Клетка: структура, рост. Ферменты
Уральская государственная академия ветеринарной медицины
КОНТРОЛЬНАЯ РАБОТА
По предмету: «Генетика»
На тему: «Клетка: структура, рост. Ферменты»
ТРОИЦК 2009
Содержание
Введение
1. Строение клеток
2. Молекулярная структура
3. Рост и биосинтез
4. Ферменты
5. Синтез полимеров
Заключение
Введение
Что скрывается за высказыванием «Организм наследует те или иные признаки»? Возьмем для примера семью, в которой у матери ярко-рыжие волосы и зеленые глаза, тогда как у отца черные волосы и карие глаза. У одного из их сыновей ярко-рыжие волосы, у другого рыжевато-коричневые, а глаза у них карие или светловато-коричневые. У обоих родителей мочки ушей выделяются отчетливо, но у одного из сыновей мочки ушей плотно прижаты к щекам. И мать, и отец выше среднего роста, их дети также довольно высокие для своего возраста. Дети, очевидно, унаследовали признаки от своих родителей, хотя иногда встречаются и необычные, например форма мочек ушей. Но перед тем как начать рассуждать о наследственности, нужно выяснить, что же такое, собственно, признаки.
Цвет во всех растительных и животных организмах определяют химические вещества – пигменты. Пигмент поглощает определенную часть спектра и отражает другую его часть; мы воспринимаем эти участки спектра отраженного света как цвета, тогда как весь спектр кажется нам белым. Черная, бурая или рыжая окраска всегда зависит от пигментов.
Однако некоторые цвета, например голубой цвет радужной оболочки глаз или переливчатая окраска крыльев птиц, возникают не из-за пигментов, а в результате отражения и преломления света в других составляющих организма.
Что можно сказать о росте? Рост определяется многими факторами, в том числе и действием таких химических веществ, как гормоны, среди которых особая роль принадлежит гормону роста. Перейдем теперь к ушным мочкам. Мы пока не знаем, что определяет форму мочек, но кое-что можно понять, зная, что кожа – это ткань, состоящая из множества клеток, и что ее форма зависит от того, как эти клетки растут и соединяются друг с другом. Итак, мы можем выделить то, что объединяет все эти признаки, а именно наличие особых химических структур: пигментов, гормонов и клеток, состоящих из множества химических веществ. Дети наследуют признаки своих родителей, потому что они получают своего рода «инструкции» от родителей – инструкции, согласно которым в их организмах производятся особые пигменты, вырабатывается определенное количество гормона роста; инструкции, которые заставляют их кожу и мышечную ткань принимать те или иные формы, похожие на формы тела родителей.
Передача признаков по наследству сводится к передаче инструкций по производству особых химических веществ и соединений.
Из приведенного определения уже можно понять общее направление современной генетики, хотя мы еще далеки от понимания того, как образуются сложные биологические структуры. Современная генетика стремится узнать, как факторы наследственности, называемые генами, определяют производство определенных пигментов, гормонов или тканей. Понять это можно, только ознакомившись с основными биологическими структурами.
1. Строение клеток
Как телескоп революционным образом преобразил астрономию, так и микроскоп помог людям понять, из чего состоят живые организмы. Можно представить, какое удивление и изумление отразилось на лицах ученых, когда они впервые увидели мельчайшие живые существа в капле воды или в кусочке почвы. Левенгук оставил описания «миниатюрных зверьков», содержащихся в сперме и крови, которые казались ему живыми существами. В 1665 году Роберт Гук исследовал с помощью микроскопа тонкий срез пробки, через который проходил свет, и заметил повторяющиеся ряды мелких клеточек. Он так и назвал их – клетки, хотя на самом деле это были лишь оболочки давно умерших клеток. Вскоре и другие исследователи обнаружили, что все растения и животные состоят из похожих «кирпичиков» самых разных форм и размеров. Позже оказалось, что эти клетки в свою очередь содержат в себе еще более мелкие структуры, необходимые для их жизнедеятельности.
