Лекарственное растительное сырье, содержащее сапонины
1. Описание сапонинов
1.1 Определение и классификация
1.2 Характеристика групп сапонинов
1.3 Физические свойства
1.4 Химические свойства
1.5 Распространение в природе
1.6 Медицинское использование
1.7 Анализ лекарственного растительного сырья
2. Растительное сырье, содержащее стероидные сапонины
2.1 Диоскорея ниппонская
2.2 Диоскорея дельтовидная
2.3 Якорцы стелющиеся
2.4 Юкка славная
3. Лекарственное сырье, содержащее тритерпеновые сапонины
3.1 Солодка голая
3.2 Синюха голубая
3.3 Аралия маньчжурская
3.4 Конский каштан
3.5 Ортосифон тычиночный
3.6 Истод тонколистый
3.7 Астрагал шерстистоцветковый
3.8 Женьшень
4. Лекарственное сырье, содержащее стероидные гликоалкалоиды
4.1 Паслен дольчатый
4.2 Чемерица Лобеля
4.3 Сабадилла лекарственная
Выводы
Список использованной литературы
1. Описание сапонинов
1.1 Определение и классификация
Сапонины – это гетерозиды, производные стероидов и тритерпеноидов, обладающие гемолитической активностью и токсичностью для холоднокровных животных.
Слово "сапонины" происходит от латинского названия растения Saponaria officinalis – мыльнянка лекарственная, из которой впервые в 1811 году было выделено вещество, обладающее указанными выше свойствами. Термин "сапонины" был предложен в 1819 г. Melon.
В зависимости от химической природы агликона сапонины делят на три группы:
Стероидные сапонины.
Стероидные гликоалкалоиды.
Тритерпеновые сапонины.
1.2 Характеристика групп сапонинов
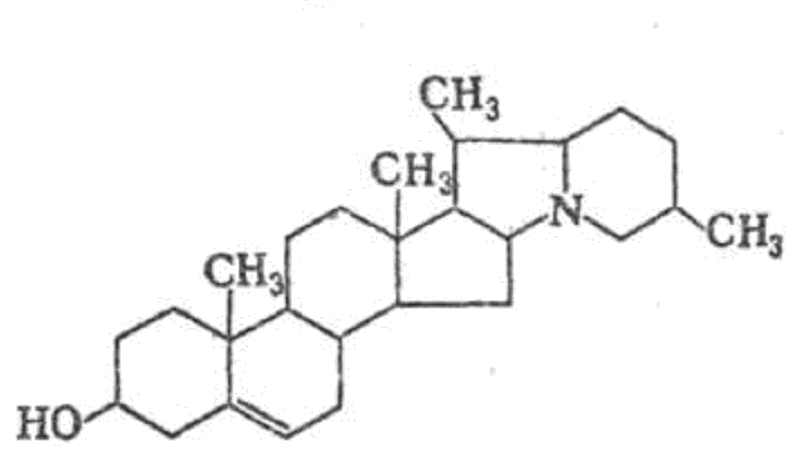
Стероидные алкалоиды представляют собой стероидные соединения, в которых сочетаются свойства как алкалоидов, так и стероидных сапонинов. Подобно сапонинам, гидролизуются на сахар и агликон, обладают поверхносной и гемолитической активностью. Стероидные алкалоиды - это гликозиды, в которых агликонами являются азотсодержащие стероидные соединения с 27 углеродными атомами, представляющие собой производные циклопентанпергидрофенантрена. По строению они аналоги стероидных сапонинов и отличаются от них содержанием в агликоне (сапогенине) атома азота в пятом или шестом (Е, F) кольце. Благодаря наличию атома азота в агликоне обладают основными свойствами. Стероидные алкалоиды широко распространены в растениях семейства пасленовых, у различных видов паслена, особенно дольчатого, содержащего стероидные гликоалкалоиды. Близкие стероидные гликоалкалоиды найдены в ботве картофеля, помидоров, баклажанов, красного перца, в паслене черном и паслене сладко-горьком. Эти травы при переработке могут дать агликон соласодин и другие стероиды, пригодные для синтеза кортизона. Стероидные алкалоиды характерны также для рода чемерицы. Стероидные алкалоиды, подобно стероидным сапонинам, обладают поверхностно-активными и гемолитическими свойствами и образуют молекулярные соединения с холестерином и близкими стеринами.
Некоторые стероидные алкалоиды обладают гипотензивным, спазмолитическим, бронхорасширяющим, противовоспалительным, противогрибковым действием.
Стероидные алкалоиды могут быть нескольких типов.
Оба вида дико произрастают в Австралии, Новой Зеландии и субтропической зоне. В умеренной зоне культивируются как однолетники.
Часто различают четыре группы стероидных алкалоидов, которые выделяют из растений родов паслен (Solanum), чемерица (Veratrum), голаррена (Holarrhena), фунтумиа (Funtumia), самшит (Buxus). Наибольшее значение имеют алкалоиды чемерицы и паслена. Первые иногда делят на две группы в зависимости от числа атомов кислорода в их молекулах. Алкалоиды одной группы содержат 1-4 атома О и обычно присутствуют в растениях в виде свободных аминов или моно-D-гликозидов. Типичный представитель этого класса стероидных алкалоидов - иервин.

Молекулы алкалоидов второй группы содержат 7-9 атомов кислорода и находятся в растениях в виде сложных эфиров. Примерами могут служить протовератрины А (R = Н) и В (R = ОН), используемые в фармакологии.

При внутривенном введении они вызывают брадикардию и снижают кровяное давление. Основные недостатки их как лекарственных средств - небольшая разница между терапевтическими и токсическими дозами и наличие побочных эффектов.
Алкалоиды паслена представляют интерес как потенциальные источники стероидов. Некоторые из них проявляют фунгистатическую активность. Внутри этой группы различают алкалоида типа томатидина из диких томатов (Solanum lycoperisicum)

и алкалоиды типа соланидина (VI), выделенные из нескольких растений рода паслен.

Томатидин и соланидин получены также синтетически. Биогенетические предшественники стероидных алкалоидов - уксусная и мевалоновая кислоты. Гликозиды соланидина токсичны.
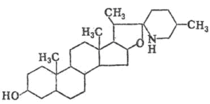
Стероидные сапонины являются производными циклопентапергидрофенантрена, относятся к С>27>-стеролам, которые в положении С>16>-С>17> имеют спиростановую (I) или фуростановую (II) группу.

I) Диосгенин (спиростановый тип)

II) Диосгенин (фуростановый тип)
Агликоны (сапогенины) всегда имеют гидроксигруппу у С>3>, иногда у С>1>, С>2>, С>5>, С>12>. У многих в положении С>5>-С>6> имеется двоная связь.
Наличие в стероидных сапогенинах спирокеталъных группировок указывает на их тесную генетическую связь со стеринами. По-видимому, "скваленовая" гипотеза применима и в отношении биогенеза стероидных сапогенинов.
Стероидные сапонины типичны для представителей семейств лилейных, амариллисовых, диоскорейных, норичниковых; они обнаружены также в растениях других семейств: бобовых, парнолистниковых, лютиковых, пасленовых. Они нетоксичны для теплокровных, но убивают холоднокровных, например рыб. Последнее свойство использовалось первобытными народами при рыбной ловле. Стероидные сапонины имеют важное значение как дешевые исходные продукты для синтеза стероидных гормонов.
Тритерпеновые сапонины являются производными изопрена – (С>5>Н>8>)>6>. В зависимости от количества сконденсированных колец делят на 2 группы: пентациклические и тетрациклические.
Пентациклические сапонины в свою очередь подразделяются на несколько групп:
а) группа -амирина (урсана) – I
б) группа -амирина (олеанана) – II
в) группа лупеола – III и др.

I C>28>- COOH (урсоловая кислота)

II С>28>-СООН (олеаноловая кислота)

III
К группе -амирина относятся сапонины почечного чая; -амирина – сапонины солодок, каштана конского, сенеги, синюхи голубой, аралии маньчжурской.Пентациклические чаще всего имеют гидроксигруппу в положениях С>3>, С>16>, С>21>, С>22>, С>24>; карбоксильную группу у С>28, >С>29 >(глицирризиновая кислота), карбонильную – у С>3>, С>11> и др. группы. Гидроксигруппы могут быть этерифицированы органическими кислотами. Двойная связь чаще всего находится в положении С>12>-С>13>.
Тетрациклические делят на две группы:
а) группа даммарана (1) и циклоартрана (II).

