Лікарські розчини, одержувані в умовах фармацевтичного підприємства
ЗМІСТ
ВСТУП
ГЛАВА 1 ХАРАКТЕРИСТИКА РОЗЧИНІВ
1.1 КЛАСИФІКАЦІЯ РОЗЧИНІВ
1.2 ТЕОРЕТИЧНІ ОСНОВИ ПРОЦЕСУ РОЗЧИНЕННЯ
1.3 ТИПИ РОЗЧИНЕННЯ
1.4 ТЕОРІЯ ГІДРАТАЦІЇ
1.5 СПОСОБИ ОБТІКАННЯ ЧАСТИНОК РІДИНОЮ
ГЛАВА 2 ХАРАКТЕРИСТИКА РОЗЧИННИКІВ
2.1 ВИМОГИ ДО РОЗЧИННИКІВ
2.2 ВОДА ОЧИЩЕНА
2.3 СПИРТ ЕТИЛОВИЙ
2.4 ХЛОРОФОРМ
2.5 ЕФІР МЕДИЧНИЙ
2.6 ГЛІЦЕРИН
2.7 ЖИРНІ ОЛІЇ
2.8 МАСЛО ВАЗЕЛІНОВЕ
2.9 ДИМЕКСИД — ДИМЕТИЛСУЛЬФОКСИД
ГЛАВА 3 ВЛАСНА ТЕХНОЛОГІЯ РОЗЧИНІВ
3.1 ВОДНІ РОЗЧИНИ
3.2 СПИРТОВІ РОЗЧИНИ
3.3 ГЛЩЕРИНОВІ РОЗЧИНИ
3.4 ОЛІЙНІ (МАСЛЯНІ) РОЗЧИНИ
ВИСНОВКИ
СПИСОК ВИКОРИСТАНОЇ ЛІТЕРАТУРИ
ВСТУП
Розчини - це однофазні системи перемінного складу, утворені не менш чим двома незалежними компонентами. По фізико-хімічних властивостях розчини займають проміжне положення між хімічними сполуками і механічними суспензіями. Від хімічних сполук розчини відрізняються змінністю складу, від механічних сумішей - однорідністю.
Розчини - сама велика група рідких лікарських форм. Як лікарська форма розчини мають ряд переваг:
а) лікарські речовини в стані розчину в порівнянні з багатьма іншими лікарськими формами, особливо твердими (порошки, таблетки, пігулки), швидше всмоктуються і скоріше роблять терапевтичну дію;
б) застосування розчину виключає дратівне вплив на слизуваті оболонки гіпертонічних концентрацій, що утворяться при контакті слизуватої оболонки з чи порошками таблетками (калію чи амонію броміди, йодиди й ін.);
в) розчини зручні для прийому. Їхня технологія досить проста.
Однак розчини не позбавлені і деякі недоліки. Вони не відрізняються портативністю, при збереженні часто виявляються хитливими. Гіркий смак багатьох ліків підсилюється при їхньому розчиненні.
Розчини, одержувані в умовах фармацевтичного підприємства, являють собою велику групу ліків, у яких лікарська речовина розчинена в чи воді якому або неводному розчиннику (олія, гліцерин, спирт).
Характерною рисою розчинів заводського виготовлення є невисока концентрація лікарської речовини, що знаходиться в межах 1-5% і в рідких випадках сягаюча 20%.
ГЛАВА 1 ХАРАКТЕРИСТИКА РОЗЧИНІВ
КЛАСИФІКАЦІЯ РОЗЧИНІВ
Розчини — це рідкі гомогенні системи, які складаються із розчинника та одного або декількох компонентів, розподілених у ньому у вигляді іонів або молекул.
Медичні розчини різноманітні за властивостями, складом, способами одержання і призначенням. Виготовляються вони переважно на фармацевтичних виробництвах системи аптечних управлінь Міністерства охорони здоров'я України. Окремі розчини, виготовлення яких вимагає проведення хімічних реакцій, одержують на хіміко-фармацевтичних заводах Міністерства медичної й мікробіологічної промисловості України (наприклад, рідина Бурова та ін.).
Розчини мають багато переваг перед іншими лікарськими формами, тому що значно швидше всмоктуються у шлунково-кишковому тракті. А вадами розчинів є їх великий об’єм, можливі гідролітичні і мікробіологічні процеси, що спричиняють швидке руйнування готового продукту.
Знання технології розчинів важливе при виготовленні майже всіх інших лікарських форм, де розчини є напівпродуктами або допоміжними компонентами.
Розчини займають проміжне становище між хімічними сполуками і механічними сумішами. Від хімічних сполук розчини відрізняються змінністю складу, а від механічних сумішей — однорідністю. Тому розчинами називають однофазні системи змінного складу, утворені не менш як двома незалежними компонентами. Найважливіша особливість процесу розчинення — це його спонтанність. Достатньо простого зіткнення речовини з розчинником, щоб через деякий час утворилася однорідна система, тобто розчин.
Розчинники можуть бути полярними і неполярними речовинами. До перших належать рідини, які поєднують велику діелектричну сталу, великий дипольний момент із наявністю функціональних груп, що забезпечують утворення координаційних (здебільшого водневих) зв'язків: вода, кислоти, нижчі спирти й гліколі, аміни та ін. Неполярними розчинниками є рідини з малим дипольним моментом, які не мають активних функціональних груп, наприклад вуглеводні, галоїдоалкіли тощо.
При виборі розчинника доводиться керуватися переважно емпіричними правилами, оскільки запропоновані теорії розчинності не завжди можуть пояснити співвідношення між складом і властивостями розчинів.
Здебільшого спираються на стародавнє правило: «Подібне розчиняється в подібному». Практично це означає, що для розчинення якоїсь речовини найбільш придатні ті розчинники, які структурно подібні, а тому мають близькі або аналогічні хімічні властивості.
Розчинність рідин у рідинах коливається в широких межах. Відомі рідини, що необмежено розчиняються одна в одній (спирт і вода), тобто вони подібні за типом міжмолекулярного впливу. Є рідини, обмежено розчинні (ефір та вода), і такі, що практично нерозчинні одна в одній (бензен і вода).
