Производные хинолина
КУРСОВАЯ РАБОТА
По теме:
Производные хинолина
Содержание
Введение
1. Производные хинолина
2. Предпосылки получения лекарственных средств на основе связи структуры хинина и его биологическое действие.
3. Хинин
4. Хинидин
5. Хингамин
Заключение
Список использованной литературы
Введение
СПИД, сахарный диабет, бронхиальная астма, рак – это неполный перечень заболеваний для которых так и не найдены альтернативные препараты, помогающие полностью излечить их. Задачей здравоохранения является найти лекарственные препараты для излечения этих болезней.
Фармацевтическая химия – наука, изучающая способы получения, физические и химические свойства, методы контроля качества лекарственных веществ, влияние отдельных особенностей строения молекул лекарственных веществ на характер действия их на организм, изменения, происходящие при их хранении.
Решение задач, стоящих перед фармацевтической химией поможет выявить новые свойства уже имеющихся лекарственных препаратов и открыть новые.
Производные хинолина
Х
инолин
представляет собой конденсированную
систему, образованную ароматическим
бензольным ядром и гетероциклическим
пиридиновым циклом.
Хинолин обладает антисептическим, бактерицидным и жаропонижающим действием, но ввиду очень высокой токсичности (нервный яд) в медицине не применяется. Впервые хинолин выделен в 1834 г. из каменноугольной смолы, а несколько позже А. М. Бутлеровым и А. Н. Вышнеградским было доказано наличие хинолина в молекуле хинина. Это обстоятельство послужило толчком для исследований в области создания противомалярийных средств в ряду производных хинолина.
П
рименяемые
в медицинской практике препараты —
производные хинолина по химической
структуре могут быть классифицированы
на четыре группы: производные
8-оксихинолина, производные 4-хинолин -
карбоновой (цинхониновой) кислоты,
производные 8-аминохинолина и
4-аминохинолина:

8-оксихинолин 4- хинилокарбоновая кислота
8
-аминохинолин
4-аминохинолин
2. Предпосылки получения лекарственных средств на основе связи структуры хинина и его биологическое действие
В создании новых лекарственных веществ производных хинолина большая роль принадлежит ВНИХФИ. Перед коллективом этого института была поставлена задача создания эффективных синтетических противомалярийных средств. В результате исследований (1929), проведенных под руководством профессора М. В. Рубцова и О. Ю. Магидсона, синтезированы многочисленные производные хинолина, акридина, пиримидина, обладающие противомалярийным действием. Особенно широкие исследования проведены в ряду производных хинолина. Это вызвано тем, что хинолин является составной частью структуры алкалоида хинина, обладающего противомалярийной активностью.
В результате синтеза и исследования физиологического действия
нескольких тысяч производных хинолина были разработаны теоретические обоснования, суть которых заключается в следующем:
1. Активный противомалярийный препарат должен состоять из хинолинового ядра, содержащего метоксильную группу в положении 6 или атом хлора в положении 7.
2. К хинолиновому ядру должна быть присоединена через аминогруппу боковая цепь (в положении 8 или 4).
3. Боковая цепь должна иметь вытянутую (но не разветвленную) форму, а в конце цепи аминогруппу, атомы водорода в которой могут быть замещены не менее, чем этильными радикалами. В α - положении по отношению к аминогруппе может быть расположен метильный радикал.
Исходя из этих теоретических концепций созданы активные отечественные противомалярийные препараты производные 8- и 4-аминохинолина.
Препараты – производные 4 –аминохинолина
В медицинской практике применяют целый ряд лекарственных веществ, производных 4-аминохинолина. В ГФ Х включены хингамин и трихомонацид. В основе химической структуры производных этого ряда лежит молекула 4-аминохинолина:

4
3
2
6
5
1
7
8
Помимо радикала, замещающего атом водорода в аминогруппе, препараты могут иметь также заместитель в положении 2 (трихомонацид), а также метоксильную группу в положении 6 и атом хлора, в положении 7.