В 1839 году ботаник Маттиас Якоб Шлейден и зоолог Теодор Шванн высказали гипотезу об универсальности клеточного строения. Они пришли к мнению, что все живые организмы развиваются из одной-единственной клетки и что многоклеточные организмы образуются в результате деления клеток. Одно из важнейших положений современной биологии гласит, что все организмы представляют собой либо одну клетку, либо комплекс клеток и что клетка – это основная биологическая единица, окруженная мембраной, которая отделяет ее внутреннюю среду от внешней среды. Таким образом, клетка – это мельчайшая единица живой материи, и все живое, по определению, обязательно состоит из клеток.
На рис. 3.1 в увеличении показаны два поперечных среза – срез небольшого червя и стебля растения. Легко заметить, что обе структуры состоят из маленьких «кирпичиков» – клеток, плотно прижатых друг к другу. В одном и том же организме бывают разные клетки, которые образуют разные виды тканей, такие как эпидермис (кожа или поверхностный слой), мышцы животных или древесина растений. Каждая ткань состоит из особого типа клеток, но для всех клеток характерно наличие оболочки, придающей им форму, и ядра – округлого образования, обычно располагающегося в центре клетки (или у одной из сторон во многих растительных клетках). От окружающей среды содержимое клетки отделено очень тонкой мембраной, которая удерживает вместе ее компоненты и через которую поступают или выделяются различные химические вещества.

Клетка обладает способностью делиться, то есть размножаться. Для этого ей требуются благоприятная среда с питательными веществами, такими, например, как жидкости нашего тела, сок корней растений или искусственная смесь в лабораторной чашке. Каждая клетка вбирает в себя питательные вещества из окружающей среды и строит из них внутри себя различные структуры, увеличиваясь в размерах. Затем она делится на две клетки:
В зависимости от строения клеток все организмы делятся на две большие группы. Прокариоты – в основном это бактерии – очень малы и не имеют ядра (см. ниже). Эукариоты, к которым относятся растения, животные и многие одноклеточные организмы, такие как амебы и синезеленые водоросли, обладают ядром.
Остановимся пока на строении клеток эукариот. Современные микроскопы, особенно электронные, помогли установить, что в большинстве клеток содержатся различные внутренние структуры, которые называются органеллами (рис. 3.2). Самой заметной органеллой часто бывает ядро – центральная структура, ограниченная мембраной. Ядро особенно важно для генетики, так как в нем имеются хромосомы, содержащие наследственный материал. В клетке есть также многочисленные вытянутые тельца, которые называются митохондрии; они получают энергию из молекул пищи, таких как сахар (глюкоза), и накапливают их в химической форме, после чего клетка уже может использовать эту энергию.

Во многих растительных клетках имеются ярко-зеленые хлоропласты, усваивающие энергию солнечного света и накапливающие ее также в химической форме. Обе эти разновидности органелл состоят в основном из мембран, то есть тонких пластин. Мембранами ограничены и другие структуры, которые обычно можно увидеть в клетке, – вакуоли, то есть полости, где хранятся различные материалы, необходимые для тех или иных нужд. Во многих клетках имеется разветвленная система мембран, называемая эндоплазматической сетью, в которой синтезируются белки и другие материалы, после чего они доставляются в нужное место клетки; некоторые вещества подготавливаются здесь к выделению из клетки.
Кроме многоклеточных организмов, таких как многоклеточные растения и животные (состоят из многих клеток), в природе есть и многочисленные одноклеточные и колониальные организмы, состоящие из скопления похожих клеток. К таким организмам принадлежат синезеленые водоросли; некоторые из них имеют хлоропласты необычной формы и ярких цветов. Другие организмы, так называемые простейшие, передвигаются в водоемах посредством крошечных отростков, которые называются ресничками или жгутиками. К простейшим относятся и бесформенные амебы, которые передвигаются, образуя выпячивания оболочки – отростки, называемые ложноножками.
Самые мелкие организмы – бактерии; они могут быть в десятки или сотни раз меньше обычных больших клеток (и как следствие их объем в тысячи или миллионы раз меньше объема клеток-эукариот). Но это полноценные клетки, с четкими границами и постоянной формой. В них нет ядра, потому одна или несколько хромосом, содержащих наследственный материал, находятся непосредственно в цитоплазме, то есть во внутриклеточной жидкости.
