Лікарські рослини і рослинна сировина, що містять камеді
Зміст
Вступ
1. Загальна характеристика камеді
2. Лікарські рослини та лікарська рослинна сировина, що містять камеді
3. Загальна характеристика гетерополісахаридів
4. Лікарські рослини, що містять гетерополісахариди
Висновки
Списки використаної літератури
Вступ
Препарати рослинного походження є традиційними лікарськими засобами як у нашій країні, так і у багатьох інших країнах, а їх використання в сучасній медицині не лише залишається стабільним, але й має тенденцію до збільшення. Великі обсяги заготівлі ЛРС у складних екологічних умовах у багатьох регіонах нашої країни можливі лише на основі раціонального природокористування.
Важливе лікувальне значення мають рослини, що містять у своєму складі гетерополісахариди, особливо камеді. Їх широко використовують у науковій медицині, народній медицині, гомеопатії, а також використовують для виготовлення лікарських препаратів.
На нагромадження камеді у рослинах впливають різні чинники: вік і фази розвитку рослин. Чинники зовнішнього середовища (світло, грунт, кліматичні умови, висота над рівнем моря й ін.) сильно впливають на нагромадження камеді. У південних районах рослини більш багаті ними. Збільшується вміст камеді у високогірних районах, а також під впливом світла і на грунтах, багатих мікроэлементами.
Найбільш багатими на камеді рослинами є рослини з сімейства бобових. В медицині вони також використовуються як стабілізатори суспензій і емульсій.
Об’ктом курсової роботи є лікарські рослини та лікарська рослинна сировина, що містять камеді.
Предметом роботи є основні особливості та якості лікарських рослин та лікарської рослинної сировини, що містить камеді.
Метою роботи є визначення основних особливостей лікарських рослин та лікарської рослинної сировини, що містять камеді.
Завданнями курсової роботи є:
дати загальну характеристику камеді;
охарактеризувати лікарські рослини та лікарську рослинну сировину, що містять камеді;
дати загальну характеристику гетеро полісахаридів;
охарактеризувати та навести приклад лікарських рослин, що містять гетеро полісахариди.
Курсова робота складається з вступу, чотирьох питань, висновків та списку використаної літератури.
1. Загальна характеристика камеді
Препарати рослинного походження є традиційними лікарськими засобами як у нашій країні, так і у багатьох інших країнах, а їх використання в сучасній медицині не лише залишається стабільним, але й має тенденцію до збільшення. Великі обсяги заготівлі ЛРС у складних екологічних умовах у багатьох регіонах нашої країни можливі лише на основі раціонального природокористування.
Важливе лікувальне значення мають рослини, що містять у своєму складі гетеро полісахариди, особливо камеді. Їх широко використовують у науковій медицині, народній медицині, гомеопатії, а також використовують для виготовлення лікарських препаратів.
Камедi - затвердiлi видiлення слизистих, переважно вуглеводистих, речовин (клей янтарного кольору на стовбурах кiсточкових дерев). Камедi у водi утворюють в'язкi, клейкi, набухаючi розчини i використовуються як емульгатори для приготування емульсiй. Вони виділяються у вигляді тягучих рідин із надрізів чи тріщин рослин і по хімічній природі відносяться до полісахаридів.
За хімічним складом камеді відносяться до полісахаридів, в складі яких є пентози, гексози, різні уронові кислоти. Засохлі камеді представляють собою склоподібні тверді, легко ламаючіся шматки жовтого або бурого кольору. Камеді набухають або повністю розчиняються у воді, утворюючи колоїдні розчини. В органічних розчинниках (спирті, ефірі, бензині) камеді не розчиняються. Поряд з чистими камеді зустрічаються камедесмоли (суміші камеді зі смолами), камедемаслосмоли, тобто суміші камеді з ефірними маслами і рослинними смолами. [2, с. 84]
Справжні камеді не мають запаху, смаку і більш-менш розчиняються у воді, утворюючи клейкі речовини. Вони горять без плавлення і запаху.
Розчини камеді у воді застосовуються як обволікаючі засоби для уповільнення всмоктування лікарських речовин у кишечнику або зменшення подразнюючої дії їх. Камеді використовуються також як емульгатор при виготовленні масляних елульсій.
