Распределение антигенов системы HLA у больных туберкулезом и здоровых представителей русской этнической группы Челябинской области
Министерство образования Российской Федерации
Федеральное агентство по образованию
Государственное образовательное учреждение
Высшего профессионального образования
Дипломная работа
Тема: "Распределение антигенов системы HLA у больных туберкулезом и здоровых представителей русской этнической группы Челябинской области"
Работа допущена к защите
Заведующий кафедрой
Дата представления
Дата защиты
Оценка
Челябинск 2008
З
адание
на выполнение дипломной работы
Тема: Распределение антигенов системы HLA у больных туберкулезом и здоровых представителей русской этнической группы Челябинской области
Утверждена " " 2008 года
Срок сдачи студентом законченной работы " " 2008 года.
Перечень работ Изучить особенности распределения генов HLA II класса и их гаплотипов в группе больных туберкулезом; сделать вывод о наличии положительной или отрицательной ассоциации генов HLA II класса с туберкулезом у представителей русской этнической группы Челябинской области
Содержание дипломной работы: Выявить ассоциации генов HLA II класса с развитием туберкулеза у представителей русской этнической группы Челябинской области
Перечень графического материала: таблицы, диаграммы, рисунки
Дата выдачи задания " " 2008 года
Руководитель___________________
Студент________________________
С
одержание
Введение
I. Обзор литературы
1.1 Физиологическая роль главного комплекса гистосовместимости человека
1.1.1 Строение системы HLA
1.1.2 Характеристика генов и антигенов HLA II класса
1.1.3 Многообразие функций системы HLA
1.1.4 Роль HLA в реализации иммунного ответа
1.1.5 Полиморфизм системы HLA и ее этнические различия
1.2 Механизмы ассоциации HLA с заболеваниями
1.3 Общее представление о туберкулезе и его ассоциация с различными генетическими факторами
1.3.1 Иммунный ответ при туберкулезе
1.4 Ассоциация HLA II класса с микобактериозами в русской популяции
II. Собственные исследования
2.1 Материалы и методы исследования
2.1.1 Контингент обследуемых лиц
2.1.2 Иммуногенетическое типирование
2.1.3 Методы статистической обработки
2.2 Результаты собственных исследований
2.2.1 Анализ распределения частот генов и антигенов HLA II класса у больных туберкулезом представителей русской национальности, проживающих в Челябинской области
2.2.2 Анализ распределения частот генов и антигенов HLA II класса в популяции русских Челябинской области
2.2.3 Сравнительный анализ частот встречаемости антигенов HLA II класса у больных туберкулезом и здоровых представителей русской этнической группы Челябинской области
2.2.4 Анализ трехлокусных гаплотипов HLA у больных туберкулезом русской этнической группы Челябинской области
2.2.5 Сравнительный анализ частот встречаемости трехлокусных гаплотипов HLA у больных туберкулезом и здоровых представителей русской этнической группы Челябинской области
Заключение
Выводы
Список использованных источников
Приложения
Список сокращений
HLA - человеческий лейкоцитарный антиген
МНС - главный комплекс гистосовместимости
PCR-SSP - полимеразная цепная реакция с аллель-специфическими праймерами
NK - натуральные киллеры
АПК – антиген-представляющие клетки
TNF - фактор некроза опухолей
ПЦР - полимеразная цепная реакция
MBL - белок, связывающий маннозу
VDR - рецептор к витамину D
Введение
Настоящая работа посвящена поиску ассоциации иммуногенетической системы HLA с развитием туберкулеза в русской этнической группе Челябинской области.
Широко распространенные популяционные исследования легли в основу бурно развивающегося направления - "HLA и болезни", т.к HLA-антигены и гены зарекомендовали себя в качестве наилучших генетических маркеров для выявления предрасположенности к ряду заболеваний. HLA-маркеры могут использоваться для прогнозирования риска развития болезней или их форм, особенностей клинического течения и эффективности терапии, для определения типа наследования и изучения генетически контролируемых механизмов патогенеза заболеваний и т.д. [6].
Накопленные сведения указывают на неоднородность ассоциаций HLA-антигенов с заболеваниями, возможность существования разных HLA-маркеров одного заболевания в различных популяциях, что отражает эволюционно сложившиеся черты их HLA-генетического профиля.
Туберкулез также относится к заболеваниям, генетические факторы предрасположенности к которому играют важную роль в возникновении и прогрессировании болезни. Понимание важной роли генетических факторов в развитии туберкулеза пришло в первую очередь из эпидемиологических и близнецовых исследований. Дальнейшие исследования, проведенные на экспериментальных животных моделях, существенно дополнили имеющуюся информацию о генетических факторах предрасположенности к заболеванию.
Данные, полученные в результате изучения распределения генов II класса главного комплекса гистосовместимости в различных этнических группах, могут быть использованы для развития направления "HLA и болезни". Таким образом, представляется целесообразным проведение исследования по обнаружению ассоциации HLA с развитием клинического туберкулеза в русской этнической группе Челябинской области.
Актуальность данных исследований в первую очередь связана с необходимостью накопления информации в направлении "HLA и болезни" в русской этнической группе Челябинской области, а также для изучения ассоциации HLA с туберкулезом.
Новизна данного исследования заключается в том, что в процессе работы впервые был проведен анализ особенностей распределения специфичностей генов HLA II класса (DRB1, DQA1 и DQB1) и их гаплотипических сочетаний на молекулярно-генетическом уровне среди пациентов с туберкулезом и здоровых людей русской этнической группы, проживающих в Челябинской области. Иммуногенетический анализ больных туберкулезом в Челябинской области проводился впервые.
Объектом настоящего исследования являлись больные туберкулезом (51 человек), находящиеся на стационарном лечении в ГУЗ "Противотуберкулезный диспансер №3", представители социально благополучных слоев населения, имеющие родственников русской национальности в трех поколениях. Группу сравнения составили 202 случайно выбранных донора Областной станции переливания крови (г. Челябинск) русской национальности.
Цель работы: Выявить наличие ассоциации генов HLA II класса (локусов DRB1, DQA1 и DQB1) и их гаплотипов с развитием туберкулеза в русской этнической группе Челябинской области.
Задачи исследования:
1. Установить частоты встречаемости генов HLA II класса и их гаплотипов в группе больных туберкулезом.
2. Провести сравнение полученных данных с результатами распределения генов HLA II класса в контрольной группе.
3. Сделать вывод о наличии положительной или отрицательной ассоциации генов HLA II класса с развитием туберкулеза у представителей русской этнической группы Челябинской области.
Теоретической базой для настоящей работы являются популяционно-иммуногенетические исследования, проведенные ранее на других популяциях, а также литературные данные об ассоциации иммуногенетической системы HLA с развитием туберкулеза.
Генотипирование аллельных вариантов HLA II класса проводилось методом полимеразной цепной реакции. Для обработки результатов применялись стандартные генетико-статистические методы.
Практическая значимость работы:
1. Данные о распределении специфичностей генов HLA II класса и их сочетаний у здоровых представителей русской этнической группы Челябинской области могут быть использованы в качестве контрольных для поиска маркеров генетической предрасположенности к развитию различных заболеваний.
2. Полученные данные могут быть теоретически использованы для практических рекомендаций при лечении туберкулеза легких.
3. Результаты исследования ассоциации генов HLA II класса с развитием туберкулеза могут быть использованы в качестве дополнительного диагностического критерия при выявлении группы риска по данному заболеванию.
Композиция работы определяется ее целью и задачами и отражает основные этапы исследования.
I. Обзор литературы
1.1 Физиологическая роль главного комплекса гистосовместимости человека
Регуляция иммунного ответа является одной из основных физиологических функций организма. Эта функция принадлежит генам главного комплекса гистосовместимости человека. При этом следует принять во внимание, что само это название отражает скорее историю открытия данной генетической системы, чем ее основную функцию. Дело в том, что история открытия первых продуктов генов главного комплекса гистосовместимости человека, называемых антигенами HLA (от Human leucocyte antigens), связана именно с появлением и развитием трансплантационной иммунологии, когда возникла необходимость подбора тканесовместимых пар донор и реципиент. Сегодня же известно, что роль системы HLA в отторжении трансплантата является лишь одной из частных физиологических функций этой системы, а основная же ее функция - это регуляция иммунного ответа. В 80-х годах даже дискутировался вопрос о переименовании системы HLA в главный комплекс генов иммунного ответа человека, но, учитывая, что старое историческое название давно укоренилось среди исследователей, решено было не менять его [35].
1.1.1 Строение системы HLA
По современным представлениям система HLA, обеспечивая регуляцию иммунного ответа, осуществляет такие важнейшие физиологические функции, как взаимодействие всех иммунокомпетентных клеток организма, распознавание своих и чужеродных, в том числе измененных собственных, клеток, запуск и реализацию иммунного ответа и, в целом, обеспечивает выживание человека как вида в условиях экзогенной и эндогенной агрессии [29].
Все многообразие указанных функций обеспечивается строением главного комплекса гистосовместимости [13].
Система HLA, открытая более 40 лет назад, по-прежнему остается одной из самых сложных, наиболее хорошо изученных и вместе с тем загадочных генетических структур в геноме человека. Так, если еще в 1987 г. расстояние между его условными границами оценивалось в 2000 кб, то на сегодняшний день оно расширено более чем в 2 раза, причем протяженность отдельных его элементов - генных кластеров - колеблется в широких пределах в зависимости от HLA-гаплотипа [23].
Комплекс генов HLA (главного комплекса гистосовместимости человека) компактно расположен на коротком плече 6-й аутосомной хромосомы, занимает 3500 kb (тысяч пар оснований) и содержит более 220 генов.

Рисунок 1. Расположение комплекса генов HLA на 6 хромосоме человека.
Гены главного комплекса гистосовместимости человека подразделяются на области A, B, С, D и обозначаются как HLA-А, HLA-В HLA-С и HLA-D, которые достаточно полиморфны и имеют варианты (аллели) и подварианты.
В последние годы в пределах I класса системы HLA открыты новые (неклассические) локусы - E, F, G, H (псевдоген, экспрессируется на уровне РНК), J (псевдоген), для большинства из которых пока не выявлено наличие аллельного полиморфизма и не определены биологические функции. Гены MIC A и MIC B расположены рядом с генами MHC I класса, но отличаются от них экзон-интронной организацией. Молекулы MIC A экспрессируются в основном на фибробластах и эпителиальных клетках. Тем не менее, предполагают, что цепь молекулы MIC A сходна с цепями молекул MHC I класса и способна связывать пептиды и другие короткие лиганды.