Все составные части клеток, которые можно видеть под микроскопом, состоят из более мелких химических структур, от которых зависит природа наследственности. Чтобы получить некоторое представление об этих структурах, нам потребуются только самые общие сведения из курса химии, а именно то, что все вещества состоят из атомов, которые объединяются в молекулы, и что формула вещества отражает состав его молекул. Например, формула воды – Н2O, поскольку каждая ее молекула состоит из двух атомов водорода (Н), связанных с одним атомом кислорода (О). Следует также вспомнить, что атомы каждого элемента имеют определенную массу. Масса атома водорода равна единице, углерода – 12 единицам, а железа – 55,85. Масса молекулы равна сумме масс, составляющих эту молекулу атомов.
2. Молекулярная структура
Рассмотрим для начала два объекта – алмаз и кальцит, структура которых довольно характерна для обычного вещества:
В природе часто встречаются вещества подобного рода. Мы видим, что они имеют упорядоченную форму, и этому есть свои причины, что станет ясно при делении вещества на все более мелкие части. Отложим в сторону алмаз (наш бюджет не позволит проводить с ним эксперименты) и начнем дробить кальцит при помощи долота и молотка. Он распадется на мелкие куски, но – что самое интересное – эти куски будут повторять структуру большого куска. Не обращая внимания на размеры, можно заметить, что углы между гранями и плоскостями остаются постоянными. Раздробив минерал на мельчайшие частички и рассмотрев их под микроскопом, мы увидим все ту же, уже известную нам форму. Оказывается, такое строение имеют даже мельчайшие частички вещества.
Химики, которые называют кальцит карбонатом кальция, скажут, что его структура состоит из карбонатной группы (СO>3>, в которой атом углерода соединен с тремя атомами кислорода) и одного атома кальция. Физические наблюдения показывают, что многочисленные карбонатные группы и атомы кальция расположены в пространстве под теми же углами, что и грани большого кристалла кальцита.
Таким образом, видимая структура материала повторяет кристаллическую структуру. Это та же структура, только во много раз увеличенная.
Физические свойства вещества на макроскопическом уровне отображают закономерности на микроскопическом уровне.
Структура биологического материала также определяется его молекулярным строением. Многие биологические структуры походят на кристаллы, и под микроскопом видны их красивые, четкие формы. Мы уже видели, как упорядочены клетки внутри организма. Такое расположение зависит от структуры материалов, из которых они состоят.
Клетки и ткани всех организмов состоят из одних и тех же веществ. Прежде всего, это вода. На долю воды приходится около 70–90% всех биологических веществ, и потому физические и химические свойства воды во многом определяют свойства биологического материала. В воде растворены соли таких элементов, как натрий, калий, кальций, магний и хлор. Оставшаяся доля приходится на органические вещества, которые состоят из атомов углерода (С), связанных с атомами водорода, кислорода, азота (N) и иногда серы (S) и фосфора (Р).
Самые простые органические молекулы, которые можно встретить в природном газе или в нефти, – метан, этан и пропан.
Они называются углеводородами, поскольку состоят из атомов углерода и водорода. Эти атомы можно изобразить в виде крошечных шариков, соединенных между собой химическими связями. При химической связи два атома делят между собой пару электронов – по одному от каждого атома. На наших рисунках связь между двумя атомами изображена в виде линии.
Каждый элемент характеризуется валентностью, или способностью образовывать определенное число химических связей. Валентность углерода равна четырем, поэтому каждый атом углерода может быть связан с четырьмя другими атомами; благодаря этому его свойству образуется большое число самых разных сочетаний атомов, что приводит к огромному разнообразию органических молекул (рис. 3.3). Две и три параллельные линии означают двойную и тройную связь соответственно. Связь посредством пары электронов называется ковалентной; она очень прочная, для ее разрыва требуется значительное количество энергии, потому органические молекулы довольно стабильны. Однако связи легко разрываются при сгорании (окислении), высвобождая большое количество энергии, поэтому углеводороды служат ценным видом топлива.
В самой простой органической молекуле метана атом углерода связан только с четырьмя атомами водорода. В другой молекуле атом углерода соединен одной связью с другим атомом углерода, образуя цепь С–С, на концах которой располагаются атомы водорода. Цепь С–С может достигать очень большой длины; молекулы воска, например, состоят из 30–36 атомов углерода. Цепь атомов углерода может также замыкаться в кольца различного размера. Но самое большое разнообразие получается от соединения атомов углерода с группами атомов других элементов. Например, гидроксильная группа ОН
Рис. 3.3. Разнообразие органических молекул, основным элементом которых служат атомы углерода, как правило, соединенные в цепи.