На нагромадження камеді у рослинах впливають різні чинники: вік і фази розвитку рослин. Чинники зовнішнього середовища (світло, грунт, кліматичні умови, висота над рівнем моря й ін.) сильно впливають на нагромадження камеді. У південних районах рослини більш багаті ними. Збільшується вміст камеді у високогірних районах, а також під впливом світла і на грунтах, багатих мікроэлементами.
Для виділення камеді із рослинної сировини застосовують різні методи хроматографії із використанням поліамідного сорбента капрону. Лікарська сировина з вмістом камеді знаходять різноманітне застосування. Багато які з них мають вітамінну активність, зменшують крихкість кровоносних капілярів (рутин), підсилюють дію аскорбінової кислоти, дають седативний ефект.
Найбільш багатими на камеді рослинами є рослини з сімейства бобових. В медицині вони також використовуються як стабілізатори суспензій і емульсій.
Деякі види бобових використовуються в медицині (термопсис, солодець, буркун, калабарський біб, касія). [7, с. 74]
2. Лікарські рослини та лікарська рослинна сировина, що містять камеді
Найбільш багатими на камеді рослинами є рослини з сімейства бобових.
Деякі види бобових використовуються в медицині (термопсис, солодець, буркун, калабарський біб, касія). В медицині вони також використовуються як стабілізатори суспензій і емульсій.
Найбільш багатим лікувальним потенціалом характеризуються боби і солодка гола.
Боби походять із Середньої Азії. В культурі вирощують практично по всій території України. Насіння містить білок (до 35 %), амінокислоти (аргінін, гістидин, метіонін, лізин), вуглеводи, органічні кислоти, ліпіди.
В медицині насіння бобів використовують як в'яжучий, протизапальний та бактерицидний засіб. Пюре вживають при проносах, дизентерії, інших кишкових захворюваннях, як засіб від нудоти і кашлю. Зовнішньо - зварені в молоці й розтерті боби прикладають до наривів та уражених запальними процесами ділянок шкіри. [17, с. 45]
В косметиці - настої чи відвари квіток застосовують для обмивання шкіри.
В рослинництві боби цінні як добрий попередник під ряд культур та як оздоровлювач фунту.
З метою захисту рослин бобами обсівають культури проти кротів. Це однорічна трав'яниста рослина, яка цвіте в червні-липні. Розмножується насінням. Сушіння квіток проводять у затінених провітрюваних місцях, регулярно їх перевертаючи. Після обмолочування насіння підсушують на сонці. Зберігають готову сировину в сухих приміщеннях. [16, с. 83]
Солодка гола росте на солончакуватих грунтах, у заплавах річок, на приморських схилах, на півдні Степу і в Криму. Поширена в Середній Азії, на Кавказі, в Південних районах Східної Європи. Злісний бур'ян на посівах бавовнику в Середній Азії. В культурі вирощують у ботанічних садах, спеціалізовані господарства, аматори. (Рис. 1)
Рисунок 1 Солодка гола

Стебло голе, прямостояче, просте, іноді гіллясте, опушене, висотою до 120 см. Листки чергові, непарноперистоскладені, ланцетоподібні, на верхівці округлі або загострені, зверху голі, знизу опушені. Квітки двостатеві, неправильні, з білувато-фіолетовим віночком. Плід - видовжений біб, прямий або злегка зігнутий, не розкривається, 2 – 6 - насіннєвий.
Корені містять моно- і полісахариди, ефірну олію, сапоніни, стерини, смоли, кумарини, флавоноїди, аскорбінову кислоту. [11, с. 98]
В медицині препарати з коренів солодки застосовують при лікуванні верхніх дихальних шляхів, виразки шлунка і дванадцятипалої кишки, бронхіальної астми, алергії, дерматиту, екземи, ревматизму, подагри. В народній медицині солодку використовують у харчуванні хворих на цукровий діабет, при імпотенції, коклюші, гіпертонічній хворобі, рахіті, туберкульозі, бронхіті. Солодка гола гальмує розвиток артриту, має протипухлинні властивості. Корінь і кореневище застосовують у харчовій і тютюновій промисловості, виробництві пива, квасу і кондитерських виробів. Рослина — відмінний медонос. У ряді випадків використовують як декоративну рослину.