Между генами HLA I и II классов расположены гены, кодирующие молекулы III класса. Среди них выделяют суперсемейства C (факторы комплемента, которые вовлечены в процессы элиминации чужеродных антигенов) и G (функции окончательно не выяснены, но предполагается, что продукты экспрессии отдельных генов данного семейства участвуют в процессе созревания лейкоцитов).
На основании исследования главных комплексов гистосовместимости различных видов организмов был сделан вывод о том, что этот генный комплекс расширялся за счет дупликации, что в свою очередь давало определенные преимущества организмам с более полиморфной системой HLA в процессе эволюции. Однако вопрос о том, какие причины привели к подавлению экспрессии ранее функционировавших генов в составе МНС, остается открытым [35].
1.1.2 Характеристика генов и антигенов HLA II класса
Молекулы HLA II класса кодируются генными локусами DR, DP и DQ и имеют распространение преимущественно на макрофагах, В-лимфоцитах, активированных Т-клетках (CD4) и участвуют в гуморальном ответе. HLA-DR кодируется генами на хромосоме 6 в области 6p21.31. HLA-DR часто вовлечен в ассоциации с аутоиммунными болезнями, является протективным или ассоциированным с рядом заболеваний вместе с DQ. В случае инфекции пептид (типа энтеротоксина стафилококка) связывается с молекулой DR и DQ и представляется нескольким из очень многих TCR T-хелпера. Эти лимфоциты тогда связываются с антигенами на поверхности B-клеток, стимулируя быстрое увеличение B-клеток.
Молекулы HLA II класса - это мембранные гликопротеины, состоящие из двух цепей (α и β), каждая из которых содержит по два домена. Цепи молекул II класса очень сходны между собой. На аминокислотном уровне наиболее полиморфными являются внешние альфа-1 и бета-1 домены, которые образуют пептид-связывающую бороздку и отвечают за презентацию антигенов.
Трехмерная структура молекулы II класса была установлена в 1993 году Брауном на основе рентгеноструктурного анализа. Антигенсвязывающую бороздку молекул II класса образуют наиболее экспонированные внешние домены, α-1 и β-1. Дно бороздки сформировано b-складчатой структурой, состоящей из восьми антипараллельных участков, а стенки образованы a-спиралями (рисунок 2). Отличие антигенсвязывающей бороздки молекул II класса от таковой молекул I класса заключается в том, что в молекулах II класса она образована двумя разными цепями. Домены, образующие бороздку, и в особенности первый домен b-цепи, чрезвычайно полиморфны. Области полиморфизма собраны в несколько дискретных гипервариабельных участков (например, в b-цепи HLA-DQ они соответствуют аминокислотным остаткам в положениях 52-58, 70-77, 84-90).

Рисунок 2. Трехмерное строение молекулы HLA II класса
Предполагают, что одни из этих участков расположены в пределах бороздки в положении, оптимальном для связывания антигена, а другие образуют детерминанты, вовлекаемые во взаимодействие с Т-клеточными рецепторами. В частности, было показано, что некоторые аминокислотные замены в полиморфных участках молекул HLA могут влиять на структурные изменения, значимые для образования "карманов", в которых связываются определенные презентируемые пептиды. Эти изменения могут даже полностью нарушать правильное связывание конкретного пептида, препятствуя его успешной презентации, а также влиять на корректное физиологическое распознавание комплекса "пептид-молекула HLA" Т-клетками. На основании полученных данных предположено, что стабильное взаимодействие молекул MHC II класса с пептидами зависит также и от плотности сети водородных связей между аминокислотными остатками альфа-спиралей молекулы MHC и связываемым пептидом. С другой стороны, установлено, что с CD4-рецепторами могут взаимодействовать и неполиморфные участки вторых доменов молекулы HLA (в данном случае HLA-DR). Таким образом, структура генов и молекул HLA обусловлена их биологическим предназначением [36].
Первичная функция HLA-II класса - представление чужеродного антигена иммунной системе для образования или подавления ответа Th, что, в конечном счете, ведет к производству антител против того же самого антигенного пептида. HLA DR найден на АПК (макрофаги, B-клетки и дендритные клетки). На поверхности клеток во время возбуждения увеличивается число антигенов DR, поэтому он является также маркером для иммунного возбуждения.
Существует чрезвычайно высокий уровень аллельного разнообразия в HLA DRB1, он стоит на втором месте после HLA-B. Эти 2 полиморфные области определяют все разнообразие последовательностей HLA в пределах человеческого генома. Это означает, что HLA-DRB1 развивается намного быстрее, чем все другие геномные локусы. Большая часть разновидностей в HLA DRB1 происходит в положениях контакта пептида в кармане, в результате многие из аллелей изменяют способ, которым DR связывает лиганды пептида и изменяет репертуар, который каждый рецептор может связать. Это свидетельствует о большом количестве изменений функционирующих в природе, и поэтому находится под действием отбора. В HLA области гены находятся в гетерозиготном состоянии или под давлением отбора, хотя некоторые аллели, возможно, находятся под положительным или отрицательным отбором.
HLA-DR и DQ локусы, вероятно, связаны с самым большим числом различных болезней относительно любых других локусов. Это происходит из-за сложной природы резистентности и высокого полиморфизма в этих локусах. Большинство этих болезней имеет низкую частоту, некоторые, подобно диабету 1 типа и целиакии являются редкими, но не исключениями.
Поскольку аллели DR находятся в неравновесном сцеплении с HLA-DQ локусами, отдельные изучения часто не могут определить точную ассоциацию с болезнью. В таких случаях используют трехлокусный гаплотип DR-DQA-DQB.
1.1.3 Многообразие функций системы HLA
Помимо того, что система HLA осуществляет регуляцию иммунного ответа на его начальных и продуктивных этапах, она также обеспечивает и такой "терминальный" этап регуляции, как апоптоз различных типов антиген-презентирующих клеток. При этом следует отметить, что этот эффект касается как профессиональных антиген-презентирующих клеток (макрофаги и CD34+-клетки, дифференцировавшиеся из моноцитов в культуре клеток, и дендритные клетки), так и В-лимфоцитов.
Так, коллективом исследователей, работающих под руководством проф. D. Сharron, в самые последние годы было установлено, что блокирующее воздействие моноклонального антитела L243 на молекулы HLA-DR, экспрессированные на различных типах антиген-презентирующих клеток, блокирует их апоптоз, определяемый с помощью FITC-меченного аннексина V. Во всех указанных клетках после блокировки молекул DR отмечалось значительное снижение апоптоза. Авторы считают, что регуляция апоптоза дифференцирующихся антиген-представляющих клеток осуществляется через молекулы HLA-DR, и это может явиться решающим механизмом для ограничения их жизни.
Данные в целом свидетельствуют в пользу ключевой физиологической роли молекул HLA-DR в регуляции апоптоза всех типов антиген-презентующих клеток. Последнее, по сути, является регуляцией одного из важнейших этапов развития иммунного ответа и ещё раз свидетельствует в пользу того, что при современном уровне знаний о физиологической роли генов HLA-DR, можно считать, что именно в действительности являются генами иммунного ответа человека.
Генам главного комплекса гистосовместимости принадлежит ещё ряд важнейших физиологических функций. Описанию одной из них (генетическому контролю качества иммунного ответа) была посвящена работа, опубликованная в Российском физиологическом журнале им. И.М. Сеченова. Речь идет об ассоциированном с системой HLA контроле активности различных субпопуляций иммунокомпетентных клеток, что в свою очередь существенным образом сказывается на конечном уровне, т.е. на качестве иммунного ответа человека. При этом, естественно, следует помнить, что эта функция является "вторичной" и реализуется только в случае, если организм человека генетически способен отвечать на данный агент. Предпосылкой развития данного направления можно считать предположение, выдвинутое W. Bodmer и J. Bodmer еще в 1978 г., о том, что на формирование HLA-профиля европеоидной популяции в значительной степени оказали влияние имевшие место в средние века эпидемии таких заболеваний, как чума, оспа, холера и т.д. В результате этого среди выживших оказался значительный процент людей с определенными HLA-генотипами, в первую очередь с генотипом HLA-A1, - В8, - DR3. Этот генотип, как предположил W. Bodmer, обеспечивает более высокую резистентность к инфекционным заболеваниям и является на сегодняшний день генетическим маркером европеоидной популяции. Следует отметить, что это предположение было подтверждено на примере недавних вспышек брюшного тифа в Суринаме, когда среди выживших европеоидов значительный процент составили лица с гаплотипом HLA-A1, - В8, - DR3. Одновременно с этим W. Bodmer высказал справедливое предположение, что реализация этого эффекта могла быть связана только с ассоциациями между конкретными HLA-специфичностями и HLA-гаплотипами и иммунным ответом. Учитывая тот факт, что с одними и теми же гаплотипами HLA оказалась связана устойчивость к самым различным инфекционным агентам, логично было предположить, что подобного рода ассоциация с HLA может быть связана не только с самой генетически обусловленной отвечаемостью к конкретному инфекционному агенту, но и с теми звеньями иммунного ответа, которые принимают участие в его реализации, т.е. в конечном эффекте. Именно это в настоящее время и подразумевается под качеством иммунного ответа. И именно под таким названием в программу последнего рабочего совещания и конференции по HLA вошло новое отдельное направление изучения физиологической функции HLA. Следует отметить, что в данном направлении исследований отечественные иммунологи имеют несомненный приоритет, хотя само это направление ранее именовалось как исследование ассоциации между HLA и иммунным статусом человека [2].
К настоящему времени достаточно хорошо известно, что между отдельными HLA-специфичностями и HLA-гаплотипами существуют положительные и отрицательные ассоциации с теми или иными показателями иммунного статуса, такими как количество и функциональная активность клеток СD4+, CD8+, EKK, фагоцитирующей функцией нейтрофилов и т.д.
Отдельно следует отметить, что, как стало известно в самое последнее время, главному комплексу гистосовместимости принадлежит существенная роль в регуляции активности популяции клеток, стоящих "на грани" между факторами, определяющими специфический и неспецифический иммунитет. Это так называемые естественные клетки-киллеры (ЕКК).
