинок не отмечено.
Слой подкожно-жировой клетчатки развит умеренно, распределен равномерно. Толщина кожной складки в области пупка 1 см. Отёков не выявлено. Наличия крепитации не выявлено.
При наружном осмотре лимфатические узлы не визуализируются. Затылочные, околоушные, подбородочные, подчелюстные, шейные, надключичные, подключичные, подмышечные, локтевые, паховые, подколенные лимфатические узлы не пальпируются.
Костно-суставная система.
Суставы не деформированы, при пальпации безболезненны, уплотнений не выявлено. Ограничения подвижности не наблюдается. При движении хруст и боль отсутствуют.
Телосложение правильное, деформаций и уродств туловища, конечностей и черепа нет. Форма головы овальная. Осанка правильная. Половины тела симметричны. Деформаций грудной клетки нет. Углы лопаток направлены вниз.
Физиологические изгибы позвоночника выражены в достаточной мере, патологических изгибов нет.
Кости не деформированы, при пальпации безболезненны. Концевые фаланги пальцев рук не утолщены. «Браслеты», «нити жемчуга» - не определяются.
Прорезывание зубов своевременное, состояние зубов – нормальное.
Органы дыхания.
Кожные покровы бледно-розового цвета, симптом Франка отрицательный. Слизистая ротоглотки – ярко розовая, без налета, миндалины не увеличены. Носовое дыхание не нарушено, отделяемого из носа нет. Частота дыхания – 20 раз в минуту. Грудная клетка не деформирована, симметричная, в акте дыхания участвует. Тип дыхания смешанный.
Пальпация грудной клетки безболезненная. Грудная клетка умеренно ригидная. Голосовое дрожание проводится одинаково на симметричных участках. Экскурсия грудной клетки – 6 см. Кожные складки на грудной клетке симметричны.
Перкуссия.
Перкуторный звук ясный легочной над всеми симметричными точками.
Топографическая перкуссия без особенностей.
Сердечно-сосудистая система.
Кожные покровы – телесного цвета, деформации в области грудной клетки не выявляется. Верхушечный толчок определяется в V межреберье, на 1 см кнаружи от среднеключичной линии. Сердечный горб, сердечный толчок не определяются. Видимой пульсации в области больших сосудов не определяется.
Пальпация. Верхушечный толчок пальпируется в V межреберье на 1 см кнаружи от среднеключичной линии; распространенность 1х1 см; верхушечный толчок умеренной высоты, умеренной силы.
Пульс – правильный, твердый, полный, ритмичный. ЧСС = 90 уд/сек.
Отеки не определяются.
Перкуссия, без особенностей.
Аускультация. Сердечные тоны – четкие, ясные, тембр мягкий, нормокардия, ритм тонов правильный. Соотношение тонов сохранено, дополнительных тонов не выслушивается. Шумы не выслушиваются.
Артериальное давление:
Правая рука – 110/70 мм рт. ст.
Органы пищеварения.
Осмотр. Губы бледно-розовые, влажные. Трещины, изъязвления, высыпания отсутствуют. Язык розового цвета, нормальной формы и величины, спинка языка не обложена, сосочки хорошо выражены. Слизистая языка влажная, без видимых дефектов. Десны розовые, кровотечений и дефектов нет. Задняя стенка глотки не гиперемирована, миндалины не увеличены. Запаха изо рта не наблюдается.
Живот нормальной формы, симметричен. Вздутие живота не наблюдается. Перистальтические движения не видны. Пупок втянутый. Коллатерали на передней поверхности живота и его боковых поверхностях не выражены. Рубцов и других изменений кожных покровов не отмечается. Грыжи не выявлены. Мышцы живота участвуют в дыхании.
Пальпация.
При поверхностной пальпации: живот не напряжен, безболезненный. Грыжевые ворота не определяются. Симптом Щёткина-Блюмберга отрицательный, симптом Воскресенского отрицательный, симптом Думбадзе – отрицательный. Симптом Менделя – отрицательный. Расхождение мышц живота, грыж белой линии не выявлено.
Глубокая методическая скользящая пальпация по Образцову-Стражеско. При глубокой пальпации отмечается болезненность в эпигастральной области и в области пупка. Пальпируется большая кривизна желудка по обе стороны от средней линии тела на 3 см выше пупка в виде валика. Привратник пальпаторно не определяется. Сигмовидная кишка пальпируется в левой подвздошной области в виде гладкого плотноватого цилиндра толщиной 1,5 см. Слепая кишка прощупывается в виде умеренно напряженного цилиндра диаметром 1,5 см, безболезненна. Восходящая ободочная и нисходящая ободочная кишки не утолщены, диаметром 1,5 см. Поперечная часть ободочной кишки пальпируется в виде цилиндра умеренной плотности толщиной 1,5 см на один сантиметр выше пупка, подвижна, безболезненна.
При пальпации печень мягкая, гладкая, безболезненная, край острый, расположен на 1 см ниже края реберной дуги. Селезенка не пальпируется.
Мочевыделительная система.
Кожные покровы в поясничной области телесного цвета, припухлости не определяется. Отеков нет.