Обмежена розчинність спостерігається в сумішах ряду полярних і неполярних рідин, поляризованість молекул яких, а отже й енергія міжмолекулярних дисперсійних взаємодій різко відрізняються. За відсутності хімічних взаємодій розчинність максимальна в тих розчинниках, міжмолекулярне поле яких за інтенсивністю близьке до молекулярного поля розчиненої речовини. Для полярних рідких речовин інтенсивність поля частинок пропорційна діелектричній сталій.
Діелектрична стала води дорівнює 80,4 (при 20 °С). Отже, речовини, що мають високі діелектричні сталі, більшою чи меншою мірою розчинятимуться у воді. Наприклад, добре змішується з водою гліцерин (діелектрична стала 56,2), етиловий спирт (26), а нерозчинні у воді петролейний етер (1,8), тетрахлорометан (2,24). Однак це правило не завжди прийнятне, особливо щодо органічних сполук. У таких випадках на розчинність речовин впливають різні конкуруючі функціональні групи, їх кількість, відносна молекулярна маса, розмір і форми молекул та інші чинники. Наприклад, дихлоретан, діелектрична стала якого дорівнює 10,4, практично не розчиняється у воді, тоді як діетиловий етер, що має діелектричну сталу 4,3, розчиняється в ній при 20 °С у кількості 6,6 %. Мабуть, пояснення цьому слід шукати у здатності етерного атома оксигену утворювати з молекулами води нестійкі комплекси типу оксонієвих сполук.
Зі збільшенням температури взаємна розчинність обмежено розчинних рідин здебільшого зростає. Часто при досягненні певної для кожної пари рідин так званої критичної температури рідини повністю змішуються одна з одною (фенол і вода при критичній температурі 68,8 °С і вище розчиняються у будь-яких пропорціях). При зміні тиску взаємна розчинність дещо змінюється.
Розчинність газів у рідинах прийнято виражати коефіціентом поглинання, який вказує, скільки об’ємів даного газу, доведеного до нормальних умов (температура 0 °С, тиск 1 атм), розчиняється в одному об’ємі рідини при даній температурі й парціальному тискові газу в 1 атм. Розчинність газу в рідинах залежить від природи рідин і газу, тиску і температури. Залежність розчинності газу від тиску виражається законом Генрі, за яким розчинність газу в рідині прямо пропорційна його тискові над розчином при незмінній температурі. Однак при високих тисках, особливо для газів, які хімічно взаємодіють із розчинником, спостерігаються відхилення від закону Генрі. 3 підвищенням температури розчинність газу в рідині зменшується.
Будь-яка рідина має обмежену розчинювальну здатність. Це означає, що певна кількість розчинника може розчинити лікарську речовину в кількостях, які не перевищують означеної межі. Розчинністю речовини називається її здатність утворювати з іншими речовинами розчини. Дані про розчинність лікарських речовин наводяться у фармакопейних статтях. Для зручності в Державній фармакопеї України вказується приблизна кількість розчинника (мл), необхідна для розчинення 1 г речовини в інтервалі температур від 15 до 25 °С.
За ступенем розчинності розрізняють речовини:
дуже легкорозчинні — до 1 мл;
легкорозчинні — від 1 до 10 мл;
розчинні — від 10 до 30 мл;
важкорозчинні — від 30 до 100 мл;
малорозчинні — від 100 до 1000 мл;
дуже малорозчинні — від 1000 до 10 000 мл;
практично нерозчинні — понад 10 000 мл.
Крім цього, оперують такими термінами:
«частково розчинні» — ним користуються для характеристики сумішей, які містять розчинні та нерозчинні компоненти;
«змішується з...» — це термін
для характеристики рідин,
що змішуються
із зазначеним розчинником у будь-яких
співвідношеннях.
Розчинність кожної лікарської речовини у воді (або в іншому розчиннику) залежить від температури. Для переважної більшості твердих речовин розчинність з підвищенням температури зростає. Однак бувають винятки (наприклад, солі кальцію).
Деякі лікарські речовини можуть розчинятися повільно (хоча й розчиняються у значних концентраціях). Щоб прискорити розчинення таких речовин, вдаються до їх до нагрівання, попереднього здрібнення або перемішування суміші.
Розчинів, з якими працюють фармацевти, дуже багато. Залежно від обраного розчинника їх можна розподілити на кілька груп:
водні.
спиртові.
гліцеринові.
олійні.
За
агрегатним станом розчинних лікарських
речовин
розрізняють:
розчини твердих речовин;
розчини рідких речовин;
розчини з газоподібними лікарськими засобами.
Згідно з ДФУ розчини як лікарську форму використовують у таких лікарських засобах:
вушні лікарські засоби (вушні
краплі та аерозолі, вушні
промивки);
лікарські засоби для парентерального застосування (ін’єкційні, інфузійні засоби);
лікарські засоби, що знаходяться під тиском;
назальні лікарські засоби (назальні краплі та рідкі аерозолі, назальні промивки);
настойки (розчини екстрактів у спирті відповідної концентрації);
очні лікарські засоби (очні краплі, очні примочки);
піни медичні (рідкий лікарський
засіб, що знаходиться
в контейнері
під тиском);
рідкі лікарські засоби для орального застосування.
1.2 ТЕОРЕТИЧНІ ОСНОВИ ПРОЦЕСУ РОЗЧИНЕННЯ
Розчинення — спонтанний дифузійно-кінетичний процес, який відбувається при зіткненні речовини, що розчиняється, з розчинником.
У фармацевтичній практиці розчини одержують із твердих, порошкоподібних, рідких та газоподібних речовин. Як правило, одержання розчинів із рідких речовин, взаєморозчинних або таких, що змішуються між собою, відбувається без особливих труднощів, як просте змішування кількох рідин. А от розчинення твердих речовин, особливо тих, що розчиняються повільно і важко, є складним і трудомістким процесом. У процесі розчинення можна виділити умовно кілька стадій:
Поверхня твердого тіла контактує з розчинником. Контакт супроводжується змочуванням, адсорбціею і проникненням розчинника в мікропори частинок твердого тіла.
Молекули розчинника взаємодіють
із шарами речовини на
поверхні
розділення фаз. При цьому відбувається
сольватація
молекул або іонів і відрив
їх від поверхні розділення фаз.