Данной популяции клеток, как известно, принадлежит весьма существенная роль в обеспечении противоинфекционной, в первую очередь противовирусной защиты организма. Они также несут ответственность и за обеспечение элиминации из организма мутирующих, в том числе раковых клеток, которые распознаются ЕКК по отсутствию или даже снижению на их поверхности МНС-антигенов. При этом следует отметить, что роль в запуске активности ЕКК играет не только уровень экспрессии, но и их специфичность. Существуют данные о том, что в организме имеет место своего рода "приспособление" популяции ЕКК к HLA-генотипу. Это приспособление происходит в процессе дифференцировки ЕКК, когда из их популяции элиминируются клетки, рецепторы которых не связываются с антигенами HLA, входящими в генотип организма. Таким образом, исключается возможность повреждения собственных "нормальных" клеток, и активность ЕКК реализуется по отношению к клеткам с потерянной или ослабленной способностью экспрессии антигенов HLA.
Одной из важнейших физиологических функций системы HLA, которая, впрочем, довольно тесно связана и с ее основной (или, возможно, более известной) функцией - контролем иммунного ответа, является ее участие в репродукции человека. Одним из наиболее демонстративных проявлений является роль HLA-совместимости супругов в репродукции.
У человека система HLA создает условия, препятствующие появлению HLA-гомозиготного потомства, и, хотя медицинские мероприятия в ряде случае могут "преодолеть противодействие", в ряде случаев HLA-гомозиготные индивидуумы имеют повышенный риск развития целого ряда патологий.
Также гены главного комплекса гистосовместимости человека играют очень важную роль при пересадке тканей. Шансы на совместимость органа, пересаживаемого от родителя к ребёнку, составляет пятьдесят процентов. Когда органы пересаживаются между братьями и сестрами, вероятность, что антигены окажутся в основной массе одинаковыми, составляет двадцать пять процентов. Трансплантации между HLA-совместимыми братьями и сестрами или родителями и детьми даёт результаты столь же хорошие, как и при пересадке между однояйцевыми близнецами, то есть сто процентов [22].
Полученные данные совпадают с концепцией о том, что система HLA человека как наиболее полиморфная из генетических систем человека играет ведущую роль в обеспечении высокого уровня полиморфизма генома человека в целом.
Разумеется, при этом остается открытым вопрос, может ли система HLA в какой-то степени принимать участие в "предварительном", т.е. до супружества, выборе HLA-идентичных партнеров?
Использование молекулярных методов HLA-генотипирования, позволяющих исследовать HLA-полиморфизм на недоступном ранее уровне и выявлять HLA-гомозиготы без осуществления семейного типирования, возможно, даст ответ на этот вопрос, так как ранее выполненные работы, основанные на серологическом типировании HLA-DR, не смогли дать в этом отношении убедительных результатов.
1.1.4 Роль HLA в реализации иммунного ответа
Представления о строении системы HLA развивались и развиваются в течение всего периода ее изучения, однако, за последние годы произошел качественный скачок в развитии этой проблемы. Раньше, когда основным объектом исследования могли служить только белки-антигены HLA, представления о комплексе генов HLA могли формироваться в основном на анализе косвенных данных. Эти данные включали изучение антигенов HLA в популяциях, в семейном анализе, реакциях, субстратом которых были антигены HLA, и т.д. Теперь благодаря развитию молекулярной генетики и иммунохимии появилась возможность не только проводить тонкий анализ антигенов HLA, но и изучить сами гены HLA. Особенный прогресс в этом направлении произошел после открытия и внедрения в исследования в области изучения системы HLA метода полимеразной цепной реакции (ПЦР), позволяющего анализировать необходимые для исследований участки ДНК, что в свою очередь открывало широкие возможности для быстрого и точного анализа молекулярного полиморфизма HLA [31].
Внедрение в исследования системы HLA молекулярно-генетических методов не только позволило конкретизировать представления о системе HLA, но и значительно расширило представления о ее полиморфизме, что дало возможность более тщательного изучения ее функции. При этом были открыты многие новые аллели классов I, II и III, и общее количество только известных специфичностей HLA классов I и II увеличилось более чем в 6 раз.
В последнее время обнаружено, что антигены MIC-A, расположенные в непосредственной близости от HLA-B, участвуют в активации взаимодействия TcR-молекулы МНС в развитии Т-клеточно-опосредованной цитотоксичности и активности НК-клеток, тем самым, в частности, играя роль в обеспечении противоракового иммунитета.
В классе II основными локусами HLA являются DR, DQ и DP, а также открытые в более позднее время DM, LMP и ТАР. Три последних локуса обеспечивают такие важнейшие функции, как процессинг и экспрессия антигенов HLA на поверхности клеток. Класс III включает в себя гены, кодирующие факторы комплемента, фактор некроза опухолей и некоторые другие.
Физиологическая функция аллелей и кодируемых ими антигенов HLA, относящихся к различным классам HLA, в значительной степени различается. Так, антигены HLA классов I и II принимают участие во взаимодействии между иммунокомпетентными клетками в процессе иммунного ответа. Но антигенам класса I принадлежит также и физиологическая функция обеспечения взаимодействия между всеми другими ядросодержащими клетками организма, вплоть до взаимодействия нейрон-синапс. Тем самым с помощью системы HLA обеспечивается целостное функционирование не только иммунной системы человека, но и организма в целом [30].
Что касается обеспечения развития самого иммунного ответа, то роль антигенов системы HLA здесь первостепенна. Дело в том, что именно молекулы антигенов HLA обеспечивают презентацию, то есть представление иммунодоминантных пептидов, являющихся продуктом внутриклеточного протеолиза чужеродных антигенов, против которых и будет индуцирован, а затем и разовьётся иммунный ответ [19]. Этой функции антигенов системы HLA способствует само строение её молекул, которое, несмотря на выраженное различие в структуре строения молекулы антигенов HLA классов I и II, позволяет образовать на внешнем её конце так называемую пептид-связывающую бороздку, в которой и удерживается представляемый для распознавания пептид.
На рисунке 3 показана принципиальная схема представления пептидов антигенами HLA класса I (справа) и класса II (слева).

Рисунок 3. Схема представления пептидов молекулами HLA.
Общим для антигенов классов I и II является следующее. Антиген-представляющая клетка осуществляет свое специфическое взаимодействие, представляя пептид в контексте собственной HLA-молекулы, идентичной таковой на клетке, воспринимающей информацию. Именно за открытие этого феномена, названного феноменом двойного распознавания, Цинкернагель и Догерти получили Нобелевскую премию. Действительно, этот феномен явился ключевым моментом в понимании основ физиологической регуляции иммунного ответа. В то же время на рисунке 3 видны и существенные различия между взаимодействием, обеспечиваемым в процессе иммунного ответа антигенами HLA классов I и II. Во-первых, антигены HLA класса II обеспечивают взаимодействие антиген-презентирующей клетки с Т-хелпером, а антигены HLA класса I - с Т-эффектором/киллером. Во-вторых, помогают им в этом различные молекулы ко-рецепторы - CD4 для Т-хелперов и CD8 для Т-киллеров. Естественно, что различным явится и эффект этого взаимодействия. Так, распознавание пептидов в контексте молекулы HLA класса II ведет к формированию популяции ТH2 - и ТH3-клеток, одни из которых индуцируют развитие гуморального иммунного ответа, а другие явятся необходимым компонентом в индукции Т-киллеров. Что же касается антигенов гистосовместимости класса I, то Т-киллер, индуцированный против иммунодоминантного пептида, экспрессированного на поверхности клеток-мишеней в контексте антигенов HLA класса I, идентичного таковым, экспрессированным на Т-киллере, уничтожит их. Следует еще раз подчеркнуть, что оба эти важнейших звена "нормального", т.е. физиологического, иммунного ответа строго ограничены HLA-набором каждого конкретного человека.
Большое значение для формирования современных представлений о физиологической роли антигенов HLA имело установление роли "новых" генов HLA DM, LMP (large multifunctional protease) и ТАР. Это в свою очередь позволило конкретизировать представление о реализации функции антигенов HLA. Их функция хорошо видна на рисунке 4.

Рисунок 4. Распознавание комплекса антигенного пептида с молекулами МНС I и II класса рецептором и корецептором Т-лимфоцита.
Молекулы МНС класса I синтезируются в цитозоле клетки, где до появления соответствующего пептида находятся в связи с так называемым тирозин-калретикулиновым комплексом. После связывания с пептидом происходят высвобождение и транспорт молекул HLA на поверхность клеток с участием кодируемых МНС "пептидных насосов" ТАР (от транспортеров, ассоциированных с антигенным процессингом). Функция данных молекул состоит в целом в регуляции размера и специфичности пептидов путем приведения их в "соответствие" со связывающими сайтами молекул МНС класса I.
В отличие от молекулы класса I цепи молекулы МНС класса II синтезируются в эндоплазматическом ретикулуме, откуда после их временного соединения с третьей инвариантной цепью они транспортируются в эндоцитарный компартмент, где они или встречаются и затем связываются с пептидом, или же (если этого не произошло) деградируют в лизосомах. После связи с пептидом, заменяющим инвариантную цепь, молекулы МНС класса II переходят на клеточную мембрану. Вытеснение пептидом инвариантной цепи молекул HLA класса II обеспечивают белки, кодируемые также системой HLA и названные HLA-DM. Эти белки катализируют замену "временного" пептида инвариантной цепи на специфический пептид. Роль антигенов HLA-DM является решающей в презентации экзогенных пептидов молекулами класса II.
В целом следует отметить, что хотя данные о "новых" системах HLA LMP, ТАР и DM являются еще далеко окончательными, уже сейчас ясно, что они выполняют в иммунном ответе важнейшую роль, обеспечивая физиологическую презентацию процессированных пептидов для дальнейшего иммунного ответа.
По-видимому, с нарушениями их функций связаны некоторые формы иммунодефицитных состояний человека, в которых лежит потеря возможности экспрессии HLA на иммунокомпетентных клетках.
Потеря способности к экспрессии молекул HLA на мембранах клеток является также одним из основных патогенетических звеньев развития онкологических заболеваний.
В целом связь между молекулами HLA и пептидами имеет много общего для антигенов HLA классов I и II. Однако и здесь имеются серьезные отличия.
Так, пептид удерживается в связывающей складке молекулы HLA класса I как за счёт связи его N - и С-концов с определённым мотивом "аллель-специфического" участка МНС, так и за счет связи боковых цепей пептида боковыми карманами молекулы МНС. Длины пептидов, связывающихся с молекулой HLA класса I, - 8-10 аминокислот.