Почки не пальпируются.
Дно мочевого пузыря перкуторно не определяется. Редуцированный симптом Пастернацкого отрицательный.
Неврологический статус
Состояние психики.
Контакт с девочкой устанавливается с трудом. Психическое развитие ниже возраста. Интеллект снижен. Речь затруднена, односложна. Словарный запас бедный. Чтение, письмо, гнозис и праксис оценить не возможно.
Функции черепных нервов.
1-я пара - обонятельные нервы, 2-я пара - зрительный нерв: функции исследовать не удалось.
3, 4, 6-я пары - глазодвигательный, блоковой, отводящий нервы: ширина глазных щелей - нормальная. Величина зрачка около 4 мм, правильной, круглой формы; сохранена прямая реакция на свет, содружественная реакция с другого глаза. Реакция на конвергенцию и аккомодацию сохранена.
5-я пара - тройничный нерв: парестезий и болей в области иннервации тройничного нерва не выявлено. Чувствительность кожи лица не изменена. Чувствительность к давлению точек выхода ветвей нерва (точки Балле) в норме. Состояние жевательной мускулатуры (движение нижней челюсти, тонус, трофика и сила жевательных мышц) удовлетворительное.
7-я пара - лицевой нерв: симметричность лица в покое и при движении сохранена. Лагофтальм, гиперакузия отсутсвуют. Слезоотделительная функция не нарушена.
8-я пара - преддверно-улитковый нерв: шум в ушах отсутствует. Слуховые галлюцинации не выявлены.
9-10-я пары - языкоглоточный и блуждающий нервы: болей в глотке, миндалинах, ухе нет. Фонация, глотание, слюноотделительная функция, глоточный и небный рефлексы в пределах нормы.
11-я пара - добавочный нерв: поднимание надплечий, повороты головы, сближение лопаток, подъем руки выше горизонтали нарушены в связи с наличием спастического паралича рук.
12-я пара - подъязычный нерв: язык чистый, влажный, подвижный; слизистая оболочка не истончена, нормальной складчатости; фибриллярные подергивания отсутствуют.
Двигательные функции.
Активные и пассивные движения ограниченны. Выявлен гипертонус во всех конечностях. Сухожильные рефлексы с двуглавых, трехглавых мышц, карпорадиальный с обеих рук усиленны. Коленный, ахиллов, подошвенный рефлексы с обеих ног усиленны.
Кожные рефлексы: брюшные верхний, средний, нижний, - положительные.
Патологические рефлексы: Бабинского, Оппенгейма, Гордона, Шеффера, Россолимо, Бехтерева, Жуковского, - положительны на всех конечностях.
Симптомы орального автоматизма: губной, назолабиальный, ладонно-оральный, - отрицательные.
Координацию движений оценить сложно из-за состояния ребенка.
Чувствительность.
Болевая, тактильная чувствительность ориентировочно не нарушены. Анестезия, гипостезия отсутствуют. Сегментарный и проводниковый тип нарушения чувствительности не выявлены.
Менингиальные симптомы.
Ригидность мышц затылка - тонус мышц не повышен, симптом Кернига, Брудзинского(верхний, нижний, средний) отсутствуют.
Вегетативно-трофичкская сфера: температура нормальная, потоотделение усиленно на ладонях и ступнях. Подкожно-жировой слой развит умерено.
Предварительный диагноз и его обоснование
На основании жалоб на невозможность самостоятельно стоять, передвигаться, ограниченность движений в обеих ногах и руках, на задержку психического развития и данных неврологического обследования можно предположить, что в патологический процесс вовлечена нервная система.
Выделены синдромы:
Синдром спастической тетраплегии: на основании жалоб на невозможность самостоятельно стоять, передвигаться, ограниченность движений в обеих ногах и руках и на основании объективных данных (активные и пассивные движения ограниченны. Выявлен гипертонус во всех конечностях. Сухожильные рефлексы с двуглавых, трехглавых мышц, карпорадиальный с обеих рук усиленны. Коленный, ахиллов, подошвенный рефлексы с обеих ног усиленны. Патологические рефлексы: Бабинского, Оппенгейма, Гордона, Шеффера, Россолимо, Бехтерева, Жуковского, - положительны на всех конечностях).
Синдром задержки психического развития: на основании данных анамнеза (девочка начала держать голову с 5-х месяцев. С 6-х месяцев переворачивается на живот, с 8 месяца сидит, улыбается с 3-х месяцев, начала гулить с 5-х месяцев, произносить отдельные слоги с 10 месяцев, с 1,5 лет произносит первые слова) и объективных данных (контакт с девочкой устанавливается с трудом, психическое развитие ниже возраста, интеллект снижен, речь затруднена, односложна, словарный запас бедный).
На основании выделенных синдромов можно предположить диагноз: детский церебральный паралич, спастическая тетраплегия, тяжелое течение, стадия реабилитации.
Топический диагноз и его обоснование
Учитывая данные неврологического осмотра (гиперрефлексия, гипертония, положительные патологические рефлексы на всех конечностях – спастическая (центральная) тетраплегия), можно предположить, что патологический очаг расположен на уровне головного мозга.