Сольватовані молекули або іони переходять у рідку фазу.
4. Вирівнювання концентрацій в усіх шарах розчинника. Тривалість першої та четвертої стадій залежить переважно від швидкості дифузійних процесів. Друга й третя стадії часто відбуваються миттєво або досить швидко і мають кінетичний характер (механізм хімічних реакцій). Із цього випливає, що швидкість розчинення залежить переважно від характеру дифузійних процесів.
Більшість твердих речовин є кристалічними. Розчинення кристалічної речовини складається з двох процесів, що відбуваються одночасно: сольватації (у даному випадку гідратації) частинок і руйнування кристалічних ґраток.
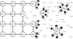
На рис. 1 показано процес розчинення натрію хлориду (кристалічна іонна сполука) у воді (полярна рідина). Іон натрію хлориду взаємодіє з дипольними молекулами води: до позитивного іону Nа+ диполі звернені своїми негативними полюсами, а до негативних іонів С1- — позитивними. Поступово диполі води проникають між іонами Nа+ і С1- у твердій фазі, відриваючи їх від кристалу.

Рис. 1. Схема процесу руйнації кристалічних ґраток натрію хлориду у воді
Для ефективності розчинення важливо, щоб сили зчеплення між молекулами розчинника і частинками речовини, що розчиняється, були більшими за сили взаємного притягання цих частинок між собою. Вода порівняно з іншими розчинниками має велику полярність (найвище значення діелектричної сталої). Саме цією властивістю зумовлюються висока іонізаційна здатність води та її руйнівна дія на кристалічні ґратки багатьох полярних сполук.
При розчиненні речовин спостерігається поглинання або виділення теплоти. Поглинання теплоти вказує на витрачання енергії. Пояснюється це тим, що для переходу речовини з твердого стану в рідкий, тобто для розчинення кристалічних ґраток, обов'язково потрібна енергія. Наприклад, іони натрію та хлору до розчинення натрію хлориду у воді фіксовані у вузлах кристалічних ґраток, мають при цьому тільки обертові й коливальні рухи. Після розчинення іони починають відносно вільно рухатися всередині розчину, а для цього необхідне збільшення їхньої кінетичної енергії. Саме це й відбувається за рахунок відбирання енергії в розчинника у формі теплоти, внаслідок чого відбувається охолодження розчину. Чим міцніші кристалічні ґратки, тим значніше охолодження розчину.
Виділення теплоти при розчиненні речовини завжди вказує на активну сольватацію, тобто утворення сполук між розчинною речовиною і розчинником.
Кінцевий тепловий ефект розчинення потрібно розглядати як суму двох складників — позитивного теплового ефекту сольватації (Д) і негативного теплового ефекту руйнації кристалічних ґраток (С):
Знак теплового ефекту розчинення залежатиме від того, який складник переважає. Якщо кристалічні ґратки міцні, складник С чисельно більший від Д, у цьому разі розчинення речовини відбувається з поглинанням теплоти. I навпаки, у речовин зі слабкими кристалічними ґратками і сильно сольватованих (гідратованих) превалює складник Д, при цьому розчинення відбувається з виділенням теплоти. Часто позитивний і негативний теплові ефекти розчинення виявляються однаковими або дуже близькими, у таких випадках при розчиненні ми не спостерігаємо охолодження або розігрівання розчину.
Тепловий ефект розчинення відносять до 1 моля речовини, що розчиняється в досить великій кількості розчинника. 3 поглинанням теплоти розчиняються багато кристалічних речовин. 3 виділенням теплоти розчиняються луги та деякі інші речовини.
При розчиненні кристалогідратів у воді спостерігається більш низький тепловий ефект, ніж при розчиненні безводної солі.
Рідини здатні по-різному змішуватись одна з одною — від повної нерозчинності до змішування в будь-яких кількісних співвідношеннях.
У формі водних розчинів звичайно застосовують рідкі лікарські речовини, що мають повну взаємну розчинність, але можуть бути прописані й речовини з обмеженою розчинністю у воді. У разі розчинення полярних сполук відбуваються гідратація полярних молекул та дисоціація їх у розчині на вільні гідратовані іони (рис. 2). Наприклад, так поводяться молекули НСІ, що дисоціюють у водних розчинах на вільні гідратовані іони Н+ і С1-.

Рис. 2. Схема іонізації полярного електроліту
При розчиненні неорганічних кислот у воді спостерігається виділення теплоти. Очевидно, що у всіх цих випадках позитивний ефект гідратації значно вищий за негативний тепловий ефект руйнації асоціатів молекул. Аналогічна картина спостерігається і при розчиненні етилового спирту у воді.
При розчиненні рідин у рідині помітніше, ніж при розчиненні твердих речовин у рідині, відбувається збільшення або зменшення сумарного об’єму. Збільшення сумарного об’єму звичайно залежить від руйнації асоціатів молекул. Зменшення сумарного об’єму (стиснення, концентрація) найчастіше спричиняється утворенням сполук між рідинами, що змішуються.
Зміна об’єму розчину, якщо вона викликана його самоохолодженням або саморозігріванням, має тимчасовий характер, тому її слід враховувати під час готування розчинів заданого об’єму.
Уперше дифузійний механізм розчинення описав А. М. Шукарев у 1896 році. За його рівнянням швидкість процесу залежить від різниці концентрацій і поверхні розділення фаз. Сучасна теорія про розчинення твердих тіл ґрунтується на уявленні про цей процес як про кінетику гетерогенних процесів, під час яких можуть проявлятися і дифузійні, і міжфазні процеси (хімічні). Ця теорія розвинута в наукових працях О. Б. Здановського, М. Товдіна, О. Брама та ін. Відправним положенням дифузійно-кінетичної теорії слід вважати наявність пограничного дифузійного шару і його вплив на зміну швидкості процесу.
1.3 ТИПИ РОЗЧИНЕННЯ
Залежно від співвідношення дифузійних і кінетичних (міжфазних) механізмів можливі три основні типи розчинення:
Дифузійний, якщо значення коефіцієнта швидкості міжфазного процесу менше швидкості дифузійного процесу в 5 та більше разів.
Кінетичний, якщо значення коефіцієнта швидкості міжфазного процесу більше швидкості дифузійного процесу в 5 та більше разів.