Пептиды, связывающиеся с молекулой HLA класса II, более гетерогенны - 9-25 аминокислот. Связывающая бороздка молекул HLA класса II в отличие от класса I "открыта" для связывания с двух сторон, что создает возможность большего полиморфизма в связях HLA + пептид. Более того, в молекуле класса II зоны связывания могут выходить даже за связывающую складку. Всё это даёт возможность "аккомодации" более широкого спектра пептидов к молекулам HLA класса II по сравнению с таковыми класса I.
Переход исследований HLA на молекулярно-генетический уровень позволил по-новому взглянуть на физиологическую функцию системы HLA. Так, молекулы МНС приобретают стабильную форму и соответствующую трехмерную конфигурацию только после того, как в связывающий сайт ее складки встраивается пептид. Только после этого молекула МНС способна мигрировать на поверхность клетки, где она готова выполнить свои функции. Удаление пептида из пептид-связывающей структуры МНС экспрессированной на клеточной мембране, нарушает ее трехмерную конфигурацию лишая возможности функционировать, и ведет к распаду. Комплекс МНС + пептид является чрезвычайно стабильным, очищается и кристаллизуется в единой структуре. Этот комплекс остается на поверхности клетки в течение нескольких недель, что позволяет многим "проходящим" Т-клеткам сканировать представляемый собственной молекулой МНС пептид. Наконец, каждый пептид связывается (и удерживается в складке) с инвариантным участком характерным для каждого из аллелей молекулы МНС и имеющим определенный мотив аминокислотных остатков, участвующий в таком связывании. Таким образом, в связь с конкретным пептидом вовлекаются конкретные же участки антигенов - аллельные варианты молекул МНС, что, по сути, и является основой генетического контроля иммунного ответа. Это положение хорошо иллюстрирует данные о том, что пептид вируса герпеса связывается с гаплотипом HLA DQA1 0501/DQB1 0201, но не HLA DQA1 0201/DQB1 0201. Различие между ними в цепи DQA1 составляет 15 аминокислотных остатков.
Установление этого факта и имеющаяся в настоящее время возможность анализировать аминокислотные последовательности всех аллельных вариантов антигенов HLA, включая участки, определяющие их специфичность, а также структуру пептидов, определяющих специфичность различных чужеродных агентов, включая болезнетворные, позволяет заранее предсказать соответствие тех или иных иммунодоминантных пептидов тем или иным участкам молекулы МНС. Таким образом, можно заранее предсказать генетический ответ или его отсутствие на тот или иной агент.
В свою очередь это даст возможность не только заранее решить вопрос о том, ответит ли данный индивидуум на вакцинацию против того или иного болезнетворного агента, но и предсказать, насколько этот ответ будет физиологичен. Следовательно, позволит прогнозировать возможность развития ряда заболеваний аутоиммунного генеза (например, ревматоидный артрит и инсулин-зависимый сахарный диабет), в генезе которых, возможно, лежит также комплементарность иммунодоминантных пептидов инфекционных агентов конкретным эпитопам аллелей HLA.
1.1.5 Полиморфизм системы HLA и ее этнические различия
Благодаря такому важнейшему свойству системы HLA, как её экстремальный полиморфизм, стала возможна взаимная комплементарность иммунодоминантных сайтов молекул огромного числа различных инфекционных возбудителей и конкретных антигенов гистосовместимости. В свою очередь это явилось эффективным средством сохранения человека как вида в условиях постоянно изменяющегося генетического разнообразия микробного окружения [38].
Таким образом, экстремальный аллельный полиморфизм системы HLA является "мощным механизмом вариабельности и естественного отбора" человека как вида и позволяет ему противостоять постоянно эволюционирующему множеству патогенов. Доказательством этому в историческом плане может служить почти полное вымирание целых народов (в частности, американских индейцев в период открытия Америки), обладающих весьма низким по сравнению с другими этническими группами полиморфизмом системы HLA.
В последние годы стало известно, что полиморфизм системы HLA помимо ранее установленного межрасового и межэтнического различия имеет также и внутриэтнические различия. Эти различия были выявлены при переходе на использование методов молекулярно-генетического HLA-типирования, которое позволяет определять более 2000 аллельных вариантов генов HLA, в то время как типирование, осуществляемое на уровне продуктов генов HLA - антигенов HLA, позволяло выявить всего лишь около 200 специфичностей. Следует также отметить, что молекулярно-генетический уровень генотипирования позволяет сегодня вплотную приблизиться к пониманию генетически обусловленной филологической резистентности человека к определенным заболеваниям на популяционном уровне.
В таблице 1 (приложение) представлены данные по исследованию частоты встречаемости аллельных вариантов гена HLA DRB1*04 в 7 популяционных группах России. Выбор для анализа аллельных вариантов именно данного гена связан с тем, что с отдельными его аллелями HLA DRBl*040l, HLA DRB1*0404 и HLA DRB1*0405 ассоциирована предрасположенность к такому аутоиммунному заболеванию, как инсулин-зависимый сахарный диабет (ИЗСД). В то же время с HLA DRB1*0403 ассоциирована устойчивость к развитию заболеваний. Из представленных в таблице данных видно, что во всех популяциях, за исключением ненцев, высока частота аллеля HLA DRB1*0401, но в 3 из популяций (саамы, тувинцы, ненцы) в отличие от других популяций высока и частота аллеля-протектора (8,38; 5,35 и 7,16 соответственно). И именно в этих популяциях практически отсутствует заболеваемость ИЗСД. Аналогичная ситуация имеет место и в отношении 2 других аллелей - *0404 и *0405; частота первого из них является достаточно высокой у саамов и ненцев (5,33 и 10,14 соответственно), а частота аллеля *0405 повышена у тувинцев (5,75). Таким образом, протективный эффект является превалирующим по отношению к предрасполагающему [3].
Эта же таблица служит наглядным доказательством внутриэтнических различий по распределению аллелей HLA. Так, внутри русской популяции между москвичами и жителями Архангельской области имеются выраженные различия по аллелям HLA DRB1*0401 и *0404. Причем оба аллеля имеют выраженную ассоциацию с предрасположенностью к ИЗСД, частота которого достаточно высока в обеих указанных группах.
Таким образом, ясно, что полиморфизм системы HLA, характерный для каждой конкретной группы населения, оказывает существенное или даже определяющее влияние на биологическую стабильность данной группы.
В последние годы удалось показать, что ассоциированные с HLA показатели иммунного статуса могут различаться в разных этнических группах. Примером этого может быть исследование ассоциаций между отдельными параметрами иммунного статуса и HLA-специфичностями в двух этнических группах - русские (кавказоиды), буряты (ориенты). Данные приведены в таблице 2 (приложения).
Анализ этих данных свидетельствует о целесообразности дальнейшего межэтнического подхода к изучению ассоциированного с HLA качества иммунного ответа. Исследование данной физиологической функции системы HLA, несмотря на то, что оно стало развиваться относительно недавно, является весьма перспективным как в фундаментальном аспекте - в плане установления молекулярных механизмов указанных ассоциаций, так и в практическом, поскольку это направление имеет значение в плане прогноза возможности неблагоприятных воздействий (в том числе техногенных) окружающей среды на представителей различных этнических групп [25].
1.2 Механизмы ассоциации HLA с заболеваниями
Исключительный полиморфизм HLA наводит на мысль о существовании ее как своеобразного механизма защиты от агентов чужеродного, в том числе микробного и вирусного происхождения. Вот почему так интенсивно ведется поиск ассоциаций между HLA-антигенами и болезнями. Ранее были сформулированы гипотезы, объясняющие механизмы возможных ассоциаций HLA-антигенов с заболеваниями: молекулярная мимикрия, рецепторная, модификации вирусами HLA-антигенов, а также связи HLA с другими генами, в частности с генами иммунного ответа. Суть этих гипотез в следующем [10].
Согласно рецепторной теории HLA-антигены могут быть своеобразными рецепторами для патогенных вирусов, на которых они могут фиксироваться и повреждать клетку. Однако многие ученые предполагают, что под генетическим контролем могут находиться различные этапы взаимодействия вируса с клеткой, начиная от проникновения вируса в клетку и его репликацией и заканчивая трансформацией клетки под влиянием вирусного генома.
Некоторые вирусы (например, вирус кори) могут вызывать заболевание практически у любого человека. Эти данные указывают на то, что антигены системы HLA не являются рецепторами для вирусов.
Согласно теории мимикрии, микроорганизмы в процессе эволюции приобретают в структуре своих оболочек детерминанты, сходные с тканевыми антигенами человека. Это ведет к снижению иммунного ответа макроорганизма на тот или иной микроб или вирус, в результате чего они могут беспрепятственно проникать внутрь организма и вызывать патогенное действие.
Если придерживаться теории мимикрии, то можно ожидать доминантного характера наследования генов, ответственных за восприимчивость к болезни. Семейные исследования заболеваний в большинстве случаев подтверждают это. Однако по ряду заболеваний получены другие результаты.
Ученые, придерживающиеся теории модификации антигенов HLA вирусами, предполагают, что вирус при определенных условиях способен модифицировать антигены системы HLA. Это может иметь место при включении вирусного генома на уровне гена HLA или при его действии на РНК. Отмеченное явление может происходить лишь при избирательной локализации вируса в тканях, например, вируса гепатита B в печени. Эту гипотезу пока нельзя отвергнуть, но и доказать не представляется возможным.
Исследованиями, проведенными на мышах, показано, что гены Н-2 системы сцеплены с генами так называемого иммунного ответа - Ir. Гены этой области контролируют способность индивидуума к развитию иммунного ответа на различные искусственные и естественные антигены, причем этот ответ четко коррелировал с Н-2 гаплотипами. Линии мышей с гаплотипом Н-2b оказались способными давать сильный иммунный ответ на искусственный полипептид, а с гаплотипом Н-2k низкий ответ
В связи с полученными данными возникает вопрос, детерминируют ли иммунный ответ сами гены Н-2 или этот зависит от других генов, тесно сцепленных с ними. По мнению J. van Rood именно гены иммунного ответа являются как бы биологическим эквивалентом специфических вакцин.
Можно полагать, что индивидуумы, у которых отсутствуют гены, определяющие резистентность к какому-либо заболеванию, окажутся восприимчивы к нему, и наоборот. Данные, полученные на животных, можно перенести на человека лишь по аналогии, поскольку пока у людей гены иммунного ответа не обнаружены. Правда, имеются свидетельства об их присутствии в организме человека.
Таким образом, приходится констатировать, что ни одна из рассматриваемых теорий не может в полной мере объяснить связь HLA-антигенов с различными заболеваниями. Но есть вероятность, что каждая из предложенных гипотез, вносит свой вклад в восприимчивость к инфекционным заболеваниям.