I C>3>, С>12> – ОН = протопанаксдиол, С>3>, С>6>, С>12> – ОН = протопанакстриол

II
К группе даммарана относятся сапонины женьшеня (панаксозиды), а к группе циклоартрана – астрагала шерстистоцветкового (дазиантогенин).
Углеводные компоненты, представленные D-глюкозой, D-ксилозой, L-рамнозой, L-арабинозой, уроновыми кислотами и др., могут присоединяться к агликону в разных положениях: по гидроксигруппе (О-гликозидная связь), а также карбоксильной группе (ацильная связь), образуя прямые (солодки) или разветвленные цепи (диоскорея, каштан конский, сенега и др.).
Как видно из вышеизложенного, сапонины имеют разнообразное и сложное строение, что затрудняет их изучение и разработку методов анализа.
1.3 Физические свойства
Сапонины – бесцветные или желтоватые гигроскопические кристаллические (чаще стероидные) или аморфные вещества с высокой температурой плавления (с разложением).
Растворяются в воде; водные растворы при встряхивании образуют устойчивую пену за счет снижения сапонинами поверхностного натяжения жидкости. Растворимость в полярных растворителях (воде, спирте) увеличивается с возрастанием количества углеводных остатков в молекуле сапонина. Не растворяются в неполярных органических растворителях. Агликоны сапонинов не растворяются в воде, хорошо растворяются в спирте и других органических растворителях.
Водныерастворы сапонинов могут иметь кислую или нейтральную реакцию. Кислотные свойства могут быть обусловлены наличием карбоксильной группы у агликона и углеводного компонента.
Необходимо иметь ввиду, что некоторые сапонины могут не давать устойчивой пены (глицирризин), а гемолиз крови вызывают и другие вещества.
1.4 Химические свойства
Сапонины образуют (в том числе и в растениях) не растворимые в воде молекулярные комплексы со стеринами, липидами, дубильными веществами, белками. Эти комплексы разрушаются при нагревании с хлороформом. Поэтому перед экстракцией сапонинов из сырья, его рекомендуют предварительно обработать хлороформом в аппарате Сокслета в течение 2 часов.
Сапонины гидролизуются ферментами и кислотами.
С кислотными реагентами (конц. Кислота серная, кремневольфрамовая, уксусный ангидрид, сурьма трехвалентная и др.) сапонины образуют окрашенные продукты за счет образования ненасыщенных (полиеновых) сопряженных структур.
Кислые сапонины, производные олеаноловой, урсоловой, глицирризиновой и др. кислот взаимодействуют со щелочами, а также солями тяжелых металлов (свинец, барий и др.), образуя не растворимые в воде осадки.
Стероидные сапонины спиростанового типа дают осадки с холестерином.
На физических, биологических и химических свойствах сапонинов основаны методы их анализа.
1.5 Распространение в природе
Сапонины достоверно обнаружены в представителях примерно 40 семейств.Более широко распространены тритерпеновые сапонины. Чаще всего они встречаются у растений сем. Caryophyllaceae, Fabaceae (солодки, астрагал шерстистоцветковый), Araliaceae (женьшень, аралия маньчжурская), Hippocastanceae (каштан конский), Polygonaceae (сенега), Rosaceae (лапчатки прямостоячая, кровохлебка лекарственная), Asteraceae (календула лекарственная) и др. Стероидные сапонины чаще встречаются у растений сем. Dioscoreaceae (диоскореи), Agavaceae (агавы, юкки), Liliaceae (ландыш), Scrophulariaceae (наперстянки), Zygophyllaceae (якорцы стелющиеся) и др. Из 250 выделенных стероидных сапонинов около 170 соединений относятся к спиростановому типу. В растениях сапонины находятся в различных органах растений, чаще в подземных, в растворенном виде в клеточном соке. Агликоны тритерпеновых сапонинов (урсоловая, олеаноловая кислота) встречаются в кутикуле, перидерме. При сборе, сушке и хранении сырья нужно создать условия, препятствующие ферментативному гидролизу сапонинов. Надземные части собирают в сухую погоду, в небольшую по объему тару (лучше корзины, ящики с отверстиями) и быстро, через 2-3 часа (чтобы не произошло самосогревание сырья) доставляют к месту сушки. Сушка для большинства видов рекомендуется быстрая, в тонком слое, при температуре 50-700. Можно при этой температуре выдержать сырье 1-2 часа, а затем, после дезактивации ферментов, досушивать его при обычной температуре. Сырье хранится в сухом, прохладном месте по общему списку.
1.6 Медицинское использование
Все сапонины за счет рефлекторного раздражения слизистых оболочек обладают отхаркивающим, мочегонным, слабительным действием.
Стероидные сапонины являются исходным продуктом для синтеза гормональных препаратов (кортизона, прогестерона и др.) Кроме того, отдельные сапонины обладают антисклеротическим, гипотензивным (диоскореи, якорцы стелющиеся, пажитник сенной), контрацептивным (агавы), антиоксидантным действием. Некоторые сапонины блокируют рост злокачественных опухолей (париллин из видов смилакса).
Отдельные сапонины проявляют тонизирующее, стимулирующее, адаптогенное действие (женьшень, аралия маньчжурская); антиаллергическое, регулирующее водно-солевой обмен (солодки), Р-витаминное (каштан конский), седативное (синюха голубая) и др.
1.7 Анализ лекарственного растительного сырья
В растениях обычно содержится несколько близких по строению и свойствам гликозидов, разделение и идентификация которых до настоящего времени представляют собой сложную и не всегда разрешимую задачу.
Анализ сырья складывается из нескольких стадий: экстракция сапонинов из сырья, очистка полученного извлечения, разделение на индивидуальные компоненты. Экстрагируют сапонины из сырья обычно полярными растворителями: метанолом и этанолом различной концентрации, водой, 0,9%-ным раствором натрия хлорида. Иногда сырье перед экстракцией обрабатывают петролейным эфиром, четыреххлористым углеродом, диэтиловым эфиром для разрушения нерастворимых в полярных растворителях комплексов сапонинов со стеринами, белками, фенольными соединениями. Очистку полученных извлечений проводят различными способами, что зависит от структуры сапонинов. Полярные сапонины плохо растворимы в этиловом и метиловом спиртах, выпадают в осадок при охлаждении, длительном стоянии спиртового экстракта или при добавлении этанола. Гликозиды с небольшой углеводной цепочкой обычно плохо растворимы в воде и выпадают в осадок при разбавлении спиртовых экстрактов водой. Кислые тритерпеновые сапонины растворимы в водных растворах щелочей и выпадают в осадок при подкислении. Также из спиртовых растворов тритерпеновые сапонины можно осаждать диэтиловым эфиром, ацетоном, этилацетатом, иногда бутиловым и изоамиловым спиртами. Полученную сумму сапонинов очищают повторным переосаждением от полярных сопутствующих веществ: моно- и олигосахаридов, фенольных соединений, органических кислот и др.
Ряд методов основан на способности сапонинов образовывать нерастворимые в воде или водном спирте соли с гидроксидом бария или ацетатом свинца и комплексы с холестерином, танинами, белками. Затем эти соли или комплексы разлагают.
Эти методы позволяют получить более чистую сумму сапонинов.
Качественный анализ
Реакция гемолиза. Готовят извлечение на изотоническом растворе натрия хлорида 1 : 30 настаиванием на кипящей водяной бане в течение 30 минут. К 2 мл извлечения добавляют 2 мл 2% взвеси дефибринированной крови. В присутствии сапонинов образуется прозрачный красный раствор ("лаковая кровь").
Реакция пенообразования. Водное извлечение из сырья (1 : 10) встряхивают в пробирке в течение 15 сек. Не исчезающая в течение 15 мин пена говорит о возможном присутствии сапонинов.
Хроматография в тонком слое. Водное или спиртовое извлечение хроматографируют на силикагеле или алюминия оксиде в подходящей системе растворителей. Для нейтральных сапонинов чаще всего используют н-бутанол – уксусная кислота – вода, для кислых – н-бутанол – водный аммиак в различных соотношениях. Систему подбирают экспериментально. На хроматограммах сапонины обнароуживают, проявляя различными кислотными реагентами: конц. Кислота серная, уксусный ангидрид, 25% раствор фосфорномолибденовой кислоты, треххлористая сурьма и др., часто в сочетании с кобальта хлоридом, ванилином, пара-диметиламинобензальдегидом и др.
Тритерпеновые сапонины проявляются в виде красновато- или буроватофиолетовых пятен.
Стероидные сапонины при проявлении хроматограмм 1% раствором сурьмы треххлористой, конц. кислотой серной и уксусным ангидридом образуют желтые (спиростановые) пятна (реакция Санье). В настоящее время хроматографический метод дает наиболее достоверное представление о наличии сапонинов в сырье.
Реакция Лафона. К 2 мл спиртового извлечения добавляют 1 мл кислоты серной концентрированной, 1 мл этанола и 1 каплю 10 % раствора железа сульфата. В присутствии сапонинов образуется сине-зеленое окрашивание.
При добавлении к 2 мл водного извлечения 1 мл 10% раствора натрия нитрата и 1 капли кислоты серной концентрированной образуется кроваво-красное окрашивание.
При добавлении к 2 мл спиртового извлечения 1 % раствора холестерина образуется белый осадок.
Количественное определение
Единого точного метода количественного определения сапонинов в сырье нет, ввиду их разнообразного строения.
Ранее использовали гравиметрический метод, основанный на физических свойствах сапонинов: разной растворимости гликозидов и агликонов. Сапонины из сырья экстрагируют метиловым или этиловым спиртом в аппарате Сокслета. Экстракт упаривают под вакуумом, сапонины осаждают органическим растворителем; отфильтровывают, промывают, высушивают до постоянной массы и взвешивают. Результаты получаются завышенные, так как кроме сапонинов осаждаются сопутствующие вещества. Более точные результаты могут быть получены, если провести гидролиз суммы сапонинов, отделить агликоны, высушить и взвесить.
В настоящее время для определения суммы сапонинов и индивидуальных веществ используют физико-химические методы (спектрофотометрия, колориметрия), основанные на способности сапонинов при нагревании давать окрашенные продукты с кислотными реагентами. Например, при определении суммы сапонинов каштана конского, синюхи голубой используют кобальта хлорид с кислотой серной концентрированной; женьшеня – ванилин с кислотой серной концентрированной, стероидных сапонинов – п-диметил-аминобензальдегид в 4 моль/л растворе кислоты хлористоводородной. Калибровочные графики строят по стандартному образцу (например, эсцину) или кобальта хлориду. Эти методы часто используют в сочетании с предварительным хроматографическим разделением суммы сапонинов. Для кислых сапонинов (например, аралозиды) используют потенциометрическое титрование после предварительного гидролиза сапонинов. Иногда для сырья, содержащего сапонины (при научных исследованиях) определяют пенное число и гемолитический индекс.
Пенное число – наименьшая концентрация извлечения из 1 г сырья, при встряхивании которого в течение 15 сек образуется устойчивая в течение 15 мин пена. Основан на физических свойствах сапонинов.
Гемолитический индекс – наименьшая концентрация извлечения из 1 г сырья или раствора чистого сапонина, которая вызывает гемолиз эритроцитов, содержащихся в 1 мл 2 % раствора дефибринированной крови барана. Извлечение сапонинов и разведение проводят изотоническим раствором. Готовится серия разведений и определяется наименьшая концентрация. При работе с кровью других животных параллельно ставят контроль со стандартным сапонином (0,02 % раствор дигитонина). Результаты выражают соотношением массы сырья (1 г) и разведения. Например 1:5000, 1:20000 и т.д.
Эти методы не дают представления о количественном (%) содержании сапонинов, а свидетельствуют о поверхностной или гемолитической активности.
2. Растительное сырье, содержащее стероидные сапонины
2.1 Диоскорея ниппонская
Rhizomata cum radicibus Dioscoreae nipponicae корневища с корнями диоскореи ниппонской
Собранные в течение всего вегетационного периода (начиная с конца апреля до глубокой осени), тщательно очищенные от земли, освобожденные от остатков стеблей, разрезанные на куски и высушенные корневища с корнями дикорастущего или культивируемого многолетнего травянистого растения диоскореи ниппонской Dioscorea nipponica Makino, сем. Диоскорейные Dioscoreaceae; используют в качестве лекарственного сырья.

Диоскорея ниппонская (диоскорея японская) многолетняя двудомная травянистая лиана с горизонтальным толстым коричневато-белым ветвистым корневищем длиной до 1,5 м и диаметром до 3 см с немногочисленными тонкими, неветвистыми, упругими и жесткими корнями. Стебли тонкие, вьющиеся, длиной до 4 м; листья очередные, черешковые, широкояйцевидные с сердцевидным основанием. Нижние листья семилопастные, с короткими боковыми лопастями и более вытянутой крупной заостренной средней; верхние листья трех- и пятилопастные или с почти не выраженными лопастями. Цветки раздельнополые, мелкие, с простым шестираздельным желтовато-зеленым околоцветником, собранные в кисти. Плод почти сидячая, трехгнездная, широкоэллиптическая коробочка с тремя широкими крыльями на ребрах. Цветет в июле-августе, семена созревают в августе-октябре.
Это дальневосточный вид. Растет в Приморском крае, южных районах Хабаровского края и на юго-востоке Амурской области. Чаще всего встречается во вторичных растительных сообществах, возникающих на местах вырубок и пожаров, на старых залежах, где она развивает наиболее толстые и длинные корневища. Выше 500 м над уровнем моря в горы не поднимается.
Размножается диоскорея семенами, но лучше вегетативно отрезками корневищ длиной 10-12 см с заделкой в почву на глубину 10 см.

Химический состав. Действующими веществами корневищ с корнями диоскореи ниппонской являются стероидные сапонины (главный из них диосцин 2,2%), наиболее высокое содержание которых отмечено в фазу бутонизации. Кроме того, надо отметить присутствие крахмала, жирного масла.
Заготовка, первичная обработка и сушка. Сырье собирают в течение всего вегетационного периода, начиная с конца апреля и до глубокой осени, но для восстановления зарослей корневища с корнями лучше собирать в сентябре-ноябре (после созревания семян), когда они достигают максимальных размеров, хотя содержание диосгенина несколько снижается.
Необходимо оставлять примерно 1/3 встречающихся на участке растений. Не подлежат заготовке экземпляры высотой менее 1 м на место выкопанных растений рекомендуется высеять семена или зарыть кусочки корневищ. Повторная заготовка на одном и том же участке возможна лишь через 20 лет.
Корневища, располагающиеся между корнями деревьев, обычно выкапывают кирками. Сырье отряхивают от земли, удаляют стебли и загнившие части и рубят на куски длиной до 10 см, после чего складывают в мешки и в день сбора доставляют к месту сушки.
Оптимальной считается сушка в сушилках при температуре нагрева корневищ до 50С. Предварительно их подвяливают под навесами или на токах. Можно сушить сырье и на чердаках с хорошей вентиляцией, разложив корневища слоем не толще 10 см и периодически их переворачивая. Допускается сушка на солнце.
Стандартизация. Качество сырья регламентировано требованиями ФС 42-1521-80.
Внешние признаки. Цельное сырье представлено кусками цилиндрических, слегка изогнутых или перекрученных корневищ с корнями длиной до 30 см и диаметром до 2 см. Корневища снаружи светло-коричневые или желтоватые, продольно-морщинистые, покрыты тонким слоем пробки, которая обычно в сырье легко отслаивается. На верхней стороне четко видны остатки отмерших стеблей. От корневищ отходят немногочисленные упругие тонкие корни до 40 см длиной и около 1 мм в диаметре. Излом корневищ ровный, белый или кремовый. Запах слабый, специфический. Вкус горький, слегка жгучий. Измельченное сырье состоит из кусочков различной формы размером до 7 мм.
Микроскопия. На поперечном срезе корневищ виден тонкий слой пробки. Кора узкая и состоит из мелких, тангентально-вытянутых клеток с неодревесневшими оболочками. В отдельных, более крупных клетках находятся пучки рафид длиной около 100 мкм, ориентированные вдоль корневища. Эндодерма выражена неясно. В центральном цилиндре расположены закрытые проводящие коллатеральные пучки более мелкие по периферии и более крупные округлые в центре. В пучках паренхима почти отсутствует, трахеиды широкопросветные. Клетки паренхимы многоугольные, плотно прилегающие друг к другу. Оболочки клеток одревесневшие, с многочисленными крупными порами. В клетках паренхимы в большом количестве простые крахмальные зерна различной формы (угловатые, округлые и др.) диаметром от 1,5 до 24 мкм. Вместе с друзами встречаются капли жирного масла.
Числовые показатели. Фуростаноловых гликозидов не менее 3%; влажность не более 13%; золы общей не более 3,5%; отшелушившейся пробки и обломков мелких корней диоскореи не более 1,5%; органической и минеральной примесей не более чем по 0,5%. Для измельченного сырья, кроме того, определяют содержание частиц, не проходящих сквозь сито с диаметром отверстий 7 мм, не более 1%, и частиц, проходящих сквозь сито с размером отверстий 0,5 мм, не более 5%.
Хранение. Сырье хранят по общему списку. Срок годности 3 года.
Использование. Терапевтическое действие – сосудорасширяющее, гипотензивное, гиполипидемическое, гипохолестеринемическое, диуретическое, м-холиномиметическое. Показания: болезни сердечно-сосудистой, пищеварительной, репродуктивной, эндокринной системы. В клинике эффективна при лечении ревматоидных артритов, подагры. Из корневищ с корнями получают препарат "Полиспонин", содержащий водорастворимые сапонины. Применяется в комплексной терапии атеросклероза, гипертонической болезни. Ранее использовались корневища с корнями диоскореи кавказской Dioscorea caucasica Lipsky для получения препарата "Диоспонин" аналогичного действия.
2.2 Диоскорея дельтовидная