Дифузійно-кінетичний, якщо значення коефіцієнта швидкості міжфазного і дифузійного процесів порівнювані.
На виробництві розчинення бажано проводити в кінетичній області, прискорюючи дифузійні процеси перемішуванням рідкої фази. Однак для повільно- і важкорозчинних речовин міжфазний процес відбувається навіть при інтенсивному перемішуванні.
Змочування твердого тіла залежить від полярності поверхні та розчинника. Гідрофільні і гідрофобні властивості поверхні можуть змінюватися внаслідок адсорбції повітря, вологи або домішок. На змочування і проникнення розчинника у пори впливають також пористість і шорсткість поверхні, наявність дефектів кристалічних ґраток й мікротріщин. Для кращого змочування і для запобігання адсорбції здрібнення доцільно проводити в середовищі розчинника, іноді з додаванням поверхнево-активних речовин.
Вступаючи в контакт при змочуванні, молекули чи іони твердої фази і розчинника починають взаємодіяти, утворюючи відповідні сольвати або їх асоціати. У близьких за властивостями і структурою розчинних системах (наприклад сполуки гомологічного ряду або ізомери між собою майже не взаємодіють) властивості розчинених речовин і розчинника зберігаються, змінюється лише концентрація речовини в розчині і може змінитися агрегатний стан. Однак частіше між розчинником і поверхневими молекулами твердих тіл утворюються водневі зв'язки, відбувається міждипольна взаємодія. Це приводить до утворення сольватів, асоційованих комплексів із різним ступенем стійкості та до дисоціації комплексів і молекул на іони. У таких розчинах розчинна речовина і розчинник знаходяться в зміненому стані порівняно з початковим.
1.4 ТЕОРІЯ ГІДРАТАЦІЇ
За молекулярно-кінетичною теорією гідратації при розчиненні речовин, що дають частинки з досить високою густиною заряду (іони Са, Мg, ін.), молекули розчинника, які знаходяться навколо цих частинок, притягуються, їх рухливість зменшується, уповільнюється обмін з іншими молекулами. Це явище одержало назву позитивної гідратацїї. Деякі іони, такі як К, Nа, Вг, I, С1, неначе відштовхують молекули розчинника, що спричиняє збільшення обміну між найближчими молекулами у порівнянні з чистим розчинником, зростає невпорядкованість молекул розчинника. У цьому разі відбувається негативна гідратація. Встановлено, що вона можлива тільки у певному інтервалі температур. При досягненні граничних температур негативна гідратація переходить у позитивну. Це пояснюється тим, що з підвищенням температури зростає тепловий рух молекул розчинника. Різноманітність взаємодій настільки велика, що досі немає єдиної теорії розчинів.
Однак сучасні уявлення про процес розчинення дозволяють на наукових засадах трактувати біофармацевтичні закономірності в зміні біологічної доступності і терапевтичної активності лікарських речовин у розчинах залежно від діелектричної проникності, наявності постійних та індукованих дипольних моментів, поляризованості іонів та молекул розчиненої речовини. У технології розчинів стає зрозумілою роль вибору середовища або додавання електролітів, високомолекулярних сполук, поверхово-активних речовин тощо.
При розчиненні руйнуються зв'язки між молекулами або іонами в розчинній речовині та розчиннику, що пов'язано із витрачанням енергії. Водночас починається процес комплексоутворення, тобто виникають нові зв'язки між молекулами та іонами, утворюються сольвати. Процес супроводжується виділенням енергії. Загальна енергетична зміна в системі може бути позитивною або негативною.
Так, при розчиненні спирту й води, багатьох лугів, кислот та інших речовин у воді виділяється теплота, тому додаткове нагрівання призводить до зменшення розчинності. Якщо розчинення супроводжується поглинанням теплоти, нагрівання збільшує розчинність.
Іноді розчинність супроводжується зміною сумарного об’єму (явище контракції) при відмірюванні метанолу, етанолу, гліцерину та інших спиртів з водою.
Очевидно, що цим процесом можна керувати, варіюючи різні технологічні фактори. Так, для збільшення швидкості розчинення можна змінити температурний режим, збільшити різницю концентрацій, зменшити в'язкість і товщину пограничного дифузійного шару шляхом зміни гідродинамічних умов, здрібнити вихідну речовину, збільшуючи таким чином поверхню контакту з розчинником. Для реалізації цих можливостей технологічний процес здійснюють у реакторах, які мають оболонку для обігрівання парою або для охолодження системи розсолом і перемішувальне обладнання. Інтенсивне перемішування зменшує товщину пограничного дифузійного шару.
1.5 СПОСОБИ ОБТІКАННЯ ЧАСТИНОК РІДИНОЮ
В умовах гетерогенного масообміну при перемішуванні рідина обтікає частинки твердої фази по-різному.
Пряме обтікання відбувається, коли рідина переміщується між нерухомими частинками твердої фази. Швидкість обтікання тут залежить від швидкості руху рідини.
Гравітаційне обтікання виникає при падінні частинок твердої фази в рідині, що рухається.
Природна циркуляція відбувається за рахунок різниці густин рідини і твердої фази.
Інерційне обтікання виникає під дією сил інерції в тих випадках, коли потік або струмінь рідини змінює свій напрямок, а тверді частинки, що рухаються в цій рідині з певною швидкістю під дією інерції, не можуть змінити напрямок руху. Швидкість обтікання частинок у цьому разі буде найбільшою, а товщина дифузійного пограничного шару в частинках твердої фази — мінімальною.
У реальних умовах масообмін відбувається з кількома способами обтікання. Найбільш сприятливі умови створюються при гравітаційному та інерційному способах. Гідродинамічний режим процесу залежить не тільки від способу обтікання, але й від швидкості потоків рідини. При ламінарному русі рідини швидкість конвективної дифузії зростає тільки в напрямку руху потоків і залежить від молекулярної в'язкості. При турбулентному (вихревому) потоці масоперенесення може здійснюватися навіть у поперечному напрямку потоків, а його швидкість не залежатиме від молекулярної в'язкості. Крім того, вдаються до перемішування шару рідини в реакторі, завдяки цьому збільшується різниця концентрацій і молекулярна дифузія в рідкому середовищі замінюється на кон-вективне і турбулентне масоперенесення. Інтенсивне масоперенесення сприяє швидшому розчиненню.