Каждая линия между атомами соответствует связи, то есть общей паре электронов. Двойные и тройные линии обозначают двойные и тройные связи между атомами. Более сложные молекулы, особенно те, что имеют кольцевые структуры, обычно изображаются в виде линий, в местах соединения которых атомы углерода (часто с одним или двумя атомами водорода) не обозначаются. Поскольку валентность углерода равна четырем, каждый атом углерода должен иметь четыре связи; если показаны только три связи атома углерода, то с этим атомом должен быть связан еще один атом водорода (кислород, связанный с водородом), присоединенная к углеродной цепи, образует спирт (алкоголь).

Аминогруппа, состоящая из атома азота и двух атомов водорода (NH3), соединенная с углеродной цепью, образует амин. В более сложных группах атом кислорода связан с атомом углерода двойной связью (С=0), и одна из таких комбинаций, карбоксильная группа COOH, образует молекулу кислоты. (Кислотой называется любое химическое соединение, образующее ионы водорода; вспомним, что ионами называются положительно и отрицательно заряженные атомы или группы атомов.)
Комбинации всех видов этих групп с углеродными цепями различной длины и кольцами дает необычайно большое количество органических соединений, но в живых организмах часто встречаются лишь некоторые из них. Самые важные соединения – белки, нуклеиновые кислоты, углеводы и липиды.
Липиды, к которым относятся всем известные жиры и масла, состоят из длинных углеродных цепей – обычно из 16–18 атомов углерода. Мы прекрасно знакомы с их свойствами: ведь это те самые вещества, что оставляют несмываемые пятна на одежде. Все знают, что вода и масло не смешиваются. Вещества, которые смешиваются с водой, называются гидрофильными (буквально «любящими воду»), а вещества, которые, подобно маслу, не смешиваются с ней, называются гидрофобными («боящимися воды»). (Жирные, маслянистые пятна на одежде следует удалять при помощи сухих очистителей, в состав которых входят такие растворители как тетрахлорид углевода, или же при помощи растворителей, содержащих бензин, который также гидрофобен.) По существу, липиды можно определить как вещества, растворяющиеся только в гидрофобных растворителях.
Другие важные биологические вещества отличаются гигантским размером своих молекул. Молекулярный вес небольших молекул, таких, как пропан, бензин или сахар (вроде глюкозы), не превышает двух сотен единиц. В отличие от них, белки, нуклеиновые кислоты и некоторые другие строительные материалы клеток образованы крупными молекулами – макромолекулами, потому что их молекулярный вес исчисляется тысячами единиц и более. В том, что строительные материалы клеток бывают столь большими, ничего необычного нет, ведь и мы при строительстве используем длинные стальные балки и перекрытия из фанеры и железобетона. Твердые части клеток также состоят из больших компонентов.
Но все эти макромолекулы имеют сравнительно несложную структуру. Они представляют собой полимеры, состоящие из повторяющихся u1086 одинаковых, или идентичных, молекул, называемых мономерами:
Например, углеводороды состоят из Сахаров, которые представляют собой небольшие органические молекулы с формулой вроде С6Н12O6. Сахара, представляющие наибольший интерес для нас, – такие, как глюкоза, галактоза и манноза – имеют сложную структуру. Они могут соединяться друг с другом, образуя длинные цепи, иногда даже с ответвлениями. Когда молекулы глюкозы соединяются специфическим образом (химики называют это бета 1:4 связью), то получается целлюлоза:

Целлюлоза – прочный волокнистый материал, из которого состоят стенки растительных клеток, и как следствие это основная составляющая древесины. Но если молекулы глюкозы соединяются иначе (альфа 1:4 связь, иногда с ветвями 1:6), то получаются крахмал и гликоген – основной запасной материал растений и животных. Другие сахара в различных соединениях образуют пектины и камеди, из которых состоит сочная мякоть плодов и других частей растений. Все эти полимеры, масса которых достигает нескольких тысяч единиц, называются полисахаридами, а составляющие их мономеры (сахара) – моносахаридами. Другие полимеры также носят названия, начинающиеся на приставку «поли-», что значит «много».