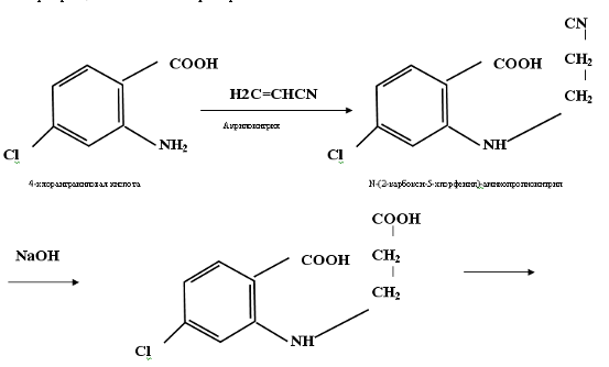
Общий принцип синтеза производных 4-аминохинолина заключается в предварительном получении ядра хинолина, содержащего метоксигруппу или атом хлора. Затем к этому ядру присоединяют радикал диэтиламиноалкиламина и превращают основание препарата в соль.


По физическим свойствам хингамин и трихомонацид отличаются друг от друга. Трихомонацид — желтого цвета, а хингамин — белого цвета вещество. Отличить препараты можно также по температуре плавления. Являясь фосфатами органических оснований, препараты хорошо растворимы в воде и очень мало или практически нерастворимы в органических растворителях. Водные растворы имеют кислую реакцию.
При испытании подлинности ГФ Х рекомендует обнаруживать наличие фосфат-ионов в препаратах. Для этой цели можно использовать реакцию с молибдатом аммония. Предусмотрено также использование спектрофотометрии в УФ-области для идентификации препаратов. Для хингамина (0,001% раствор препарата в 0,01 н. растворе соляной кислоты) устанавливают наличие трех максимумов поглощения (257, 329 и 343 нм), а для трихомонацида (0,001% водный раствор) определяют величину удельного показателя поглощения при длине волны 357 пм.
Для испытания подлинности препаратов могут быть использованы реакции осаждения их оснований при действии щелочами. ГФ Х рекомендует для последующего обнаружения основания хингамина реакцию образования пикрата, который имеет желтую окраску и стабильную температуру плавления (204,5—207 °С). Основание трихомонацида обнаруживают реакциёй с раствором йодида калия, появляется светло-желтый осадок (основание совкаина в этих условиях образует белый осадок).
Наличие нитрогруппы в молекуле трихомонацида можно установить путем ее восстановления до аминогруппы (цинковой пылью в кислой среде):

Полученное аминопроизводное затем подвергают диазотированию и β-нафтолом. Образующийся азокраситель имеет ярко-розовую окраску.
Количественное (подобно другим солям органических оснований) определение хингамина и трихомонацида проводят методом нейтрализации, так как их растворы имеют кислую реакцию. ГФ Х рекомендует для количественной оценки обоих препаратов метод неводного титрования. Титруют 0,1 н. раствором хлорной кислоты в среде ледяной уксусной кислоты (индикатор кристаллический фиолетовый).
Хранят препараты по списку Б в хорошо укупоренной таре оранжевого стекла, в защищенном от света месте. Следует учитывать, что трихомонацид - гигроскопичное вещество, а хингамин под действием света постепенно изменяется.
Применяют хингамин в качестве противомалярийного средства для лечения и профилактики всех видов малярии, так как он оказывает действие как на бесполые, так и на половые формы малярийных плазмодиев. Лечение осуществляют курсами. Высшие дозы: разовая 0,5 г, суточная 1,0 г.
Трихомонацид в отличие от хингамина не обладает противомалярийным действием, но является высокоактивным средством в отношении трихомонад. Назначают его местно и внутрь до 0,3 г в сутки (в 2— З приема).
Из производных 4 – аминохинолина в медицине применяют также очень сходный по химической структуре с хингамином препарат гидроксихлорохин и подобный трихомонациду аминохинол.
Хинин
Алкалоид, содержащийся в коре различных видов хинного дерева. По химическому строению является [6′-метоксихинолил- (4′)]-[5-ви-нилхинуклидил- (2) ]-карбинолом:

Хинин оказывает разностороннее влияние на организм. Местное действие проявляется в раздражении тканей: при подкожном введении растворы солей хинина могут вызывать болевые ощущения, а иногда и некротические изменения. Резорбтивное действие проявляется в первую очередь изменением состояния центральной нервной системы, сердечно-сосудистой системы, мускулатуры матки. Хинин может вызывать угнетение центральной нервной системы, состояние оглушения, звон в ушах, головную боль, головокружение; в больших дозах — нарушение зрения, а иногда потерю сознания. Хинин угнетает терморегулирующие центры и понижает температуру при лихорадочных заболеваниях; понижает возбудимость сердечной мышцы, удлиняет рефрактерный период и несколько уменьшает ее сократительную способность; возбуждает мускулатуру матки и усиливает ее сокращения, сокращает селезенку. Характерной особенностью хинина является его способность угнетать жизнедеятельность эритроцитарных форм малярийных плазмодиев.