1.3 Общее представление о туберкулезе и его ассоциация с различными генетическими факторами
Туберкулез или "Белая чума" был преобладающей проблемой здравоохранения в Европе и Америке в 18-м, 19-м и начале 20-го столетия. Значительные усилия были потрачены на решение этой проблемы. С появлением эффективной антибиотикотерапии в 50-х годах 20-го столетия, распространенность заболевания и интерес к нему резко упали. С конца 80-х, однако, начался всплеск заболеваемости туберкулезом в развитых странах наравне с развивающимися странами Восточной Европы, что послужило возрождению исследований туберкулеза и его возбудителя. Многие из вопросов прошлого теперь решаются на молекулярном уровне [8].
Один из основных вопросов, который занимал раньше исследователей, это взаимодействие микобактерий и защитных факторов организма, от которого зависит, будет ли человек заражен и разовьется ли у него туберкулез. Обсуждение причин туберкулеза уходит корнями в древнюю Грецию и Рим. В то время было составлено три различных объяснения заболеванию: наследственные факторы, инфекционный компонент и плохие условия окружающей среды. Гиппократ отдавал предпочтение наследственным факторам, Аристотель и Гален - инфекционному компоненту. Поскольку болезнь была больше распространена среди городской бедноты в быстро растущих городах недавно индустриализованной Европы, социальные реформаторы того времени связывали туберкулез с плохими условиями жизни рабочего класса и отвергали контагеозное объяснение. Хотя в последнее время и отдается предпочтение генетическому компоненту, в действительности же все три объяснения правильны и взаимосвязаны.
В 1882 году Кохом были открыты туберкулезные бациллы, что опровергло теории наследственного возникновения болезни или вследствие нездорового образа жизни низших слоев. Но некоторые аспекты эпидемиологии туберкулеза так и не были объяснены, так как выяснилось, что есть индивидуальные различия в восприимчивости: не все, подвергшиеся атаке микобактерий становятся инфицированными; даже когда инфекция может быть продемонстрирована с помощью положительной туберкулиновой пробы, приблизительно у одного из десяти зараженных людей развиваются симптомы болезни; течение болезни изменяется у различных людей (до антибиотикотерапии некоторые умирали от "скоротечного туберкулеза", в то время как другие выздоравливали или жили относительно долго с признаками хронического туберкулеза; у некоторых же болезнь развивалась лишь спустя годы после инфицирования). Без лечения туберкулез является фатальным для половины пациентов, у которых развились симптомы [16].
Поскольку туберкулез больше распространен в отдельных семьях и расовых или этнических группах, наследственная теория восприимчивости была наиболее вероятна, но требовала экспериментальных доказательств и имела трудности в устранении влияния компонента окружающей среды. В 1912 году статистик Карл Пирсон, пытаясь продемонстрировать расовые различия в восприимчивости к туберкулезу, задался вопросом о том, имеют ли люди, живущие в одинаковых условиях одинаковый шанс развития туберкулеза вне зависимости от их расы.
В наше время туберкулез является проблемой мирового масштаба. По данным Всемирной организации здравоохранения на 2008 год более двух миллиардов человек, то есть приблизительно треть населения Земли, инфицирована микобактериями. 1,7 миллионов человек умерла от туберкулеза в 2006 году, из которых 231 000 ВИЧ-инфицированных. Это приблизительно 4500 смертей ежедневно. В 2006 году было зарегистрировано 9,2 миллиона новых случаев туберкулеза, включая 709 000 среди ВИЧ-инфицированных [44].
В России ежегодно инфицируется более 9 тыс. детей (что на порядок выше, чем в других развитых странах), а число больных в 1997 г. по сравнению с 1991 г. выросло в 2,5 раза [12].
1.3.1 Иммунный ответ при туберкулезе
Клинические признаки туберкулеза проявляются только у 10% инфицированных. В настоящее время стало понятно, что развитие инфекции М. tuberculosis и клинический туберкулез обусловлены сложным взаимодействием между биологическими свойствами самого инфекционного агента, средовыми факторами и физиологической индивидуальностью человека [33].
У большинства людей сразу же после инфицирования микобактериями развивается эффективный иммунный ответ, ограничивающий распространение агента. Менее 10% инфицированных, у которых развивается заболевание, имеют идентифицируемые факторы риска, такие как диабет, СПИД, пожилой возраст и т.д. У остальных заболевших развитие туберкулёза, по-видимому, обусловлено комплексным взаимодействием генетических и средовых факторов [15].
Основная протективная роль в иммунном ответе, направленном против внутриклеточных микобактерий туберкулеза принадлежит клеточным механизмам. Способность микобактерий переживать и размножаться внутри клеток делает их защищенными от действия антител и системы комплемента. Резистентность к антимикробным факторам макрофагов позволяет им длительно переживать внутри этих клеток. Для элиминации их из организма необходим специфический клеточно-опосредованный ответ. Специфичность его определяется антиген-распознающими CD8+ Т-лимфоцитами, которые пролиферируют, активируются и формируют клон эффекторных цитотоксических лимфоцитов [1].
Решающий момент специфического иммунного ответа - это ответ CD4 - T-лимфоцитов хелперов на распознавание антигена. На этом этапе определяется форма иммунного ответа: с преобладанием антител (гуморального) или с преобладание клеточных реакций (гиперчувствительности замедленного типа). Направление дифференцировки CD4 лимфоцитов, от которого зависит форма специфического иммунного ответа, контролируется цитокинами, образующимися в ходе воспалительной реакции. Так, в присутствии интерлейкина-12 и ИФ-γ CD4-лимфоциты дифференцируются в воспалительные Th1-клетки, начинают продуцировать и секретировать ИЛ-2, ИФ-γ, ТНФ, и определяют клеточный характер специфического иммунного ответа. Присутствие ИЛ-12 обеспечивается его продукцией макрофагами, а ИФ-γ - естественными киллерами, активированными в раннюю фазу на внутриклеточно паразитирующие микобактерии [4].
В течение 2-8 недель после первичного инфицирования, пока микобактерии продолжают размножаться внутри макрофагов, в организме человека развивается опосредованная Т-клетками ГЗТ. Иммунокомпетентные лимфоциты поступают в зону проникновения возбудителя, где они секретируют такие хемотаксические факторы, как интерлейкины и лимфокины. В ответ на это сюда же мигрируют моноциты и трансформируются в макрофаги, а затем - в гистиоцитарные клетки (макрофаги in situ), позднее организующиеся в гранулёмы [9]. Микобактерии могут персистировать в макрофагах многие годы, несмотря на усиленный синтез лизоцима этими клетками, однако дальнейшее размножение и распространение первичной инфекции ограничивается именно фагоцитозом.
1.3.2 Генетические факторы предрасположенности и устойчивости к туберкулезу
Понимание важной роли генетических факторов в развитии туберкулеза пришло в первую очередь из эпидемиологических и близнецовых исследований. Так, в нескольких работах было показано, что степень устойчивости к инфекции М. tuberculosis у человека коррелирует с регионом его происхождения - предки более предрасположенных к заболеванию индивидов чаще всего происходили из областей, где туберкулез не распространен. Кроме того, частота клинического туберкулеза особенно высока во время эпидемий в популяциях, ранее не встречавшихся с данной инфекцией, в частности, у американских и канадских индейцев [17]. С середины 80-х годов было проведено множество исследований, пытающихся идентифицировать гены предрасположенности к туберкулезу или доказать уже опубликованные ассоциации. Многие из недавно проведенных исследований (Bellamy 2005, Bellamy 2006, Fernando 2006, Hill 2006, Ottenhoff 2005, Remus 2003) противоречат друг другу, и трудно прийти к единому заключению.
Исследования близнецов показали более высокий уровень конкордантности по клиническому туберкулезу у монозиготных пар по сравнению с дизиготными.
Дальнейшие исследования, проведенные на экспериментальных животных моделях, существенно дополнили имеющуюся информацию о генетических факторах предрасположенности к заболеванию. Исследования на мышах показали, что восприимчивость к инфекции такими родственными М. tuberculosis агентами как M. bovis (BCG), M. lepraemurium, M. intracellulare и М. avium, а также двумя немикобактериальными видами Salmonella typhimurium и Leishmania donovani, контролируется одним геном, локализованным в проксимальном регионе мышиной хромосомы 1. Ген получил три альтернативных названия Lsh, Ity и Bcg. У мышей предрасположенность к инфекции, контролируемая этим геном, является рецессивным признаком по сравнению с устойчивостью. Показано, что ген Lsh/lty/Bcg важен для активации макрофагов ретикулоэндотелиальной системы.
Ген Bcg был изолирован у мышей методом позиционного клонирования в 1993 г. и получил название Nramp (natural-resistance associated macrophage protein; сейчас называется Nramp 1 в связи с открытием гомолога Nramp 2). Анализ последовательности Nramp 1 у 27 инбредных линий мышей показал, что чувствительность к микобактериальной инфекции ассоциирована с миссенс мутацией, приводящей к замене глицина на аспарагиновую кислоту во втором трансмембранном домене белка.
В 1994 г. был клонирован гомолог гена Nramp 1 у человека, названный NRAMP1. Он локализован в локусе 2q35 и содержит 16 экзонов (Cellier 1994). Вклад данного гена в предрасположенность к туберкулезу у человека активно дискутируется. Опубликованы доказательства сцепления региона 2q35 с заболеванием у бразильцев и канадцев. Показано, что данный локус отвечает за скорость прогрессирования заболевания, а не за восприимчивость к инфекции. Кроме того, установлено, что NRAMP1 ассоциирован с проказой и результатами реакции Матсуда (аналог туберкулиновой пробы для проказы) у вьетнамцев. Это свидетельствует о том, что данный ген включен также в контроль инфекции близкородственной М. tuberculosis бактерии М. leprae.
Функция Nramp1 у мышей и NRAMP1 у человека пока неизвестна. Белок Nramp1 у мышей локализован в эндоцитозных компартментах и после фагоцитоза накапливается на мембранах фаголизосом. Эти данные свидетельствуют о том, что Nramp1 может ограничивать воспроизводство внутриклеточных патогенов, изменяя фаголизосомальное содержимое. Родственный ген - Nramp2 контролирует уровень ионов железа, а дрожжевой гомологичный ген SMF1 регулирует концентрацию ионов марганца. Таким образом, возможная функция белка Nrampl состоит в регуляции содержания ионов железа, марганца и других дивалентных катионов в фагосомах.