Багаторічна трав'яниста рослина з перехресним запиленням, посухостійка, світлолюбива, невибаглива до грунтів. Формує генеративні органи на третьому році життя. Цвіте в червні-серпні. Насіння має міцну оболонку, у грунті може не проростати до 5 років.Корені підсушують до 40-50 % вологості, очищають, відбирають діаметром 5 мм і більше та довжиною близько 50 см. Після подвійного чищення від кірки і кори сировина має лимонно-жовтий колір, її можна різати на кубики або подрібнювати на порошок. Зберігають висушену сировину в сухих добре провітрюваних приміщеннях. [4, с. 74]
Сучасні економічні проблеми призвели до значного зменшення обсягів виробництва лікарської рослинної сировини в Україні. Запаси дикорослих рослин значно зменшились, і багато з них занесені до Червоної книги. Інтенсивна експлуатація природних масивів і різке погіршення екологічних умов спричинили кризову ситуацію, і під загрозою знищення знаходяться такі цінні лікарські рослини, як астрагал шерстистоквітковий, оман високий, аїр, солодець голий, сагайдак прямостоячий.
Зберегти їх, відновити запаси в природі в результаті реінтродукції можливо лише при впровадженні їх у культуру. Крім того, їхнє вирощування в господарствах різних форм власності дасть можливість застосовувати регіональні технології та дозволити одержати більш дешеву сировину, ніж при заготівлі в природі.
І в той час, коли Україна відчуває гострий дефіцит у лікарській сировині та використовує імпортні ліки, в більшості випадків сумнівної якості, площі під лікарськими рослинами залишаються незначними і продовжують скорочуватись. [3, с. 84]
3. Загальна характеристика гетеро полісахаридів
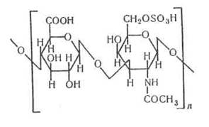
Медичне значення мають деякі рослинні гетерополісахариди, зокрема геміцелюлози та камеді — рослинні гетерополісахариди з розгалуженою будовою, які містять у своєму складі залишки моносахаридів (D-галактози, D-глкюкози, L-арабінози, L-рамнози тощо) тауронових кислот. У фармацевтичній практиці ,як емульгатор при виготовленні лікарських емульсій застосовується гуміарабік, до складу якої входять залишки L-арабінози, D-галактози, D-глюкуронової кислоти та метилпентоз.
Гетерополісахариди — полімери, побудовані з великої кількості різних моносахаридних одиниць та їх похідних. У біохімії та фізіології людини і тварин найбільше значення мають гетерополісахариди глікозамінглікани.
Глікозамінглікани — гетерополісахариди, побудовані з дисахаридних залишків які повторюються. Моносахаридними компонентами дисахаридних залишкі глікозамінгліканів є найчастіше гексуронові кислоти (глюкуронован або іноді ідуронова тощо) та N-ацетилпохідні гексозамінів (глюкозаміну, галактозаміну). [15, с. 74]
До глікозамінгліканів належать численні тваринні біополімери, що складають міжклітинний матрикс сполучної тканини, який заповнює простір між окремими клітинами. Застаріла назва цих сполук — мукополісахариди — вказує, що сполук даного класу були вперше виділені з муцину— компоненту слизів, що є змазуючою речовиною, яка виконує функцію фізіологічного мастила. Найбільш вивченими гліюзамінгліканами є гіалуронова кислота, хондроїтинсульфати, дерматансульфати, кератансульфати, гепарансульфати, які входять до складу шкіри, сухожиль, хрящ суглобів, забезпечуючи механічну міцність та пружність органів, еластичність іх сполучень. Глікозамінглікан гепарин є природним антикоагулянтом.
Глікозамінглікани є поліаніонними молекулами. Щонайменше один із моносахаридних компонентів у молекулах глікозамінгліканів несе кислотне угруповання - карбоксильну або сульфатну групу, що забезпечує їх високу гідрофільність, тобто здатність утримувати в біологічних тканинах значну кількість води.
Усі глікозамінглікани виконують свої біохімічні та фізіологічні функції будучи зв'язаними з білками. Ковалентні комплекси глікозамінгліканів сполучної тканини (гіалуронової кислоти, хондроїтинсульфатів тощо) з білками отримали назву - протеогчіканів, що є представниками мішаних біополімерів (глікокон'югатів).
