Лекарственные вещества, их свойства и анализ
Федеральное агентство по образованию
ГОУ ВПО Тульский государственный педагогический университет
им. Л.Н. Толстого
Кафедра органической и биологической химии
Курсовая работа на тему:
Лекарственные вещества, их свойства и анализ
Выполнил: студент 3 курса
ЕНФ, группы "В"
Ярош Д. И.
Проверил: к. х. н., доцент
Боташев С.А.
Тула 2009
План
Введение
1. Классификация лекарственных веществ
2. Свойства лекарственных веществ
3. Анализ лекарственных веществ
3.1 Химические методы анализа
3.1.1 Комплексометрический метод титрования
3.1.2 Метод сжигания в колбе с кислородом
3.1.3 Метод кислотно – основного титрования
3.1.4 Не водное титрование
3.1.5 Нитритометрия
3.2 Физико – химические методы анализа
3.2.1 Оптические методы
3.2.2 Электрохимические методы
3.2.3 Хроматографические методы
3.3 Физические методы анализа
3.3.1 Определение температуры плавления, и температурного интервала плавления
3.3.2 Определение точки плавления жиров, восков и т.п.
3.3.3 Определение точки затвердевания
3.3.4 Определение точки кипения
3.3.5 Определение показателя приломления
Заключение
Список используемой литературы
Введение
Свойствами и анализом лекарственных веществ занимается фармацевтическая химия.
Фармацевтическая химия — наука, которая, базируясь на общих законах химических наук, изучает многообразный круг вопросов, связанных с лекарственными веществами: их получение и химическую природу, состав и строение, влияние отдельных особенностей строения их молекул на характер действия на организм, изучает физические и химические свойства лекарственных веществ и методы контроля их качества, определяет условия хранения лекарств.
Фармацевтическая химия занимает ведущее место в комплексе смежных фармацевтических наук (технология лекарств, токсикологическая химия, фармакогнозия, экономика и организация фармацевтического дела) и является необходимым фундаментом для их понимания и знания.
В то же время фармацевтическая химия, являясь специализированной наукой, не может не опираться на знания смежных химических (неорганическая, органическая, аналитическая, физиологическая и коллоидная химия), а также медико-биологических (фармакология, физиология, биологическая химия) дисциплин.
Знание биологических дисциплин необходимо для понимания сложных физиологических процессов, происходящих в организме, в основе которых лежат химические и физические реакции. Это позволяет более рационально применять лекарственные вещества, наблюдать за их действием в организме и на основании этого изменять в необходимом направлении структуру молекул создаваемых лекарственных веществ с целью получения желаемого фармакологического эффекта. По результатам фармакологического испытания лекарственных веществ дается заключение о возможности использования их в медицинской практике.
Действие лекарственного вещества определяется не только его химической структурой, но зависит также и от его физико-химических свойств. Поэтому фармацевтическая химия тесно связана с физической и коллоидной химией. Изучение структуры молекулы лекарственного вещества, разработка методов синтеза и анализа его невозможны без знания органической и аналитической химии. Вопросы совместимости лекарственных веществ в рецептурной прописи, способы изготовления, сроки годности, условия хранения и отпуска лекарств связывают фармацевтическую химию с технологией лекарств, экономикой и организацией фармации. Но решать вопросы совместимости, условия хранения лекарств может лишь специалист, владеющий знаниями фармацевтической химии.
На современном этапе фармацевтическая химия тесно связана с физикой и математикой. На общих законах этих наук базируются физико-химические методы анализа лекарств и расчеты в фармацевтическом анализе.
При соответствующей обработке нефти из нее получают вещества, применяемые в медицине, например вазелин, вазелиновое масло, парафин, ароматические углеводороды и их производные и др.
При сухой перегонке каменного угля одной из фракций является каменноугольный деготь, который служит источником для получения главным образом различных фенолов и их производных. Из фенола, который уже сам является лекарственным веществом антисептического действия, получают бензол, толуол, нафталин, являющиеся исходными продуктами для синтеза многих лекарственных веществ.
Из подсмольной воды, которая получается при сухой перегонке дерева, получают древесный спирт, уксусную кислоту и др.
Ценным природным источником лекарственного сырья являются горючие сланцы, богатые серой. Продукты сухой перегонки сланцев служат источником получения ихтиола, а также многих лекарственных веществ, производных гетероциклического ряда.
Весьма ценным источником получения многих лекарственных веществ является сырье растительного и животного происхождения.
Сырье животного происхождения—это органы здоровых животных (ткани, железы). Например, тиреоидин получают из щитовидной железы, адреналин — из мозгового слоя надпочечников, кортизон — из коркового слоя надпочечников и т. д.
Многочисленные и разнообразные виды растительного сырья служат богатейшим источником для получения многих важнейших лекарственных веществ, алкалоидов, гликозидов, витаминов.
Из растительного сырья получают также эфирные масла, смолы, млечные соки, жирные масла. Частично эти продукты уже сами по себе применяются как фармацевтические препараты, например эфирные масла (мятное, розовое, лавандовое и др.), другие — после соответствующей обработки дают разнообразные вещества лечебного действия.
Современный арсенал лекарственных средств все более пополняется новой группой лекарственных веществ с сильным биологическим действием — антибиотиками, источником получения которых являются главным образом микроорганизмы.
1. Классификация лекарственных средств
Наиболее распространена международная Анатомо-терапевтическо-химическая классификация (ATC). В России более привычно деление на Фармакологические группы. Кроме того существует ещё Нозологическая классификация.
Рецептурные и безрецептурные лекарственные средства.
В мировой практике существует понятие "безрецептурные" и "рецептурные" лекарственные средства. Последние предполагают большую потенциальную опасность применения без рецепта врача. Идет постоянная борьба между "фармацевтическим" и "врачебным" лобби (соответственно, за расширение 1-й или 2-й группы препаратов и соответствующего бизнеса).
Государственное регулирование призвано учесть интересы населения (дилемма "доступность" и/или "безопасность" лекарственных средств), — без перекоса в сторону интересов фармацевтического или врачебного бизнеса.
Гомеопатические лекарственные средства.
В ряде стран эти средства регулируются по-разному — либо как категория "Лекарственные средства", либо как "Пищевые продукты и добавки", либо как "средства нетрадиционной медицины". В настоящее время на этот счет нет устоявшегося мнения международных организаций, согласованного с национальными органами управления здравоохранением.
В Российской федерации гомеопатические препараты подлежат такому же законодательному регулированию как и обычные лекарства.
2. Свойства лекарственных веществ
Средства для наркоза. Для общего обезболивания в современной анестезиологии применяют различные лекарственные средства. В процессе подготовки к операции проводится премедикация, включающая назначение больному успокаивающих, анальгетических, хомеполитических, сердечно-сосудистых и других препаратов. Применение этих средств имеет целью ослабить отрицательное влияние на организм эмоционального стресса, предшествующего операции, и предупредить возможные побочные явления, связанные с наркозом и хирургическим вмешательством. Применение в анестезиологии современного арсенала лекарств облегчает проведение хирургических операций, сокращает их длительность, расширяет возможности хирургического лечения различных заболеваний, снижает степень риска для больного при проведении сложных операций.
Снотворные средства. Барбитуровая кислота является основой структуры многочисленных современных снотворных, наркотических и противосудорожных средств. В последние годы в связи с появлением новых препаратов, г.о. транквилизаторов и снотворных бензодиазепинового ряда, барбитураты из-за вызываемых ими побочных явлений стали реже применяться в качестве снотворных и успокаивающих средств. Как снотворное средство широко применяют нитразенам и димедрол.
Психотропные препараты. Первые современные психотропные препараты были созданы в начале 50-х годов нашего столетия основными препаратами, используемыми для этой цели, были снотворные и седативные средства, инсулин, кофеин и т.д. Сейчас, множество лекарственных препаратов, один из них промагсан.
Противосудорожные средства. Противосудорожное действие могут оказать различные вещества, ослабляющие процессы возбуждения или усиливающие процессы торможения в ЦНС. Как противосудорожные средства применяют бромиды, хлоралгидрат, сульфат магния, барбитураты, особенно фенобарбитал, а также транквилизаторы группы бензодиазепина и другие.
