Лазерная терапия. Лечебное применение волн оптического диапазона
БЕЛОРУССКИЙ ГОСУДАРСТВЕННЫЙ УНИВЕРСИТЕТ ИНФОРМАТИКИ И РАДИОЭЛЕКТРОНИКИ
кафедра ЭТТ
РЕФЕРАТ на тему:
«Лазерная терапия. Лечебное применение волн оптического диапазона»
МИНСК, 2008
Лазерная терапия.
ЛТ может применяться как самостоятельный метод наряду с медикаментозным, а также в сочетании с различными методами терапии. При не эффективности медикаментозных методов лазерное излучение позволяет снизить медикаментозную нагрузку на организм.
ЛТ присущи черты патогенетически обоснованного метода. При её применении важно учитывать не только общее состояние организма, специфику патологического процесса, его клинические проявления, стадии и формы заболевания, но и сопутствующие заболевания, возрастные, а также профессиональные особенности пациента. Наиболее эффективно применение ЛТ при функционально обратимых фазах болезни.
Допускается применение совместно с различными физиотерапевтическими процедурами. Суммарная эффективность ЛТ до 80%, а в отдельных случаях до 95%.
Абсолютные противопоказания: заболевания крови (пониженная свёртываемость крови (гемофилия)).
Существует четыре способа доставки НИЛИ пациенту:
1. Наружное или чрезкожное воздействие. Орган, сосуд, нервы и др. физиологические ткани облучаются через кожу в соответствующих местах. Чрезкожное воздействие основано на том, что излучение в ближайшей ИК области хорошо проникает в ткани тела до 5-10 см и достигает поражённого органа. Доставка излучения осуществляется либо непосредственно световой насадкой.
2. Воздействие НИЛИ на точку аккупунтуры хорошо тем, что безболезненно и неинвазивно.
Доказано, что лазерная аккупунтура влияет, на рефлекторные и нейрогуморальные реакции организма стимулируется синтез гормонов, улучшается микроциркуляция, увеличивается синтез эндорфина (гормон радости). Эффект достигается после 5-10 процедуры и более устойчив, чем при рефлексоиглотерапии.
3. Внутриполостной путь (эндоскопический). Используется излучение красной и ИК облости.
4. Внутривенное лазерное облучение (ВЛОК) проводится путём пункции в локтевую или подключичную вену, при интенсивной терапии. Используется излучение красной и ИК области.
Физико-химические основы взаимодействия НИЛИ на биообъекты.
Во всех фотобиологических процессах для преодоления активационных процессов химических превращений необходима световая энергия. Эти процессы включают в себя следующие стадии:
- поглощение света тканевым фотосенсобилизатором (чувствительный рецептор – гемоглобин, меланин, беллирубин);
- образование электронно-возбуждённых состояний;
- первичный фотофизический акт: появление первичных фотопродуктов промежуточной стадии, которая включает в себя перенос заряда, образование первичных стабильных химических продуктов;
- физиолого-биохимические процессы;
- фотобиологический эффект.
При воздействии на биообъект лазерным лучом часть излучения в соответствии с знаками отражения рассеивается, а часть поглощается. Коэффициент отражения кожей электромагнитных волн оптического диапазона достигает в среднем 50-55% и зависит от некоторых причин: охлаждение участка поверхности приводит к снижению отражения на 10-15%, а у женщин коэффициент отражения выше на 5-7%, у лиц старше 60 лет ведёт к увеличению коэффициента отражения в десятки раз. Чем кожа темнее, тем меньше коэффициент отражения.
Глубина проникновения НИЛИ в БО определяется длинной электромагнитной волны. Экспериментально установлено, что проникающая способность лазерного излучения от ультрафиолетового до оранжевого диапазона постепенно увеличивается от 1 до 25 мкм до 2,5 мм, а далее резко увеличивается в ИК до 20-30 мм с пиком проникновения в ближнем ИК до 70 мм λ=960 нм.
Максимум пропускания кожей электромагнитного излучения находится в диапазоне длинных волн от 800 до 1200 нм.
Поглощение низкоэнергетического лазерного излучения также зависит от свойств биоткани. В диапазоне от 600 до 1400 нм кожа поглощает до 40% падающего излучения, а мышцы и кости до 80%, печень, сердце, почки до 100%.
В механизме лечебного действия физических факторов имеется несколько фаз:
Поглощение энергии действующего фактора организмом. При поглощении световой энергии возникают внешний и внутренний фотоэффект и электролитическая диссоциация молекул. При поглощении веществом кванта света один из электронов, находящийся на нижнем энергетическом уровне переходит на верхний энергетический уровень и переводит атом или молекулу в возбуждённое состояние.