Rhizomata cum radicibus Dioscoreae deltoideae - корневища с корнями диоскореи дельтовидной
Собранные осенью, освобожденные от остатков стеблей, очищенные от земли, разрезанные на куски и высушенные при температуре не выше 50С корневища с корнями многолетней культивируемой лианы диоскореи дельтовидной Dioscorea deltoidea Wall., сем. Диоскорейные – Dioscoreaceae; используют в качестве сырья.
Диоскорея дельтовидная – многолетняя двудомная листопадная лиана. Корневища с клубневидными утолщениями, на изломе – желтые. Листья очередные, сердцевидные с оттянутой верхушкой.
Родина – Индия (штаты Джамму и Кашмир), Китай, Индокитай, но растения растут и плодоносят и в Подмосковье. Можно выращивать как многолетнее растение в Крыму, на Кубани, в Закавказье, Приморском крае и других районах. Размножается вегетативным способом (отрезками корневищ) и семенами. Площадь питания 6030 см. Наибольший прирост корневища дают на третьем году жизни, поэтому следует заготавливать растения именно этого возраста, одновременно закладывая новые плантации отрезками корневищ.
Химический состав. Корневища с корнями накапливают до 8% диосгенина, содержание которого повышается с возрастом растения.
Заготовка, первичная обработка, сушка, упаковка – см. Диоскорея ниппонская.
Стандартизация. Качество сырья регламентировано требованиями ТУ 64-4-63-85.
Внешние признаки. Цельное сырье состоит из кусков корневищ длиной до 10 см, толщиной около 2 см, очень плотных, узловатых, слабо разветвленных, с короткими отростками, на поверхности которых находятся группы спящих почек. Пробка частично отслаивается. От корневища отходят слабо разветвленные придаточные корни длиной до 20 см, толщиной около 1 мм, плотные, упругие.
Цвет корневищ с поверхности от светло-коричневого до серовато-коричневого, в изломе – от желтоватого до кремового с ярко-желтой полосой под пробкой; цвет корней от светло-желтого до светло-коричневого (с отшелушивающейся пробкой). Запах слабый, неприятный.
Измельченное сырье состоит из кусочков корневищ и корней различной формы размером до 7 мм. В сырье должно быть не менее 2,7% диосгенина при влажности не более 13%.
Микроскопия. На поперечном срезе корневища видна тонкая многослойная пробка, отслаивающаяся по феллодерме. Кора узкая, клетки паренхимы тонкостенные. Большую часть занимает центральный цилиндр, в котором разбросаны биколлатеральные и центрофлоэмные проводящие пучки. В клетках паренхимы коры и центрального цилиндра – рафиды, округлые или овальные крахмальные зерна размером 4-32 мкм, мелкие капли масла.
Корень имеет первичное строение. Основную часть корня занимает центральный цилиндр, т.к. кора частично или полностью отслаивается. Наружную часть цилиндра занимает механическое кольцо; затем располагаются чередующиеся между собой 12-15 мелких групп ксилемы и флоэмы, внутрь от них располагается крупное кольцо крупных сосудов. Клетки паренхимы мелкие с одревесневшими стенками.
Качественная реакция. 0,5 г измельченного сырья заливают 10 мл изопропилового спирта и настаивают 16 часов. Хроматографируют в тонком слое сорбента в системе хлороформ-метанол-вода (16:32:7) восходящим способом. Сушат 5 мин в сушильном шкафу при 100С. После охлаждения проявляют спиртовым раствором серной кислоты 1:4 и снова сушат 1-2 мин при 100С до появления пятен розовато-фиолетового цвета (с Rf 0,5; 0,55; 0,62; 0,32; 0,35; 0,28).
Числовые показатели. Содержание диосгенина, определяемого спектрофотометрическим методом, не менее 2,7%; влажность не более 13%; органической примеси не более 1%; минеральной примеси не более 2%; для измельченного сырья, кроме того, содержание общей золы, не более 7%; содержание частиц, проходящих сквозь сито с диаметром отверстий 7 мм, не более 5%.
Хранение. Гарантийный срок хранения 5 лет с момента заготовки.
Использование. Сырье является источником диосгенина, на основе которого получают кортикостероидные гормональные препараты.
2.3 Якорцы стелющиеся

Herba Tribuli terrestris – трава якорцев стелющихся
Собранная в фазу цветения – плодоношения и высушенная трава с корнями дикорастущего однолетнего травянистого растения якорцы стелющиеся Tribulus terrestris L., сем. Парнолистниковые – Zygophyllaceae; используют в качестве лекарственного сырья.
Якорцы стелющиеся – однолетнее короткоопушенное травянистое растение. Стебли простерты по земле, от основания ветвистые, длиной 10-120 см. Листья супротивные, парноперистосложные, длиной 3-8 см, с 6-8 парами мелких продолговатых листочков. Цветки правильные желтые, диаметром до 1,2 см, одиночные, расположены в пазухах листьев. Околоцветник пентамерный, тычинок 10, гинецей ценокарпный из 5 сросшихся плодолистиков. Плод - ценокарпий, распадающийся при созревании на 5 звездчато расположенных угловатых "плодиков", несущих на спинке 4 длинных, твердых и острых шипа, а также многочисленные бугорки.
В южной части ареала якорцы цветут в апреле-мае; близ северной границы – в июне-июле. В благоприятных условиях цветение продолжается все лето и в начале осени. Плодоносит с июня-июля до заморозков.
Произрастает обычно в сухих степях на юге европейской части СНГ (Украина, Крым, Молдова, низовья Дона и Волги) и Казахстана, а также в полупустынях Центральной Азии; на Кавказе, Алтае, в Восточной Сибири (Даурия). Вид особенно обилен в Сурхандарьинской, Самаркандской и Кулябской областях Таджикистана, Чимкентской области Казахстана и в центральных районах республики Тува.
Природные ресурсы якорцев стелющихся способны удовлетворить потребность в этом виде сырья.
Химический состав. Надземная часть содержит стероидные сапонины: триллин, диосцин, диосгенин (2%), грациллин, протодиосцин и др.; флавоноиды; алкалоиды и дубильные вещества.
Заготовка, первичная обработка и сушка. Заготовку травы проводят в период цветения и плодоношения (июнь-сентябрь). Растение выдергивают с корнями или отрубают надземную часть близ поверхности почвы киркой, кетменем или мотыгой. на одних и тех же массивах возможна заготовка в течение нескольких лет подряд, так как в связи с разновременным и продолжительным их плодоношением часть плодов успевает созреть и осыпаться до начала заготовок сырья. После сбора удаляют посторонние растения и сушат. Для этого траву раскладывают рыхлым слоем не толще 20 см под навесом, на чердаках, токах (асфальтированных или бетонированных) или на почве, лишенной растительности. В течение первых 1-2 дней сушки сырье ежедневно ворошат. В дождливую погоду траву укрывают брезентом или пленкой. Заготовку травы необходимо проводить в рукавицах, так как колючие плоды растения легко впиваются в кожу, травмируя ее. Стандартизация. Качество сырья регламентировано требованиями ВФС 42-827-79. Внешние признаки. Смесь цельных или частично измельченных листьев, стеблей, корней, а также цельных или распавшихся плодов. Стебли длиной до 60 см, бороздчатые. Листочки продолговатые, частично свернувшиеся или изломанные, длиной до 1,2 см, шириной до 0,5 см с видимым в лупу беловатым опушением с нижней стороны. Плоды дробные, состоящие из 5 звездчато расположенных плодиков диаметром до 2 см с морщинистой оболочкой и острыми твердыми шипами; реже встречаются отдельные треугольные плодики с 2-4 шипами. Цвет стеблей зеленовато-желтый, листьев – зеленый, черешков и плодов – светло-зеленый. Запах слабый, своеобразный. Вкус сладковато-горький. Микроскопия. Клетки верхнего эпидермиса слабоизвилистые, нижнего сильно извилистые с редкими четковидными утолщениями в углах изгибов. Устьица на обеих сторонах аномоцитного типа, окружены 4-5 клетками. По краям и преимущественно на нижнем эпидермисе встречаются длинные одноклеточные волоски, у места их прикрепления клетки эпидермиса расположены радиально, образуя розетку. Качественная реакция. 1 г измельченного сырья нагревают в течение 15 мин на водяной бане с 10 мл 80% этилового спирта, фильтруют. Хроматографируют в тонком слое сорбента в системе хлороформ-метанол-вода (61:32:7). После высушивания опрыскивают 1% раствором пара-диметиламинобензальдегида в 4 моль/л метанольном растворе кислоты хлористоводородной и нагревают в сушильном шкафу при 60С в течение 2-3 мин. Появляются четыре розовых пятна (фуростаноловые гликозиды). Числовые показатели. Фуростаноловых гликозидов не менее 0,7%; влажность не выше 13%; золы общей не более 16%; органической и минеральной примесей не более чем по 1%. Для измельченного сырья регламентировано также содержание частиц, не проходящих сквозь сито с диаметром отверстий 7 мм (не более 2%) и проходящих сквозь сито с диаметром 0,2 мм (не более 5%). Хранение. Хранят по общему списку в сухих, хорошо проветриваемых помещениях. Срок годности 5 лет. Использование. Терапевтическое действие аналогично диоскореи ниппонской. Получают препарат "Трибуспонин", представляющий собой смесь стероидных сапонинов. Препарат применяют как антисклеротическое средство, которое особенно эффективно, когда атеросклероз сочетается с гипертонической болезнью и стенокардией. В клинике препарат эффективен при гиперсекреции желудочного сока. В эксперименте проявляет антипротозойную активность. Ядовито!
2.4 Юкка славная

Folia Yuccae gloriosae – листья юкки славной
Собранные в течение лета и высушенные листья культивируемого многолетнего вечнозеленого кустарника юкки славной Yucca gloriosa L., сем. Агавовые – Agavaceae; используют в качестве лекарственного сырья.
Это многолетний вечнозеленый кустарник до 1,5 м высотой с простым или ветвистым одревесневающим стволом. Листья крупные (до 70 см в длину и 3,5 см в ширину), линейные, кожистые, с игловидно заостренными верхушками. Они образуют розетки или собраны в пучки. Цветки белые, крупные, многочисленные, собраны в крупное метелковидное соцветие длиной до 1 м. Плод – коробочка с многочисленными черными семенами диаметром до 5 мм. Цветет в июне, плоды созревают в сентябре-октябре.
Родина – Мексика и полупустынные районы юго-западных штатов США. Культивируют в Европе в качестве экзотического растения в садах и парках. В СНГ введена в культуру в Крыму и Закавказье, встречается также в Узбекистане и на юге Украины. Промышленные плантации заложены в Восточной Грузии. Размножается главным образом верхушечными побегами, корневыми отпрысками, отрезками боковых подземных побегов, листом с пяткой (почкой). Можно размножать и семенами. Посадочный материал высаживают на глубину 20-25 см, площадь питания растений 2,10,3 м. Урожайность листьев 8 т/га.

Химический состав. Листья юкки содержат стероидные сапонины, производные тигогенина (до 2%).
Заготовка, первичная обработка, сушка. Листья юкки собирают вручную или механизированным путем, освобождают от посторонних частей растения и направляют на сушку. Сушат на солнце и на токах, раскладывая тонким слоем.
Стандартизация. Качество сырья регламентировано требованиями ТУ 88-02-79.
Хранение. Хранят в хорошо проветриваемых помещениях. Срок годности сырья 5 лет.
Использование. Для производства тигогенина, на основе которого синтезируют гормональные кортикостероидные препараты.
3. Лекарственное сырье, содержащее тритерпеновые сапонины
3.1 Солодка голая

Radices Glycyrrhizae (Radices Liquiritiae) корни солодки (лакричный корень)
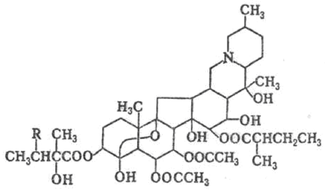
Собранные в разное время года корневища и корни дикорастущих многолетних травянистых растений солодки голой Glycyrrhiza glabra L. и солодки уральской Glycyrrhizae uralensis Fisch., сем. Бобовые Fabaceae (Leguminosae); используют в качестве лекарственного сырья. Допускается заготовка подземных органов солодки Коржинского G. korshinskyi Grig. В медицинской практике применяют неочищенные корни солодки Radices Glycyrrhzae naturales и корни, очищенные от пробки, Radices Glycyrrhizae mundatae. Солодка голая (солодка гладкая) многолетнее корнеотпрысковое травянистое растение высотой 50-100 (150) см с мощно развитой подземной частью, состоящей из короткого толстого корневища и вертикального главного корня, достигающего 4-5 м в длину и 10 см в толщину. От корня отходят многочисленные длинные (до 8-9 м) горизонтальные побеги (корневища, столоны), в свою очередь образующие побеги и корни второго и последующих порядков. Стебли в количестве нескольких штук, прямостоячие, маловетвистые, железисто-опушенные с очередными непарноперистосложными листьями, несущими от 3 до 8 пар эллиптических, продолговато-яйцевидных или ланцетных, цельнокрайних листочков 2-4 см в длину, клейких от обильных железок. Цветки собраны в негустые пазушные кисти; венчик мотыльковый, беловато-фиолетовый. Плод боб 2-3 см длиной, продолговатый, сплюснутый с боков, прямой или слегка изогнутый, голый или усаженный железистыми шипиками. Цветет в мае-августе, плоды созревают в августе-сентябре. Произрастает в поймах и долинах рек степных и полупустынных районов Центральной Азии, Кавказа, Казахстана, юга европейской части. Предпочитает местообитания, временно затапливаемые в весенне-летний период и с относительно высоким стоянием грунтовых вод. Обычно селится по берегам и вдоль русел высохших рек и стариц, на дне неглубоких оврагов, по берегам мелководных ручьев, арыков, канав, занимая участки как с незасоленными, так и солонцеватыми почвами. Часто встречается в посевах, посадках и на залежах, где является злостным сорняком. В горах, на участках, где корни могут достигать грунтовых вод, солодка поднимается до высоты 2000 м над уровнем моря. Химический состав. В подземных органах обнаружены: тритерпеновый сапонин глицирризин (до 23%), придающий корням сладкий вкус, это кальциевая и калиевая соли глицирризиновой кислоты, агликоном которой является глицирретиновая (глицирретовая) кислота, а углеводная часть глицирризина представлена двумя молекулами глюкуроновой кислоты, присоединяющимися к агликону у С>3>; 27 флавоноидов; производные флаванона и халкона (ликвиритин, изоликвиритин и др.); полисахариды (крахмал, пектиновые вещества). Корневища содержат больше глицирризина, чем корни. Кроме того, найдены птерокарпаны, куместаны, стильбены, неолигнаны, глициты, циклитолы, гетероциклические соединения группы фурана и пирана.