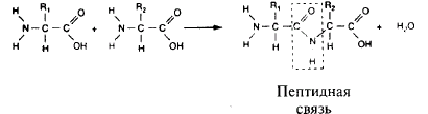
Одни из самых важных полимеров, белки, состоят из длинных цепей мономеров – аминокислот. Аминокислоты названы так, потому что содержат аминогруппу (NH3) и группу органической кислоты (COOH). Две аминокислоты сцепляются посредством соединения карбоксильной группы одной с аминогруппой другой и выделением молекулы воды:

Образовавшаяся молекула (дипептид) на одном конце по-прежнему имеет аминогруппу, а на другом – кислую группу, поэтому к ней могут присоединяться другие аминокислоты. Три аминокислоты образуют трипептид, и так далее; молекула из многих аминокислот называется полипептидом, что, собственно говоря, и есть белок. В типичном белке в одну длинную цепь соединены 200–300 аминокислот. (Когда аминокислота утрачивает аминогруппу и кислотную группу, встраиваясь в цепь, она называется остатком аминокислоты). Поскольку у средней аминокислоты молекулярный вес равен приблизительно 100 единицам, то цепь в 300 аминокислот, или средний белок, имеет атомный вес около 3000 единиц.
Природные белки образуются из 20 видов аминокислот, отличающихся только структурой своей боковой цепи (табл. 3.1). Аминокислоты могут соединяться в любой последовательности, поэтому клетки способны производить огромное количество видов белков. Их предполагаемое разнообразие выходит за рамки человеческого представления. Если имеется 20 видов аминокислот, то 2 аминокислоты – 400 видов дипептидов (с двумя остатками). Трипептидов уже будет 8 тысяч видов, тетрапептидов – 160 тысяч, а цепей из 300 аминокислот – 20300 видов. Такое огромное число невозможно себе представить. Все белки, когда либо производившиеся земными организмами, составляют лишь небольшую часть возможного разнообразия.

Каждый вид белка отличается уникальной последовательностью аминокислот. Например, у человека молекула гемоглобина, входящего в состав красных кровяных телец – эритроцитов, переносит кислород с кровью. Она начинается с последовательности Val-His-Leu-Thr-Pro-Glu-Glu-Lys-Ser–Ala–Val–Thr–Ala (буквенные сокращения означают ту или иную аминокислоту). У обычного человека каждая молекула гемоглобина начинается именно с этой последовательности. В простейшем организме производится по меньшей мере около 2 тысяч различных белков, а в сложных организмах, например у человека, – порядка 30-50 тысяч. (Недавние исследования определили именно такой диапазон, хотя точное количество остается неизвестным.) Каждый белок имеет структуру, подходящую для выполнения различных функций, поскольку белки – это основные «рабочие лошади» организма. Они выполняют практически все функции, которые мы отождествляем с понятием «живой организм»:
♦ белки – это ферменты, которые убыстряют и контролируют все химические реакции в организме;
♦ белки образуют видимые структуры тела: кератины служат строительным материалом волос, кожи и перьев; коллагены входят в состав хрящей и костей;
♦ белки образуют волокна, которые сокращают и растягивают мышцы и другие подвижные образования, такие как реснички и жгутики;
♦ белки составляют важный класс гормонов, которые передают сигналы от одного вида клеток в организме другому виду клеток;
♦ белки образуют рецепторы, которые получают сигналы, соединяясь с другими молекулами; клетка получает сигналы от гормонов, если молекула гормона соединяется с одним из ее рецепторов; рецепторы, благодаря которым мы чувствуем вкус и запах, позволяют организму распознавать наличие небольших молекул во внешней среде и реагировать на них;
♦ белки переносят ионы и небольшие молекулы через клеточные мембраны, что необходимо для работы нашей нервной системы и таких органов, как почки;
♦ белки регулируют все виды процессов и следят за тем, чтобы они происходили с нужной скоростью.
Понять, каким образом устроены клетки и как они работают, можно, только узнав подробнее о некоторых функциях белков.