При внешнем фотоэффекте электрон, поглотив фотон покидает вещество, но при взаимодействии света с БО это явление выражено слабо, т.к. в полупроводниках и диэлектриках электрон, захватив фотон остаётся в веществе, но переходит на более высокий энергетический уровень. Это и есть внутренний фотоэффект, основу которого составляет изменение электропроводности полупроводника под действием света (фотопроводимость) и возникновение разности потенциалов между различными участками освещённого БО, т.е. к появлению фото ЭДС.
Фотопроводимость бывает:
- концентрационной, которая возникает при изменении концентрации носителей зарядов;
- подвижной, которая возникает в результате поглощения фотонов с относительно низкой энергией, и связанна с переходами электронов в пределах зоны проводимости. При таких переходах число носителей не изменяется, а изменяется их проводимость.
Внутренний фотоэффект, который возникает при возникновении фото ЭДС, следующих видов:
- вентильная (барьерная) фото ЭДС;
- диффузная фото ЭДС (эффект Дембера);
- возникновение фото ЭДС – фотомагнитоэлектрический эффект, который возникает при освещении полупроводника, помещённого в магнитное поле. Эта ЭДС является наибольшей несколько десятков вольт, а также увеличивает терапевтический эффект в несколько раз.
НЭЛИ нарушает слабое взаимодействие атомов и молекул облучаемого вещества (ионные, водородные связи) при этом появляются свободные ионы и происходит электролитическая диссоциация.
Пути реализации энергии атома или молекулы в синглентном состоянии:
- превращение в тепло;
- испускание квантов флюароресценции;
- фотохимическая реакция;
- передача энергии другой молекуле.
Энергия в синглентном состоянии расходуется на:
- безизлучательный переход в основное состояние;
- испускание кванта фосфоресценции;
- фотохимическая реакция;
- передача энергии возбуждения другой молекуле.


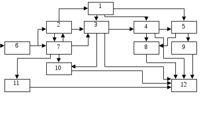
Рис. 1.
1- увеличение синтеза АТФ
2- перестройка биополя
3- увеличение ферментов
4- синтез ДНК
5- стимуляция ферментов клеток
6- Б.О.
7- изменение структуры мембран
8- активационно-имунная система
9- увеличивается регенерация клетки
10- изменение ДНК
11- антимутогенный эффект
12- терапевтический эффект.
Кроме того ЛИ приводит к усилению кислородного обмена, увеличению поглощения кислорода тканями организма с помощью методов полярографии было показано увеличение напряжения кислорода в тканях под действием ЛИ. Различными методами исследования было определенно повышение скорости кровотока, в том числе реографом. В процессе облучения патологической ткани увеличивается число функционирующих капилляров. Воздействие ЛИ на повреждённую ткань приводит к уменьшению внутриклеточного оттёка, что связанно с повышением кровотока в тканях, активации транспорта вещества через сосудистую стенку, и интенсивности формирования сосудов и капилляров. Кроме того происходит значительное укорочение фазы воспалительного процесса, увеличивается скорость роста и регенерации тканей, кроветворения, повышается активность иммунной системы и др. общеорганизменные процессы.
В красной области спектра под фотоакцепторами принято считать молекулярный кислород с образованием синглетного кислорода.
Восприимчивость биоструктур к НИЛИ всего оптического диапазона обусловлена наличием совокупности специфических и неспецифических фотоакцепторов, которые поглощают энергию излучения и обеспечивают её трансформацию в биофизических, и в биохимических процессах. НИЛИ при облучении БО вызывает различные эффекты, которые связанны с непосредственным и апосредственным действием излучения оптического диапазона. Непосредственное действие происходит в объёме, где происходит облучение, при этом ЛИ непосредственно взаимодействует с фотоакцепторами и происходит весь комплекс фотофизических и фотохимических реакций. Кроме фотоакцепторов на прямое действие электромагнитных волн реагируют также молекулярные образования, в которых происходит нарушение слабых атомно-молекулярных связей, что усиливает эффект непосредственного влияния ЛИ.
Опосредованное действие связанно либо с трансформацией энергии излучения, её дальнейшим переносом либо передачей этой энергии или эффекта от её воздействия различными путями.
Проявления этого действия:
- переизлучение клетками электромагнитных волн;
- передача энергии этого излучения по каналам и меридианам рефлексотерапии.
Установлено, что при ЛИ инвитро клеточного монослоя происходит переизлучение клетками электромагнитных волн длинной волны равной длине волны первичного излучения на расстоянии до 5 см.
При оптимальных дозах воздействия на организм НИЛИ происходят процессы активации и саморегуляции, мобилизируются собственные ресурсы организма.
Конечный фотобиологический эффект ЛИ проявляется ответной реакцией организма и комплексного реагирования. Это находит отражение в клинических эффектах лазерной терапии.