В надземной части солодки голой присутствуют сапонины, дубильные вещества, флавоноиды, эфирные масла. Это открывает перспективы использования в медицине травы солодки голой как возможного сырья для создания препаратов противовоспалительного, протистоцидного, спазмолитического и противовирусного действия.
Заготовка, первичная обработка и сушка. Заготавливают солодку с марта по ноябрь в зависимости от района заготовок. Промысловые заготовки ведут механизированным способом плантажным плугом с тракторной тягой. Выпахивают корневую систему на глубину 50-70 см, максимально до 1 м. Предварительно скашивают надземную часть. Выбирают 75% здоровых, светло-желтых на изломе корней и корневищ, 25% корневищ оставляют в почве для обеспечения вегетативного размножения и восстановления зарослей. Повторная заготовка сырья на том же участке возможна через 6-8 лет. Рекомендуется после выборки корней и корневищ провести боронование и выравнивание плугом пластов (во избежание иссушения и распыления почвы, а также засыхания корневищ, оставшихся у поверхности), уплотнение поверхности почвы катком для сохранения в ней влаги и по возможности полив. На участках, неудобных для механизированной уборки, корни выкапывают вручную.
Выкопанные корни и корневища отделяют от надземных стеблей и корней других растений, отряхивают от земли и складывают в длинные и узкие скирды (бурты) для сушки на открытом воздухе. Периодически в процессе сушки их перелопачивают. При неблагоприятных погодных условиях сушку можно проводить под навесами или в сушилках при температуре нагрева корня не выше 50С. Таким образом получается неочищенный корень. Для медицинских целей наиболее ровные и достаточно толстые куски свежих или слегка подвяленных корней и корневищ очищают от пробки ножами вручную или специальными машинами. Неочищенный солодковый корень до вывозки на заготовительный пункт складывают в скирды шириной 2 м и высотой 3 м, укрывают брезентом, тростником, камышом или сеном.
Стандартизация. Качество сырья регламентировано требованиями ГФ Х и ГОСТ 22839-77 (для сырья, используемого в технических целях, для пищевой промышленности и поставки на экспорт).
Внешние признаки. Куски корней и подземных побегов цилиндрической формы различной длины толщиной от 0,5 до 5 см и более. Встречаются куски корней, переходящие в сильно разросшиеся корневища до 15 см толщиной. Поверхность неочищенных корней и побегов слегка продольно-морщинистая, покрытая бурой пробкой, очищенное сырье снаружи от светло-желтого до буровато-желтого цвета с незначительными остатками пробки; излом светло-желтый, волокнистый. Под лупой строение корней и подземных побегов беспучковое лучистое. На поперечном разрезе видны многочисленные сердцевинные лучи. Вдоль сердцевинных лучей часто видны радиальные трещины. У побегов в центре небольшая сердцевина, у корней ее нет. Запах отсутствует, вкус сладкий, приторный, слегка раздражающий.
Резаное сырье. Кусочки различной формы для неочищенного сырья от 1 до 10 мм, для очищенного - от 3 до 6 мм.
Микроскопия. При микроскопическом исследовании поперечного среза диагностическое значение имеют широкие сердцевинные лучи, расширяющиеся во вторичной коре, и присутствие во вторичной коре деформированного луба, группы лубяных волокон с сильно утолщенными стенками, окруженных кристаллоносной обкладкой. Сосуды древесины разного диаметра, окружены группами склеренхимных волокон с кристаллоносной обкладкой.
На продольно-радиальном срезе в коре и древесине видны длинные, сильно утолщенные склеренхимные волокна с кристаллоносной обкладкой; в древесине узкие сосуды сетчатые, средние со щелевидными порами, широкие с бочковидными короткими члениками и ромбическими окаймленными порами, расположенными косыми рядами.
В порошке присутствуют обрывки тонкостенной паренхимы, клетки которой содержат большое количество крахмальных зерен, группы склеренхимных волокон коры и древесины обычно с остатками кристаллоносной обкладки, а также обрывки сосудов. При смачивании 80%-ной серной кислотой порошок окрашивается в оранжево-желтый цвет (глицирризин).
Числовые показатели. Содержание экстрактивных веществ, извлекаемых 0,25%-ным раствором аммиака, не менее 25%, глицирризиновой кислоты не менее 6%. Кроме того, сырье должно отвечать следующим требованиями: для цельного и резаного сырья влажность не более 14%; для цельного неочищенного сырья золы общей не более 8%; золы, нерастворимой в 10%-ном растворе кислоты хлористоводородной, не более 2,5%; корней, дряблых в изломе, желто-бурых и остатков стеблей не более 4%; органической и минеральной примесей не более чем по 1%. Для цельного очищенного сырья: корней, плохо очищенных от пробки, не более 15% (плохо очищенными считаются корни с остатками более трех участков темно-бурой пробки на одном куске или при поперечнике остатков пробки более 10 мм); корней, потемневших и побуревших с поверхности, но светло-желтых в изломе, не более 20%. Для резаного очищенного сырья: частиц корней, потемневших с поверхности, не более 15%; частиц, плохо очищенных от пробки, не более 3%; частиц крупнее 6 мм не более 10%; частиц, проходящих сквозь сито с размером отверстий 1 мм, не более 2%. Для порошка: частиц, не проходящих сквозь сито с размером отверстий 0,125 мм, не более 3%.
Хранение. Сырье хранят по общему списку в сухом, хорошо проветриваемом помещении. Срок годности 10 лет.
Использование. Препараты солодки издавна применяют как отхаркивающее, слабительное, диуретическое средство, а также как регулирующее водно-солевой обмен. Применяют экстракты густой и сухой, сироп солодкового корня, эликсир грудной, порошок. Солодковый корень служит основой для пилюль и улучшает вкус различных препаратов и микстур. Глицирризиновая кислота проявляет противовирусное действие. Анактивирует вирусы вне клеток, при этом вирусы опоясывающего лишая и простого герпеса необратимо; блокирует внедрение активных вирусных частиц внутрь клетки и нарушает способность вируса к синтезу новых структурных компонентов. Применяют при вирусных инфекциях половых органов, кожи, слизистых полостей рта, носа, опоясывающем лишае. На основе глицирризиновой и глицирретиновой кислот созданы препараты, обладающие антиаллергическим, противовоспалительным действием и используемые для лечения бронхиальной астмы (препарат "Глицирам"), экзем и аллергических дерматитов (препарат "Глидеринин" – мазь, содержащая 1% или 2% 18-дигидроглицирретовой кислоты). На основе флавоноидов корней солодки созданы препараты – ликвиритон и флакарбин, обладающие спазмолитическим, противоязвенным, противовоспалительным и антисекреторным действием. Применяют препараты при гиперацидном гастрите. язвенной болезни желудка и двенадцатиперстной кишки. Недавно обнаружены радиопротекторные свойства биологически активных веществ солодки. Корни входят в состав сбора Здренко, их широко используют в технике, пищевой промышленности для приготовления пива, халвы и др. Отпускается сырье в виде брикетов.
Применяется в медицине всех стран мира.
Применяется в гомеопатии и в составе БАДов.
Пищевая добавка при обработке рыбы, консервировании овощей и фруктов.
3.2 Синюха голубая

Rhizomata cum radicibus Polemonii корневища с корнями синюхи
Собранные ранней весной или осенью, быстро отмытые от земли и высушенные корневища с корнями культивируемого и дикорастущего многолетнего травянистого растения синюхи голубой Polemonium caeruleum L., сем. Синюховые Polemoniaceae; используют в качестве лекарственного средства. Синюха голубая многолетнее травянистое растение 35-120 см высотой с горизонтальным, неразветвленным или слабо разветвленным толстым (до 3 см) коротким (до 5 см) корневищем, густо усаженным светлыми серовато-желтыми корневыми мочками. Стебли прямостоячие, неясно ребристые, в верхней части ветвистые. Листья очередные, непарноперистосложные, голые; нижние длинночерешковые, верхние – сидячие. Листочков 15-27 яйцевидно-ланцетных, цельнокрайних, заостренных, сидячих. Голубые, синевато-лиловые или фиолетовые пентамерные цветки собраны в конечные метельчатые железистоопушенные соцветия. Плод трехгнездная, многосемянная, почти шаровидная коробочка. Цветет в июне-июле, семена созревают в августе-сентябре, а в условиях культуры в июле. Это сибирско-европейский вид. Широко распространен в лесной и лесостепной зонах европейской части России и в Восточной Сибири. Растет на сырых, довольно богатых гумусом почвах, в условиях умеренного и значительного затенения. Типичные местообитания берега рек, сырые луга и заросли кустарников в долинах рек. В горы поднимается до верхней границы леса. За пределами России растет в странах Восточной и Западной Европы. Ресурсы синюхи европейской части страны не изучены. В Сибири они выявлены только в пределах отдельных районов Томской области и Алтайского края. Заготовки сырья с дикорастущих растений весьма трудоемки и практически никогда не проводились, так как синюха уже давно успешно введена в культуру. Культивируют ее в Беларуси. При необходимости можно культивировать в Новосибирской и Московской областях, на Украине. Перспективны поиски в пределах ее ареала лучших по сумме признаков форм и популяций.
Химический состав. Главные действующие вещества тритерпеновые пентациклические сапонины группы -амирина (полемонозиды), агликоны которых представлены преимущественно эфирами высокогидроксилированных тритерпеновых спиртов (лонгиспиогенола, AR>1>-барригенола, R>1>-барригенола, камеллиагенина Е и др.) и уксусной, тиглиновой, ангеликовой, -метилмасляной, пропионовой и изобутиловой кислот. Кроме того, содержатся смолы, органические кислоты, кумарины, флавоноиды, жирное масло, немного крахмала.

Заготовка, первичная обработка, сушка. Уборку корневищ с корнями проводят осенью первого или веснойосенью второго года вегетации. Их выкапывают картофелекопалкой, очищают от земли и остатков стеблей, иногда разрезают вдоль и быстро отмывают в проточной воде, провяливают и сушат. В хозяйствах перед сушкой режут на корнерезке. Сушат на солнце или в сушилках при температуре нагрева сырья не более 60С.
Стандартизация. Качество сырья регламентировано требованиями ГФ XI, Изм. № 1 к ФС ГФ XI, вып. 2, ст. 74 (08.07.98 г.).
Внешние признаки. Цельное сырье состоит из цельных или разрезанных вдоль корневищ с корнями. Корневища прямые или слегка изогнутые с многочисленными придаточными корнями. Их длина 0,5-5 см, толщина 0,3-2 см, поверхность морщинистая, излом ровный или зернистый, в центре часто имеется полость вследствие разрушения сердцевины. Корни тонкие, длиной 7-35 см, толщиной 1-2 мм, мелкие, шероховатые, цилиндрические, узловатые, ломкие. Цвет корневищ с поверхности серовато-бурый, на изломе желтовато-белый или белый. Корни снаружи желтые, на изломе белые. Запах слабый своеобразный. Вкус горьковатый.
Измельченное сырье состоит из кусочков корневищ различной формы размером 7 мм и кусочков корней размером до 20 мм.
Микроскопия. Для корня характерно вторичное строение. На поперечном срезе корня видна покровная ткань, состоящая из 1-2 слоев округлых клеток эпидермиса с тонкими опробковевшими стенками. Первичная кора состоит из крупных, тангентально вытянутых клеток с неравномерно утолщенными оболочками. Вторичная кора значительно уже первичной и состоит из мелких клеток проводящих элементов луба и более крупных – лубяной паренхимы. Камбиальная зона выражена слабо. Эндодерма хорошо выражена, клеточные стенки ее окрашиваются суданом III в оранжево-красный цвет, камбиальная зона развита слабо. Сосуды древесины разного диаметра располагаются без особого порядка, сердцевинные лучи незаметны. В паренхиме коры и древесины содержатся капли жирного масла; изредка встречаются крахмальные зерна.
Качественная реакция. 2 г измельченного сырья нагревают на водяной бане с 50 мл воды в течение 10 мин, охлаждают и фильтруют. 5 мл фильтрата сильно встряхивают, образуется обильная и стойкая пена (сапонины).
Числовые показатели. Содержание суммы тритерпеновых гликозидов, определяемых спектрофотометрическим методом, не менее 10%; влаги не более 14%; золы общей не более 13%; золы, нерастворимой в 10% кислоте хлористоводородной, не более 7%; корневищ, побуревших в изломе, не более 3%; корневищ с остатками стеблей длиной свыше 1 см не более 5%; измельченных частиц, проходящих сквозь сито с отверстиями диаметром 1 мм, не более 5%; органической примеси не более 1%, минеральной не более 2%. Для измельченного сырья определяют, кроме того, содержание частиц, не проходящих сквозь сито с отверстиями диаметром 7 мм (не более 5%), кусочков корней размером свыше 20 мм (не более 5%).
Хранение. Сырье хранят в обычных условиях. Срок годности 2 года.
Использование. Применяется как отхаркивающее, седативное, гипотензивное, при болезни сердечно-сосудистой системы (гипертензия, кардионевроз, вегето-сосудистая дистония, стенокардия), инфекции (туберкулез легких, коклюш, дизентерия), болезни дыхательной системы (бронхит, очаговая пневмония, бронхоэктазы), болезни пищеварительной системы (язвенная болезнь желудка и 12-перстной кишки) и др. Применяют отвар и в составе сборов. Выпускают брикеты.
3.3 Аралия маньчжурская