ГЛАВА 2 ХАРАКТЕРИСТИКА РОЗЧИННИКІВ
2.1 ВИМОГИ ДО РОЗЧИННИКІВ
У процесі готування рідких лікарських форм завжди потрібен розчинник, який є відповідно дисперсійним середовищем. Розчинниками називають хімічні сполуки або суміші, здатні розчиняти різні речовини, тобто утворювати з ними однорідні системи — розчини, що складаються з двох або більше компонентів. Як розчинники для приготування розчинів у медичній практиці використовують: воду очищену, спирт етиловий, гліцерин, жирні олії та мінеральні масла, хлороформ, етер діетиловий. Тепер асортимент розчинників значно розширився за рахунок силіційорганічних сполук, етилен- і пропіленгліколів, поліетиленоксидів, диметилсульфоксидів та інших речовин.
До розчинників, які необхідні для приготування рідких лікарських форм, висуваються певні вимоги:
вони мають бути стійкими при зберіганні, хімічно і фармакологічно індиферентними;
повинні мати високу розчинювальну здатність;
не повинні мати неприємного смаку та запаху;
мають бути доступними за вартістю;
не повинні бути середовищем для
розвитку мікроорганізмів.
Виходячи
з хімічної класифікації, усі рідкі
дисперсні системи
розподіляють на неорганічні та органічні сполуки.
2.2 ВОДА ОЧИЩЕНА
Серед неорганічних сполук вона є найпоширенішим розчинником.
Вода фармакологічно індиферентна, доступна і добре розчиняє багато лікарських речовин, але водночас у ній дуже легко й швидко гідролізуються деякі речовини та розвиваються мікроорганізми.
Воду очищену можна одержати дистиляцією, іонним обміном, електролізом, зворотним осмосом. Вона має бути безбарвною, прозорою, без смаку і запаху, з рН = 5,0...7,0, не повинна містити відновлювальних речовин, нітратів, нітритів, хлоридів, сульфатів, слідів амоніаку та інших домішок.
2.3 СПИРТ ЕТИЛОВИЙ
Прозора, безбарвна, рухлива рідина з характерним запахом і пекучим смаком, кипить при температурі 78 °С. У фармацевтичному виробництві застосовують етиловий спирт С2Н5ОН, одержаний шляхом зброджування сировини, що містить крохмаль, — переважно картоплі й зерна. Зброджене сусло, яке містить 8—10 % спирту, зміцнюють простою перегонкою. Одержують спирт-сирець, що містить близько 88 % спирту. Спирт-сирець очищають від летких органічних кислот (переважно оцтової, молочної, масляної), сивушних масел (вищих спиртів одного гомологічного ряду з етиловим спиртом — пропілового, ізобутилового, ізоамілового та інших), естерів (оцтово-етилового, масляно-етилового та інших), альдегідів (оцтового альдегіду та інших) і одночасно зміцнюють до 95—96 % багатократною перегонкою — ректифікацією. Етанол іншого походження для виробництва лікарських препаратів непридатний через присутність неприпустимих домішок (спирту метилового та інших сполук).
Спирт етиловий можна віднести до неводних розчинників умовно, тому що використовується не абсолютний етанол, а водно-спиртові розчини різної концентрації.
Спирт змішується в будь-яких співвідношеннях із водою, гліцерином, ефіром, хлороформом. Він нейтральний, не окиснюється киснем повітря, має бактеріостатичну й бактерицидну дію.
До негативних властивостей спирту слід віднести його неіндиферентність, смертельна доза 96 % -вого спирту етилового — приблизно 200—300 мл. Він сприяє осадженню білків, ферментів, легкозаймистий, має високу гігроскопічність, несумісний з окисниками, а з деякими солями утворює кристалічні сполуки.
Етиловий спирт є одним із найбільш пріоритетних розчинників у виробництві фармацевтичних препаратів. На виробництво надходить 96,2—96,7 %-вий етанол, який розводять водою або слабким спиртом до необхідної концентрації.
Вміст етанолу в розчині (концентрація) виражається у відсотках за об’ємом, тобто як об’ємна частка, % (об. ч.); і у відсотках за масою, тобто як масова частка, % (мас. ч.). Якщо немає спеціального зазначення, мається на увазі об’ємна частка у відсотках (Су). Вміст етанолу в розчині у відсотках за об’ємом (Су) показує, яка кількість мілілітрів безводного етанолу міститься в 100 мл водно-спиртового розчину при 20 °С. Концентрація етанолу в розчині у відсотках за масою (Ст) показує, яка кількість грамів безводного етанолу міститься в 100 г водно-спиртового розчину. Співвідношення між відсотками за об’ємом і відсотками за масою наведені в таблиці 1 ДФ XI.
Вміст етанолу у водно-спиртових розчинах визначають скляним і металевим спиртомірами, а також за густиною — денсиметром (ареометром) або пікнометром (рис. 3). За допомогою значення густини при 20 °С визначають Су і Ст, користуючись таблицею 1 ДФ XI. За значеннями густини, які отримані при інших температурах, і показаннями скляного і металевого спиртомірів переведення в відсотки за об’ємом при 20 °С здійснюють за спеціальними таблицями видавництва стандартів.
Концентрацію етанолу визначають скляними спиртомірами класу 0,1 (ціна поділки — 0,1 %) або класу 0,5. Арбітражні визначення міцності спиртових розчинів проводять металевими або скляними спиртомірами класу 0,1. Для практичних цілей користуються спиртомірами класу 0,5 із вбудованим термометром. Комплект складається з двох або трьох спиртомірів (0—60, 60— 100 або 0—40, 40—70, 70—100 %). Скляний спиртомір при температурі 20 °С показує об’ємну частку етанолу у відсотках. Але в умовах великих фармацевтичних виробництв температура часто відхиляється від 20 °С. У цих випадках визначення проводять при фактичній температурі, а отримані значення скляного спиртоміра приводять до 20 °С за допомогою таблиці III видавництва стандартів.