Хинин быстро всасывается и быстро выводится из организма.
В медицинской практике применяют следующие соли хинина.
Хинина гидрохлорид: бесцветные блестящие шелковистые иголочки или белый мелкокристаллический порошок без запаха, очень горького вкуса. Растворим в воде (1:30), легко — в кипящей (1: 1), в спирте (1: 3). Содержит 82% хинина (основания). Под действием света желтеет. Водные растворы стерилизуют при 100° в течение 30 минут.
Хинина дигидрохлорид: бесцветные кристаллы или белый кристаллический порошок без запаха, очень горького вкуса. Очень легко растворим в воде (1:0,7), растворим в спирте (1:12). Содержит 72,3% хинина основания. Водные растворы готовят асептически.
Хинина сульфат: Бесцветные блестящие шелковистые игольчатые кристаллы или белый мелкокристаллический порошок без запаха, очень горького вкуса. Под действием света желтеет. Содержит 74% хинина (основания). Мало растворим в воде (1:800), растворим в кипящей воде (1:25), трудно растворим в спирте (1:100).
Гидрохлорид, дигидрохлорид и сульфат хинина назначают внутрь в таблетках, порошках, облатках или капсулах. Гидрохлорид и дигидрохлорид хинина употребляют также для инъекций.
Хинин является шизотропным препаратом, действующим на бесполые эритроцитарные формы всех видов плазмодиев. На гамонты и тканевые (экзоэритроцитарные) формы возбудителей малярии хинин действия не оказывает. В связи с меньшей активностью по сравнению с современными синтетическими препаратами и частыми побочными эффектами применяется редко. Назначают главным образом при тропической малярии, в случаях, когда штаммы Р. Falciparum устойчивы к хингамину и другим препаратам.
При малярии хинина сульфат назначают взрослым внутрь в суточной дозе 1—1,2 г (в 2 приема) в течение 5—7 дней.
Суточная доза для детей составляет: до 1 года — 0,01 г на месяц жизни ребенка (ноне более 0,1 г), от 1 года до 10 лет—по 0,1 г на год жизни, от 11 до 15 лет — 1 г, старше 15 лет — доза взрослого.
Назначение детям хинина в виде инъекций следует избегать ввиду возможности образования некрозов.
В тяжелых случаях трехдневной малярии и при тропической малярии дают внутрь по 1,5 г хинина гидрохлорида (или по 2 г сульфата) в сутки в 2-—З приема.
При лечении малярийной комы хинин вводят глубоко в подкожную клетчатку (но не в мышцы) в первый день в дозе 2 г (4 мл 25% или 2 мл 50% раствора хинина дигидрохлорида двукратно с перерывом между инъекциями 6—8 часов). В случаях крайней тяжести делают первую инъекцию внутривенно, вводя 0,5 г хинина дигидрохлорида, для чего 1 мл 50% раствора препарата разводят в 20 мл 40% раствора глюкозы или 20 мл изотонического раствора натрия хлорида. Внутривенно вводят очень медленно. Раствор предварительно подогревают до 35°. Вслед за введением в вену вводят 0,5 г (1 мл 50% раствора) хинина дигидрохлорида в подкожную клетчатку. Остальное количество хинина (1 г) вводят подкожно спустя 6—8 часов.
Перед внутривенным введением необходимо удостовериться, что раньше больной хорошо переносил хинин. При наличии идиосинкразии к хинину внутривенное введение может вызвать внезапную смерть.
При явлениях сосудистой слабости (частый малый пульс, запавшие вены) одновременно вводят под кожу изотонический раствор натрия хлорида и тонизирующие средства: камфару, кофеин, эфедрин, норадреналин, коразол и др.
В последующие дни цикла лечение проводят инъекциями хинина также в дозе 2 г в сутки. По возвращении сознания и при отсутствии поносов хинин назначают внутрь.
Хинин часто вызывает побочные явления: шум в ушах, головокружение, рвоту, сердцебиение дрожание рук, бессонницу. При идиосинкразии к химину уже малые дозы могут вызвать эритему, крапивницу, повышение температуры, маточные кровотечения, гемоглобинурийную лихорадку.