Средства для лечения паркинсонизма. "Паркинсонова болезнь - хроническое заболевание головного мозга, выражающееся в дрожании конечностей, головы, замедленности движений, общей скованности и повышении тонуса мускулатуры.
Анальгезирующие средства и нестероидные противовоспалительные препараты. Анальгезирующими средствами, или анальгетиками, называют
лекарственные средства, обладающие специфической способностью ослаблять или устранять чувство боли. Анальгезирующее (болеутоляющее) действие могут оказывать не только собственно анальгетики, но и другие вещества, относящиеся к разным фармакологическим группам.
Рвотные и противорвотные препараты. Рвота часто является защитным актом, направленным на освобождение желудка от попавших в него раздражающих и токсических веществ. В таких случаях это физиологический процесс, для ускорения которого может понадобиться применение специальных лекарственных (рвотных) средств. Однако в ряде случаев рвота является сопутствующим процессом, ухудшающим состояние организма.
Средства, действующие на периферические холинергические процессы. Лекарственные вещества, усиливающие холинергическую нейтромедиацию, составляют группу холиномиметических веществ; холиномиметическое действие оказывает также антихолипэстерзные вещества. Вещества, ослабляющие или блокирующие холинергическую медиацию, составляют группу антихолинергических веществ. К веществам, блокирующим передачу нервного возбуждения в области холинергических окончаний двигательных нервов, относятся курареподобные препараты.
Средства, действующие на периферические адренерические процессы. Образующийся в организме эдогенный адреналин играет главным образом роль гормонального вещества, влияющего на обменные процессы.
Норадреналин осуществляет медиаторную функцию в периферических нервных окончаниях и в синапсах ЦНС. Биохимические системы тканей, взаимодействующие с норадреналином, называют адренореактивными системами, или адренфецепторами.
Дофалин и дофалинерические препараты. Дофалин, полученный синтетическим путем, нашел в последнее время применение в качестве лекарственного средства. Дофалин - биогенный амин, образующийся из 1-тирозана. Как нейтромедиатор он играет важную роль в деятельности ЦНС. ВС влиянием на дофалинерические процессы мозга связан механизм действия ряда нейтронных, в том числе психотропных препаратов.
Гистамин и антигистаминные средства. Гистамин является биогенным амином, образующимся при декарбоксилировании аминокислоты - гистадина. Находится в организме человека и животных. Он является одним из химических факторов, учавствующих в регуляции жизненных функций.
Серотонин, серотониноподобные и антисеротониновые препараты. Физиологическая роль серотонина не достаточно изучена. В ЦНС он играет роль медиатора. С влиянием на биосинтез серотонина, его метаболизм и взаимодействие с рецепторами связан механизм действия ряда психотропных препаратов. Периферическое действие серотонина характеризуется сокращением гладкой мускулатуры матки, кишечника, бронхов и других гладкомышечных органов, сужением кровеносных сосудов. Он является одним из медиаторов воспаления, оказывает при местном применении выраженное отечное действие. Обладает способностью укорачивать время кровотечения, повышать качество тромбоцитов в периферической крови, повышать агрегацию тромбоцитов. При агрегации тромбоцитов из них высвобождается серотонин. Для применения в медицинской практике серотонин получают синтетическим путем в виде соли с адипиновой кислотой.
Местноанестезирующие препараты. Средства, оказывающие местноанестезирующее действие. Такие: кокаин, анестезин, новокаин, лидокаин, тримекаин, пиромекаин, дикаин, совкаин.
Обволакивающие и адсорбирующие средства. Эти средства применяют при язвенной болезни желудка, двенадцатиперстной кишки, острых и хронических гиперацидных гастритах, эзофагите и других желудочно-кишечных заболеваниях, при ктоорых показано уменьшение кислотности и протеалитической активности желудочного сока.
Отхаркивающие средства. Отхаркивающие средства широко применяют для удаления мокроты из легочных путей при различных патологических процессах.
Слабительные средства. Действие слабительных средств связано г.о. с рефлекторными влияниями на перистальтику кишечника, вызывающими ускорение его опорожнения.
Сердечные гликозы. Основными лекарственными средствами, оказывающими избирательное кардиотоническое действие и применяемыми для лечения сердечной недостаточности, являются препараты из растений, содержащих сердечные гликозы.
Антиаритмические препараты. Нормализующее влияние на нарушенный ритм сердечных сокращений могут оказывать вещества, относящиеся к разным классам химических соединений и принадлежащие к разным фармакологическим группам.
Сосудорасширяющие и спазмолитические средства. Антиагинальные препараты. Спазмолитическое действие, т.е. понижение тонуса и снятие спазмов гладкой мускулатуры внутренних органов и кровеносных сосудов, может быть достигнуто при помощи различных нейротропных веществ и средств, оказывающих непосредственное действие на гладкую мускулатуру. Антиагинальными называют лекарственные средства, применяемые для купирования и профилактики приступов стенокардии.
Препараты, улучшающие мозговое кровообращение. В качестве средств, снимающих спазмы сосудов мозга, применяют целый ряд комбинорованных препаратов, содержающих папаверин, но-шпу, кофеин, дибазол, никотиновую кислоту и т.д.
Диуретические средства. Мочегонными средствами, или диуретиками называют вещества, вызывающие увеличение выведения из организма мочи и уменьшение содержания жидкости в тканях и серьезных полостях организма.
Средства, способствующие выведению мочевой кислоты и удалению мочевых конкрементов. В эту группу включены урикозурические препараты (повышающие выделение мочевой кислоты с мочой) и средства, способствующие удалению мочевых конкрементов в связи с их способностью "растворять" эти конкременты или облегчать их прохождение через мочевыводящие пути.
Желчегонные средства. Желчегонные средства принято делить на две группы: средства, усиливающие образование желчи, и средства, способствующие выделению желчи из желчного пузыря в кишечник.
Гормоны, их аналоги и антигормональные препараты. Гормоны - это химические вещества, вырабатываемые эндокринными железами. Они играют важнейшую роль в гуморальной регуляции разнообразных функций организмов.
Витамины и их аналоги. Наш организм постоянно нуждается в витаминах, т.к. в организм недостаточно попадает пищи с нужными, для полноценного развития, факторами, то и используют витамины. На сегодняшний день известны витамины: А1, В1, В2, В6, В12, С, D, E, F, P и другие.
Ферментные препараты и вещества с антиферментной активностью. Ферментные препараты широко применяют при лечении заболеваний, сопровождающихся гнойно-некротическими процессами, при трамбозах и тромбоэмболиях, нарушениях процессов пищевариея и др. Ферментные препараты используют также для лечения онкологических заболеваний.
Средства, влияющие на свертывание крови. Одно из таких средств - кливарин.
Препараты гипохолестеринемического и гиполитопротеинемического действия. "В связи с важной ролью, придаваемой нарушением обмена холестерина в патогенезе атеросклероза, были предприняты поиски гипохолестеринемических веществ. В настоящее время установлено, что холестерин проникает в стенку сосудов в составе липопротеидов и что развитие атеросклероза связано с образованием в организме липопротеидов, обладающих атерогенными свойствами.
Плазмозамещающие растворы и средства для паретерального питания. В целях замещения плазмы при острых кровопотерях, при шоке различного происхождения, нарушениях микроциркуляции, интоксикациях и других процессах, связанных с нарушением гемодинамики, часто применяют так называемые плазмозамешающие растворы.
Препараты, стимулирующие иммунологические процессы. В последние годы стали уделять много внимания разработке и изучению специфических средств, стимулирующих или подавляющих (модулирующих) иммунные реакции организма. Один из таких препаратов левамизол (Levamisolum)
Препараты для профилактики и лечения синдрома лучевой болезни.
Лучевая болезнь возникает при воздействии на организм ионизирующих излучений в дозах, превышающих предельно допустимые. У человека возможны молниеносная, острая, подострая и хроническая лучевая болезнь. Проявляется главным образом поражением органов кроветворения нервной системы, желудочно-кишечного тракта и другие.