В результате снижения рецепторной чувствительности, отёка и напряжения тканей, длительности фаз воспаления и отёка даёт обезболивающий, противовоспалительный и отёчный эффект т.е. увеличение скорости кровотока, появление новых капилляров приводит к усилению регионального кровотока, ускорению метаболических реакций, способствует процессам регенерации, проявляется бактерицидный и бактериостатический эффект.
При воздействии ЛИ на организменном уровне последовательно или одновременно происходят реакции на атомно-молекулярном уровне:
поглощение света тканевым фотоакцептором;
внешний фотоэффект;
внутренний фотоэффект и его проявления;
возникновение фото ЭДС;
электролитическая диссоциация ионов (разрыв слабых связей);
электронное возбуждение;
миграция энергии электронного возбуждения;
первичный фотофизический акт;
появление первичных фотопродуктов.
на клеточном уровне:
изменение энергетической активации клеточных мембран;
активация ядерного аппарата клеток, систем ДНК, РНК, белок;
активация окислительно-востановительных биосинтетических процессов и основных ферментативных систем.
на органном уровне:
снижение рецептотивной чувствительности;
уменьшение длительности фаз воспаления;
уменьшение интенсивности отёка и напряжения ткани;
увеличение поглощения тканями кислорода;
повышение скорости кровотока;
активация транспорта веществ через сосудистую стенку;
увеличение количества новых капилляров.
на уровне целостного организма клинические эффекты:
иммунокорегирующий;
регенераторный;
десенсибилизирующий;
бактерицидный.
Лечебное применение волн оптического диапазона.
Воздействие ИК излучения на биоткани.
Проникающая способность максимальна λ=0,95 мкм.
В ИК области энергия фотонов соответствует 1,6-1,4*10-16Дж. Она достаточна для того, чтоб увеличить колебательную энергию биомолекулы.
В видимой области спектра энергия фотонов соответствует 3,5-6*10-16Дж, уже способна вызвать электромагнитное возбуждение биомолекул и фотолиз.
Световые кванты УФ излучения от 6-10*10-16Дж, способны вызвать ионизацию молекул и разрушение ковалентных связей.

Определяющим в фотобиологическом действии оптического излучения видимого диапазона является поглощение световых квантов атомами и молекулами биоткани.
Закон Гродбуса-Грейпера: Степень проявления фотобиологических реакций в организме определяется интенсивностью оптического излучения, которое обратно пропорционально квадрату расстояния до исследуемого БО. Это важно, так как от этого зависит доза облучения.
Источником ИК излучения является любое нагретое тело. Интенсивность и спектральный диапазон определяется температурой.
Существуют специальные установки ИК излучения, по сути это лампы накаливания ЛСС-6 (температура нагрева нити накаливания равна 7000С, мощность до 100 Вт), и передвижная установка ПЛС-67 (мощностью до 100 Вт и температурой нагрева до 20000С).
Лечебный эффект:
- противовоспалительный;
- лимфодренирующий;
- сосудорасширяющий.
При поглощении энергии ИК излучения происходит локальное повышение температуры облучаемых кожных покровов на 1-20С, что вызывает местные терморегуляционные реакции. Это приводит к изменению тонуса капилляров и изменению функциональных свойств кожного покрова. Этот процесс происходит фазно: в течение первых 20 с, наблюдается спазм капилляров и микрососудов, после чего происходит увеличение локального кровотока и увеличивается приток крови в ткани, это приводит к гиперемии (покраснение) поверхности кожного покрова. Гиперемия исчезает через 20-30 минут после проведения процедуры. Если проводить процедуру не однократно, то на участке наблюдается пигментация. Выделяющаяся при этом тепловая энергия приводит к усилению метаболических процессов, происходит дегидратация (обезвоживание) опухолей и мест, где локализуется воспалительный процесс, активация микроциркуляторного русла. Облучение производят на расстоянии 30-100 см от облучаемой ткани.
Зарубежные облучатели: СолюксS-300(500 и т. д.).
Хромотерапия.
Хромотерапия – это применение в лечебных целях излучения видимого диапазона.

При поглощении видимого излучения в коже происходит выделение тепла, активация микроциркуляторного русла, усиливается метаболизм облучаемой ткани.
Белый свет приводит во взаимное соответствие фазу бодрствования и фазу сна.
Синее излучение корректирует концентрацию билирубина в крови.
Оптическое излучение видимого диапазона обладает: тонизирующим, гематокоррегирующим, психостимулирующим действиями.
Ультрафиолетовое излучение сопровождается наибольшей энергией световых квантов. Различают три диапазона УФ излучения:
- длинноволновое
- средневолновое
- коротковолновое.
При поглощении квантов ультрафиолета в коже происходят реакции:
- реакция фотолиза (т.е. разрушение белковых молекул);
- фотосинтеза (образование более сложных биомолекул);
- фотоизомеризации (образование новых молекул, но с совершенно иными физико-химическими свойствами).