Противопоказаниями к применению хинина служат повышенная чувствительность к препарату, наличие указаний на дефицит фермента глюкозо - 6 –фосфат – дегидрогеназы, гемоглобинурийная лихорадка, заболевания среднего и внутреннего уха. Относительные противопоказания декомпенсация сердечной деятельности и поздние месяцы беременности. При назначении хинина беременным (во избежание выкидыша) суточная доза не должна превышать 1 г, причем эта доза должна делиться на 4—5 приемов.
В акушерской практике соли хинина (чаще гидрохлорид) назначают для возбуждения и усиления родовой деятельности (при переношенной беременности, преждевременного отхождении околоплодных вод и др.). Обычно применяют в сочетании с другими родостимулирующими средствами (эстрогенами, питуитрином, окситоцином, хлоридом кальция и др.). Назначают внутрь по 0,1—0,15 г 4—6 раз в день (через 15—30 минут после приема других медикаментозных средств). При гипотонии матки в раннем послеродовом периоде иногда вводят внутривенно 1—З мл 50% раствора хинина дигидрохлорида в 20 мл 5% раствора глюкозы или изотонического раствора натрия хлорида.
В связи со способностью понижать возбудимость сердечной мышцы и удлинять рефрактерный период хинин применяют для лечения и предупреждения экстрасистолий, часто в сочетании с препаратами наперстянки. Для предупреждения приступов пароксизмальной тахикардии назначают длительно (по 7-10 дней в месяц) по 0,1 г хинина гидрохлорида или сульфата 2-3 раза в день. При приступах пароксизмальной тахикардии иногда прибегают к внутривенному введению раствора хинина дигидрохлорида: вводят медленно 1-2 мл 50% или 2-4 мл 25% растворов.
Формы выпуска: порошок; таблетки хинина гидрохлорида и хинина сульфата по 0,25 и 0,5 г; ампулы хинина дигидрохлорида по 1 мл 50% раствора.
Хранение: в хорошо укупоренной таре, предохраняющей от действия света.
4. Хинидин
Алкалоид, содержащийся в коре хинного дерева. Является правовращающим изомером хинина.
В медицинской практике применяют хинидина сульфат: белый кристаллический порошок. Растворим в воде (около 1%).
По фармакологическим свойствам близок к хинину, но оказывает более сильное противоаритмическое действие.
Применяют для лечения пароксизмальной тахикардии, пароксизмов мерцательной аритмии, стойкой мерцательной аритмии и экстрасистолии. Лечебный эффект связан с уменьшением возбудимости мышцы предсердий, удлинением рефрактерного периода, а также с торможением проведения импульсов по пучку Гиса. В больших дозах может вызвать ослабление сократительной функции миокарда, нарушение проводимости, блокаду сердца. Действие хинидина частично связано с угнетением окислительных процессов в сердце. Имеются указания на то, что антиаритмическое действие хинидина (так же как новокаинамида) связано с изменением обмена электролитов в миокарде, а именно с внутриклеточной задержкой ионов калия и увеличением концентрации натрия с наружной стороны клеточной мембраны. Обнаружено также, что под влиянием хинидина меняется обмен ацетилхолина в мышце сердца.
Хинидин оказывает местноанестезирующее и сосудорасширяющее действие; блокирует передачу возбуждения в окончаниях сердечных волокон блуждающего нерв а; может вызвать учащение сокращений желудочков сердца. Обладает относительно высокой токсичностью; должен применяться с особёй осторожностью при значительном повреждении миокарда.
Предложены различные схемы применения хинидина.
При экстрасистолии назначают обычно по 0,1 г 4—5 раз в день; при хорошей переносимости доза может быть увеличена. После исчезновения экстрасистол во избежание рецидива назначают по 0,1—0,05---0,03 г 2—3 раза в день в течение недели.
При пароксизмах мерцательной аритмии и в ранних стадиях мерцательной аритмии часто назначают по 0,2 г каждые 4 часа (на ночь 0,4 е). Лечение проводят под контролем электрокардиографии. При появлении экстрасистолии или замедлении внутрижелудочковой проводимости дальнейший прием хинидина прекращают.
При длительной мерцательной аритмии часто назначают хинидин в следующих дозах: в первый день по 0,2 г 2 раза, во 2-й — по 0,4 г 2 раза, в 3-й и 4-й — по 0,4 г 3 раза, в 5-й и 8-й — по 0,4 г 4 раза в день. В зависимости от эффекта и переносимости дозы либо несколько увеличивают, либо постепенно уменьшают.