Таблиця 1. Структурні компоненти глікозамінгліканів
|
Глікозамінглікан |
Склад дисахаридної одиниці |
|
Гіалуронова кислота |
D-глюкуронат + N-ацетилглюкозамін |
|
Хондроїтинсульфати |
D-глюкуронат + N-ацетилгалактозамінсульфат |
|
Дерматансульфати |
D-ідуронат + N-ацетилгалактозамінсульфат (або D-глюкуронат) |
|
Кератансульфати |
D-галактоза + N-ацетилглюкозамінсульфат |
|
Гепарансульфати та Гепарин |
D-глюкуронат + N-ацетилглюкозамінсульфат(або D-ідуронат) |
Найбільше значення мають кислі ГАГ: гіалуронова і хондроітинсульфатна кислоти і гепарин. [15, с. 78]
Гіалуронова кислота. Молекула цього гетерополісахариду побудована з великої кількості залишків глюкуронової кислоти і N-ацетилглюкозаміну в співвідношенні 1:1, зв'язаних між собою 1,3-глікозидними зв'язками, тобто структурною одиницею гіалуронової кислоти є дисахарид, який складається з глюкуронової кислоти і N-ацетилглюкозаміну:

Ці фрагменти, з'єднуючись один з одним зв'язком 1,4, утворюють високомолекулярну молекулу гіалуронової кислоти лінійної будови з молекулярною масою від 270 до 500 тис.
Ця кислота поширена в тканинах і органах людини і тварин. Особливо багато її в склоподібному тілі ока, сухожиллях, синовіальній рідині суглобів. Вона входить до складу оболонки клітин, зокрема жіночої статевої клітини - яйцеклітини. Тому проникнення в яйцеклітину,а отже і запліднення її можливе лише у випадку розщеплення гіалуронової кислоти. Таку здатність має чоловіча статева клітина - сперматозоїд, який містить фермент гіалуронідазу (гіалуронат-ліазу), за допомогою якого і руйнується оболонка.
Гіалуронова кислота здатна зв'язувати воду і тим самим утримувати її в міжклітинному просторі. Вона надає також синовіальній рідині мастильні властивості, зменшуючи тертя при згинанні суглобів.
Гіалуронова кислота входить до складу основної речовини сполучної тканини, надаючи їй високу міцність і захисні властивості, оскільки одним із механізмів проникнення бактерій в організм людини або тварин є розщеплення бактеріальними ферментами гіалуронової кислоти клітинної оболонки. Це спостерігається також при дії на організм різних фізичних чинників, наприклад, радіоактивного випромінювання. У результаті посилюється розщеплення гіалуронової кислоти, що веде до підвищення проникності тканин і зниження опірності організму інфекціям.
Хондроїтинсульфатна кислота також є гетерополісахаридом. Молекула її побудована з фрагментів глюкуронової кислоти і N-ацетилгалактозамінсульфату, сполучених між собою 1,3-глікозидними зв'язками:

Такі фрагменти, так само як і в гіалуроновій кислоті, з'єднуються між собою 1,4-зв'язками, створюючи молекулу хондроїтинсульфатної кислоти з молекулярною масою 50-100 тис.
Хондроїтинсульфатна кислота - обов'язкова складова частина хрящів (до 40% у перерахунку на суху масу), кісток, основної речовини сполучної тканини, серцевих клапанів, стінок кровоносних судин, шкіри й ін., тобто в організмі вона виконує опорні функції. Крім того, хондроїтинсульфатна кислота бере участь в іонному обміні і регуляції надходження в клітину поживних речовин.
Гепарин - кислий гетерополісахарид, що складається із залишків глюкуронової кислоти і глюкозаміну, із молекулярною масою до 20 000. Він міститься у різних органах і тканинах тварин. Особливо багато його в печінці (до 100 мг на 1 кг тканини), легенях, серці, селезінці, щитовидній залозі, крові. Гепарин є потужним антикоагулянтом, у мізерно малих кількостях запобігає зсіданню крові. Його використовують у медицині для профілактики і лікування тромбозів, а також як стабілізатор крові при її збереженні і переливанні. [15, 84]
4. Лікарські рослини, що містять гетерополісахариди
Лікарські рослини, що містять гетеро полісахариди можна розглянути на прикладі алтеї гірської, подорожника великого, мати–й-мачухи.