Radices Araliae mandshuricae корни аралии маньчжурской
Собранные весной или поздней осенью, тщательно очищенные от земли, разрубленные на куски и высушенные корни дикорастущего дерева аралии высокой (аралии маньчжурской) Aralia elata (Miq.) Seem. (=A. mandshurica Rupr. et Maxim.), сем. Аралиевые Araliaceae; используют в качестве лекарственного сырья.
Аралия высокая, или маньчжурская (кит-дерево, чертово дерево), небольшое колючее быстро растущее деревце высотой 3-6 м с поверхностной корневой системой. По внешнему виду напоминает пальму, так как тонкий, прямой, неветвистый ствол, густо усеянный короткими крепкими шипами, только на верхушке несет тесно сближенные и горизонтально распростертые длинночерешковые дважды- и триждыперистосложные листья до 1 м длиной. Цветки мелкие, желтовато-белые, образуют простые зонтиковидные соцветия, собранные в несколько длинных густых метелок длиной до 45 см. Плоды пятигнездные ценокарпные костянки, сине-черные, шаровидные, 3-5 мм в диаметре. Цветет в июне-августе, плоды созревают в октябре.
Произрастает на богатых, хорошо увлажненных почвах в кедрово-широколиственных лесах на осветленных местах, а также на гарях, лесосеках, возникших на месте кедрово-широколиственных лесов.

Химический состав. Основные действующие вещества корней аралии тритерпеновые пентациклические сапонины группы -амирина, производные олеаноловой кислоты. Главные из них аралозиды А, В, С. Различаются они по составу углеводной части и месту присоединения сахаров. Количественное содержание аралозидов зависит от фазы развития растения и диаметра корней. Максимальным оно бывает в фазу бутонизации и в период плодоношения в корнях диаметром до 5 мм (11-12%). С увеличением диаметра корней содержание аралозидов снижается, так как находятся они главным образом в коре корней, а с возрастом доля коры по отношению к древесине уменьшается.
Аралозиды содержатся также в коре стволов (2,8-4,7%), которые могут быть дополнительным сырьевым источником их получения. Кроме сапонинов корни аралии накапливают эфирное масло, смолы.
Заготовка, первичная обработка и сушка. При заготовке следует использовать лишь 5-15-летние экземпляры растений. Корни заготавливают осенью начиная с сентября, а также весной до распускания листьев (апрель-первая половина мая). Их выкапывают лопатами, ломами или специальными приспособлениями в виде длинного металлического рычага. Начинают копать от ствола, осторожно продвигаясь к периферии. Отбирают корни не толще 3 см. При заготовке один корень, отходящий радиально от ствола, нужно оставлять в почве. В дальнейшем находящиеся на нем многочисленные придаточные почки обеспечат восстановление зарослей аралии. Кроме того, можно рекомендовать посадку на место уничтоженного экземпляра корневого черенка длиной около 10 см и диаметром 1-3 см.
Выкопанные корни тщательно очищают от земли, удаляют почерневшие или загнившие части, а также корни диаметром более 3 см, режут на куски длиной до 8 см, иногда разрезают вдоль.
Сушат сырье в сушилках при температуре до 60С или в хорошо проветриваемых помещениях, а в сухую погоду – на открытом воздухе.
Стандартизация. Качество сырья должно соответствовать требованиям ГФ XI, ст. 65.
Внешние признаки. Сырье состоит из цилиндрических или продольно расщепленных кусков корней длиной до 8 см и диаметром до 3 см с немногочисленными мелкими боковыми корнями. Корни легкие, продольно-морщинистые, с сильно шелушащейся пробкой. Кора тонкая, легко отделяется от древесины. Излом занозистый, цвет корней снаружи коричневато-серый, на изломе беловато- или желтовато-серый. Запах сильный, вкус слегка вяжущий, горьковатый.
Измельченное сырье состоит из кусочков корней различной формы, проходящих сквозь сито с отверстиями диаметром 7 мм.
Микроскопия. На поперечном срезе корня виден слой сильно шелушащейся пробки. Кора состоит из тонкостенной паренхимы, среди клеток которой расположены концентрическими поясами секреторные каналы диаметром от 7 до 20 мкм. Паренхимные клетки около секреторных каналов и клетки сердцевины лучей заполнены крахмальными зернами. Крахмальные зерна простые и 2-8 сложные. Кора отделяется от древесины узким слоем камбия. Древесина кольцесосудистая. Сердцевинные лучи одно-пятирядные.
В давленном препарате видны спиральные и пористые сосуды с простыми или окаймленными порами, волокнистые трахеиды, волокна либриформа; обрывки секреторных каналов и крахмальные зерна.
Качественная реакция. 1 г измельченного сырья кипятят на водяной бане (t=80-85) с обратным холодильником с 20 мл метилового спирта в течение 1 ч. 0,02 мл отстоявшегося в течение 5 мин извлечения хроматографируют на пластинках с закрепленным слоем силикагеля КСК. В качестве свидетеля наносят 0,01 мл 0,6% раствора сапарала в метиловом спирте. Через 10 мин пластинку помещают в камеру со смесью растворителей хлороформ-метиловый спирт-вода (61:32:7). Сушат хроматограмму в течение 10 мин, опрыскивают 20% раствором серной кислоты и нагревают при температуре 105С 10 мин в сушильном шкафу. Проявляются три пятна вишневого цвета (аралозиды). Допускается наличие дополнительных пятен вишневого и других цветов.
Числовые показатели. Для цельного и измельченного сырья содержание суммы аралозидов в пересчете на аммонийную соль аралозидов А, В и С, определяемое методом потенциометрического титрования, должно быть не менее 5%; влажность не более 14%; золы общей не более 7%; корней, почерневших на изломе, не более 4%; органической и минеральной примесей не более чем по 1%. Для цельного сырья, кроме того, ограничено содержание кусков корней длиной более 8 см ( не более 15%) и кусков корней более 3 см в диаметре (не более 15%). Для измельченного сырья: частиц, не проходящих сквозь сито с отверстиями диаметром 7 мм, не более 10%, а частиц, проходящих сквозь сито с отверстиями размером 0,25 мм, не более 10%.
Хранение. Сырье хранят по общим правилам. Срок годности 3 года.
Использование. Из корней аралии получают тонизирующие препараты "Сапарал" и настойку, которые применяют при гипотонии, астении, депрессивных состояниях.
Корни аралии входят в состав гипогликемических сборов "Арфазетин" и "Мирфазин".
Используется для приготовления тонизирующих напитков, в составе БАДов.
3.4 Конский каштан

Semina Aesculi hippocastani – семена конского каштана
Зрелые высушенные семена культивируемого дерева конский каштан Aesculus hippocastanum L., сем. Конскокаштановые – Hippocastanaceae; используют в качестве лекарственного сырья.
Folia Aesculi hippocastani – листья конского каштана
Собранные в течение лета и высушенные листья культивируемого древесного растения конского каштана используют в качестве лекарственного сырья.
Конский каштан – листопадное дерево высотой до 30 см с хорошо развитой корневой системой и широкой густой кроной. Листья супротивные, на длинных черешках до 25 см в диаметре, пальчатосложные, состоят из 5-7 сидячих листочков обратнояйцевидной формы, заостренных к верхушке и клиновидно суженных к основанию; неравномерно зубчатопильчатые, морщинистые с выступающими снизу жилками. Средний листочек крупнее остальных. Цветки в прямостоячих тирсах зигоморфные, обоеполые. Околоцветник из 5 зеленых чашелистиков, 4-5 свободных ярко окрашенных лепестков. Тычинок 5-8, ценокарпный гинецей образует 3-гнездную верхнюю завязь, несущую по 2 семязачатка в каждом гнезде. Столбик один, завершающийся простым рыльцем. Плод ценокарпный – крупная трехстворчатая коробочка, покрытая шипами. обычно с одним крупным (до 4 см в диаметре) блестящим, коричневым с сероватым пятном у основания семенем. Цветет в мае-июне, плоды созревают в сентябре-октябре.
Родина – Балканы (Южная Болгария, Северная Греция). В России разводится в садах и парках как декоративное на юге, в средней полосе европейской части страны, на севере доходит до Санкт-Петербурга. Культивируется также на Украине, в Центральной Азии, Южном Казахстане.
Химический состав. Семена содержат кумарины ряда метокси- и оксикумарина (эскулин, фраксин); до 10% тритерпеновых сапонинов (эсцин и др.); флавоноиды (спиреозид, би- и триозиды кверцетина и кемпферола); крахмал (50%), жирное масло (6-8%), белковые вещества (8-10%), немного дубильных веществ.

Заготовка, первичная обработка и сушка. Собирают вполне зрелые осыпавшиеся плоды. Семена освобождают от околоплодника и сушат.
Сушка воздушно-теневая или в сушилках при температуре нагрева семян не выше 50С.
Листья собирают вручную, сушат в тени на воздухе или в сушилках при температуре 50-60С.
Стандартизация. Контроль качества сырья осуществляют на основании требований ТУ 64-4-75-87. Затруднений при определении подлинности, как правило, не возникает, но известны случаи сбора вместо семян конского каштана съедобных семян каштана благородного Castanea sativa – дерева, естественно произрастающего на Кавказе.
Внешние признаки. Сырье состоит из неправильно шаровидной формы, слегка сплюснутых и нередко с одной стороны плоских, бугристых, до 2-3 (4) см в диаметре семян, покрытых гладкой, блестящей, жесткой темно-коричневой кожурой с большим серым пятном при основании – халаза. Ядро семени состоит из двух крупных, плотных семядолей, корешка. Запах отсутствует. вкус сладковатый, затем горький.
Микроскопия. На поперечном срезе кожуры семени видно, что верхний эпидермис состоит из палисадоподобных клеток, стенки которых пронизаны поровыми канальцами; наружные стенки клеток утолщены сильнее боковых. сверху эпидермис покрыт тонким слоем кутикулы. Основную часть семенной кожуры составляет паренхима. Клетки наружных рядов плотносомкнутые, более глубоких – рыхлые с крупными разнообразной формы межклетниками. По направлению к зародышу клетки паренхимы мельчают и спадаются, образуя слой сдавленных клеток, в котором находятся проводящие пучки. Глубже располагается слой из 4-5 рядов крупных продолговатых клеток с тонкими стенками. Самый внутренний слой – остаток эндосперма – в виде деформированных клеток. Эпидермис семядолей состоит из мелких клеток, ткань семядолей – из многоугольных плотносомкнутых паренхимных клеток, содержащих капельки жирного масла и крахмальные зерна неправильно грушевидной формы разного размера, простые и двух- и трехсложные.
Числовые показатели. Содержание эсцина, определяемого спектрофотометрическим методом, должно быть не менее 7%; влажность не более 12%; золы общей не более 2,5%; других частей растения (плодоножки, створки коробочек) не более 1,0%; органической и минеральной примесей не более чем по 0,5%.
Хранение. В сухом проветриваемом помещении по общим правилам. Срок годности 3 года.
Использование. Из семян получают препарат "Эскузан" и сапонин эсцин, который входит в препарат "Эсфлазид". Последний применяют как венотонизирующее и антитромбогенное средства при венозном застое и расширении вен нижних конечностей.
3.5 Ортосифон тычиночный