Наличие центрального паралича, в совокупности с нарушениями психики (низкое психическое развитие, сниженный интеллект) позволяет предположить наличия патологического очага в лобной доле коры больших полушарий, причем с двух сторон, так как нарушения выявлены симметрично с обеих сторон.
Для уточнения топического диагноза рекомендуется инструментальные методы исследования: КТ или МРТ.
План дополнительных методов исследования
Лабораторные методы:
Общий анализ крови;
Биохимический анализ крови;
Общий анализ мочи;
Кал на яйца глистов;
Инстументальные методы:
КТ
МРТ
Результаты дополнительных методов исследования.
Общий анализ крови:
Hb = 110 г/л;
Лейкоциты – 5,2 Г/л
Сегментоядерные – 56%
Эозинофилы – 2%
Лимфоциты – 38%
Моноциты – 4%
СОЭ – 4 мм/ч
Общий анализ мочи:
Удельная плотность – 1023
Цвет соломенно-желтый
Реакция кислая
Белок – отрицательно
Сахар – отрицательно
Лейкоциты – 3-4 в поле зрения
Заключение: показатели мочи без патологических отклонений.
Кал на яйца глистов – «отрицательно».
Биохимический анализ крови:
Общий белок – 72,0
β-липопротеиды – 44 Ед
АлАТ – 16 Ukat/1
АсАТ – 36 Ukat/1
Билирубин – 11,4 мкмоль/л
Щелочная фосфатаза – 532 Е/л
ГГТП – 28 Е/л
Сахар в сыворотке – 4,4
Заключение: биохимический состав крови без патологических отклонений.
Дифференциальный диагноз
Объемное образование головного мозга.
Общими признаками образования головного мозга и ДЦП является наличие очаговой неврологической симптоматики, психических расстройств которые присутствует в нашем случае.
Но для опухолей головного мозга характерны оболочечные симптомы: нарушение сознания, головные боли; симптомы повышения внутричерепного давления, - что не выявлено в нашем случае. Так же для образований ЦНС характерно прогрессивное течение заболевания, с постепенным нарастанием клиники, отсутствие признаков регрессии. В нашем случае состояние девочки стабильное, без прогрессирования неврологической симптоматики.
Кроме того, для развития подобной клиники (спастическая тетраплегия) должно быть двустороннее поражение коры голоного мозга, что встречается крайне редко.
Лечение
Медикаментозное лечение ДЦП
Медикаменты применяются при лечении в остром периоде поражения мозга новорожденного ребенка, преимущественно в первом полугодии жизни.
При формировании церебрального паралича медикаментозное лечение преимущественно назначается тем пациентам, у которых ДЦП сопровождается судорогами, а также иногда используется для снижения спастики мышц и самопроизвольных движений.
Для борьбы с судорогами применяют две группы медикаментов:
Антиконвульсанты, которые быстро прекращают судорожную активность и предотвращают ее повторное возникновение. Существует большое количество медикаментов этой группы, которые отличаются механизмом действия и требуют длительного лечения.
Препараты группы бензодиазепинов применяется в экстренных случаях для остановки частых судорог или эпилептического статуса. Они действуют на химические процессы в мозге. Наиболее распространенным из них есть диазепам.
В лечении ДЦП медикаменты также иногда применяются для снижения спастики мышц, в особенности после ортопедических вмешательств.
С этой целью чаще всего применяют следующие медикаменты: диазепам, который действует как общий релаксант мозга и тела; баклофен (лиорезал), блокирующий сигналы (команды к сокращению) от спинного мозга к мышцам и дантролен, который влияет на процесс сокращения мышц. При приеме этих препаратов в виде таблеток, они могут снизить мышечный тонус лишь на короткий период времени. Их польза для длительного снижения мышечного тонуса еще никем не доказана. Эти препараты могут вызвать существенные побочные эффекты, такие как сонливость или аллергические реакции, а их влияние на детскую нервную систему еще не полностью изученно.
К медикаментозному лечению также можно отнести введение ботулинового токсина А.
Физическая реабилитация.
Одним из важнейших методов лечения ДЦП является физическая реабилитация, которая начинается уже в первые месяцы жизни ребенка, сразу после установления диагноза. При этом применяют комплексы упражнений направленные на две важных цели - не допустить ослабления и атрофии мышц, вследствие недостаточного их использования, а также избежать развития контрактур, при которых спастически напряженные мышцы становятся малоподвижными и фиксируют конечности больного в патологическом положении.
Хирургическое лечение.
Одним из дополнительных методов лечения ДЦП являются хирургические операции. Наиболее распространенными из них являются ортопедические вмешательства, направленные на устранение укорочения мышц и костных деформаций. Целью этих операций у ребенка с наличием потенциала к ходьбе является улучшение его возможностей к передвижению. Для детей у которых нет перспективы самостоятельной ходьбы, целью оперативного вмешательства может быть улучшение возможности сидеть, облегчение выполнения гигиенических функций, а также, в ряде случаев, устранение болевых синдромов.