По данным многих исследований человеческий ген NRAMP1 не вносит существенного вклада в общую подверженность к туберкулезу. Однако его полиморфизм участвует в формировании отличий в подверженности к заболеванию туберкулезом у неинфицированных ранее лиц, а также оказывает влияние на течение уже возникшего заболевания.
Показано, что с туберкулезом связаны три точечные замены в гене белка, связывающего маннозу (MBL). Причем частота этих вариантов была достаточно высока как у европеоидов, так и у африканцев и австралийских аборигенов.
В последнее время получены доказательства связи туберкулеза с полиморфизмом гена рецептора к витамину D (VDR). Показаны ассоциации с туберкулезом полиморфизма генов, кодирующих интерлейкин-1β (IL1B) и его рецепторный антагонист (IL1RA). Ведутся исследования также и других генов, рассматриваемых как кандидаты на роль генов предрасположенности к туберкулезу, исходя из их функции (NOS2, TLR, NAT2, GST и др.).
Также многие исследования направлены на изучение ассоциаций иммуногенетической системы HLA с предрасположенностью к различным инфекциям. Доказано, что аллели HLA ассоциированы с восприимчивостью к таким инфекционным заболеванием, как сложная малярия, с прогрессированием ВИЧ, гепатитов B и C [24]. Исследования HLA также показали ассоциацию HLA-DR2 с лепрой или типами лепры - туберкулоидной или лепроматозной - в семейных и исследованиях типа "случай-контроль" в азиатских, африканских и американских популяциях (Geluk 2006). Многие исследователи искали ассоциации определенных аллелей HLA с восприимчивостью к туберкулезу.
Ранние исследования доказали ассоциации аллелей HLA I класса с восприимчивостью к туберкулезу, хотя было несколько проблем: найденные аллели варьировались в различных исследованиях; исследования, проведенные до начала 90-х годов, были выполнены с помощью лимфоцитотоксического метода, вероятность ошибки которого по сравнению с методом ПЦР составляет около 25% (Rajalingam 1996); не были проведены исправления для многократного исследования (Bland 1995).
Недавно был проведен мета-анализ (Kettaneh 2006), исследующий ранее определенные ассоциации HLA с восприимчивостью к туберкулезу преимущественно у взрослых людей серологическим методом. Мета-анализ показал, что не было никакой существенной ассоциации антигенов HLA I класса (А и C локусов) с предрасположенностью к туберкулезу, но был защитный эффект аллели HLA B13 (OR 0,64; 95% CI 0,50-0,81; P=0,0001). Для II класса локуса DR низкий риск развития туберкулеза был найден у людей, несущих DR3 (OR 0,72; 95% CI 0,59-0,89; P=0,002), DR7 (OR 0,65; 95% CI 0,53-0,80; P<0,0001); высокий риск развития туберкулеза был связан с DR8 (OR 1,72; 95% CI 1,21-2,46; P=0,003). Результаты для DR2 были противоречивыми (OR 1,67; 95% CI 1,16-2,41; P=0,006) (Kettaneh 2006). Мета-анализ очень полезен для исследования ранней литературы о HLA, он подвергает сомнению законность различных ассоциаций, так как не использовался более точный метод для идентификации аллелей HLA - полимеразная цепная реакция.
Ассоциации с аллелями HLA-B13, DR3, DR7 и DR8 в последнее время не получили большого распространения, а пограничная ассоциация с аллелем DR2 требует дальнейшего исследования. Об ассоциации с HLA-DR2 сообщалось в некоторых исследованиях на азиатских популяциях, главным образом от группы исследователей из Нью-Дели. В 1983 году два исследования из Нью-Дели сообщили об ассоциации между DR2 и прогрессированием туберкулеза (Singh 1983, Singh 1983). Исследование методом случай-контроль затем сравнило пациентов с мокротоположительным туберкулезом из Северной Индии с контролем, совпадающим по возрасту, полу и социоэкономическому статусу. Различия в распределении DR2 между пациентами и контролем были несущественными после коррекции в соответствии с числом тестированных антигенов, OR было равно 1,6 (Bothamley 1989). Во время семейного исследования распределения гаплотипов HLA I и II классов в 25 семьях при использовании метода Weitkamp была обнаружена значительно искаженная передача DR2 от родителей с туберкулезом к потомкам с туберкулезом (Weitkamp 1981). Поскольку семейные исследования имеют меньшую выборку, они обладают меньшей статистической достоверностью, чем исследования методом случай-контроль, и для получения надежных данных необходимо минимум 100-200 семей.
Исследования методом случай-контроль в индонезийской популяции показало ассоциацию туберкулеза с HLA-DR2 и DQw1 (Bothamley 1989), но было не ясно, являлись ли контрольные пациенты местными жителями или нет. А также исследование проводилось лимфоцитотоксическим методом, который подвержен ошибкам.
Российские исследования были направлены на изучение различных аллелей HLA у пациентов с туберкулезом в шести этнических группах (Хоменко 1990). В этих этнических группах были найдены разные ассоциации с туберкулезом, но в пяти из них была найдена четкая ассоциация HLA-DR2 с высоким риском развития туберкулеза и протективный эффект аллеля DR3.
Об ассоциации с DR2 также сообщалось и у тувинских детей (Поспелов 1996). Также сообщалось об увеличении частоты HLA-DR2 и DRw53 у детей с туберкулезом по сравнению со здоровыми детьми, но не по сравнению с детьми с другими хроническими болезнями легких. После коррекции Бонферрони существенной оставалась лишь ассоциация с DRw53.
При использовании более точного метода ПЦР для идентификации одиннадцати подтипов HLA-DR2 (Mehra 1995) была отмечена относительно высокая частота встречаемости DRB1*1501 у пациентов с туберкулезом по сравнению с контролем (р<0,05); в последующем сообщалось о том, что в той же группе была обнаружена относительно высокая частота встречаемости DR2 у пациентов с туберкулезом (Rajalingam 1996) по сравнению с контролем (Pc = 0,029, RR=1,8) и более сильная ассоциация при отсутствии лечения с обширным туберкулезом (Pc = 0.0001), но никакой ассоциации с определенным подтипом DR. Недавние исследования сообщают об ассоциации HLA-DRB1*1501 с туберкулезом в Индии (Sriram 2001) и Мексике (OR~8) (Teran-Escandon 1999), и более быстрым началом болезни, вызванной M. avium, у американских пациентов с ВИЧ (LeBlanc 2000). Ассоциация HLA-DR2 с легочным туберкулезом не была найдена в исследовании методом случай-контроль в Южной Индии (Sanjeevi 1992), у афро-американцев (Hwang 1985), в Гонконге (Hawkins 1988), Египте (Hafez 1985), Мексике и Америке (Cox 1988), Камбоджи (Goldfeld 1998) и семейном анализе Северной Бразилии (Blackwell 1998). Трудно собрать всю информацию об ассоциациях с HLA-DR2 и DRB1*1501 воедино. Различия могли быть связаны с этнической картиной, многократностью исследований или самим проектом исследования.
В отличие от сомнительных ассоциаций с DR2 в сельской Камбоджи (Goldfeld 1998) была найдена четкая ассоциация HLA-DQB1*0503 с туберкулезом (р=0,005), ассоциаций с аллелями DR2 и TNF-α обнаружено не было. Исследование было проведено в двух стадиях с отдельными группами пациентов. Во время первой стадии исследования было проверено большое количество аллелей, но ассоциации была обнаружена только с HLA-DRB1*0503. Во время второй стадии исследования проверялся только этот подтип HLA. Кроме того, контролем служили пациенты того же госпиталя, только с незначительными болезнями, поэтому они, скорее всего, являлись представителями той же популяции. Поскольку в данной популяции туберкулез широко распространен, аллель DQ связан не с восприимчивостью к инфекции, а с развитием клинических стадий болезни (Goldfeld 1998).
Ассоциация специфической аллели HLA-DQB1*503 с прогрессивным туберкулезом особенно интересна в связи с тем, что DQB1*503 аллель кодирует изменения в аминокислотной позиции 57 β-цепочки (β57), которая влияет на связывание антигена в кармане Р9 молекулы DQ.
DQB1*503 аллель, которая является частью DQ1 серологической специфичности, кодирует отрицательно заряженную аспарагиновую кислоту в β57 вместо обычной незаряженной и гидрофобной аминокислоты валина. МНС-ограниченная презентация пептидов макрофагами, инфицированными микобактериями может быть изменена у пациентов, которые экспрессируют этот специфический Р9 карман. Отрицательно заряженный Р9-связывающий карман может связывать антигены туберкулезных бактерий менее эффективно или выявляется слабый иммуногенетический ответ.
В последующих исследованиях прогрессирование туберкулеза было связано с гомозиготностью других аллелей HLA-DQB с аспарагиновой кислотой в позиции 57: DQB1*0301, 0303; DQB1*04 (-0401, 0402); DQB1*0503; DQB1*0601,-0602,-0603. По сравнению с аллелью HLA β 57-Ala презентация пептида ESAT-6 HLA β 57-Asp приводит к меньшей продукции IFN-γ CD4+ т-клетками у пациентов с туберкулезом (Delgado 2006).41 аллель HLA-DQB1*0503 был найден среди пациентов с туберкулезом, но аллель не был найден ни у одного из 107 туберкулин-положительных контрольных людей. Этот аллель не ассоциирован с туберкулезом в других популяциях, поэтому считается специфичным для жителей Камбоджи. Однако исследование пациентов в вендской популяции в Южной Африке (Lombard 2006) показало ассоциацию туберкулеза с другими β 57-Asp гаплотипами, идентифицированными в исследовании на пациентах из Камбоджи, DRB1*1302-DQB1*0602, DRB1*1302-DQB1*0603, DRB1*1101-1121-DQB1*0301-0304 и DRB1*1101-1121-DQB1*05. Семь других исследований также доказали ассоциации некоторых из этих гаплотипов с восприимчивостью к туберкулезу (Dubaniewicz 2000, Dubaniewicz 2005, Goldfeld 1998, Kim 2005, Pospelova 2005, Teran-Escandon 1999, Wang 2001), тогда как три других исследования показали защитный эффект гаплотипов (Dubaniewicz 2005, Vejbaesya 2002, Wang 2001).