Folia Orthosiphonis staminei листья ортосифона тычиночного (почечного чая)
Собранные в течение вегетации и высушенные листья и верхушки побегов культивируемого растения ортосифона тычиночного (почечного чая) Orthosiphon stamineus Benth., сем. Губоцветные Lamiaceae; используют в качестве лекарственного средства. Ортосифон тычиночный (почечный чай, кошачьи усы) многолетний, сильноветвистый полукустарник, достигающий 1,5 м в высоту; в культуре как однолетник (высотой до 80 см). Стебли четырехгранные, с фиолетово-окрашенными узлами. Листья длиной до 10 см, шириной 1,5-4 см, короткочерешковые, супротивные, продолговато-яйцевидные или ромбовидно-эллиптической формы с несколько оттянутой верхушкой и клиновидным основанием, в верхней части неравномерно крупнопильчатые, по жилкам короткоопушенные. Цветки двугубые, бледно-фиолетовые, образуют на верхушке стебля прерывистый кистевидный тирс. Плод ценобий.
Родина экваториальная зона Юго-Восточной Азии; культивируется в Аджарии (Грузия).
Химический состав. Тритерпеновые пентациклические сапонины, производные -амирина, мезоинозит, соли калия, горький гликозид ортосифонин, дубильные вещества. Заготовка, первичная обработка и сушка. Листья и верхушки побегов со стеблем толщиной не более 2,5 мм и длиной до 120 мм собирают вручную 5-6 раз в течение лета. Их помещают в тень для завяливания и ферментации на 1-1,5 сут, а затем быстро сушат на солнце или в сушилках при 30-35С. Стандартизация. Качество сырья регламентировано требованиями ГФ XI. Внешние признаки. Цельное сырье состоит из листьев цельных или изломанных, стеблей и верхушек побегов. Листья короткочерешковые, ромбовидно-эллиптические или продолговато-яйцевидные, на верхушке заостренные, у основания клиновидные, в верхней части крупнопильчатые, у основания цельнокрайние; сверху голые, снизу по жилкам редкоопушенные. По всей пластинке листа встречаются точечные железки (видны в лупу). Стебли четырехгранные, толщиной до 2,5 мм, длиной до 120 мм. Верхушки побегов с супротивными листьями. Цвет листьев зеленый, серовато-зеленый или фиолетово-бурый, стеблей зеленовато-коричневый или фиолетово-коричневый, на изломе желтовато-белый. Запах слабый. Вкус горьковатый, слегка вяжущий. Измельченное сырье представлено кусочками листьев и стеблей различной формы размером до 7 мм. Микроскопия. На препарате листа с поверхности видны многоугольные клетки верхнего эпидермиса с прямыми или слабоизвилистыми стенками; клетки нижнего эпидермиса мельче и стенки их более извилистые. Устьица расположены с обеих сторон и окружены 2-3, реже 4 околоустьичными клетками . По жилкам и краю листа расположены простые бородавчатые 1-7-клеточные волоски; с обеих сторон встречаются железистые волоски на короткой ножке с одно-двуклеточной головкой. В небольших углублениях эфирномасличные железки, состоящие из 4, реже 6 выделительных клеток и одноклеточной ножки.
Числовые показатели. Содержание экстрактивных веществ, извлекаемых водой, должно быть не менее 30%; влажность не более 12%; золы общей не более 12%; золы, нерастворимой в 10%-ном растворе кислоты хлористоводородной, не более 5%; листьев, почерневших с обеих сторон, не более 2%; стеблей (в том числе отделенных при анализе) не более 30%; частиц, проходящих сквозь сито с отверстиями диаметром 1 мм, не более 4%; органической и минеральной примесей не более чем по 1%. Для измельченного сырья допускается частиц, не проходящих сквозь сито с отверстиями диаметром 7 мм, не более 10%; частиц, проходящих сквозь сито с отверстиями размером 0,5 мм, не более 10%.
Хранение. Хранят по общим правилам в сухих, хорошо проветриваемых помещениях. Срок годности 4 года. Использование. В аптеки измельченное сырье поступает в картонных пачках в виде брикетов и фильтр-пакетов. Настой листьев применяют как умеренное мочегонное средство, при мочекаменной болезни, холециститах, подагре. Выпускается сырье в виде брикетов.
3.6 Истод тонколистый

Radices Polygalae корни истода
Собранные осенью корни дикорастущего травянистого растения истода тонколистного Polygala tenuifolia Willd. и истода сибирского Polygala sibirica L., сем. Истодовые Polygalaceae.
Оба вида многолетние травянистые растения со стержневым корнем и несколькими невысокими тонкими стеблями. Стебли истода тонколистного голые, истода сибирского прижато-опушенные. Листья очередные, сидячие. У истода тонколистного линейные, заостренные, у истода сибирского эллиптические или эллиптическо-ланцетовидные. Соцветие кисть, цветки синие зигоморфные. Плод двугнездная сплюснутая коробочка. Истод тонколистный растет на Алтае, Восточной Сибири, особенно в Забайкалье. Истод сибирский имеет более широкий ареал. В Сибири он встречается в тех же районах, что истод тонколистный, но заходит в Европейскую часть СНГ Поволжье, Кавказ, Украина. Растет по степям, лугам, в редких сосновых лесах, каменистым склонам гор.
Химический состав. Корни содержат тритерпеновые сапонины производные олеана (до 1%), которые при гидролизе дают два сапогенина – тенуигенин А и тенуигенин В; кроме того обнаружены смолы, жирное масло.
Заготовка, первичная обработка, сушка. Корни выкапывают осенью, отряхивают от земли, обрубают стебли и сушат на воздухе в тени или на солнце.
Стандартизация. Корни истода были включены в ГФ IX для замены импортной сенеги Radices Senegae.
Внешние признаки. Корни стержневые, длиной 10-15 см, толщиной 0,1-0,8 см, иногда толще, несколько извилистые, маловетвистые. Вверху переходят в корневище, состоящее из нескольких более или менее длинных вертикальных ветвей с коротко обрезанными около 1 см надземными стеблями; мелкие корни имеют более или менее головчатое корневище. Наружная поверхность корневища поперчно-морщинистая, корней продольноморщинистая. Цвет желтовато-серый, излом ровный, беловатый. Запаха нет, вкус сладкий, раздражающий.
Резаное сырье состоит из кусочков корней разной формы, размером от 1 до 8 мм.
Микроскопия. На поперечном срезе корни имеют вторичное строение. Приблизительно от середины до нижнего конца наблюдается характерное ненормальное строение древесины: она не образует правильного диска, диск представляется неполным, то есть в нем недостает более или менее широкого участка, иногда древесина составляет ½ или ¼ диска или расщеплена на клинья, промежутки же заполнены не окрашивающейся флороглюциновым реактивом паренхимой. В верхней части корня и корневища строение нормальное. В коре корней содержится жирное масло. У и. сибирского корни на всем протяжении имеют нормальное строение.
Качественные реакции. Отвар корня дает при встряхивании сильную обильную пену. Отвар корня в 0,9% растворе натрия хлорида, смешанный с 2% взвесью дефибринированной крови, приготовленной также на изотоническом растворе натрия хлорида, вызывает гемолиз крови.
Числовые показатели. Влаги не более 14%; золы общей не более 7%; золы, нерастворимой в 10%-ной кислоте хлористоводородной не более 4%; отдельных стеблей, листьев, корневищ с остатками срезанных стеблей длиной свыше 1 см не более 2%; измельченных частиц, проходящих сквозь сито размером свыше 8 мм, не более 2%; органической примеси не более 1%; минеральной примеси не более 0,5%.
Хранение. В сухом хорошо проветриваемом помещении по общему списку.
Использование. Отвар как отхаркивающее заменитель импортной сенеги.
В зарубежные Фармакопеи Европы, США входят Radices Senegae корни сенеги, которые заготавливают от сенеги (истод сенега) Polygala senega L., сем. Истодовые Polygalaceae.
Многолетнее травянистое растение высотой 15-30 см. Корневище короткое, головчатоутолщенное с многочисленными красновато-фиолетовыми почками. Корень стержневой, цилиндрический, светло-коричневый, с немногими крупными разветвлениями. Стеблей несколько, они дуговидноприподнимающиеся, у основания древеснеющие, вверху зеленые или красноватые короткоопушенные. Листья очередные, сидящие ланцетные или продолговато-ланцетные, мелкозубчатые, слабоопушенные. Цветки зигоморфные в густых колосовидных соцветиях, белые, зеленоватые, реже розоватые. Плод двугнездная округлая коробочка.
Произрастает в горных лесах США и Канады.
Химический состав. Тритерпеновые сапонины, дубильные вещества, метиловый эфир салициловой кислоты.

Использование. Отвар, настой как отхаркивающее при хронических заболеваниях верхних дыхательных путей и потогонное средство.
3.7 Астрагал шерстистоцветковый

Herba Astragali dasyanthi трава астрагала шерстистоцветкового
Собранная в фазу цветения и высушенная надземная часть дикорастущего многолетнего травянистого растения астрагала шерстистоцветкового (густоцветкового) Astragalus dasyanthus Pall., сем. Бобовые Fabaceae (Leguminosae); используют в качестве лекарственного растительного средства.
Астрагал шерстистоцветковый травянистый многолетник. Стебли многочисленные (до 30) приподнимающиеся, реже лежачие, длина 30-40 см. Листья длиной до 20 см, очередные, непарноперистосложные с 21-27 эллиптическими или продолговато-эллиптическими листочками длиной 6-20 мм. Цветки в головчатых соцветиях на длинных цветоносах со светло-желтым, мотыльковым венчиком и пятилистной колокольчатой серо-зеленой чашечкой. Плоды бобы длиной 10-12 мм, яйцевидные или эллиптические в очертаниях, вздутые, кожистые, с носиком, имеющим длину 2-3 мм. Все части растения опушены оттопыренными волосками.
Цветет в мае-июне, каждый цветок в течение 3-5 дней, а отдельное соцветие 10-15 дней. Плоды созревают в июле-августе. Семена плоские, треугольные, желто-зеленые, образуются в небольших количествах, в основном на нижних цветках первых соцветий.
Преимущественно степной вид, произрастающий большей частью на открытых местах по склонам балок и речных долин, в их верхних и средних частях, реже на водоразделах. В лесостепной зоне встречается реже. Нетребователен к почве и влаге. Скашивание выносит хорошо, выдерживает слабый выпас. При интенсивном выпасе выпадает из травостоя.
После распашки водораздельных участков и при увеличении интенсивности выпаса скота на сохранившихся от распашки склонах балок и речных долин астрагал стал редким видом. Ареал его стал разорванным, фрагментарным. Вид нуждается в охране. Общая площадь выявления зарослей составляет несколько десятков гектаров. Площадь каждой из зарослей не превышает нескольких гектаров. Заросли, пригодные для местных заготовок, известны только в Киевской, Полтавской, Днепропетровской и Запорожской областях. Для сохранения вида необходимы значительное уменьшение заготовок (или даже их прекращение), организация заказников на участках с наиболее сохранившимися зарослями.
Ввиду недостаточности природной сырьевой базы астрагал введен в культуру. Расширение площадей его посевов лимитируют малая семенная продуктивность, низкое качество семян, трудность их сбора. В культуре сильно повреждается вредителями, мучнистой росой и ржавчиной. Все это осложняет его введение в промышленную культуру. Наибольшая продуктивность растения на втором году жизни.

Химический состав. Трава содержит тритерпеновые сапонины дазиантозиды производные дазиантогенина (ряда циклоартрана); полисахариды, флавоноиды (кверцетин, изорамнетин, астрагалозид, кемпферол, нарциссин); кумарины.
Заготовка, первичная обработка и сушка. С дикорастущих растений траву срезают ножами или серпами в фазу массового цветения до образования плодов, на плантациях скашивают на высоте 5-7 см от поверхности почвы, оставляя грубые, почти безлистные основания стеблей. Заготовку проводят до появления на растениях мучнистой росы и ржавчины. Срезанную траву рыхло складывают в корзины, мешки и тут же отправляют на сушку.
Сушат траву на чердаках, под навесами или в сушилках при температуре не выше 55С, раскладывая тонким слоем (5-7 см), периодически перемешивая.
Стандартизация. Качество сырья оценивают по ФС 42-533-72.
Внешние признаки. Все части сырья густо опушены мягкими длинными беловатыми волосками, особенно чашечка. Стебли ребристые, толщиной до 3 мм, полые. Листья непарноперистосложные с длинными черешками, 12-20 см длины, с 12-14 парами короткочерешковых продолговатоовальных или ланцетнопродолговатых листочков и треугольно-ланцетных шиловидно заостренных беловатых прилистников, около 15 мм длины и 6 мм ширины. Цветки по 10-20 собраны в плотные головчатые кисти на длинном (до 15 см) цветоносе. Чашечка колокольчатая с пятью шиловидно-линейными зубчиками. Венчик мотыльковый, тычинок 10, 9 срастаются у основания, 1 - свободная. Цвет стеблей буровато-серый, листьев серовато-зеленый, цветков желтый. Запах своеобразный, слабый. Вкус сладковатый.
Резаное сырье. Кусочки стеблей, листьев и цветков различной формы размером от 1 до 8 мм.
В сырье астрагала шерстистоцветкового недопустима примесь травы астрагала пушистоцветкового (A. pubiflorus DC.), у которого кисть цветков сидячая или с коротким цветоносом; в цветках опушены чашечка, флаг, крылья, а лодочка голая.
Микроскопия. Эпидермис со слабо извилистыми стенками; устьица окружены 3-4 клетками эпидермиса. Волоски длинные, двуклеточные, базальная клетка короткая, часто содержит пигмент, конечная (терминальная) клетка длинная, с крупнобугорчатой поверхностью. Вокруг волосков клетки эпидермиса образуют розетку.
Числовые показатели. Влажность не более 13%; золы общей не более 7%; золы, нерастворимой в 10%-ном растворе кислоты хлористоводородной, не более 2%; пожелтевших и побуревших частей растения не более 5%; стеблей толщиной свыше 3 мм не более 8%; измельченных частей, проходящих сквозь сито с отверстиями диаметром 3 мм, не более 7%; органической примеси не более 1%, минеральной не более 2%.
Для резаного сырья частиц размером свыше 8 мм не более 15%; частиц, проходящих сквозь сито с размером отверстий 0,5 мм, не более 10%.
Хранение. В сухом, хорошо проветриваемом помещении на стеллажах по общему списку.
Использование. Из травы астрагала получают настой, применяемый для лечения начальных форм гипертонической болезни, недостаточности кровообращения I и II степеней, а также при острых гломерулонефритах на ранней стадии болезни.
3.8 Женьшень