Алтея гірська дуже поширена в Європі. В Україні зустрічається всюди, крім гірських районів Карпат і Криму. Росте на зволожених ділянках долин і берегів річок, озер, водойм. У басейні Дніпра утворює незначні зарості. В культурі вирощують ряд спеціалізованих господарств та аматори.(рис. 2)
Корені алтеї містять до 35 % слизу. До складу їх входять: крохмаль (35 %), цукор (8 - 10 %), пектинові речовини (16 %), аспаргін тощо. Листки та квіти містять ефірну олію із запахом валер'яни. [17, с. 83]
Корені використовують у медицині як сировину для чаїв і зборів. Їх застосовують як відхаркувальний і протизапальний засіб при захворюваннях дихальних шляхів (особливо дітей), для лікування хвороб травного каналу (зокрема виразки шлунка та ін.).
Мати-й-мачуха — цінна лікарська рослина, яку використовують для лікування простудних захворювань в офіційній і народній медицині. Добрий медонос, але і в'їдливий бур'ян. На Україні росте один вид мати-й-мачухи. ( рис. 3)
Листя мати-й-мачухи звичайної (Tussilagofarfara L.) містять глікозид тусилягін, інулін, ефірну олію, слизові тадубильні речовини.
Препарати мати-й-мачухи стимулюють відхаркування, посилюючифізіологічну активність мерехтливого епітелію та перистальтичні рухи бронхіол,що сприяє просуванню мокротиння із нижніх у верхі відділи дихальних шляхів тайого виділенню. [6, с. 94]
Препарати мати-й-мачухи застосовують якдопоміжний лікарський засіб у комплексній терапії гострих та хронічних запальнихзахворювань дихальних шляхів (ларингіти, трахеїти, бронхіти, бронхопневмонія, бронхоектатична хвороба).
Подорожник великий росте на галявинах, луках, уздовж просік, на лісокультурних площах і як бур'ян на розсадниках. Тіньовитривала рослина. Цвіте у травні - липні. Поширений по всій Україні. Заготовляють у всіх областях України. Запаси сировини значні. (рис. 4)
У науковій медицині використовують листки подорожника великого, середнього і ланцетолистого - Folia Plantaginis. Препарати з подорожника мають тонізуючу дію, збуджують апетит, сприяють підвищенню гемоглобіну в крові, позитивно діють при гострих шлунково-кишкових захворюваннях (гастритах, ентероколітах), виразках шлунка і дванадцятипалої кишки, як ранозагоювальний засіб. Консервований у спирті сік подорожника - чудовий відхаркувальний засіб, особливо при коклюші і туберкульозі. Екстракт рослина має протисклеротичну дію, знижує вміст холестерину в крові. Розтерті листки подорожника прикладають до ран, фурункулів, набряків внаслідок удару, при запаленнях шкіри, укусах комах. Листки містять глікозид аукубін, гіркі й дубильні речовини, каротин, вітаміни С і К, лимонну кислоту. [6, с. 128]
У народній медицині листки використовують як кровоспинний і ранозагоювальний засіб, при ударах, порізах, наривах, носових кровотечах; усю рослину - при гастритах, проносі, виразках, внутрішніх ранах, при хворобах нирок, серця, гіпертонії, туберкульозі легень, бронхіальних запаленнях, хворобах печінки та при жовтяниці, при хворобах ясен, очей, зубному болю. Листки прикладають до шкіри при рожистих запаленнях. Насіння подорожника містить слиз, аукубін, білкові й дубильні речовини, жирну олію, ферменти, смоли. У народній медицині їх застосовують при запальних процесах у шлунку, кишечнику та при хронічних запорах. Насіння є також добрим кормом для птахів. Корені подорожника використовують при запаленні нирок і сечового міхура.
У гомеопатії використовують есенцію зі свіжої рослини. У ветеринарії порошок з сухих листків використовують для лікування сибірки. Свіжі і квашені листки подорожника вживають у їжу як салат, з них готують перші страви: супи й бульйони. Насіння подорожника, заквашене з молоком, вважається смачною і корисною приправою до м'ясних і рибних страв.