Химиотерапевтические средства. Лекарственные препараты, оказывающие специфическое повреждающее действие главным образом на возбудителей инфекционных заболеваний или клетки опухолей.
Антисептические средства. Средства обладают противомикробным действием и применяются главным образом для дезинфекции, смазывания кожи и слизистых оболочек, орошения ран и полостей.
Гормональные препараты и ингибиторы образования гормонов, применяемые преимущественно при лечении опухолей. Гормональные препараты, особенно эстросены, андрогены и кортикостероиды, относительно широко применяются в комплексной терапии онкологических заболеваний. Полагают, что в основе механизма этих препаратов лежит их способность изменить гормональные соотношения в организме.
Рентгеноконтрастные средства. Различные средства химического вещества, которые при введении в организм улучшают изображение исследуемого объекта.
3. Анализ лекарственных веществ
3.1 Химические методы анализа
Эти методы используются для установления подлинности лекарственных веществ, испытаний их на чистоту и количественного определения.
Для целей идентификации используют реакции, которые сопровождаются внешним эффектом, например изменением окраски раствора, выделением газообразных продуктов, выпадением или растворением осадков. Установление подлинности неорганических лекарственных веществ заключается в обнаружении с помощью химических реакций катионов и анионов, входящих в состав молекул. Химические реакции, применяемые для идентификации органических лекарственных веществ, основаны на использовании функционального анализа.
Чистота лекарственных веществ устанавливается с помощью чувствительных и специфичных реакций, пригодных для определения допустимых пределов содержания примесей.
Количественные методы химического анализа подразделяют на гравиметрический и титриметрическии. Гравиметрический метод основан на взвешивании осажденного вещества в виде малорастворимого соединения или отгонки органических растворителей после извлечения лекарственного вещества. Метод точен, но длителен, так как предусматривает такие операции, как фильтрование, промывание, высушивание (или прокаливание) до постоянной масс,ы.
Наибольшее применение получил титриметрическии метод. Название происходит от слова "титр" (фр.) — концентрация. Основная операция метода—титрование, заключающаяся в постепенном приливании к раствору анализируемого вещества титрованного раствора до точки эквивалентности. По измеренному объему титрованного раствора рассчитывают количественное содержание вещества.
Титриметрическии метод анализа получил широкое распространение потому, что он позволяет использовать разнообразные химические реакции и определять вещества, учитывая их свойства и строение. Он выполняется быстро, с большой степенью точности, не нуждается в сложном оснащении и может использоваться как в лабораториях, так и в аптеках.
Для количественного определения лекарственного вещества титриметрическим методом необходимы титрованный (стандартный) раствор, набор простой лабораторной посуды (бюретки, пипетки, мерные колбы колбы для титрования) и средств фиксации точки эквивалентности (конечной точки титрования). Последнюю фиксируют как с помощью индикаторов, так и с помощью физико-химических методов, измеряя приборами физическую константу системы (потенциометрическое, амперометрическое титрование и др. способы). Однако не всякая химическая реакция может быть применима для процесса титрования. К реакциям, используемым в титриметрическом методе, предъявляются следующие требования:
возможность фиксировать точку эквивалентности (конечную точку титрования);
количественное протекание реакции, т. е. в реакцию должно вступить 100% анализируемого вещества. Для этого необходимо строго соблюдать определенные условия титрования:
реакция должна протекать быстро; не допускаются побочные реакции.
3.1.1Комплексометрический метод анализа
Основан на образовании комплексного соединения. Меркуриметрия используется для определения концентрации галогенидов, тиоцианатов, цианидов с помощью титрованного раствора — нитрата ртути (II). Предложен также раствор перхлората ртути (II). Титрованные растворы готовят с добавлением соответствующих кислот. Точку эквивалентности устанавливают потенциометрически или с помощью индикатора дифенилкарбазида, образующего с избытком соли ртути (II) сине-фиолетовое соединение:

При определении йодидов в процессе титрования образуется бесцветное комплексное соединение 4KI + Hg(NO>3>)>2>= K>2>[HgI>4>] + 2KNO>3>.
Точку эквивалентности определяют по образованию неисчезающего красного осадка дийодида ртути (II) K>2>[HgI>4>] + Hg(NO>3>)>2> = 2HgI>2> + 2KNO>3>.
Йодиды можно титровать с индикатором дифенилкарбазидом, если в титруемый раствор добавить несколько миллилитров этанола. Красный осадок дийодида ртути (II) растворяется в этаноле, и тогда точку эквивалентности определяют с индикатором по появлению сине-фиолетового окрашивания. Титрование выполняется в кислой среде.
При работе с солями ртути (II) необходимо соблюдать осторожность, помнить, что растворимые соли ртути ядовиты.
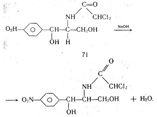
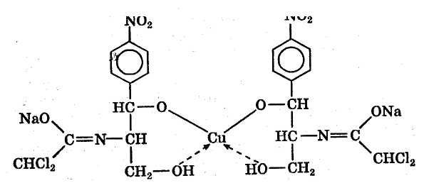
К комплексиметрическому титрованию относится куприметрическое определение левомицетина. К раствору левомицетина добавляют несколько капель раствора гидроксида натрия, мурексид (как индикатор) и медленно приливают титрованный раствор сульфата меди до изменения окраски раствора из фиолетовой в коричнево-красную, сравнивая ее с окраской контрольного раствора.
При добавлении гидроксида натрия к раствору левомицетина происходит взаимодействие

В процессе титрования образуется комплексное соединение

Комплексонометрический метод основан на реакции образования прочных комплексов полиаминокарбоновых кислот с ионами металлов (Са2+ , Mg2+ , Zn2+, Bi3+ и др.). Наиболее широко применяется динатриевая соль этилендиаминтетрауксусной кислоты (трилон Б). Трилон Б наряду с карбоксильными группами содержит аминный азот. Вследствие такого строения он является кислотой и комплексообразующим веществом. Многие металлы заменяют атомы водорода карбоксильных групп, одновременно связываясь координационно с азотом аминогруппы и образуя прочные комплексы трило-на Б с металлом.
Двухзарядный катион (например, Са2+) образует комплексное соединение следующего состава:

Образование комплексов можно представить схематично:
Na>2>H>2>I —> 2Na+ + H>2>I2
Ме2+ + H>2>I2 = Mel2- + 2H+
где Na>2>H>2>I— трилон Б; Me — ион металла. Как видно из приведенной схемы, реакция образования комплексов сопровождается накоплением протонов в растворе, поэтому связывание Н"1"-ионов должно способствовать образованию комплекса. Наиболее благоприятный для комплексообразования реакцией среды является рН 8—10. Поэтому титрование солей металлов трилоном Б проводят в присутствии аммиачного буфера. Для установления точки эквивалентности применяются специальные индикаторы, которые являются органическими красителями. К ним относятся кислотный хром темно-синий, кислотный хром черный специальный, называемый эриохром черный Т, мурексид, калькон-карбоновая кислота и др. Процесс комплексонометрического титрования заключается в том, что к исследуемому раствору, содержащему определяемый катион, при строго определенном значении рН прибавляют индикатор, при этом образуется хорошо растворимое в воде окрашенное комплексное соединение индикатора с ионом определяемого металла. При титровании трилоном Б этот комплекс разрушается и образуется более прочный, как правило бесцветный, комплекс иона металла с трилоном Б. При этом выделяется анион индикатора, который окрашивает раствор в цвет, присущий свободному индикатору при данном значении рН:
Ca2 + H>2>Ind = CaInd- + 2H+
Calnd + H>2>I2- = Cal2- + H>2>Ind
Комплексонометрическое титрование осуществляется как методом прямого, так и методом обратного титрования. Оно позволяет определять количественное содержание солей, оксидов металлов магния, кальция, цинка, свинца, висмута, ртути и др. Метод пригоден также для раздельного определения солей металлов в смеси. Раздельное определение солей кальция и магния при их совместном присутствии основано на том, что растворимость соединений титруемых солей зависит от величины рН в анализируемом растворе. Аликвотную часть раствора титруют вначале с индикатором эриохром черным при рН = 9 в присутствии аммиачного буферного раствора, причем титруются обе соли. В другой аликвотной части определяют соль кальция. В раствор добавляют несколько миллилитров 20 %-ного раствора гидроксида натрия, рН этого раствора изменяется от 9 до 12. В этих условиях соли магния осаждаются в виде гидроксида магния, и далее титруют соль кальция с индикатором мурексидом.