Radices Ginseng (Radices Panacis ginseng) корни женьшеня
Собранные осенью на 5-6-м году жизни, очищенные от земли, цельные или разрезанные вдоль на куски и высушенные корни культивируемого и дикорастущего многолетнего травянистого растения женьшеня Panax ginseng C.A.Mey., сем. Аралиевые Araliaceae; используют в качестве лекарственного сырья.
Женьшень (женьшень настоящий) многолетнее травянистое растение до 80 см высотой, достигающее возраста 50 лет и более. Стебель чаще одиночный, округлый, зеленый или буро-красный, заканчивается мутовкой из 2-6 листьев. Листья длинночерешковые, трех- и пятипальчатосложные; листочки заостренно-эллиптические, пильчатые по краю, голые. Из центра мутовки выходит один цветонос высотой до 10 (30) см, заканчивающийся простым зонтиком из бледно-зеленых пентамерных цветков с нижней двугнездной завязью. Плод красная ценокарпная костянка. Семена неправильно округлые, шероховатые, светло-желтые. Цветет в июне-июле, плоды созревают в августе. Размножается семенами.
Подземная часть представлена корневищем ("шейка") со спирально расположенными рубцами от отмерших стеблей, спящими и зимующей покоящейся почкой ("головка"). Главный корень цилиндрический, с боковыми корнями и многочисленными более тонкими "мочками". Общая длина корневой системы достигает 70 см, в том числе главного корня 30 см. У 10-50-летних растений средняя масса корней составляет около 25 г.
Встречается очень редко в Приморском крае и на юге Хабаровского. Общее распространение: Северная Корея, Маньчжурия. Произрастает в глухих горных кедровых и смешанных лесах, преимущественно на северных затененных склонах, в зарослях папоротников и кустарников. Требует перегнойной, достаточно увлажненной, но не мокрой почвы.
Для медицинских целей женьшень культивируют в совхозе "Женьшень" (Приморский край). Опытные плантации имеются на Северном Кавказе и в других районах России. Культура женьшеня весьма трудоемка. И.В. Грушвицкий с сотр. (1981 г.) разработали инструкцию по ускоренному проращиванию семян женьшеня. Они рекомендуют перед высевом семян проводить их теплую и холодную стратификацию, при которой дозревает зародыш семени. Разработана биотехнология культуры тканей женьшеня.
Запасы дикорастущего женьшеня очень невелики. Он занесен в Красную книгу. Естественное восстановление запасов затруднено необычайно медленным ростом и развитием растения. Годовой прирост корня дикорастущего растения составляет в среднем 1 г. Всходы появляются спустя 2-3 года после попадания семян в почву. Цветение и плодоношение начинается на 8-10-м году жизни. Для сохранения зарослей необходимо строго соблюдать сроки и способы его заготовки. Дикорастущий женьшень заготавливают в весьма ограниченных количествах.
Потребность в корне женьшеня составляет около 11 т в год. Она может быть удовлетворена за счет сбора культивируемых растений и препаратов биоженьшеня.
Химический состав. Корень женьшеня содержит смесь тритерпеновых тетрациклических сапонинов даммаранового ряда панаксозиды (гинзенозиды). Кроме того, в корнях имеются эфирное масло (0,25-0,5%), пектиновые вещества (до 23%), витамины В>1>, В>2> и др., микро- и макроэлементы, крахмал (до 20%), даукостерин.

Заготовка, первичная обработка и сушка. Корни осторожно выкапывают после созревания семян, очищают от земли мягкой щеточкой, чтобы не поцарапать поверхность, мыть не рекомендуется.
Заготовку дикорастущего женьшеня ведут лишь по лицензиям. Сбору подлежат только плодоносящие, хорошо развитые растения, имеющие не менее трех листьев и корень массой более 10 г. В зависимости от массы их делят на пять сортов (ГОСТ 10064-62).

-
Вес корня, г
Сорт
42 и более
1
29 41,9
2
18 28,9
3
10 17,9
4
3 9,9
5
В зависимости от характера и степени повреждения корни делят на две группы: к 1-ой группе относят корни, у которых поломан один дополнительный отросток; корни, имеющие искусственное или естественное повреждения до 5% поверхности основного тела или дополнительных отростков (царапины, срывы кожицы и т.д.), корни с поврежденной шейкой, головкой, но без поломов их. Ко второй группе относятся корни с поломкой одного дополнительного отростка, корни, имеющие естественные или искусственные повреждения от 5 до 10% поверхности основного тела или дополнительных отростков; корни без головки (почки).
Корни сушат на солнце или в сушилках при температуре около 50С, раскладывая тонким слоем.
В Корее и Китае корни женьшеня подвергают разнообразной специальной обработке. Красный женьшень, поступающий из Кореи, получают при воздействии горячего водяного пара в течение 30 мин и более и последующем высушивании при 30С. При варке крахмал превращается в клейстер и сухой корень приобретает роговидную консистенцию, становится твердым и тяжелым (тонкие корешки хрупкие), цвет снаружи и в изломе красновато-бурый. Белый женьшень получают в результате простой солнечной сушки. В Китае свежий корень варят в сахарном сиропе.
Стандартизация. Качество сухого сырья регламентировано требованиями ГФ XI.
Внешние признаки. Цельное сырье состоит из корней длиной до 25 см, толщиной 0,7-2,5 см с 2-5 крупными разветвлениями, реже без них. Корни стержневые, продольно-, реже спирально-морщинистые, хрупкие, излом ровный. "Шейка" и "головка" могут отсутствовать. Цвет корней с поверхности и на разрезе желтовато-белый, на свежем изломе белый. Запах специфический. Вкус сладкий, жгучий, затем горьковатый.
Резаное сырье представляет собой пластины прямоугольной или треугольной формы в сечении длиной до 10 см, шириной 0,2-1,8 см, толщиной 0,2-0,8 см. Имеются кусочки тонких нитевидных корешков.
Микроскопия. Для поперечного среза корня характерна широкая кора; элементы ксилемы и флоэмы расположены узкими радиальными тяжами, разделенными широкими, многорядными сердцевинными лучами. Во флоэме имеются секреторные каналы с желтым и светло-желтым содержимым; в наружной коре находятся еще 2-3 ряда секреторных каналов с каплями красно-коричневого содержимого. Ксилема состоит из узких сосудов, расположенных радиально в один, реже в два ряда, и мелких клеток древесной паренхимы. Крахмальные зерна округлые простые или 2-6-сложные. В отдельных клетках содержатся друзы оксалата кальция.
Качественные реакции. При нанесении на порошок корня женьшеня капли концентрированной серной кислоты через 1-2 мин появляется кирпично-красное окрашивание, переходящее в красно-фиолетовое, а затем в фиолетовое (гликозиды).
Числовые показатели. Содержание экстрактивных веществ, извлекаемых 70-ным спиртом, не менее 20%; влаги не более 13%; золы общей не более 5%; корней, потемневших и побуревших с поверхности, не более 10%.
Хранение. Сухое сырье хранят по общему списку в сухих, хорошо проветриваемых помещениях. Срок годности 2 года 6 месяцев.
Качество свежих корней дикорастущего женьшеня оценивают в соответствии с требованиями ГОСТ 10064-62, а корней культивируемого ГОСТ 23938-79. Проводят тщательный внешний осмотр, при котором устанавливают наличие на верхней части тела корня кольцеобразных утолщений, характерных для дикорастущего женьшеня, особенно шейки корня, которая у дикорастущего женьшеня более круглая и покрыта более мелкими бугорками, чем у женьшеня культурного.
Одновременно устанавливают наличие повреждений и скрытых искусственных утяжелителей, которые могут быть введены в тело корня, иногда под шейку или между основными отростками. С этой целью при наличии в корне проколов отверстие прощупывают иглой. Наружными признаками проколов являются быстрые локальные загнивания.
Корни, имеющие нормальную влажность, на ощупь плотные и свежие, приблизительно такие, какими они бывают, находясь в условиях естественного произрастания. Искусственное насыщение корня водой в целях его утяжеления и придания более свежего вида распознается по следующим признакам: "поеный" корень через 2-3 сут в условиях нормального хранения вянет и становится дряблым; имеет более плотную консистенцию и в отдельных случаях можно обнаружить поверхностные трещины кожицы в местах разделения тела на основные отростки.
Упаковка. Сырые корни упаковывают в деревянные ящики 453525 см в количестве не более 3 кг в один ящик. Ящик внутри обкладывают мхом средней влажности, дно ящика засыпают землей, на землю укладывают первый слой корней, который также засыпают землей, и т.д. Земля должна быть взята с места заготовки женьшеня, просеяна через решето, иметь нормальную почвенную влажность. Ящик забивают, обшивают по краям обручным железом, покрывают упаковочной тканью и пломбируют. Хранят 5 лет.
Использование. Настойку корней женьшеня применяют как тонизирующее и адаптогенное средство при гипотонии, переутомлении, неврастении. Лечебная доза индивидуальна. Используется как биологическая добавка. При изготовлении конфет, варенья, консервированного куриного мяса, безалкогольных напитков.
Из каллусной ткани штамма БИО-2, полученной in vitro от корня женьшеня, производят биомассу женьшеня сухую (Biomassa Ginseng sicca).
Стандартизация. Качество сырья регламентировано требованиями ВФС 42-1891-89.
Внешние признаки. Сухая биомасса женьшеня представляет собой кусочки округлой или неправильной формы, легкие, пористые, легко рассыпающиеся при растирании в порошок. Цвет от светло-желтого до светло-коричневого. Запах слабый, специфический. Вкус солоновато-горький.
Микроскопия. При рассмотрении порошка биомассы видны обрывки округлых меристематических и овальных паренхимных клеток с тонкими стенками; в клетках много простых крахмальных зерен с образовательным центром в виде точки или щели; встречаются кристаллы в виде призм и друз.
Качественные реакции. Для идентификации биомассы используют также микрохимическую реакцию на крахмал с раствором Люголя после предварительного набухания биомассы в воде в течение 15 мин. Под микроскопом видны скопления красных и коричнево-фиолетовых разбухших крахмальных зерен. Подлинность биомассы устанавливают также с помощью хроматографии спиртового раствора суммы тритерпеновых гликозидов после проведения количественного определения в тонком слое сорбента на пластинах в системе н-бутанол95%-ный этанолконцентрированный раствор аммиака (9:2:5 по объему). После высушивания хроматограмм, проявления 5%-ным раствором серной кислоты и нагревания в токе горячего воздуха на хроматограмме должно появиться не менее четырех пятен от светло-сиреневого до фиолетового цвета в области R>f>=0,260,43 (тритерпеновые гликозиды).
Числовые показатели. Содержание суммы гликозидов, определяемых гравиметрическим методом, должно быть не менее 1,5%; влажность не более 8%; золы общей не более 13,5%.
Хранение. В сухом месте при комнатной температуре. Срок годности 3 года.
Использование. Получают настойку "Биоженьшень", применяемую аналогично настойке женьшеня.
4. Лекарственное сырье, содержащее стероидные гликоалкалоиды
4.1 Паслен дольчатый

Трава паслена дольчатого — Herba Solani laciniati
Растение. Паслен дольчатый — Solanum laciniatum Ait., семейство пасленовые — Solanaceae.
Многолетнее травянистое растение, достигающее на родине высоты 2,5 м, в условиях однолетней культуры — 1 м. Стебель на высоте 40—60 см вильчато-ветвистый. Ветви с фиолетовой пигментацией в узлах. Нижние листья черешковые, до 35 см длины, непарноперисторассеченные; верхние уменьшаются и упрощаются до тройчаторассеченных; самые верхние листья мелкие, цельные, ланцетовидные. Все листья голые, сверху более темно-зеленые, чем снизу. Цветы крупные, собраны в густые короткие цимоидные соцветия из 3—17 цветков. Чашечка зеленая, 5-листная, венчик темно-фиолетовый, колесовидный. Плод — сочная ягода длиной до 3 см. Все растение ядовито! Растение субтропического климата, родина — Австралия и Новая Зеландия. В России культивируется как однолетняя культура в Краснодарском крае. Урожай снимают (косят траву) дважды в течение лета.
Химический состав. Содержит два гликозида — соласонин и в меньшей мере соламаргин, имеющие в качестве агликона соласодин. Углеводная часть соласонина состоит из рамнозы, галактозы и глюкозы, а у соламаргина — из двух молекул рамнозы и глюкозы. Содержание соласодина в различных органах паслена дольчатого неодинаково. Большая часть его находится в незрелых плодах (до 3 %) и листьях (до 2 %), меньшая — в стеблях и корнях (до 0,3 %). В листьях основное накопление соласодина происходит в фазе цветения; его содержание снижается при понижении температуры воздуха. Так, в дневные часы его больше, чем в вечерние и ночные. Наиболее высокий выход соласодина из сырья наблюдается в условиях Южного Казахстана.
Лекарственное сырье. Собирают траву в фазе массового цветения. Это относится как к первой, так и ко второй уборке урожая. В этот период листья составляют 57—63 % общей массы сырья. Уборку ведут косилками, которые одновременно со скашиванием измельчают траву. На юге Казахстана повсеместно применяется естественная солнечная сушка измельченной травы на бетонированных или асфальтированных токах.
Применение. Из травы выделяется соласодин, используемый для получения прогестерона — важного продукта в синтезе кортизона. Соласодин является не только сырьем для получения прогестерона. В народной медицине используется при остром ревматизме, артритах, эндокардитах и ожогах. Стероидные алкалоиды пасленовых проявляют противогрибковую и ци- тостатическую активность. Некоторые из них, например томатин из листьев и цветков томата, действуют как репелленты на некоторых насекомых, в частности на колорадского жука.
4.2 Чемерица Лобеля