Подорожники - добрі пилконоси, особливо подорожник середній. Подорожник ланцетолистий добре поїдається худобою, особливо в сіні. Сік подорожника входить до складу деяких косметичних лосьйонів для догляду за шкірою. [4, с. 85]
Висновки
Сучасні економічні проблеми призвели до значного зменшення обсягів виробництва лікарської рослинної сировини в Україні. Запаси дикорослих рослин значно зменшились, і багато з них занесені до Червоної книги. Інтенсивна експлуатація природних масивів і різке погіршення екологічних умов спричинили кризову ситуацію, і під загрозою знищення знаходяться такі цінні лікарські рослини, як астрагал шерстистоквітковий, оман високий, аїр, солодець голий, сагайдак прямостоячий.
Лікарські рослини, та лікарські препарати, що з них виготовляють, є традиційними лікарськими засобами як у нашій країні, так і у багатьох інших країнах, а їх використання в сучасній медицині не лише залишається стабільним, але й має тенденцію до збільшення. Великі обсяги заготівлі ЛРС у складних екологічних умовах у багатьох регіонах нашої країни можливі лише на основі раціонального природокористування.
На нагромадження камеді у рослинах впливають різні чинники: вік і фази розвитку рослин. Чинники зовнішнього середовища (світло, грунт, кліматичні умови, висота над рівнем моря й ін.) сильно впливають на нагромадження камеді.
Камедi - затвердiлi видiлення слизистих, переважно вуглеводистих, речовин (клей янтарного кольору на стовбурах кiсточкових дерев). Камедi у водi утворюють в'язкi, клейкi, набухаючi розчини i використовуються як емульгатори для приготування емульсiй.
У південних районах рослини більш багаті ними. Збільшується вміст камеді у високогірних районах, а також під впливом світла і на грунтах, багатих мікроэлементами.
Найбільш багатими на камеді рослинами є рослини з сімейства бобових. Деякі види бобових використовуються в медицині (термопсис, солодець, буркун, калабарський біб, касія). В медицині вони також використовуються як стабілізатори суспензій і емульсій.
Найбільш багатим лікувальним потенціалом характеризуються боби і солодка гола.
Гетерополісахариди — полімери, побудовані з великої кількості різних моносахаридних одиниць та їх похідних. У біохімії та фізіології людини і тварин найбільше значення мають гетерополісахариди глікозамінглікани.
Важливе медичне значення мають рослини, які містять гетерополісахариди.
Список використаної літератури
Государственная фармакопея СССР. – 10-е, 11-е изд. – М.: Медицина, 1987. – Вып.1; 1990. – Вып.2
Ісакова Т.І. Фармакогнозія з основами біохімії рослин. – Харків: Прапор, 2000.
Правила сбора и сушки лекарственных растений / Сборник инструкций. – М.:Медицина, 1985.
Лікарські рослини: Енциклопедичний довідник/ А.М. Гродзинського. – К.: видавництво “Укр.енциклопедія” ім. М.П. Бажана, 1992.
Турова А.Д. Лекарственные растения и их применение. – М.: Медицина, 1974.
Визначник рослин України. – К.: Урожай, 1965.
І.С. Чекман Клінічна фітотерапія. – К.: Видавництво “А.С.К.”, 2003
Диагностика болезней внутренних органов: Т.7: М.: Мед.лит. 1999/Окороков А.Н./, ст.1-35
Окороков А.Н. Лечение болезней внутренних органов: Т.3, кн.2: Лечение болезней сердца и сосудов – М.: Мед.лит., 1999, ст.70-77.
В.В. Кархут Жива аптека. – К.: Видавництво “Здоров’я”, 2007
М.А. Носаль Лікарські рослини і способи їх застосування в народі. – К.: Видавництво “Здоров’я”, 1964.
С.С. Коновалов Книга, которая лечит серце и сосуды. – М.: Видавництво «Олма-пресс», 2004.
Ю.Я. Элін, М.Я. Зерова, В.І. Лугина, С.І. Шабарова Дари лісів. – К.: Видавництво “Урожай”, 1983.
Вернон Коулмен Гипертония. – Санкт-Петербург: Питер, 1997.
Журнал «Клінічна і експериментальна медицина”. – том 3 №1, 2004
Журнал “Будьмо здорові”. - №7, 2002, ст.11.
Ивашин Д.С., Кашина З.Ф. и др. Лекарственные растения Украины. – К.: Урожай, 1978.