Было предположено (Lombard 2006), что данные гаплотипы, увеличивающие восприимчивость к туберкулезу, поддерживаются в популяциях, так как часть этих аллелей имеет защитный эффект против малярии (DRB1*1302-DQB1*0501) (Hill 1991), хронического гепатита B (HLA-DRB1*1302) (Thursz 1995) (Hill 2001, Wang 2003) и хронического гепатита C (DRB1*1101 и DQB1*0301) (Hong 2005) [39]. Возможно, что гетерозиготность по этим аллелям HLA может иметь защитный эффект против малярии, туберкулеза и хронических гепатитов для африканских популяций. Наоборот, хотя аллель HLA-DQ β-57-Asp и ассоциирован с восприимчивостью к туберкулезу, он также является протективным для аутоиммунного диабета 1 типа. Поэтому у европейцев, имеющих аллель HLA-DQ β-57-Ala (HLA-DQ2 и - DQ8) вместе с устойчивостью к туберкулезу имеется и восприимчивость к развитию аутоиммунного диабета 1 типа (Delgado 2006).
Молекулярные основы предрасположенности к туберкулезу пока изучены недостаточно. Связь исследованных аллельных вариантов с заболеванием и их клинические проявления слишком слабы, их роль в функциональных нарушениях обоснована недостоверно. Таким образом, молекулярные основы генетического контроля предрасположенности к туберкулезу в больших популяциях остаются пока достаточно туманными.
Вместе с тем существуют четкие причинно-следственные отношения между редкими менделирующими иммунодефицитами по Т-клеткам или фагоцитам и тяжелыми формами туберкулеза. Пациенты с такими заболеваниями в значительной степени чувствительны к инфекции не только M. tuberculosis, но и другими микроорганизмами. Недавно был описан и исследован менделирующий синдром восприимчивости к микобактериалыюй инфекции (OMIM - 209950). Люди с этим синдромом исключительно чувствительны не только к патогенным штаммам, но и к слабовирулентным видам микобактерий, таким как свободноживущие нетуберкулезные формы и BCG. При исследовании этого синдрома обнаружены мутации в генах, связанных с противоинфекционным иммунитетом: IFNG, IFGR1, - 2, TNFA, IL12B, IL12RB1 (интерферон-гамма, два его рецептора, фактор некроза опухолей альфа, ИЛ-12 и бета-1 субъединица его рецептора) (Altare 1998).
На основании имеющихся на сегодняшний день данных сформулировано предположение о непрерывном спектре генетического контроля предрасположенности к туберкулезу у человека: моногенные формы - варианты с эффектом главного гена; олигогенные формы - полигенная подверженность. Может привести к успеху изучение редких менделирующих дефектов иммунитета у отдельных пациентов с тяжелыми нераспространенными клиническими фенотипами, ведущих эффектов в отдельных семьях и в популяциях, лишь недавно столкнувшихся с микобактериальной инфекцией, а также широко распространенных полиморфизмов в популяциях с длительной историей экспозиции М. tuberculosis. Возможно, на всех трех уровнях генетического контроля участвует один ген, имеющий редкие мутации, ответственные за менделирующие тяжёлые фенотипы, относительно редкие варианты, обусловливающие основной эффект, и распространенные в популяциях полиморфизмы, в умеренной степени определяющие риск развития заболевания. Поиск такого гена (генов) - на сегодняшний день актуальная задача. Кроме того, важным представляется изучение функционального полиморфизма известных генов-кандидатов туберкулеза в популяциях различного этнического состава с разной частотой заболевания.
1.4 Ассоциация HLA II класса с микобактериозами в русской популяции
Группой ученых во главе с Л.В. Сароянц, М.Н. Болдыревой, И.А. Гуськовой было исследовано распределение частот аллелей локусов HLA II класса (DRB1, DQA1, DQB1) и гаплотипов у 113 больных лепрой и 51 больного туберкулезом легких русской национальности, проживающих в Астраханской области. Установлено достоверное повышение частоты встречаемости гаплотипа DRB1-16-DQA1-0102-DQB1-0502/04 при лепре и туберкулезе. Риск возникновения туберкулеза легких ассоциировался с наличием в генотипе гаплотипа DRB1-17-DQA1-0501-DQB1-0201. На основании полученных результатов сделан вывод, что присутствие специфических аллелей генов HLA II класса и их гаплотипов при указанных заболеваниях свидетельствует об их участии в патогенезе данных микобактериозов.
Тяжесть микобактериальных заболеваний скорее связана с Т-клеточным ответом на Mycobacterium leprae и Mycobacterium tuberculosis, чем с непосредственным воздействием бактерий. Поскольку молекулы HLA являются продуктами генов иммунного ответа, значительный полиморфизм в этих генах, возможно, ведет к различиям в восприимчивости и (или) устойчивости к инфекции.
Верификация генетических факторов, обусловливающих предрасположенность или устойчивость к лепре и туберкулезу, имеет большое значение для формирования групп лиц с повышенным риском развития этих заболеваний, что особенно актуально для эндемичных по данным инфекциям регионов. Успехи последних десятилетий в молекулярной генетике позволили перейти на новый уровень прогноза развития указанных болезней.
У больных туберкулезом и у больных лепрой установлена положительная ассоциация с HLA-DRB1-16-специфичностью. В то же, время повышение частоты встречаемости DRB1-17, DQB1-0201 и - 0303 характерно для больных туберкулезом, а DRB1-15, DQA1-0102 - для больных лепрой. У больных туберкулезом установлена отрицательная ассоциация с аллелем DQB1-0301 (таблица 3).
При анализе распределения частот гаплотипов обнаружено достоверное увеличение частоты встречаемости гаплотипа DRBl-16-DQA1-0102-DQB1-0502/04 (р < 0,05) в обеих группах больных.
Кроме того, у больных туберкулезом достоверней чаще по сравнению как с контролем, так и с больными лепрой встречался гаплотип DRB1-17-DQA1-0501-DQB1-0201 (р < 0,01); RR = 3,5. У больных лепрой и туберкулезом с низкой частотой определялся гаплотип DRB1-11-DQA1-0501-DQB1-0301 (таблица 4), однако статистически значимыми различия были только у больных лепрой (р < 0,05).
Таким образом, полученные результаты подтверждают вовлеченность в процессы возникновения и развития лепры и туберкулеза генетических факторов, ассоциированных с аллелями DRB1, DQA1 и DQB1 комплекса HLA. В последние годы стало известно, что полиморфизм системы HLA характерен для каждой конкретной группы населения, что оказывает определяющее влияние на биологическую стабильность данной группы.
Молекула МНС приобретает стабильную форму и соответствующую трехмерную конфигурацию только после того, как в связывающий сайт ее складки встраивается пептид. Пептидное связывание и последующий запуск иммунных реакции решающим образом зависят от аллельных вариантов молекулы HLA. Анализ последовательностей показал, что по одному аминокислотному варианту можно различать продукты DRB1-1501 от DRB1-1502 и DRB1-1601 от DRB1-1602. Можно полагать, что специфичность DRB1-16 или ее аллельные варианты избирательно нацелены на презентацию общих патогенных пептидов Mycobacterium leprae и Mycobacterium tuberculosis Т-клеткам. В то же время выявление DRB1-17-специфичности у больных туберкулезом, вероятно, свидетельствует о наличии патогенных мотивов у HLA-аллеля, стимулирующего Т-клеточные клоны, которые приводят к формированию ответной иммунной реакции, обусловливающей патогенез данного заболевания. Гаплотип DRB1-16-DQA1-0102-DQB1-0502/04 имеет низкую частоту встречаемости во многих популяциях. Так, у здоровых индусов он находится в пределах 4-5% с повышением, хотя и недостоверным (возможно, из-за малого числа наблюдений), у больных лепрой и туберкулезом. В русской популяции эти различия оказались статистически значимыми. Весьма вероятно, что пептиды, принадлежащие Mycobacterium leprae и Mycobacterium tuberculosis, связываются с конкретными эпитопами аллельных вариантов HLA-DRB1-генов и стимулируют Т-клеточные клоны, которые приводят к запуску иммунных ответных реакций, лежащих в основе патогенеза указанных микобактериозов. Возможно, ассоциации с DRB1-16-специфичностью или с ее аллельными вариантами свидетельствуют о предрасположенности к микобактериозам, наличие же в генотипе человека DRB1-17-специфичности (особенно гаплотипа DRB1-17-DQA1-0501-DQB1-0201) увеличивает риск развития туберкулезной инфекции в русской популяции.
Установление молекулярных механизмов распознавания антигенов является необходимой базой для дальнейшей коррекции силы иммунного ответа индивидуума в отношении любого антигенного воздействия. Прогресс на этом пути очевиден, так как уже сейчас показано, что замена всего лишь единственной аминокислоты в последовательности антигенсвязывающего участка молекулы гистосовместимости может приводить к развитию толерантности. Такого рода подходы открывают новые перспективы в борьбе с различными заболеваниями, в том числе с туберкулезом и лепрой.
II. Собственные исследования
2.1 Материалы и методы исследования
2.1.1 Контингент обследуемых лиц
Иммуногенетическое типирование проводилось среди русской этнической группы, постоянно проживающей в Челябинской области. Исследование включает 51 больного туберкулезом, находящегося на стационарном лечении в ГУЗ "Противотуберкулезный диспансер № 3", представителей социально благополучных слоев населения, имеющих родственников русской национальности в трех поколениях. Группу сравнения составили 202 случайно выбранных донора Областной станции переливания крови (г. Челябинск) русской национальности.
2.1.2 Иммуногенетическое типирование
Работа выполнена на базе зональной лаборатории иммуногенетического типирования тканей ОГУП "Челябинской областной станции переливания крови" г. Челябинск.
Генотипирование проводилось методом полимеразной цепной реакции с аллель специфическими праймерами (PCR-SSP) с помощью наборов реагентов, предложенных "НФП ДНК-Технология" (Москва). Идентификацию аллелей HLA II класса проводили методом амплификации с использованием 19 смесей праймеров для DRB1 локуса, 26 для DQB1 локуса и 12 смесей праймеров для DQA1 локуса. Для ПЦР использовался термоциклер МС-2 ("ДНК-технология", Москва, Россия).
Постановка реакции:
Для постановки используется ДНК, выделенная из венозной крови по стандартной методике (разрушение клеток и экстракция ДНК) путем последовательной обработки клеток лизирующим буфером.
В каждую пробирку, содержащую ДНК-pol, дезоксинуклеозид-трифосфаты, хлорид магния, оптимизированную буферную систему для ПЦР вносится по 10 мкл ПЦР растворителя.
Растворенная смесь с помощью автоматического дозатора раскапывается в пробирки по 5 мкл.
В каждую пробирку под масло добавляется по 2,5 мкл определенного праймера и 2,5 мкл раствора выделенной ДНК.