Рис. 3. Прилади для визначення концентрації етанолу
а — скляний спиртомір із вбудованим термометром; б — скляний спиртомір; в — денсиметр (ареометр); г — металевий спиртомір; Ґ — пікнометри
Точніше (із точністю 0,1 %) концентрацію спирту визначають металевим спиртоміром (рис. 3), що являє собою порожню кулю з припаяною шкалою зверху і конічним стержнем для навішення гирі знизу. На шкалі нанесені поділки від 0 до 10, кожна з яких розділена на п'ять частин. Під нульовою поділкою шкали нанесена поділка 100. До спиртоміра додаються 10 гирок у формі кульового сегмента з прорізом під номерами 0, 10, 20, 30, 40, 50, 60, 70, 80, 90. Найбільша гирка має нульовий номер, найлегша — номер 90. Показання металевого спиртоміра є умовними і складаються з показань гирки і шкали. При зануренні спиртоміра без гирки до показань шкали додають 100. Об’ємну частку етанолу Су в розчині за показаннями металевого спиртоміра визначають у відповідності з таблицею IV видавництва стандартів.
Денсиметр (ареометр) при температурі 20 °С показує густину водно-спиртового розчину, за якою знаходять концентрацію етанолу, користуючись алкоголеметричною таблицею 1 ДФ XI. Концентрацію етанолу за показниками денсиметра при температурі, що відрізняється від 20 °С, визначають за допомогою таблиці II видавництва стандартів (точність до 0,01).
Більш точні значення густини розчинів (0,001) можна одержати за допомогою пікнометра при 20 °С. За отриманими даними розраховують густину при 20 °С (з урахуванням густини повітря при нормальному барометричному тискові) і знаходять концентрацію етанолу в алкоголеметричній таблиці 1 ДФ XI.
Вміст спирту у водно-спиртовому розчині визначається також рефрактометрично і за величиною поверхневого натягу.
Розведення водно-спиртових розчинів необхідно проводити за об’ємом і за масою. При цьому зручно виходити з рівняння матеріального балансу абсолютного спирту.
Існують формули прийнятні для розрахунків розведення як у масових, так і в об’ємних відсотках. Але слід пам'ятати, що у випадках розведення об'ємів може бути використана тільки концентрація за об'ємом, при розведенні масових кількостей — тільки концентрація за масою.
При розведенні за об’ємом розраховують необхідний об’єм міцного етанолу. Визначення кількості води утруднене через явище контракції, тобто зменшення об’єму суміші води і етанолу проти їхньої арифметичної суми. Тому простіше не розраховувати необхідну кількість води, а до розрахованої кількості міцного етанолу додати воду до необхідного об’єму при температурі 20 °С. Можна також скористатися алкоголеметричними таблицями 3 і 4 ДФ XI.
Облік етанолу. На хіміко-фармацевтичних підприємствах облік здійснюють за об’ємом безводного етанолу при 20 °С, адже склади одержують етанол-ректифікат в об’ємі. У документації вказують температуру в мірнику, показання металевого спиртоміра, концентрацію етанолу (при 20 °С), множника об'ємного вмісту безводного етанолу, об’єму безводного етанолу при 20 °С.
У виробничих умовах етанол розводять переважно за масою (температура при цьому не має значення). Концентрацію етанолу за об’ємом переводять у відсотки за масою і виконують розрахунки у відповідності з формулами або правилом змішування.
Переведення об’єму одержаного етанолу-ректифікату в масу здійснюється зважуванням, а також розрахунково — через абсолютний етанол за таблицею VI, складеною з урахуванням зважування в повітрі (наказ МОЗ СРСР № 580 від 14.12.62 р.).
Зберігається спирт у спиртосховищі фармацевтичного підприємства, що має стандартні мірники, які підлягають перевірці спеціальною службою стандартизації раз на рік. На виробництво етанол відпускається в міру необхідності мірниками. При цьому облік ведуть за масою 96 % -вого (або 95 % -вого) етанолу, за об’ємом етанолу безводного або об’ємом при фактичній концентрації. У зв'язку з цим кількість отриманого і витраченого етанолу перераховують на 96 % -вий етанол або ж об’єм безводного етанолу при 20 °С.
2.4 ХЛОРОФОРМ
Безбарвна, прозора, рухлива рідина з характерним запахом і солодким смаком. Змішується у всіх співвідношеннях зі спиртом етиловим, ефіром. У хлороформі добре розчиняються лікарські речовини, нерозчинні або малорозчинні у воді. Він справляє, як і всі галагенопохідні, наркотичну й дезінфікувальну дію, належить до сильнодіючих речовин.
Хлороформ використовують здебільшого у лікарських формах для зовнішнього застосування, як правило, у комбінації з іншими розчинниками — спиртом етиловим, ефіром, жирними оліями.
2.5 ЕФІР МЕДИЧНИЙ
Хімічна назва — діетиловий етер. Безбарвна, прозора, легкозаймиста із своєрідним запахом, пекуча на смак рідина. Ефір медичний частіше називають просто ефіром. Він розчиняє багато лікарських речовин. Розчиняється в 12 частинах води, змішується в різних співвідношеннях зі спиртом етиловим, хлороформом, петролейним етером, жирними оліями та ефірними маслами. За здатністю розчиняти аналогічний хлороформові — у ньому розчиняються ті ж самі лікарські речовини і приблизно в такій же концентрації, що й у хлороформі.
Пари ефіру отруйні, вони здатні осідати, дуже рухливі і можуть накопичуватися на далекій відстані від джерела випаровування. Температура займання ефіру — 40 °С. Він, як і хлороформ, має наркотичну дію, у неводних розчинах використовується рідко, тільки в комбінації з іншими розчинниками.
2.6 ГЛІЦЕРИН
Безбарвна, схожа на сироп, прозора, гігроскопічна рідина, солодка на смак, нейтральної реакції. Розчиняється у воді, спирті та в суміші спирту й ефіру, але не розчиняється в ефірі, хлороформі та жирних оліях. Гліцеринові розчини легко змиваються водою і мають меншу адсорбцію розчинених речовин.
У фармацевтичній практиці використовують не абсолютний гліцерин, як і спирт етиловий, а розведений водою, із вмістом гліцерину 86—90 % і густиною 1,225—1,235, тобто із вмістом води 12—15 %. Це пов'язано з тим, що безводний гліцерин дуже гігроскопічний і має подразливі властивості.