Учитывая, что хинидин обладает малой кумуляцией и быстро выводится из организма и что для получения терапевтического эффекта необходима постоянная концентрация препарата в крови (1,25— 2,5—5 мг на 1 л крови), -предложено назначать хинидин с небольшими интервалами (6 раз в день), начиная с относительно небольшой разовой дозы (0,1 г) с постепенным ее увеличением, по следующей схеме: в 1-й день — по 0,1 г 6 раз через каждые 2 и 1/2 часа, во 2-й день — по 0,15 г с теми же промежутками, в 3-й — по 0,2 г, в 4-й — по 0,25 г, в 5-й — по 0,3 г, в 6-й — 4 раза по 0,3 г и 2 раза по 0,4 т.
При всех схемах применения хинидина необходимо тщательно следить за состоянием больного, повторно проводить электрокардиографические исследования.
Лечение мерцательной аритмии часто более эффективно у больных, предварительно получавших препараты наперстянки.
При передозировке хинидина и индивидуальной повышенной чувствительности может наблюдаться угнетение сердечной деятельности и в редких случаях фибрилляция желудочков; возможны также тошнота, рвота, понос, диплопия, угнетение дыхания, аллергические кожные реакции.
При лечении длительной мерцательной аритмии хинидином возможны тромбоэмболические осложнения; рекомендуется поэтому проводить лечение, одновременно назначая антикоагулянты.
Противопоказания для приема хинидина являются повышенная чувствительность к препарату (идиосинкразия), декомпенсация сердца, беременность. В связи с высокой токсичностью его применение должно быть ограниченно при инфаркте миокарда.
5. Хингамин
4 (1-Метил-4-диэтиламинобутиламино) -7-хлорхинолина дифосфат:

* 2H>3>PO>4>
Белый или белый с легким кремоватым оттенком кристаллической порошок горького вкуса. Легко растворим в воде, очень мало — в спирте. Водные растворы (рН 3,5—4,5) стерилизуют при 115° в течение 30 минут.
Хингамин быстро вызывает гибель бесполых эритроцитарных форм всех видов плазмодиев. Оказывает также гамонтоцидное действие. Препарат хорошо и быстро всасывается и медленно выделяется из организма.
Применяется для лечения острых проявлений всех видов малярии и для химиопрофилактики. Спектр действия хингамина не ограничивается влиянием на малярийный плазмодий. Он оказывает тормозящее действие на синтез нуклеиновых кислот, на активность некоторых ферментов, на иммунологические процессы. Препарат нашел широкое применение при лечении коллагенозов (заболеваний системы соединительной ткани): системной красной волчанки, склеродермии, неинфекционного неспецифического (ревматоидного) полиартрита.
У больных с пароксизмальной формой мерцательной аритмии применение хингамина способствует восстановлению синусового ритма.
При лечении малярии назначают хингамин внутрь взрослым по 2,5 г на курс лечении. На первый прием назначают 1 г (4 таблетки по 0,25 г), через 6—8 часов 0,5 с, во 2-й о 3-й день — по 0,5 г в один прием.
Детям в зависимости от возраста препарат назначают в следующих дозах:
|
День лечения |
Доза, г |
|||
|
До 1 года |
1-6 лет |
6-10 лет |
10-15 лет |
|
|
1 |
0,05 |
0,125 |
0,25 |
0,5 |
|
2 и 3 |
0,025 |
0,05 |
0,125 |
0,25 |
Как правило, назначают препарат внутрь. При тяжелых формах малярии можно начинать с внутримышечного введения. Разовая доза для взрослого 10 ил 5% раствора, суточная —20 ил 5% раствора. Внутривенное введение назначают только в особо тяжелых случаях. 10 мл 5% раствора хингамина разводят в 10—20 мл 40% раствора глюкозы или изотонического раствора натрия хлорида и медленно вводят в вену. После улучшения состояния больного назначают препарат внутрь.
Для химиопрофилактики назначают хингамин внутрь взрослым по 0,25 г 2 раза в неделю в течение сезона передачи малярии. Детям — в соответствия с возрастом в дозах, в которых препарат назначается во 2-й и 3-й день лечения малярии.