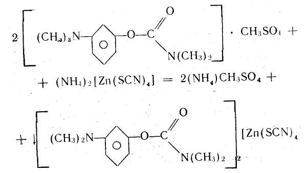
Интерес представляет косвенное комплексонометрическое определение аминопроизводных и солей органических оснований (гидрохлорида папаверина, прозерина, спазмолитина, производных фенотиазина). В этом случае используется раствор тетрароданоцинкат (П)-аммония (ТРЦ), который получают при взаимодействии тиоцианата аммония и сульфата цинка:
4NH SCN + ZnSO>4> = (NH>4>)[Zn(SCN)>4 >] + NH>4>SO>4>.
Для приготовления 0,5 М раствора ТРЦ берут 144 г сульфата цинка, помещают в мерную колбу вместимостью 1 л, добавляют 152 г. тиоцианата аммония, растворяют в воде и доводят водой до 1 л. Тщательно перемешивают, фильтруют через вату, хранят при комнатной температуре. При хранении реактива может выпасть осадок или измениться цвет. Несмотря на эти изменения, реактив годен к применению.
При добавлении реактива ТРЦ к анализируемому раствору образуется осадок комплексной соли. Например, при определении прозерина происходит осаждение его в соответствии с уравнением реакции

Осадок экстрагируют точно измеренным объемом хлороформа при энергичном взбалтывании в течение 2 мин н фильтруют через бумажный фильтр в сухую колбу. В колбу для титрования отбирают пипеткой определенный объем фильтрата, приливают избыток титрованного раствора трилона Б. Часть титранта вступает во взаимодействие с цинком, образуя прочное комплексное соединение. Не вошедший в реакцию титрант в присутствии аммиачного буферного раствора и индикатора хром темно-синего оттитровывают раствором сульфата цинка.
3.1.2 Метод сжигания в колбе с кислородом
Метод сжигания в колбе с кислородом для определения галогенов и серы в органических соединениях состоит из методики сжигания с последующим соответствующим титриметрическим определением. Сжигание органического материала в кислороде дает водорастворимые неорганические продукты, которые определяются, если предписано, для каждого отдельного элемента.
Сжигание проводят в подходяшей конической колбе, в пробку которой вплавлен конец платиновой проволоки. Если в статье нет других указаний, используют колбу емкостью 500 мл. К другому концу проволоки прикреплен кусочек платиновой сетки для укрепления образца, который во время сгорания не должен соприкасаться с поглощающей жидкостью.
3.1.3 Метод кислотно – основного титрования
Осуществляется в воде и в неводных средах. Данный метод используется в 40 процентах методик, применяющихся для анализа лекарственных веществ. Им определяют концентрацию кислот, оснований, солей. В основе титрования лежи реакция взаимодействия протонов с гидроксид-ионами: НзО+ + ОН" = 2Н>2>О. Титрованными (стандартными растворами являются растворы сильных кислот и сильных оснований. В процессе титрования изменяется рН системы. В зависимости от свойств определяемого вещества точка эквивалентности при титровании в воде может соответствовать различным величинам рН: Очевидно важно подобрать индикатор таким образом, чтобы величина рН в точке эквивалентности находилась в интервале перехода окраски выбранного индикатора.
В качестве индикаторов служат красители, изменяющие окраску в широком интервале рН от 1,2 до 10,5. Наиболее часто используются индикаторы: метиловый оранжевый (3,1—4,4); метиловый красный (4,8—6,0); фенолфталеин (8,2—10,0); тимол-фталеин (9,4—10,6).
Значительное количество лекарственных веществ проявляет способность отщеплять или присоединять протоны и согласно современным теориям являться кислотами или основаниями. Мерой кислотности вещества служит величина показателя кислотности рК>а> = -lgK>a>, где К>а>— константа ионизации. Чем меньше величина рКа, тем сильнее кислота, тем легче отщепляются протоны. Аналогично рК>в> — показатель основ-ности вещества. Чем меньше величина рК>в>, тем сильнее основание, тем активнее вещество присоединяет протоны. Значения рКа и рК>в> для одного и того же вещества в разных растворителях различны, и этот фактор используют для выбора условий титрования.
ГФ XI приводит значения рКа для ряда лекарственных веществ в различных растворителях. Зная величину рКа, можно решить вопрос о возможности и условиях титрования вещества. Например, для соляной кислоты в воде рК>а> = 0,8; для уксусной кислоты рК>а>= 4,75; для ацетилсалициловой кислоты рК>а> = 3,50. Эти кислоты можно титровать в воде раствором гидроксида натрия. Если величина рК>а >больше восьми единиц рН, то водная среда не подходит. Например, для титрования барбитала (рК>а>==7,47), фенола (рК>а>=9,89), борной кислоты (рК>а> = 9,24) требуются особые условия. Барбитал титруют в среде диметилформамида бензольно-метанольным раствором гидроксида натрия. Борную кислоту превращают добавлением глицерина в диглицеринборную кислоту, которая является более сильной кислотой.
Свои основные свойства в водных и спиртовых средах проявляют лекарственные вещества, присоединяющие протон. Это—амидопирин (рК>в> = 9,2), гексаметилентетрамин (рК>в>=9,1), алкалоиды, например кодеин (рК>в> =6,0),. поэтому их можно титровать раствором сильной кислоты.
В водной среде кислотами титруют натриевые соли слабых кислот, так как в их растворе вследствие гидролиза образуется щелочная среда. Соли алкалоидов, в .водных растворах которых возникает кислая среда вследствие гидролиза, титруют раствором гидроксида натрия. В процессе титрования солей образуются кислоты или основания, присутствие их оказывает существенное влияние на рН раствора, поэтому их удаляют путем экстрагирования растворителями, не смешивающимися с водой. Например, салицилат натрия, бензоат натрия титруют в присутствии эфира. А соли алкалоидов в присутствии спиртово-хлороформной смеси (1:1). Для алкалиметрического определения аминокислот используется метод формольного титрования (титрование по Серенсену).
Наличие аминогруппы, способной присоединять протоны, и карбоксильной группы, отдающей протоны, приводит к тому, что в водных растворах аминокислоты существуют в виде диполярных ионов +NH3RCOO, поэтому полностью оттитровать такие вещества раствором гидроксида натрия не удается. Во избежание этого в раствор перед титрованием добавляют нейтрализованный формалин. Образуется N-метиленовое производное и устраняется влияние аминогруппы:

Если вещество — очень слабая кислота с рКа > 9, например теофиллин (рК>а> = 11,40), его непосредственно оттитровать нельзя. В таком случае прибегают к заместительному титрованию, сущность которого заключается в том, что к раствору анализируемого вещества добавляют несколько капель раствора нитрата серебра. Выделяющееся эквивалентное количество азотной кислоты определяют, алкалиметрически:

Титрование в неводных средах имеет преимущество перед водным титрованием потому, что позволяет определять концентрацию слабых кислот и оснований, часто мало растворимых в воде. Этот метод позволяет также определять соли слабых кислот и слабых оснований, которые невозможно оттитровать в воде. Удобен метод и для анализа многокомпонентных смесей, часто без их предварительного разделения. Метод позволяет определять физиологически активную часть в солях алкалоидов.
Метод неводного титрования дает более точные результаты по сравнению с титрованием в воде, так как вследствие небольшого поверхностного натяжения неводных растворителей размеры капель титрованных растворов меньше капель водных растворов.