2.7 ЖИРНІ ОЛІЇ
Являють собою суміші естерів гліцерину і вищих жирних кислот. Зовні це — прозорі або ледь забарвлені маслянисті рідини без запаху або зі слабким характерним запахом. У медичній практиці використовують олії, отримані тільки методом холодного пресування.
Як і всі жири, рослинні олії не змішуються з водою, малорозчинні в спирті етиловому, але легко — в ефірі та хлороформі.
Для приготування лікарських препаратів найчастіше використовують мигдалеву, персикову, маслинову, соняшникову та інші олії. Якість їх регламентована відповідними фармакопейними статтями за певними показниками: в'язкістю, числом омилення, йодним, кислотним, ефірним числами тощо.
Розчинення лікарських речовин у них, як і в гліцерині, доцільно проводити при нагріванні.
Як біологічно нешкідливі та фармакологічно індиферентні, рослинні олії мають невисоку хімічну стабільність. Наявність в їх складі ненасичених жирних кислот є причиною згіркнення. При цьому в результаті окиснення й гідролізу жирів утворюються пероксидні сполуки, альдегіди та інші продукти. Олії набувають неприємного смаку і запаху.
Світло, кисень повітря, волога та різні мікроорганізми підсилюють ці процеси.
2.8 МАСЛО ВАЗЕЛІНОВЕ
Це, власне, фракція нафти. Безбарвна, прозора, масляниста рідина без смаку і запаху, є сумішшю насичених вуглеводнів С10Н22—С15Н32. Змішується у будь-яких співвідношеннях з ефіром, хлороформом, бензином, оліями, крім рицинової, не розчиняється у воді й спирті. За розчинювальною активністю його можна порівняти з рослинними оліями.
Масло вазелінове не всмоктується шкірою і слизовими оболонками, зменшує резорбцію лікарських речовин. Вадою слід вважати те, що при нанесенні на шкіру воно значною мірою перешкоджає її газо- і теплообміну. 3 цієї причини, а також через обмежену розчинювальну здатність використовується рідше, ніж рослинні олії. Більше застосування знаходить у технології м'яких лікарських форм.
2.9 ДИМЕКСИД — ДИМЕТИЛСУЛЬФОКСИД
Сіркоорганічна сполука, похідна сульфату діоксиду. Безбарвна, прозора рідина або безбарвні кристали зі специфічним запахом, дуже гігроскопічні.
Змішується у всіх співвідношеннях із водою, спиртом, ацетоном, гліцерином, хлороформом, ефіром, рициновою олією. Є розчинником лікарських речовин різної хімічної природи.
Інтерес до цього розчинника пов'язаний не лише з його високою розчинювальною здатністю, але і з властивістю легко проникати крізь неушкоджені тканини, проводячи із собою розчинені речовини. Крім того, димексид має знеболювальну, протизапальну і жарознижувальну дію, а також антимікробний ефект. Ці властивості димексиду оцінені в технології рідких та м'яких лікарських форм.
У виробництві рідких лікарських форм як розчинники також використовують поліетиленоксид-400, есилон-4, есилон-5 та ряд інших речовин.
ГЛАВА 3 ВЛАСНА ТЕХНОЛОГІЯ РОЗЧИНІВ
3.1 ВОДНІ РОЗЧИНИ
Водні розчини нестійкі при зберіганні через можливі гідроліз, мікробну контамінацію, окиснення тощо. Тому номенклатура розчинів обмежена і включає лише препарати масового виробництва, придатні для тривалого зберігання. Зараз у фармакопейних статтях встановлено норми мікробного забруднення — не більше 1000 мікроорганізмів і 100 грибків у 1 мл розчину за повної відсутності патогенної мікрофлори.
Терапевтичний ефект при лікуванні водними розчинами можна регулювати, змінюючи ступінь дисоціації та сольватації лікарських речовин додаванням електролітів, ПАР, зміною значення рН і в'язкості.
Технологія їх приготування зводиться до простих операцій розчинення або змішування, очищення і фасування.
Розчин алюмінію ацетату основного. Розчин одержують завдяки хімічній взаємодії речовин за дві стадії. На першій стадії синтезують алюмінію гідроксид із галунів алюмокалієвих і кальцію карбонату; або галунів і натрію карбонату; або алюмінію сульфату і кальцію карбонату; а також алюмінію сульфату і натрію карбонату. На другій стадії алюмінію гідроксид промивають від електролітів і обробляють 30 % -вою оцтовою кислотою.
Препарат також одержують електрохімічним способом, який базується на узагальненій реакції.
Анодом служить листовий алюміній марки А-1, електролітом — 8 % -вий розчин оцтової кислоти. Цим способом одержують чистіший розчин, його густина дорівнює 1,040—1,046.
3.2 СПИРТОВІ РОЗЧИНИ
Номенклатура спиртових розчинів широка і включає: розчини йоду, камфори, ментолу, брильянтового зеленого, метиленового синього; кислоти мурашину, саліцилову, борну; нашатирно-анісові краплі і т. ін.
Розчин йоду 5%-вий. Для приготування розчину беруть 20 масових частин калію йодиду, 50 масових частин йоду кристалічного, води і спирту 95%-вого порівну до 1000 об’ємних частин. В емальований реактор завантажують кристалічний йод, калію йодид і подвійну кількість відносно калію йодиду води очищеної. У концентрованому розчині калію йодиду розчиняється значна кількість йоду. Потім додають приблизно 1/5 спирту етилового і перемішують 15 хв до повного розчинення всіх компонентів. Доливають спирт, що залишився, і потім невеликими порціями — воду, при постійному перемішуванні. Розчин відстоюють і фільтрують.
3.3 ГЛЩЕРИНОВІ РОЗЧИНИ
Розчинення лікарських речовин у гліцерині відбувається при нагріванні або без нього. Це залежить від термолабільності лікарських речовин. Через високу в'язкість гліцерину для зменшення часу розчинення реактори нагрівають до температури 40—50 °С.
Розчин Люголя. Склад: йоду кристалічного — 1 частина; калію йодиду — 2 частини; гліцерину — 94 частини і води очищеної — 3 частини. У концентрованому водному розчині калію йодиду розчиняють йод і додають гліцерин.