3. Рост и биосинтез
Одно из самых очевидных свойств живого организма – способность к росту. Рост любого организма, например человека, является результатом двух процессов: роста клеток и их деления. Человек, как и многие другие виды организмов, растет только до известного предела, по достижении которого размеры остаются более или менее неизменными. Однако все наши ткани постоянно обновляются, некоторые даже с очень большой скоростью; отдельные клетки организма также постоянно растут, на смену старым приходят новые. Очевидно, что организм растет за счет поступления питательных веществ, из которых он создает свои структуры. Как давно было известно, «человек есть то, что он ест». Часть молекул, поступающих в виде пищи, мы преобразуем в строительные вещества для наших клеток, а другие молекулы образуют отходы, такие как углекислый газ, вода и мочевина. Фотосинтезирующие организмы (зеленые растения) в свою очередь этими «отходами» питаются, производя из них строительные вещества для своих клеток. Так или иначе, атомы из внешней среды становятся атомами растущего организма.
Рост – это химический процесс. При взаимодействии молекул одни связи атомов рвутся, а другие образуются. Происходят химические реакции, во время которых порядок расположения атомов меняется. Например, молекулы кислорода, содержащиеся в воздухе, при нагревании сталкиваются с атомами углерода в куске угля; объединяясь, они образуют углекислый газ (СO>2>). Это происходит всякий раз, когда уголь горит; при этом выделяется некоторое количество тепла, так как для образования новых связей между атомами угля и кислорода требуется меньше энергии, чем для поддержания их старых связей. Молекулы углекислого газа в свою очередь могут вступать в реакцию с молекулами воды, образуя угольную кислоту: Н>2>O + СO>2> -> Н>2>СO>3>.
От подобных реакций и зависит жизнь, поскольку каждая клетка должна вбирать в себя атомы и молекулы из окружающей среды и преобразовывать их в необходимые для своего существования материалы, извлекая из них энергию. Например, в нашей крови всегда должна присутствовать глюкоза, потому что из этого сахара наши клетки черпают энергию; кроме того, они растут за счет получаемых из глюкозы атомов углерода, водорода и кислорода, объединяя их в сложные белки и другие макромолекулы.
Процесс, благодаря которому организм производит необходимые ему вещества, происходит внутри клеток и называется биосинтезом. Представьте, что клетка – это завод, который выпускает не машины и телевизоры, а такие же клетки. На заводе продукцию собирают на конвейере, или сборочной линии. Сборка начинается с основной части, к которой первый работник добавляет некую небольшую деталь. Следующий за ним работник добавляет другую деталь и так далее, пока вся конструкция не окажется готовой. Сложная продукция, например автомобиль, собирается в нескольких цехах, на разных сборочных линиях; на последнем этапе готовые части автомобиля собирают в единое целое.
Приблизительно так же строит себя живой организм. Совокупность всех химических изменений называется метаболизмом. Отдельная сборочная линия называется путем метаболизма, а молекулы, преобразуемые в ходе процесса, – метаболитами. На каждом пути к молекулам добавляются атомы, или они лишаются атомов, пока не получится конечный продукт. Метаболический путь может представлять собой последовательность реакций, например: 1) от атомов углерода в молекуле отделяются два атома водорода; 2) к атомам углерода добавляется молекула воды (Н – к одному атому, ОН – к другому); 3) из группы ОН удаляется атом водорода и атом кислорода оказывается связанным с атомом углерода двойной связью; 4) к другому атому углерода добавляется группа NH>2>. Все изменения проходят отдельными мелкими шагами (таково свойство химических реакций); в каждой функционирующей клетке содержатся сотни или даже тысячи различных метаболитов.
Все пути метаболизма нацелены в основном на синтез мономеров и других сравнительно малых молекул клетки. (Некоторые метаболические пути предназначены для разборки молекул пищевых веществ для получения энергии, которая затем используется в биосинтезе и других процессах, но мы пока не будем затрагивать эту тему.) Есть свой путь для каждой из 20 аминокислот, из которых состоят белки; для каждого сахара, из которых состоят полисахариды; для каждого липида и т.д. Все конечные продукты этих путей затем встраиваются в такие сложные структуры, как белки или клеточные мембраны.