Сочетание и выраженность этих реакций, а также проявление последующих лечебных эффектов определяется спектральным составом УФ лучей.
Длинноволновое УФ излучение (ДУФ).

Используется в соляриях, в PUVA терапии.
Лечебные эффекты:
- меланинобразующий
- иммуностимулирующий
- фотосенсибилизирующий.
Плотность энергии соответствует 0,15-10*10-4Дж/м2. Все источники делят на: селективные и интегральные. В селективных получают излучение от лампы ЛУФ153, с максимумом спектральной плотности в длинноволновом диапазоне (320-400 нм).
Расстояние должно быть не менее 15 см от источника до облучаемой ткани. В солярии применяются лампы 80-100 Вт для загара тела, а для загара лица применяются металлогалогенные лампы мощностью до 400 Вт.
Средневолновое УФ.
Диапазон – 280-310.
Его кванты обладают достаточной энергией для образования в коже продуктов фотолиза, продуктов перекисных окислений липидов, что вызывает изменение липидно-белковых соотношений, изменение проницаемости мембран, вязкости и т.д.
Вследствие возникновения различных реакций (выделение гепарина, который препятствует свёртываемости крови, гистамина, фактора активации тромбоцитов) происходит увеличение количества артериол и капилляров, нарастание скорости локального кровотока. Это приводит к гиперемии и называется эритерма. Эритерма – покраснение, которое сохраняется в течение 10-12 часов, и в этом месте образуются биоактивные вещества. Эта эритерма сохраняется до 3 суток.


Вследствие возникновения гуморальных реакций происходит активация микроциркуляторного русла и происходит снижение рефлекторного спазма сосудов т.е. после неоднократных средневолновых УФ у больного может наблюдаться пигментация, которая сохраняется длительное время.
Чувствительность кожи зависит от поры года, весной повышается, а осенью понижается.
Биодозу определяют в нижней части живота (так как там максимальная чувствительность, минимальная чувствительность на кистях рук). Биодоза примеряется с помощью биодозиметра (БД-2), он представляет собой аппликатор, в котором есть 4 окошка, которые можно регулировать с помощью ленты. В течение 60с с интервалом 10с. Проводят расчёт дозы в зависимости от расстояния:
Д>х>=Д>0>*(r>х>/r>0>)
Д>0> – биодоза на расстоянии 50 см
Д>х> - биодоза на расстоянии х см
r>0> – 50 см
r>0> – х см.
Методика:
1 сеанс – 1/8
2 сеанс – 1/4
3 сеанс – 1/2
4 сеанс – 1
Продолжительность курса до 3 недель, площадь облучаемого участка не должна превышать 600 см2.
Коротковолновое УФ.
Приводит к ионизации атомов и молекул, что ведёт к разрушению структуры микроорганизмов и грибков.
Эритерма при коротковолновом УФ излучении развивается уже через несколько часов, обладает ярко выраженным синюшным цветом.
Лечебный эффект:
- бактерицидный
- иммуностимулирующий
Используется для облучения слизистых (носоглотки, миндалин)
- коагулирующий (при воздействии на кровь).
Длина волны λ=180-280 нм
Используются газоразрядные лампы (ДКР-120) для облучения слизистых, используют бактерицидные лампы (ДБ, мощностью до 150 Вт, λ=250-260 нм). Выпускаются лампы настенные (ОБН), напольные (ОБШ).
Источником излучения служит лампа, в которой производится электрический разряд паров ртути с аргоном.
Фотодинамическая терапия.
С помощью источников лазерного излучения можно проводить лечение онкологических заболеваний.
Метод основан на поглощении клетками опухоли излучения на избирательном уровне. Клетки опухоли сенсибилизируются порферированным красителем, затем они облучаются лазерным излучением оптического диапазона 672-730 нм, (аргоновый лазер марки “Инверсия”, лазер на парах меди “Яхрома”).
Импульсы частотой до 20 Гц, мощность до 5 Вт облучают эти клетки и за счёт того, что в них происходит накапливание продуктов диссоциации кислорода происходит их деструкция (НО>3>).
ЛИТЕРАТУРА
1. Белова А.Н. Нейрореабилитация .-М. Антидор, 2000 г. – 568с.
2. Прикладная лазерная медицина. Под ред. Х.П. Берлиена, Г.И. Мюллера.- М.: Интерэкспорт, 2007г.
3. Александровский А.А. Компьютеризованная кардиология. Саранск; "Красный Октябрь" 2005: 197.
4. Разработка и постановка медицинских изделий на производство. Государственный стандарт Республики Беларусь СТБ 1019-2000.
5. Штарк М.Б., Скок А.Б. Применение электроэнцефалографического биоуправления в клинической практике. М. - 2004 г