3.4 ОЛІЙНІ (МАСЛЯНІ) РОЗЧИНИ
У жирних оліях та вазеліновому маслі добре розчиняється багато лікарських речовин, призначених для зовнішнього застосування.
Масло камфорне для зовнішнього застосування. Розчин готують масооб’ємним способом. 10 масових частин камфори міститься в 100 об’ємних частинах олійного розчину. Камфору при нагріванні до 40 °С розчиняють у соняшниковій олії. Розчинення проводять в емальованому реакторі з паровою оболонкою і якірною мішалкою. Після приготування розчин фільтрують.
Розчин ментолу. 1 і 2 % -ві розчини ментолу у вазеліновому маслі. Розчинення проводять у реакторах без нагрівання, щоб уникнути втрат ментолу.
ВИСНОВКИ
У процесі виготовлення рідких лікарських форм використовують різні дисперсійні середовища (розчинники, екстрагенти).
Розчинники — це індивідуальні хімічні сполуки чи їхні комбінації, здатні розчиняти різні речовини, тобто утворювати з ними однорідні системи, що складаються з одного чи декількох компонентів. Вони являють собою складову частину розчину, як правило, велику. Розчинник сприяють кращому проникненню в кров, різні тканини розчиненої речовини. При цьому сам розчинник не впливає на організм людини і відповідно не є лікарською субстанцією. Як розчинник найчастіше використовують воду дистильовану (тобто воду, що не містить мінеральних солей і яких-небудь інших домішок), рідше — спирт етиловий 70, 90, 95%-ный, гліцерин і рідкі олії (вазелінове, маслинове, персикове). Отже, виділяють водяні, спиртові, гліцеринові і масляні розчини.
Екстрагенти складають меншу частину в розчині. Вони являють собою безпосередньо активну речовину, що робить вплив на перебіг хвороби, а також такі розчинники, що використовуються для екстракції рослинної чи іншої біологічної сировини. До дисперсійних середовищ пред'являються такі вимоги, як достатня розчинююча здатність при виготовленні розчинів, хімічна індиферентність і біологічна нешкідливість, відсутність неприємного смаку і запаху, сприятливих для розмноження мікроорганізмів умов, а також економічність у виробництві. Екстрагенти, крім того, повинні мати виборчу розчинність, високими дифузійними здібностями для забезпечення проникнення їх через пори біологічного матеріалу, десорбуючими властивостями.
У технологічному відношенні найважливішим питанням, зв'язаним з розчиненням рідин, є концентрація розчинів, іншими словами — скільки речовини необхідно чи розчинити змішати в якій чи кількості з якою кількістю. Необхідна концентрація розчинів визначається вказівками в чи рецепті в стандартний прописі, регламентованим Державною Фармакопеєю. Концентрація розчину — це кількість розчиненої речовини, що міститься у визначеній ваговій чи кількості визначеному обсязі розчину.
У фармацевтичній практиці концентрація розчинів виражається різними способами:
відношенням розчиненої рідини до розчинника;
відношенням розчиненої рідини до самого розчину;
процентним умістом розчиненої рідини.
Розчини, застосовувані у фармацевтичній практиці, готують різними способами — по масі, обсягу і масооб’ємним способом. Найбільш розповсюджений останній спосіб, при якому речовину, що розчиняється, беруть по масі, а розчинник додають до одержання необхідного обсягу розчину. Об'ємний спосіб використовується для виготовлення розчинів етанолу різної міцності.
По масі звичайно готують розчини на грузлих розчинниках, таких як гліцерин, олії рослинні (при цьому речовина, що розчиняється, і розчинник беруть у кількостях по масі). Процес виготовлення розчинів включає кілька стадій: перевірку доз речовин списків А и Б, розрахунок кількості розчинника, розчинення, фільтрування, упакування, закупорку, контроль якості готового препарату.
Удосконалення технології виготовлення та якості розчинів передусім пов'язане з розширенням асортименту розчинників, які мають достатню розчинювальну здатність лікарських речовин, хімічну й фармакологічну індиферентність, біодоступність і стійкість у процесі зберігання.
Крім того, спостерігається помітна тенденція до скорочення використання спирту етилового, бо він має наркотичну дію, а також обмеженого використання рослинних олій, які легко гіркнуть і є харчовими продуктами.
Величезне значення для якості розчинів має досконала упаковка, що забезпечує як надійне зберігання, так і зручність застосування.
СПИСОК ВИКОРИСТАНОЇ ЛІТЕРАТУРИ
Ажгихин И.С. Технология лекарств. Москва: “Медицина” – 1980, 440 с.
Государственная фармакопея СССР, Х издание – под. ред. Машковского М.Д. Москва: “Медицина” – 1968, 1078 с.
Дмитриєвський Д.І. Промислова технологія ліків. Вінниця: “Нова книга” – 2008, 277 с.
Державна фармакопея України, перше видання – під. ред. Георгієвського В.П.. Харків: “РІРЕГ” – 2001, 531 с.
Державна фармакопея України, перше видання, доповнення 1. – під. ред. Георгієвського В.П.. Харків: “РІРЕГ” – 2004, 492 с.
Державна фармакопея України, перше видання, доповнення 2. – під. ред. Гризодуба О.І.. Харків: “РІРЕГ” – 2008, 617 с.
Кондратьева Т.С., Иванова Л.А. Технология лекарственных форм т.1,2. Москва: “Медицина” – 1991, 1038 с.
Краснюк И.И. Технология лекарственных форм. Москва: “Академия” – 2004, 455 с.
Милованова Л.Н. Технология изготовления лекарственных форм. Ростов-на-Дону: “Феникс” – 2002, 447 с.
Муравьев И.А. Технология лекарств т.1,2. Москва: “Медицина” – 1980, 704 с.
Синев Д.Н., Гуревич И.Я. Технология и анализ лекарств. Ленинград: “Медицина” – 1989, 367 с.
Тихонов А.И. Биофармация. Харків: “НФАУ” – 2003, 238 с.
Чуешов В.И. Промышленная технология лекарств, т.1,2. Харьков: “НФАУ” – 2002, 1272 с.
Чуєшов В.І. Технологія ліків. Харків: “Золоті сторінки” – 2003, 719 с.