3.1.4 Не водное титрование
Кислоты и основания в течение длительного времени определялись как вещества, которые при растворении в воде образуют соответственно ион водорода и гидроксилъный ион. Это определение, введенное Аррениусом, не учитывает того факта, что, свойства, характерные для кислот и оснований, могут проявляться также в других растворителях. Более общее определение принадлежит Брёнстеду, который рассматривает кислоту как вещество, выделяющее протоны (донор протонов), а основание как вещество, присоединяющее протоны (акцептор протонов). Еще более широкое определение дано Льюисом, считающим кислотой любое вещество, которое принимает пару электронов, а основанием — любое вещество, которое отдает пару электронов; нейтрализацию же он определяет как образование координационной связи между кислотой и основанием.
Кажущаяся сила кислоты или основания определяется степенью их реакции с растворителем. В водных растворах все сильные кислоты являются одинаково сильными, потому что они реагируют с растворителем, подвергаясь почти полному превращению в ион гидроксония (Н>3>О+) и кислотный анион. В слабо протофильном растворителе, например в уксусной кислоте, степень образования иона ацетония (CH>3>COOH>2>) вследствие присоединения протона обеспечивает более чувствительную дифференциацию силы кислот и показывает следующий порядок уменьшения их силы: хлорная, бромистоводородная, серная, соляная и азотная.
Уксусная кислота реагирует с водой не полностью, образуя ион гидроксония и, следовательно, является слабой кислотой. В основании, например в этилендиамине, она, напротив, реагирует с растворителем так полно, что ведет себя как сильная кислота.
Этот так называемый эффект выравнивания силы кислот наблюдается также для оснований. В серной кислоте все основания имеют также одну и ту же силу. По мере уменьшения кислотных свойств растворителя в ряду серная кислота — уксусная кислота — фенол — вода — пиридин — бутиламин, растворенные в них основания становятся "постепенно слабее и разница между ними становится более четко выряженной. В порядке уменьшения силы сильными основаниями для неводного титрования являются метилат калия, метилат натрия, метилат лития и гидроокись тетрабутиламмония.
Многие нерастроримые в поде соединения проявляют кислотные или основные свойства при растворении в органических растворителях, Таким образом, выбор подходящего растворителя позволяет определять многие такие соединения с помощью неродного титрования. Далее, в зависимости от того, какая часть соединения является физиологически активной, можно титровать эту часть путем травильного выбора растворителя и титранта. Чистые вещества можно титровать непосредственно, но часто бывает необходимо отделить активный ингредиент лекарственных форм от мешающих наполнителей и носителей.
К соединениям, которые можно титровать как кислоты относятся кислотные галогениды, ангидриды кислот, карбоновые кислоты, аминокислоты, энолы, такие, как барбитураты и ксантины, имиды, фенолы, пирролы, сульфаниламиды. К соединениям, которые можно титровать как основания, относятся амины, азотсодержащие гетероциклические соединения, четвертичные аммониевые соединения, щелочные соли органических кислот, щелочные соли неорганических кислот и некоторые соли аминов. Многие соли галоидоводородных кислот можно титровать в уксусной кислоте или уксусном ангидриде после прибавления ацетата ртути, который удаляет ион галоида переведенном в неионизированный комплекс галогенида ртути. Гидрохлориды слабых оснований, не содержащие группировок, способных ацетилироваться, можно также титровать в уксусном ангидриде без добавления ацетата ртути, используя в качестве индикатора малахитовый зеленый или кристаллический фиолетовый. Титрования, проводимые при избытке уксусного ангидрида, следует применять с осторожностью, так как любая реакция ангидрида с титруемым веществом может принести к заниженным результатам.
При титровании основных соединений обычно используют объемный раствор хлорной кислоты в ледяной уксусной кислоте, хотя в особых случаях удобнее использовать раствор хлорной кислоты в диоксане. При титровании кислых соединений часто применяют объемный раствор метилата лития в растворе метанол — толуол. Для многих случаев удобно использовать раствор гидроокиси тетрабутиламмония в толуоле; метилат натрия, ранее широко применявшийся, часто может давать вызывающий затруднения желатинообразиый осадок.
Чтобы исключить влияние углекислого газа, растворители для кислотных соединений в процессе титрования должны быть защищены от избыточного действия воздуха подходящей пробкой или инертным газом. Следует провести контрольный опыт; обычно объем 0,1 моль/л титранта не должен превышать 0,01 мл на 1 мл растворителя.
Конец титрования можно определять визуально по изменению окраски или потенциометрически. Если применяется каломельный электрод сравнения, то удобнее заменить водный раствор хлорида калия и соленом мостике на раствор перхлората лития в уксусной кислоте ИР для титрования в кислых растворителях и на раствор хлорида калия в метаноле для титрования в основных растворителях. Следует помнить, что некоторые обычно используемые индикаторы (например, кристаллический фиолетовый) подвергаются постепенному изменению окраски, поэтому при оценке пригодности метода неводного титрования для конкретного случая необходимо проследить за тем, чтобы при потенциометрическом титровании вещества изменение окраски в конечной точке титрования соответствовало максимальной величине dE/dV (где Е — электродвижущая сила, а V — объем титранта).
Если используют титранты, приготовленные с растворителями, имеющими относительно высокий коэффициент расширения (например, с ледяной уксусной кислотой, толуолом и т. п.), следует проследить за тем, чтобы были компенсированы различия в температуре между временем "применения и временем стандартизации титранта.
3.1.5 Нитритометрия
Нитритометрия — титриметрический метод, применяемый главным образом для количественного определения первичных ароматических амнион.
Прибор, обычно используемый в методике электрометрического титрования нитритом, состоит из открытого сосуда для титрования, содержащего два платиновых электрода, соединенных подходящей цепью. Электроды должны иметь разность потенциалов порядка 50—100 мВ. Электрическая цепь должна включать прибор для измерения силы тока с чувствительностью от 0,1 до 1 нА, обычно со стрелкой индикатором. Сосуд для титрования должен быть снабжен соответствующим механическим или магнитным перемешивающим устройством; для перемешивания раствора также может быть использован поток азота, проходящий через раствор. Электроды должны быть изготовлены из платиновой проволоки диаметром 0,5 мм и длиной около 20 мм. Перед каждым применением электроды следует очищать погружением на несколько секунд в кипящую азотную кислоту (1000 г/л) ИР, к которой предварительно прибавлен хлорид железа (III) P в количестве 1мг/мл. Затем электроды тщательно промывают водой.
3.2 Физико – химические методы анализа
3.2.1 Оптические методы
Основаны на взаимодействии со светом. Свет является проникающими электромагнитными колебаниями и поэтому взаимодействует с анализируемой системой. Под воздействием электромагнитных волн в атомах вещества, через которое проходит свет, возникают вынужденные колебания электронов и ядер, они смещаются относительно друг друга, и атомы приобретают наведенные диполи. Диполи, в свою очередь, генерируют вторичные волны, взаимодействие которых со светом приводит к изменению оптических свойств анализируемой системы. В оптических методах анализа используется связь между свето-поглощением, светорассеянием, преломлением света, вращением плоскости поляризации плоскополяризован-ного света, вторичным свечением вещества — и ее составом. К таким методам, например, относятся:
1) абсорбционные методы анализа;
2) поляриметрия;
3) рефрактометрия.
Адсорбционные методы анализа. Эти методы основаны на поглощении света атомами и молекулами анализируемых веществ. Электромагнитное излучение имеет двойственную природу. Некоторые явления (дифракция, преломление) объясняются волновой природой излучения. С другой стороны, поглощение, эмиссия говорят о том, что электромагнитное излучение — поток материальных частиц фотонов или квантов. Волны электромагнитного излучения, характеризуются длиной волны или частотой колебаний (число колебаний в единицу времени), которые связаны между собой соотношением:
Kv = c,(1)
где к — длина волны; v — частота; с — скорость света
Энергия электромагнитного излучения связана с его частотой соотношением:
E=hv,(2)
где Е — энергия фотона; v — частота; h — постоянная Планка.
В 1960г. XI Генеральная конференция по мерам и весам в качестве единицы измерения длины волны в фотометрическом анализе приняла нанометр (нм): 1 нм= 10 -9м; 1 нм = 10 -7см = 10 А = 1 мкм.