4. Ферменты
Линию сборки на заводах обслуживают люди (хотя теперь их все чаще заменяют роботы). Кто же обслуживает пути метаболизма в организме? Каким образом происходят химические реакции, превращающие один метаболит в другой? Иногда для этого ничего дополнительного не требуется. Некоторые химические реакции происходят быстро и сами по себе, едва только необходимые вещества смешиваются между собой; для этого достаточно той энергии, с которой молекулы сталкиваются. Но организмы не могут полагаться на реакции, которые происходят сами по себе. Многие реакции просто не начнутся без дополнительной энергии, и клетки выработали механизм подачи энергии для таких реакций. Кроме того, многие реакции метаболизма происходят настолько медленно, что их обязательно нужно ускорять. Для этого и существуют ферменты. Фермент – это белок, взаимодействующий с некоторой молекулой – субстратом, заставляющий молекулу вступать в определенную химическую реакцию. Фермент может по очереди воздействовать на множество молекул, иногда до нескольких тысяч в секунду.
Каждый метаболит имеет определенную форму. Фермент, который взаимодействует с этим метаболитом, имеет углубление – активный центр; по своей форме углубление комплементарно форме метаболита, то есть соответствует ему, подобно тому как соединяются кусочки головоломки.
Дальнейшие действия зависят от природы фермента. Например, фермент А присоединяет гидроксильную группу к некоему метаболиту; фермент В разделяет этот метаболит на две части, а фермент С удаляет его аминогруппу. Каждый из этих ферментов может участвовать в различных путях метаболизма, ведь многие метаболиты преобразуются в различные конечные продукты.
Ферменты и есть те «работники», которые обслуживают линию сборки. Некоторые пути метаболизма действительно физически похожи на линию сборки, по которой молекулы переходят от одного фермента к другому. Однако многие процессы происходят только потому, что ферменты и субстраты перемешаны внутри небольшого пространства клетки.
На рис. 3.4 показана структура одного из ферментов, в котором цепь аминокислот, образующая его первичную структуру, особым образом сложена и образует активный центр. На этом участке определенные остатки аминокислот расположены так, чтобы их боковые цепи взаимодействовали с атомами субстрата и начинали нужные химические реакции. Фермент и субстрат часто сравнивают с замком и ключом, потому что они подходят друг к другу по форме, но не следует забывать и о том, что в ходе процесса их форма меняется. Ферменты – настолько прекрасные катализаторы, что могут ускорять реакции в тысячи раз, и отдельная молекула фермента может за секунду обработать несколько тысяч молекул субстрата. Важно, что клетка содержит множество молекул каждого вида метаболита, которые постоянно преобразуются в молекулы другого метаболита. Поэтому говорят, что в клетке содержится определенная концентрация того или иного вещества.

Рис. 3.4. Структура фермента карбоксипептидазы
На рисунке показано, как аминокислоты (обозначенные буквенными сокращениями с порядковыми номерами) образуют активный центр именно той формы, которая необходима для проведения определенной химической реакции. Этот пищеварительный фермент расщепляет белковые молекулы пищи. В реакции участвует ион цинка (Zn). Поперечными черточками обозначены взаимодействия атомов и молекул
Некоторые ферменты постоянно добавляют новые молекулы, а другие ферменты удаляют молекулы и посылают их по разным путям метаболизма.
Другие ферменты, или ферментообразные белки, транспортируют молекулы через клеточные мембраны. Мембраны представляют собой тонкий слой липидов и белков (рис. 3.5а), практически непроницаемый для большинства мелких молекул и ионов, однако транспортные белки могут доставлять молекулы внутрь клетки или выводить их наружу, а также перемещать их между разными отделами клетки. На рис. 3.5б показано, как может действовать один из видов транспортных белков. Белок, расположенный в липидном слое, образует канал. Внутри этого канала имеются участки определенной формы, которые, как и активный центр, могут присоединять к себе молекулы исключительно специфической формы. Когда молекула заходит в канал с одной стороны мембраны и присоединяется к активному участку, белок сокращается и выталкивает молекулу через канал с другой стороны мембраны.