При лечении ревматоидного полиартрита назначают по 0,25 г (1 таблетка) 1 раз в день после ужина, за 2—З часа до сна. В первые 10 дней препарат можно принимать по 0,25 г 2 раза в день, однако увеличение дозы может привести к развитию побочных явлений. Лечение проводят длительно. Лечебный эффект наступает после относительно длительного периода приема препарата (3—6 недель, а иногда 2—З месяца и больше): постепенно утихают боли, уменьшается скованность, улучшается подвижность суставов, уменьшаются экссудативньие явления. Наряду с улучшением клинической картины улучшаются и лабораторные показатели (снижается РОЭ, наблюдается тенденция к нормализации белковой картины крови, уменьшается содержание С-реактивного белка и др.). Эффект более выражен в случаях заболевания легкой и средней тяжести при преобладании экссудативных явлений и в меньшей степени — в тяжелых случаях при преобладании пролиферативных явлений. Для ускорения и усиления терапевтического эффекта рекомендуется комбинировать хингамин с гормональными препаратами 1 (кортикостероиды, АКТГ) или с производными пиразолона (амидопирин, бутадион), салицилатами.
Имеются также данные об эффективности хингамина при болезни Бехтерева (анкилозирующий спондилоартрит), болезни Боровского, гломерулонефрите и амилоидозе почек.
При красной волчанке хингамин более эффективен в случаях подострого течения с преобладанием кожно-суставного синдрома. При остром течении системной красной волчанки препарат обычно менее эффективен; в этих случаях возможно осторожное применение хингамина в комплексе с гормональной терапией в период стихания острых проявлений болезни.
При подостром течении красной волчанки хингамин назначают в первые 10 дней по 0,25 г 2 раза в день (после обеда и ужина), а затем по 0,25 г
1 раз в день (после ужина); всего на курс лечения принимают 70—100 таблеток (17,5—25 г хингамина). При остром течении системной волчанки назначают хингамин в комплексе с гормональными препаратами; в первые 2— 3 дня хингамин принимают по 0,25 г на ночь, а в дальнейшем (при хорошей переносимости) — по 0,5 г (2 таблетки) в день. Всего на курс — 100— 120 таблеток (25—ЗО г препарата). В весенний период с целью уменьшения явлений фотосенсибилизации хингамин можно назначать профилактически: сначала по—1 таблетке (0,25 г) 1 раз в день, затем 2—З таблетки в неделю.
Имеются данные о местном лечения дискоидной красной волчанки инъекциями 5—10% раствора хингамина.
Применение хингамина внутрь в терапевтических дозах обычно переносится без выраженных побочных явлений. При длительном приеме препарата возможно появление дерматита (часто в виде красновато-фиолетовых папул, напоминающих красный лишай и расположенных на разгибательной поверхности конечностей и на туловище). При появлении дерматита уменьшают дозу или отменяют препарат. Могут возникнуть головокружение, головная боль, тошнота, иногда рвота, шум в ушах, нарушение аккомодации. Обычно эти явления проходят самостоятельно. Возможны также уменьшение аппетита, боли в животе (в связи с раздражением слизистой оболочки желудка); у некоторых больных наблюдается временное снижение веса. Может иметь место умеренная лейкопения, снижение остроты зрения, мелькание в глазах.
Большие дозы хингамина могут вызывать поражения печени, дистрофические изменения миокарда, поседение волос.
При лечении хингамином необходимо проводить общие анализы крови и мочи, следить за функцией печени.
При медленном парентеральном введении растворов хингамина осложнений не наблюдается. Быстрое внутривенное Введение препарата может вызвать коллапс.
Хингамин противопоказан при тяжелых поражениях сердца с нарушением ритма, диффузном поражении почек, нарушении функции печени.
Формы выпуска: таблетки по 0,25 г; порошок; ампулы по 5 ил 5% раствора.
Хранение: список В. Порошок — в хорошо укупоренной таре, предохраняющей от действия света; таблетки и ампулы — в защищенном от света месте.
Заключение
Здоровье людей- один из основных факторов прочности государства и семьи, ускорения научно технического процесса, бесценный дар природы. Не последнюю роль в здоровье человека играет наука «Фармацевтическая химия». Изучение всех свойств лекарственных препаратов и характера действия их на организм поможет нам избавиться от многих заболеваний.
С
6
писок использованной литературыГ.А. Мелентьева, Л.А. Антонова «Фармацевтическая химия». – Москва – 1985 г.
В.Г. Жиряков «Органическая химия». – Москва – 1986 г.
В.Г. Белихов «Фармацевтическая химия». – Москва: Медпресс Инфо, 2007 г.
В.В. Закусов. Фармакология,2 изд., М., 1966;
М.Д. Машковский. Лекарственные средства, 7 изд., ч. 1, М., 1972.