С целью анализа используются методы, при которых светопоглощение измеряют в интервале длины волны от 200 до 20 000 нм. Область, составляющая диапазон 190—400 нм, называют ультрафиолетовой частью спектра (УФ). Участок спектра в пределах 400—760 нм называется видимой частью спектра, или видимым светом, а участок длин волн 760—20 000 нм — инфракрасной областью спектра (ИК). В ИК-области спектра единицей измерения длины волн служит микрометр (1 мкм = 10~6 м). Очень часто инфракрасное излучение характеризуется волновым числом v = \/Х, (где X выражено в сантиметрах, размеренность v — соответственно в обратных сантиметрах (см1). В зависимости от вида поглощающих частиц и способа трансформирования избыточной энергии возбуждения различают:
атомно-абсорбционный анализ, основанный на поглощении световой энергии атомами анализируемых веществ;
молекулярный абсорбционный анализ, основанный на поглощении световой энергии молекулами анализируемых веществ;
3)анализ, основанный на измерении световой энергии, поглощенной или рассеянной частицами анализируемых веществ.
3.2.2 Электрохимические методы
Электрохимические методы относятся к физико-химическим и основаны на измерении и регистрации электрических параметров анализируемых систем (лекарственных веществ).
К электрохимическим методам относятся потенциометрия, полярография, амперометрическое титрование, электрофорез.
Рассмотрим из этих методов электрофорез. Электрофорез — метод анализа, основанный на способности заряженных частиц к передвижению во внешнем электрическом поле. Задача электрофореза заключается в определении скорости миграции частиц смеси к электродам. При условии, что расстояние между электродами достаточно велико, разницу в скоростях движения индивидуальных частиц можно использовать для разделения смесей.
Передвижение частиц при электрофорезе зависит от ряда факторов, основными из которых являются: напряженность электрического поля, величина электрического заряда, скорость и размер частицы, вязкость, рН и температура среды, продолжительность электрофореза. Определяется величина электрофоретической подвижности, характерной для данного вещества. Различают абсолютную и относительную электрофоретическую подвижность. Абсолютная измеряется в сантиметрах в секунду под влиянием градиента потенциала 1 В на 1 см и выражается в см2 В"1-с"1. Относительная электрофоретическая подвижность есть отношение подвижности исследуемого вещества к подвижности другого вещества, принятого за стандарт.
Существуют два метода электрофореза:
- фронтальный, который проводят в свободной незакрепленной среде в кювете;
- зональный электрофорез в закрепленной среде.
Они имеют единую аппаратурную схему: источник тока, камеру для электрофореза, два электрода, соединяющих камеру с источником тока, и приспособления для сбора и идентификации разделенных веществ.
Примерная схема проведения, электрофореза: подготовка среды (носителя); нанесение веществ, подлежащих разделению; проведение электрофореза; обнаружение и количественная оценка разделенных веществ.
Большинство электрофоретических измерений в настоящее время выполняют методом зонального электрофореза, при проведении которого миграция заряженных частиц происходит в стабилизирующей среде, которая удерживает частицы после выключения тока в виде отдельных зон. Для обнаружения разделяемых компонентов стабилизирующую среду (фильтровальная бумага, крахмал, агар-агар и др.) обрабатывают подходящими фотометрическими реагентами.
Метод используется для разделения простых и комплексных неорганических ионов, органических веществ (аминокислоты, нуклеотидов), макромолекулы (например, белков в сыворотке).
3.2.3 Хроматографический метод
Хроматографией называется процесс разделения смесей веществ, основанный на количественном различии в поведении разделяемых компонентов при их непрерывном перераспределении между двумя фазами, одна из которых неподвижна, а другая имеет постоянное направление движения.
По механизму, лежащему в основе разделения, различают адсорбционную, распределительную, ионообменную и некоторые другие виды хроматографии.
В адсорбционной хроматографии используется явление адсорбции, происходящее на поверхности сорбента. Исследуемую смесь, растворенную в подходящем растворителе, пропускают через стеклянную колонку, заполненную адсорбентом (силикагелем, оксидом алюминия, полиамидом и др.). Составные части смеси, имеющие различную адсорбцию, распределяются в разных участках сорбента. В верхней части колонки будет находиться наиболее адсорбированное вещество, в нижней — менее адсорбированное. Вещества, адсорбированные на колонки, вымываются растворителями (элюирование) и определяются в отдельных фракциях элюата химическими, физическими или физико-химическими методами анализа.
В адсорбционной хроматографии используют жидкую и газообразную подвижные фазы, в соответствии с этим различают жидкостную и газовую хроматографию.
В распределительной хроматографии компоненты смеси распределяются на твердом носителе (силикагеле, крахмале, окиси алюминия, фильтровальной бумаге и др.) между подвижной и неподвижной фазами в зависимости от растворимости компонентов в этих фазах.
Неподвижной фазой чаще всего является вода, адсорбируемая из воздуха поверхностью носителя. Подвижная фаза — органические растворители или их смеси — медленно перемещается по поверхности носителя под действием либо капиллярных сил, либо силы тяжести, либо адсорбционных сил.
Если в качестве носителя служит фильтровальная бумага, то этот способ распределения компонентов смеси называется хромонографией на бумаге.
Если носителем является тонкий слой закрепленного сорбента (пластинки "Силуфол") или незакрепленного сорбента на стекле, то этот вид распределения веществ называется хроматографией в тонком слое сорбента.
Для проведения хроматографии на бумаге или в тонком слое сорбента используют хроматографические камеры подходящего размера. На дно камеры наливают подвижную фазу в количестве, достаточном для образования слоя толщиной 0,5 см, камеру закрывают и выдерживают для насыщения парами растворителей 30—60 мин. Стенки камеры для насыщения обкладывают фильтровальной бумагой. Анализируемый раствор наносят микропипеткой или микрошприцем на линию старта, проведенную на расстоянии 2—3 см от нижнего Края пластинки (или бумаги), так, чтобы пятна образцов отстояли один от другого и от краев слоя сорбента не менее чем на 2 см.
После окончательного высыхания нанесенных на линию старта пятен пластинку вносят в камеру. Нижний край пластинки (или бумаги) должен погрузиться в подвижную фазу на 0,5—1 см. Пластинки с закрепленным слоем сорбента располагают под углом 60—90°, а с незакрепленным слоем сорбента под углом 15—20° к поверхности жидкости. Когда фронт растворителя пройдет 1.0— 15см, пластинку вынимают, отмечают положение фронта. Пятна веществ на хроматограммах обнаруживают при просмотре в видимом или ультрафиолетовом свете. При необходимости хроматограмму предварительно проявляют (погружением или опрыскиванием) раствором реактива, дающего цветные реакции с хроматографируемыми веществами.
Для обнаруженных пятен вычисляют величину Rf по уравнению:
Rf = a/b,
где а — расстояние от линии старта до центра пятна; b — расстояние от линии старта до фронта подвижной фазы.
Этот вид хроматографии применяется в фармацевтическом анализе для идентификации лекарственных веществ, определения их чистоты, количественного анализа.
В основе ионообменной хроматографии лежит обратимая хемосорбция ионов анализируемого раствора ионогенными группами сорбента. Обратимый обмен ионами в системе сорбент — растворитель происходит стехиометрически.
В зависимости от характера ионогенных групп ионообменные сорбенты делятся на катионообменные (катиониты) и анионообменные (аниониты).Микромолекулы катионитов содержат кислотные группы различной силы, такие, как сульфогруппы —SO>3>H, карбоксильные —СООН и другие, которые при взаимодействии с солями обменивают ион водорода на другие катионы: RH + NaCl = RNa + НС1.
Микромолекулы анионитов имеют в своем составе основные группы, например, алифатические и ароматические аминогруппы различной степени замещенности (вплоть до четвертичных). В ОН-форме аниониты способны к обмену с солями на анионы кислот.
ROH + NaCl = RC1 + NaOH
Применение ионитов для целей анализа возможно как в солевых, так и в Н- и ОН-формах. Ионит предварительно готовят к работе: 2—3 раза промывают водой. Катионит заливают разведенной хлористоводородной кислотой и выдерживают при периодическом перемешивании 12ч, после чего отмывают водой до отрицательной реакции на хлорид.