Корневища с корнями чемерицы — Rhizomata cum radicibus Veratri
Растение. Чемерица Лобеля — Veratrum lobeliatum Bernh., семейство мелантиевые — Melanthiaceae.
Многолетнее травянистое растение с толстым темно-бурым вертикальным или косорастущим корневищем, несущим многочисленные длинные светлые корни. Стебель толстый, высотой до 140 см. Листья очередные, круглые, широкоэллиптические, цельнокрайние, стеблеобъемлющие, дуго-нервные. Соцветие — длинная верхушечная метелка. Цветки зеленоватые с простым, до основания 6-раздельным околоцветником. Плод — 3-гнездная коробочка с многочисленными семенами. Все растение ядовито!
Ареал Veratrum lobeliatum обширен и занимает почти всю территорию России, кроме степных районов. Нет этого вида и в пустынных районах Центральной Азии. Огромные заросли встречаются на Кавказе и Тянь-Шане, на альпийских и субальпийских лугах. В лесной зоне растет по лесным и пойменным лугам. Промышленную заготовку проводят на Украине, Северном Кавказе, в Грузии, Башкирии и Поволжье.
Химический состав. Все части растения содержат алкалоиды: корни — до 2,4 %, корневища —до 1,3 %, трава —до 0,55 %. Алкалоидный состав очень сложный и еще полностью не изучен, относится к группе иервератровых алкалоидов (иервин, изоиервин, рубииервин, изорубииервин и др.). Основным алкалоидом является иервин, который большей частью находится в виде свободного агликона или, реже, соединен с одной молекулой глюкозы.
Лекарственное сырье — корневище с корнями. Их выкапывают осенью, отмывают от земли; крупные корневища разрезают вдоль и сушат в тепловых сушилках отдельно от другого сырья, соблюдая осторожность (пыль вызывает раздражение слизистой оболочки дыхательных путей).
Корневище темно-серое длиной до 8 см, диаметром до 3 см, корни желтовато-бурые длиной до 20 см, относительно толстые (до 4 мм), многочисленные, полностью закрывающие корневище. Сырье оценивают по сумме алкалоидов (не менее 1 %).
Микроскопия. На поперечном срезе корень чемерицы имеет первичное строение, покровная ткань представлена однослойным эпидермисом, состоящим из мелких клеток. Часть клеток паренхимы (2—4 ряда) плотным слоем прилегает к эпидермису, далее клетки паренхимы расположены радиальными тяжами с крупными межклетниками. Вся паренхима коры заполнена крахмалом, в отдельных ее клетках встречаются рафиды оксалата кальция. Крахмальные зерна простые и сложные, округлояйцевидные с центральной точкой; размер простого крахмального зерна и каждого крахмального зерна, входящего в состав сложного, — 3—18 мкм. Эндодерма представлена одним рядом подковообразно утолщенных клеток. Центральный осевой цилиндр состоит из 10—20 лучей древесины, между которыми находятся участки луба.
Применение. Галеновые препараты чемерицы (настойка, чемеричная вода) используют для борьбы с накожными паразитами. В ветеринарии широко применяют отвары и настои при гиподерматозе крупного рогатого скота. За рубежом из корневищ чемерицы белой и зеленой (V. viride Ait. — североамериканский вид) получают алкалоиды в виде эфиров, которые назначают в качестве гипотензивных средств. Более широкому применению алкалоидов чемерицы в медицинской практике препятствует их высокая токсичность.
4.3 Сабадилла лекарственная

Сабадилла лекарственная ("вшивое семя") – Schoenocaulon officinale Gray.
Семейство лилейные.
Описание (Сабадилла лекарственная). Многолетнее луковичное растение 100 — 200 см высоты. Луковица яйцевидная, до 4 см длины и 2,5 см в диаметре, снаружи покрытая темно-коричневыми сухими чешуями, на верхушке — с хохолком из волокнистых остатков отмерших листовых влагалищ. Все листья прикорневые, в количестве 5 — 6, влагалищные, голые, линейные, заостренные, сверху — плоскожелобчатые, цельнокрайние, 50—150 см длины и 6—12 см ширины. Цветочная стрелка безлистная, прямая, неветвящаяся, несущая на конце колосовидную кисть, достигающую 25 — 50 см длины и 1 —1,5 см ширины. Нижние цветки в соцветии обоеполые; верхние — тычиночные, с редуцированными завязями. Цветки желто-зеленые или зеленоватые; цветоножки изогнутые, около 2 мм длины. Околоцветник, остающийся при плодах, простой, почти до основания шестираздельный; его листочки линейно-ланцетные, тупые, около 4 мм длины. Тычинки в числе 6 прикреплены к основанию листочков околоцветника; 3 внутренние тычинки короче наружных. Пестик с верхней трехгнездной, яйцевидно-удлиненной завязью, тремя короткими, наружу отогнутыми шиловидными столбиками, оканчивающимися тупыми рыльцами. Плод — трехгнездная, несколько вздутая, продолговато-яйцевидная, трехгранная, коричневатая коробочка, 8—15 мм длины. В каждом из ее гнезд обычно развивается 2 — 3 семени; семена продолговато-ланцетные, темно-коричневые, на верхушке заостренные, у основания несколько изогнутые, продольноморщинистые и ямчатые, 5 — 9 мм длины и до 2,5 мм ширины.
Распространение (Сабадилла лекарственная). Произрастает в горах Мексики, Гватемалы и Венесуэлы.
Используемые органы (Сабадилла лекарственная): семена и получаемые из них алкалоиды.
Химический состав (Сабадилла лекарственная). Во всех органах найдены алкалоиды. Семена содержат до 5% стероидных алкалоидов, из которых основными являются: цевадин C>32>H>49>0>9>N, т. пл. 205°, [α]17>D>+ 12,5°; вератридин C>36>H>51>O>11>N, аморфный, т. пл. 160—180°, [α]>D> + 8° (этанол); цевацин C>29>H>45>0>9>N, т. пл. 205 — 207°, [а]21>D> —27° (хлороформ). Кроме того, из семян в небольшом количестве выделены: сабатин C>29>H>47>->49>0>8>N, т. пл. 255 — 258°, [a]25>D>—11,3° (этанол); сабадин C>29>H>45>0>9>N, т. пл. 120—140°; ванилоилцевин C>33>H>49>0>11>N, т. пл. 258°; верагенин C>31>H>53>->55>0>13>N; верацевин (протоцевин) C>27>H>43>0>8>N, α-цевин (изомер верацевина), гидроалкамин "S" и др. Кроме алкалоидов, в семенах содержится жирное масло (до 19%).
Применение в медицине (Сабадилла лекарственная). Препараты сабадиллы являются известными инсектицидными средствами, широко применяемыми для борьбы с паразитами животных и человека. Помимо этого, благодаря избирательному влиянию алкалоидов сабадиллы на окончания чувствительных нервов, препараты ее в виде мазей используются в медицинской практике в качестве раздражающих, отвлекающих и анестезирующих средств при болях невралгического и ревматического характера. В ветеринарии применяется как рвотное. Действие сабадиллы обусловлено содержащимися в ней алкалоидами, главным образом цевадином, вератридином и цевацином.
Препараты (Сабадилла лекарственная): настойка семян, вератрин (сумма алкалоидов в виде настойки и мази).
Выводы
Сапонины — безазотистые гликозиды и стероидные гликоалкалоиды растительного происхождения с поверхностно-активными свойствами. Растворы сапонинов при взбалтывании образуют густую стойкую пену. Название происходит от латинского sapo (род. падеж saponis)— мыло. Хорошо растворимы в воде и спирте. Широко распространены в природе, встречаются в различных частях растений— листьях, стеблях, корнях, цветах, плодах.
Агликоны сапонинов носят название сапогенинов. По химическому строению они делятся на две группы:
стероидные спирты (С>27>)
производные тритерпеновых (сапонигеновых) кислот (С>30>)
Наиболее распространенный сахарный компонент сапонинов— D-глюкоза. Довольно часто встречаются D-галактоза, D-ксилоза, L-рамноза и другие углеводы.
Биологическая активность: Исследования сапонинов класса естественных продуктов показали их комплексообразование с холестерином, с формированием поры в двойных слоях мембраны клетки, например, в мембране эритроцита. Такое комплексообразование приводит к гемолизу при внутривенной инъекции (Фрэнсис и др. 2002). Амфифильная природа класса сапонинов способствует увеличить проникающую способность макромолекул белков через мембраны клетки (Сигма-Aldrich, op.). При попадании в кровь сапонины токсичны, поскольку вызывают гемолиз эритроцитов. При приеме внутрь, как правило, нетоксичны вследствие гидролиза гликозидов; однако сапонины мыльного дерева (Sapindus) при проглатывании могут вызвать у некоторых людей крапивницу. Сапонины высокотоксичны для животных, дышащих жабрами; при этом рыба, отравленная сапонинами, остается съедобной. Сапонины листьев наперстянки (Digitalis) дигитоксин, дигоксин, гитоксин при пероральном применении нормализуют углеводно-фосфатный обмен и баланс электролитов в сердечной мышце, приводя к увеличению силы сокращения в сердечной мышце; повышают тонус центра блуждающих нервов, что в еще большей степени способствует восстановлению обмена в миокарде. Оказывают успокаивающее действие на центральную нервную систему. Кардио-тоническим действием обладают также сапонины конского каштана (эсцин и др) и аралии маньчжурской. При легком раздражающем действии сапонинов на слизистую желудка происходит усиление секреции всех желез, что благоприятно сказывается на бронхах— мокрота разжижается и легко эвакуируется из бронхиального дерева. Вместе с тем избыток сапонинов приводит к раздражению слизистой желудка и кишечника.
Применение
Техника: Благодаря способности сапонинов образовывать обильную пену, они находят некоторое применение в качестве детергентов и пенообразующих агентов в огнетушителях.
Медицина: Коммерчески производятся сапонины как диетические добавки и nutriceuticals. В терапевтической практике сапонины используются как отхаркивающие, мочегонные, тонизирующие, седативные средства. Гликозиды стероидных С>23>-спиртов, содержащие α, β-непредельный лактонный цикл— т. наз. сердечные гликозиды— используются при лечении сердечной недостаточности. Когда-то они применялись для приготовления отравленных стрел аборигенами Африки и Южной Америки. Сапонины, также используются как вспомогательные средства в вакцинах. В их использовании как и в производстве вакцин, токсичность, связанная с комплексообразованием стерола (стерина) остается главной проблемой внимания. Даже в случае дигоксина, терапевтическая выгода от cardiotoxin— результат осторожного управления соответствующей дозы. Отмечается необходимость большой осторожности в оценке терапевтической выгоды от употребления естественных продуктов, содержащих сапонин-разновидности.
Список использованной литературы
Биологически активные вещества лекарственных растений/Георгиевский В.П., Комиссаренко II. Ф., Дмитрук С.Е.— Новосибирск: Наука, Сиб, отделение, 1990,— 333 с.
Виноградова Т.А., Гажёв Б. Н. и др. Практическая фитотерапия/М.: "ОЛМА-ПРЕСС"; СПб.: Издательский Дом "Нева", "Валери СПД", 1998.- 640 с.
Копейка В.И. Семейный справочник лекарственных растений. — Донецк: ООО "ПКФ "БАО", 2009. — 224 с
Мазнев Н.И. Энциклопедия лекарственных растений. 3-е изд., испр. и доп. — М.: Мартин 2004. - 496 с.
Мамчур Ф.И. Справочник по фитотерапии.— Киев, 1996.
Муравьева Д.А., Самылина И.А., Яковлев Г.П. Фармакогнозия: Учебник. 4-е изд., перераб. и доп. — М.: Медицина, 2002. — 656 с.
Перевозченко И.И. Лекарственные растения в современной медицине.- К.: О-во "Знание" УССР, 1990. – 48 с.
Попов В.И. и др. Лекарственные растения /В.И. Попов, Д. К, Шапиро, И.К. Данусевич.— 2-е изд. перераб. и доп.-Мн.: Полымя, 1990.— 304 с.
Протасеня М. I., Василенко Ю.В. Лікарські збори. — Сімферополь: Тавріда, 1992.—352 с.
Професіонали про цілющі трави: вирощування, зберігання, застосування / Упор. А.Г. Сербін, В.Д. Чередниченко.— X.: Прапор, 2001.— 190 с.
Тихонов В.Н., Калинкина Г.И., Сальникова E.H., Под редакцией профессора Дмитрука С.Е. Лекарственные растения, сырье и фитопрепараты / Учебное пособие. Часть I. Томск, 2004. - 116 с.
Тихонов В.Н., Калинкина Г.И., Сальникова E.H., Под редакцией профессора Дмитрука С.Е. Лекарственные растения, сырье и фитопрепараты / Учебное пособие. Часть II. Томск, 2004. - 148 с.