Рис. 3.5: а – клеточная мембрана представляет собой тонкий двойной слой молекул липидов с вкраплениями разного рода белков
Большинство молекул, неспособных растворяться в жире, не может пройти через этот липидный слой; б – через транспортные белки проходит узкий сквозной канал. Отдельные мелкие молекулы, или ионы, с одной стороны мембраны присоединяются к участкам этого канала, после чего белок меняет форму и выпускает эти молекулы с другой стороны мембраны
Некоторые транспортные белки используют энергию для того, чтобы накапливать одни виды молекул внутри клетки и выводить другие наружу, регулируя таким образом состав внутриклеточной жидкости.
5. Синтез полимеров
При первичных метаболических процессах синтезируются все аминокислоты, сахара, липиды и другие небольшие молекулы клетки, которые идут на образование таких макромолекул, как белки и полисахариды. После этого синтезировать простой полимер вроде целлюлозы не так уж сложно. Молекула целлюлозы состоит из множества молекул глюкозы, и один из ферментов соединяет их в одну большую цепь.
Синтез белков более сложный. Белки состоят из 20 аминокислот, которые могут соединяться в любом количестве и в любом порядке. Для каждого белка характерна определенная последовательность аминокислот. Любая клетка, например костного мозга, синтезирующая гемоглобин, должна получить «инструкции», в какой последовательности следует соединять аминокислоты. Другими словами, ей необходима информация. Именно благодаря информации мы делаем правильный выбор из множества возможных вариантов. Если нужно набрать телефонный номер друга или узнать высоту Эйфелевой башни, необходимо узнать верное число из всех возможных чисел. Точно так же информация о структуре белка определяет последовательность его аминокислот, например: Ser–Gly–Ala–Ala–Val – Glu-His-Val – … и т.д. Отсюда следует вывод, что в организме должны быть какие-то носители информации, причем в молекулярном виде. Если в организме человека производится около 50 тысяч видов белков, то в клетках человека должна находиться и «инструкция» по сборке этих белков.
Понятно, что этот информационный носитель и является наследственным материалом, так как именно его структура определяет все параметры организма. Каждый организм получает «инструкции» от своих родителей. Каждое поколение передает следующему «инструкции» по сборке специфических белков, а уже от них зависит и внешний вид потомства (окраска волос, рост, форма мочек ушей).
Наследственная информация определяет структуру всех белков организма.
Не будем забегать вперед и объяснять, каким образом передается эта информация и как устроены ее носители. Этому посвящена вся наша книга. Правда, в наши дни каждый знает, что наследственная информация заключена в ДНК – в молекуле дезоксирибонуклеиновой кислоты. Дезоксирибонуклеиновые кислоты – это еще один вид полимеров, отличающийся от белков и полисахаридов, и мы подробнее опишем их в гл. 7. Пока важно знать, что ДНК состоит из четырех видов мономеров, которые могут располагаться в любой последовательности. Эта последовательность передает информацию, необходимую для строительства белков. В конечном счете мы увидим, что ген – это отрезок ДНК, ответственный за производство отдельного вида белка. Кроме того, молекулы ДНК не только переносят информацию, но и воспроизводят себя. Таким образом, копии молекул ДНК передаются каждой новой клетке и последующим поколениям организмов. Это положение u1080 и составляет основу современного учения о наследственности.
Клетки как фабрики по самовоспроизводству и самообновлению
Заключение
Постараемся еще раз представить, как работает организм. Из окружающей среды он получает вещество-сырье и по различным путям метаболизма превращает его в молекулы своей структуры – делает из первичных продуктов мономеры, а затем и полимеры. Но что представляют собой полимеры? В большинстве случаев это те же ферменты, с помощью которых организм производит мономеры, а затем и полимеры. Идея ясна: организм состоит из структур, которые производят сами себя. Белки получают информацию о своем производстве от молекул нуклеиновых кислот, в основном от дезоксирибонуклеиновой кислоты, или ДНК. Полный набор ДНК образует геном клетки. В то же время геном – это физическая структура, содержащая все гены. Наследственная, или генетическая, информация определяет, как производить структуры жизни – катализаторы, да и сам геном. Как только клетка накапливает достаточно новых веществ и структур, она делится, после чего процесс начинаются заново. Поэтому можно сказать, что клетка, эта фундаментальная единица жизни, представляет собой не что иное, как механизм, запрограммированный на самовоспроизводство.