Для перевода анионита в основную форму его замачивают вначале разведенной хлористоводородной кислотой на 12ч, отмывают до отрицательной реакции на хлорид и заливают 5 %-ным раствором карбоната натрия или 2 %-ным раствором едкого натра на 2ч, периодически перемешивая. Затем ионит промывают, водой и сливают в колонку.
Хроматографическая колонка представляет собой стеклянную трубку, снабженную краном. В нижнюю часть колонки впаивается пористая стеклянная пластинка или помещается тампон ваты Суспензию ионита с водой наливают в колонку через воронку; предварительно колонку на три четверти заполняют водой, а при сливании суспензии кран открывают и дают жидкости медленно сливаться из колонки. Зерна ионита быстро оседают. При заполнении колонки не следует допускать попадания воздуха между зернами ионита. Слой сорбента в колонке должен быть 8—10см. Поверх сорбента помещают тампон из промытой водой ваты. Над ватным тампоном должен быть слой воды не менее 1—1,5см. Как правило, возможно многократное использование ионообменной хроматографической колонки. Однако после 6—8-кратного использования колонку нужно регенерировать. Для этого через колонку с катеонитом пропускают 4 %-ный раствор хлористоводородной кислоты, а через раствор с анионитом—5 %-ный раствор карбоната натрия или 2 %-ный раствор едкого натра. По окончании процесса, когда концентрация регенерирующего раствора на входе и выходе из колонки становится равной, колонки промывают водой до нейтральной реакции. Способом ионообменной хроматографии можно количественно определять соли алкалоидов минеральных и органических кислот
Анализируемый раствор помещают в хроматографическую колонку сверху, пропускают с определенной скоростью, собирая элюат в колбу для титрования. После этого через колонку пропускают воду, не допуская попадания воздуха между зерен сорбента. Кран колонки закрывают тогда, когда среда вытекаемого элюата станет нейтральной. Собранную жидкость титруют указанным в методике титрованным раствором.
Например:
Определение 5 %-ного растворов цитрата натрия. 2мл исследуемого раствора разбавляют 8 мл воды. Полученный раствор переносят в колонку с катеонитом КУ-2 в Н-форме. Жидкости дают стекать со скоростью 20—25 капель в минуту Колонку промывают свежепрокипяченной охлажденной водой (40—50мл) до нейтральной реакции на метиловый оранжевый.
Собранные в одну колбу фильтрат и промывные воды титруют 0,1 М раствором едкого натра в присутствии фенолфталеина до розового окрашивания жидкости. 1 мл 0,1 М раствора едкого натра соответствует 0,011 цитрата натрия.
Определение некоторых солей. Применяя катеонит СДВ-3 можно определять многие лекарственные препараты, являющиеся солями. К ним относятся:
1) соли алкалоидов (гидрохлорид хинина, гидрохлорид сальсолина, гидрохлорид папаверина, гидрохлорид эфедрина);
соли неорганических кислот (йодид калия, хлорид натрия, хлорид аммония, хлорид кальция);
соли органических кислот (бензоат натрия, салицилат натрия, гидротартрат калия).
Точную навеску соли (около 0,05—0,1) растворяют в 5—10 мл воды и пропускают через колонку с катионами СДВ-3 со скоростью вытекания 30 капель в минуту. Затем катионит промывают водой до нейтральной реакции промывных вод на лакмус; в фильтрате кислоту титруют 0,1 М раствором едкого натра до желтого окрашивания раствора при индикаторе метиловом оранжевом. Одну и ту же колонку можно использовать 10— 12 раз без регенерации.
3.3 Физические методы анализа
3.3.1 Определение температуры плавления и температурного интервала плавления
Определение температуры плавления и температурного интервала плавления Температурный интервал плавления вещества — интервал между скорректированной температурой, при которой вещество начинает спадаться или образовывать капли на стенках капиллярной трубки, и скорректированной температурой, при которой вещество полностью переходит в расплавленное состояние, о чем свидетельствует исчезновение твердой фазы.
Указание в статье "температурный интервал плавления a — b, означает, что температурный интервал плавления, определенный методом, описанным ниже, должен находиться в этих пределах. Температура плавления вещества — скорректированная температура, при которой вещество полностью расплавлено, о чем свидетельствует исчезновение твердой фазы.
Прибор:
Подходящий прибор для определения состоит из стеклянного сосуда с соответствующей жидкостью, контролируемого источника тепла, термометра, капиллярной трубки и увеличительного стекла.
Стеклянный сосуд должен иметь подходящую конструкцию, содержать соответствующую жидкость и быть снабжен устройством для быстрого перемешивания жидкости (для этого подходят некоторые жидкие силиконы). Контролируемый источник тепла должен обеспечивать подъем температуры жилкой нагреваемом среды с требуемой скоростью.
Стандартизованные термометры должны иметь интервал определения от - 10 до +360°С при длине одного деления на шкале не менее 0,8 мм. Желательно использовать стеклянные ртутные термометры с твердым столбиком и резервуаром цилиндрической формы, выполненные из специального стекла, подходящего для данного интервала температур; каждый термометр должен быть снабжен защитной трубкой.
Термометры, используемые для определения температуры плавления, могут быть от калиброваны для полного или частичного погружения. Термометр для полного погружения — это термометр, показания которого будут правильными, если термометр погружен по крайней мере до конца столбика ртути в среду, температуру которой необходимо измерить. Термометр для частичного погружения — термометр, показания которого будут правильными, если термометр погружен на предписанную глубину и выступающий столбик ртути находится в предписанных условиях. Если термометры для полного погружения используются для частичного погружения, необходим вспомогательный термометр для определения поправки на выступающий столбик ртути. Выступающие над поверхностью нагреваемого материала части этих термометров должны быть заключены в стеклянную трубку.
Капиллярная трубка из боросиликатного стекла, закрытая с одного конца, должна иметь следующие размеры: толщина стенки около 0,10—0,15 мм; длина, подходящая для применяемого прибора; внутренний диаметр 0,9—1,1 мм.
Для наблюдения за капиллярной трубкой требуется подходящее увеличительное стекло. Может быть использован любой другой прибор и метод, обеспечивающие такую же точность определения и откалиброванные по методу Международной фармокопеи при помощи стандартных образцов ВОЗ для определения точки плавления.
3.3.2 Определение точки плавления жиров, восков и т. п.
Точка плавления жиров, восков и т. п. — это скорректированная температура, при которой столбик вещества в капилляре становится прозрачным или внезапно поднимается, если определение приводят описанным ниже методом.
Прибор:
Используют прибор, аналогичный описанному в разделе 3.1. для определения точки плавления и температуры плавления измельчаемых веществ, внося следующие изменения;
- в сосуде для нагревания используют воду;
- точно стандартизованный термометр должен охватывать интервал от —10 до + 100 СС;
- стеклянная капиллярная трубка должна иметь те же размеры, что и трубка, описанная в разделе 3.1. , но оба ее конца должны быть открыты; можно использовать капиллярные трубки из мягкого стекла.
3.3.3 Определение точки затвердевания
Точка затвердевания жидкости или расплавленного твердого вещества — это наивысшая температура, при которой оно затвердевает. Точка затвердевания жидкости та же, что и точка плавления твердого вещества, но, так как жидкость может быть охлаждена до температуры ниже точки затвердевания без образования твердой фазы, для определения точки затвердевания жидкости или расплавленного твердого вещества.
Прибор:
Подходящий прибор состоит из пробирки с внутренним диаметром около 2 см и длинной около 10 см, вставленной при помощи корковой пробки в большую по размерам пробирку диаметром около 3 см и длиной 12 см, сосуда с водой или другой охлаждающей смесью и точно стандартизованного термометра.
3.3.4 Определенна точки кипения
Точка кипения жидкости — это скорректированная температура, при которой жидкость кипит при нормальном атмосферном давлении, если определение проводят описанным ниже методом.
Прибор:
Подходящий прибор для определения состоит из сосуда с соответствующей жидкостью, источника тепла и термометра, описанного в разделе Л для определения точки плавления и температуры плавления измельчаемых веществ; необходима также тонкостенная стеклянная пробирка с наружным диаметром около 4 мм и длиной, подходящей для применяемого прибора" а также тонкостенная стеклянная капиллярная трубка с внутренним диаметром не более 1 мм, которая заплавлена с одного конца на 2 мм.
3.3.5 Определение показателя приломления
Показатель преломления вещества — отношение скорости распространения света в вакууме к скорости его распространения в испытуемом веществе. Этот показатель изменяется в зависимости от длины волны света, используемого при измерении, и температуры, поэтому необходимо указывать эти условия. На практике обычно удобно измерять преломление по отношению к атмосферному воздуху и веществу, а не к вакууму и веществу, так как для фармакопейных целей это не оказывает существенного влияния на наблюдаемые величины.
Показатель преломления может быть также определен как отношение синуса угла падения к синусу угла преломления. Измерение показателя преломления используется в фармокопейных целях в основном для установления подлинности жидких веществ. Он может также использоваться для испытания чистоты таких веществ.
Показатель преломления обычно выражают в безразмерных единицах при длине волны 589,3 нм (D-линия спектра натрия) при температуре 20±0.5°С.
Точность измерения должна соответствовать требованиям статьи. Для фармакопейных целей обычно достаточно выражать показатель преломления до трех десятичных знаков.
Прибор:
Имеющиеся в продаже приборы обычно сконструированы для использования дневного света, но они калибруются для выражения показателя преломления в безразмерных единицах при длине волны 580,3 нм (D-линии спектра натрия).
Оптические части прибора должны сохраняться абсолютно чистыми. Рабочие поверхности призм не должны иметь царапин.
Помимо соблюдения приведенных выше указаний, следует выполнять инструкции изготовителя в отношении соответствующего источника света.
Прибор калибруют по отношению к стандарту, поставляемому изготовителем; постоянный температурный контроль испытуемой жидкости и проверка чистоты призм осуществляется путем определения показателя преломления дистиллированной воды, который равен 1,3330 при 20°С и 1,3325 при 25°С.
Заключение
В своей курсовой работе я попытался всесторонне изучить лекарственные вещества. Проанализировав свойства лекарственных веществ, я пришел к выводу, что человечеству на данном этапе развития без них не обойтись. Но не стоит забывать, что как и все в этом мире, лекарственные вещества это прежде всего совокупность последовательностей химических элементов. Как сказал М. Ломоносов: "Широко распростирает руки свои химия в дела человеческие" и в области медицины это наиболее выражено. Давайте еще раз обратим внимание на то, как фармацевтика справляется с различными заболеваниями:
- Сердечные гликозы. Основными лекарственными средствами, оказывающими избирательное кардиотоническое действие и применяемыми для лечения сердечной недостаточности, являются препараты из растений, содержащих сердечные гликозы.
- Антиаритмические препараты. Нормализующее влияние на нарушенный ритм сердечных сокращений могут оказывать вещества, относящиеся к разным классам химических соединений и принадлежащие к разным фармакологическим группам.
- Препараты, улучшающие мозговое кровообращение. В качестве средств, снимающих спазмы сосудов мозга, применяют целый ряд комбинорованных препаратов, содержающих папаверин, но-шпу, кофеин, дибазол, никотиновую кислоту и т.д.
- Спазмолические средства разных групп. Болеутоляющие средства. Применяют при спазмах желудка и кишечника, статических запорах, приступах желчно- и мочекаменной болезни, при язвенной болезни желудка и двенадцатиперстной кишки, а также при спазмах периферических сосудов. Иногда назначаю (внутримышечно) вместе с другими спазмолитическими и анальгетическими препаратами для купирования приступов стенокардии. Препарат обычно хорошо переносится.
- Средства, способствующие выведению мочевой кислоты и удалению мочевых конкрементов. В эту группу включены урикозурические препараты (повышающие выделение мочевой кислоты с мочой) и средства, способствующие удалению мочевых конкрементов в связи с их способностью "растворять" эти конкременты или облегчать их прохождение через мочевыводящие пути.
И этот список можно продолжать без конца.
Однако, за частую применение лекарственных препаратов не улучшает, а наоборот, ухудшает состояние нашего здоровья. С чем же это связано? Как мы знаем, не честные, недобросовестные люди встречаются в нашей жизни все чаще и чаще, и даже в таких благородных областях знаний, как медицина и фармацевтика. Это люди, которые пытаются зарабатывать на болезнях и горе других.
Фармацевтический бизнес считается третьим по прибыльности, после торговли оружием и наркотиками. Это привлекает к нему недобросовестных предпринимателей.
В России до 1991 года проблема фальсификации лекарств практически отсутствовала.
После развала СССР, вызванного этим уменьшения производства собственных препаратов и резким учеличением импорта, проблема стала актуальной. Примерно десятая часть всех лекарств, продаваемых на мировом рынке, — фальшивые или контрафактные.
1998 г. Зарегистрирован первый официальный случай обнаружения поддельного лекарственного средства в России.
2004 г. Введение в российское законодательство понятия "фальсифицированные лекарственные средства"
Следует различать фальсификацию лекарственного средства и контрафактные лекарства. Особенно это принципиально в виду тотальной юридической и фармацевтической безграмотности, когда все лекарственные средства, произведённые с какими либо нарушениями называют "фальсификатом".
Фальсификат — это сознательное изменение рецептуры производства лекарственного средства. Замена дорогих компонентов более дешевыми, или снижение содержания (а в самом худшем случае и вовсе отсутствие) необходимого компонента лекарства. Например замена более дорогого цефазолина более дешевым (и менее эффективным) пенициллином. Кроме того возможны и другие нарушения при производстве: нарушение времени и последовательности технологического процесса, занижение степени очистки, некачественные упаковочные материалы и др.
Контрафактные лекарственные средства это лекарства выпускаемые без разрешения патентодержателя — фирмы разработчика.
Эффективность лекарства прежде всего определяется действующим веществом. Согласно нормам международного права, формула или состав действующего вещества не может являться секретом фирмы. Но эта информация на некоторое время (порядка нескольких лет) является закрытой для других фирм изготовителей, которые даже под другим названием не могут производить это лекарства без разрешения фирмы патентодержателя.
Даже по завершению отведенного срока, другие фирмы не могут воспользоваться названием лекарственного средства (Бренд), зарегистрированным фирмой — патентодержателем.
У фирм-производителей лекарственных средств есть соблазн, зная формулу, выпускать лекарства в обход владельца патента. В качестве примера можно привести препарат Но-Шпа® (зарегистрированное название бренда). Фактически это достаточно просто синтезируемый препарат, действующее вещество которого имеет непатентованное название "дротаверин". Однако уже несколько поколений людей пользовались Но-Шпой и нечего не знают о каком-то дротаверине. Соответственно цена брендового препарата в 10 раз больше, чем цена на точно такой же по составу, технологии изготовления и действию препарат дротаверин. Не удивительно, что на некоторых заводах, производящих днём дешевые отечественные лекарства, ночью те же самые лекарства фасуют в заграничные, фирменные упаковки. Надо добавить, что на качестве лекарства это обычно не сказывается, поскольку производитель контрафакта боится возбудить хоть малейшее подозрение со стороны проверяющих органов.
И все же не все так плохо. Не стоит быть пессимистом – нужно думать только о лучшем. Химия как наука создана помогать людям, а не губить их. Темпы развития современной медицины фармацевтики все выше и выше. Я в этом и замечаю развитие производства и практического применения лекарственных веществ.
Список используемой литературы
Фармацевтическая химия; изд. "Медицина"; Ленинградское отделение, 1986 г.
Дорохова Е.Н., Прохорова Г.В. Аналитическая химия. Физико-химические методы анализа. - М.: Высшая школа, 1991
"Большая советская энциклопедия", Б. А. Введенский, издательство Б.С.Э., Москва, 1995г.
Государственная фармакопея; Общие методы анализа; Москва "Медицина", 1987г.
Г.А. Мелентьева, Л.А. Антонова; Фармацевтическая химия; Москва "Медицина", 1985г.
Фармацевтический анализ лекарственных средств; под. ред. В.А. Шапаловой; Харьков ИМП "Рубикон", 1995г.