Для проведения амплификации используются последовательно связанные программы, приведенные для амплификатора типа МС-2, запрограммированного на объем 10 мкл. Обычно при проведении ПЦР выполняется 20-35 циклов, каждый из которых состоит из трех стадий: денатурации, отжига и элонгации.
Детекция результатов проводится с помощью гельэлектрофореза в 3% агарозном геле. Для этого в готовые пластины геля в лунки вносится по 5 мкл пробы. Затем пластинка помещается в ванночку и проводится электрофорез в течение 10 мин.
Учет результатов проводится визуально с помощью трансиллюминатора. При этом агарозный гель достается из кюветы и помещается на стекло трансиллюминатора. Продукты реакции амплификации выглядят в виде светящихся полос, наблюдаемых визуально в УФ-свете трансиллюминатора. Результаты фиксируются посредством фотографирования или видеосъемки геля при использовании УФ-фильтров и заносятся в протокол [28].
2.1.3 Методы статистической обработки
В плане наследования антигенов гистосовместимости человеческая популяция является панмиктической и подчиняется закону Харди - Вайнберга, выражающейся формулой наследования для системы с двумя признаками:
p2 + 2рq + q2 = 1,которая отражает количество гомо - и гетерозиготных по соответствующему гену индивидов в выборке.
Часть антигенов рассчитывается как процентное (долевое) соотношение индивидуумов, несущих антигены к общему числу обследованных, а частота гена по указанной выше формуле после ее преобразования:
p2x + 2px (1 - px) + (1 - px) 2 = 1; но так как,
p2x + 2px (1 - px) = Ax,
1 - px =
и
px = 1 -
,
где Px - частота гена;
Аx - частота антигена.
Определенная по формуле частота гена должна быть проверена путем сравнения наблюдаемого в выборке распределения гомо - и гетерозиготных индивидуумов с теоретически рассчитанной в соответствии с законом Харди-Вайнберга.
Достоверность различий в частоте встречаемости антигенов у больных туберкулезом и здоровых людей русской национальности, проживающих в Челябинской области, рассчитывается согласно критерию Пирсона:
,
где N - это число обследованных в двух сравниваемых группах;
а - число индивидуумов несущих исследуемый антиген среди больных туберкулезом;
в - число индивидуумов не несущих исследуемый антиген среди больных туберкулезом;
с - число индивидуумов несущих исследуемый антиген среди здоровых русских;
d - число индивидуумов, не несущих исследуемый антиген среди здоровых русских.
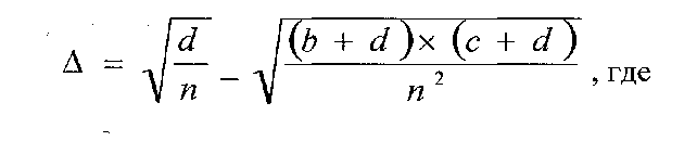
Важным элементом популяционного анализа являются гаметные ассоциации, которые учитывают разницу в теоретически определенной ассоциации между 2-я антигенами разных локусов и истинной ассоциацией, встречающейся в популяции. К необходимости введения данного показателя приводит рассуждение: если бы аллели исследуемых локусов встречались независимо друг от друга, часть их ассоциаций на хромосоме (гаплотип) определялась бы произведением Р1×Р2, где Р1 и Р2 - частота соответствующих генов. Однако в популяции частота отдельных аллелей встречаются более часто или наоборот, более редко, чем это следует из теоретического расчета, то есть данные гены находятся в состоянии неравновесного сцепления (linkage disequilibrium), которое измеряется величиной Δ, отражающее превышение или дефицит гаплотипа в популяции по сравнению с произведением частот двух генов.
Величина Δ подсчитывается из ''сетки'' 2×2 по формуле (P. Mattiusi 1970г)

n - число обследованных в выборке
b - число индивидуумов несущих X и не несущих Y
с - число индивидуумов несущих Y, но не несущих X
d - число индивидуумов не несущих ни X ни Y.
Приведенная формула входит составной частью в формулу, используемую для определения частоты гаплотипа в панмиктической популяции
H >XY> = (P>X> × P>Y>) + Δ >X,Y>,
где Р>X> и Р>Y> - равны частоте соответствующих генов
Δ>X,Y> - гаметная ассоциация между генами соответствующими генами.
Для определения частоты трехлокусных гаплотипов методом максимального правдоподобия (maximum-liekelihood) использовалась компьютерная программа "Арлекин", версия 3.1
2.2 Результаты собственных исследований
2.2.1 Анализ распределения частот генов и антигенов HLA II класса у больных туберкулезом представителей русской национальности, проживающих в Челябинской области
В результате проведенного исследования были выявлены основные черты иммуногенетического профиля HLA локусов DR, DQB, DQA у больных туберкулезом русской национальности (рисунок 6, приложения). Анализ распределения аллелей данных локусов представлен в таблице 5.
Таблица 5. Распределение частот генов и антигенов HLA II класса
у больных туберкулезом
|
HLA |
Больные туберкулезом |
||
|
N = 51 |
Ax% |
Рx% |
|
|
DR 1 |
14 |
27,45 |
0,15 |
|
DR 3 |
8 |
15,69 |
0,08 |
|
DR 4 |
12 |
23,53 |
0,13 |
|
DR 7 |
15 |
29,41 |
0,16 |
|
DR 8 |
3 |
5,88 |
0,03 |
|
DR 9 |
2 |
3,92 |
0,02 |
|
DR 10 |
0 |
0 |
0,00 |
|
DR 11 |
9 |
17,65 |
0,09 |
|
DR 12 |
1 |
1,96 |
0,01 |
|
DR 13 |
11 |
21,57 |
0,11 |
|
DR 14 |
2 |
3,92 |
0,02 |
|
DR 15 |
12 |
23,53 |
0,13 |
|
DR 16 |
7 |
13,73 |
0,07 |
|
DQA 101 |
16 |
31,38 |
0,17 |
|
DQA 102 |
19 |
37,25 |
0,21 |
|
DQA 103 |
8 |
15,67 |
0,08 |
|
DQA 201 |
15 |
29,41 |
0,16 |
|
DQA 301 |
14 |
27,45 |
0,15 |
|
DQA 401 |
3 |
5,88 |
0,03 |
|
DQA 501 |
20 |
39,21 |
0,22 |
|
DQA 601 |
0 |
0 |
0,00 |
|
DQB 201 |
20 |
39,22 |
0,22 |
|
DQB 301 |
15 |
29,41 |
0,16 |
|
DQB 302 |
9 |
17,65 |
0,09 |
|
DQB 303 |
4 |
7,84 |
0,04 |
|
DQB 401/2 |
3 |
5,88 |
0,03 |
|
DQB 501 |
13 |
25,49 |
0,14 |
|
DQB 502/4 |
7 |
13,73 |
0,07 |
|
DQB 503 |
2 |
3,92 |
0,02 |
|
DQB 602/8 |
19 |
37,25 |
0,21 |
|
DQB 601 |
1 |
1,96 |
0,01 |
Как видно из таблицы, для больных туберкулезом характерна относительно высокая частота антигенов DR 1 (27,45%), DR 7 (29,41%). С низкой частотой встречались DR 8 (5,88%), DR 9 (3,92%), DR 12 (1,96%), DR 14 (3,92%). Антиген DR 10 у больных туберкулезом обнаружен не был.
Самыми распространенными аллелями локуса HLA DQA у больных туберкулезом являются DQA 101 (31,37%), DQA 102 (37,25%), DQA 501 (39,22%). Наиболее низкие частоты имеет DQA 401 (5,88%).
Среди аллелей локуса HLA DQB у больных туберкулезом Челябинской области преобладающими являются DQB 201 (39,21%), DQB 602/8 (37,25%), DQB 501 (25,49%). Редкими являются аллели DQB 303 (7,84%), DQB 401/2 (5,88%), DQB 503 (3,92%), DQB 601 (1,96%). В целом такое распределение типично для большинства популяций европеоидной расы.
2.2.2 Анализ распределения частот генов и антигенов HLA II класса в популяции русских Челябинской области
В результате проведенного исследования были выявлены основные черты иммуногенетического профиля HLA локусов DR, DQB, DQA у здоровых доноров областной станции переливания крови русской национальности, проживающих в Челябинской области. Анализ распределения аллелей данных локусов представлен в таблице 6.
Таблица 6. Распределение частот генов и антигенов HLA II класса
у здоровых русских, проживающих в Челябинской области
|
HLA |
Здоровые русские |
||
|
N = 202 |
Ax% |
Рx% |
|
|
DR 1 |
55 |
27,22 |
0,15 |
|
DR 3 |
37 |
18,31 |
0,1 |
|
DR 4 |
38 |
18,81 |
0,1 |
|
DR 7 |
48 |
23,76 |
0,13 |
|
DR 8 |
17 |
8,42 |
0,04 |
|
DR 9 |
9 |
4,46 |
0,02 |
|
DR 10 |
7 |
3,47 |
0,02 |
|
DR 11 |
38 |
18,81 |
0,1 |
|
DR 12 |
7 |
3,47 |
0,02 |
|
DR 13 |
56 |
27,72 |
0,15 |
|
DR 14 |
7 |
3,47 |
0,02 |
|
DR 15 |
54 |
26,73 |
0,14 |
|
DR 16 |
11 |
5,45 |
0,03 |
|
DQA 101 |
65 |
32,18 |
0,18 |
|
DQA 102 |
62 |
30,69 |
0,17 |
|
DQA 103 |
41 |
20,30 |
0,11 |
|
DQA 201 |
48 |
23,76 |
0,13 |
|
DQA 301 |
48 |
23,76 |
0,13 |
|
DQA 401 |
14 |
6,93 |
0,04 |
|
DQA 501 |
69 |
34,16 |
0, 19 |
|
DQA 601 |
1 |
0,50 |
0,002 |
|
DQB 201 |
71 |
35,15 |
0, 19 |
|
DQB 301 |
72 |
35,64 |
0, 20 |
|
DQB 302 |
29 |
14,36 |
0,07 |
|
DQB 303 |
20 |
9,90 |
0,05 |
|
DQB 401/2 |
13 |
6,44 |
0,03 |
|
DQB 501 |
63 |
31, 19 |
0,17 |
|
DQB 502/4 |
13 |
6,43 |
0,03 |
|
DQB 503 |
6 |
2,97 |
0,01 |
|
DQB 602/8 |
81 |
40,10 |
0,23 |
|
DQB 601 |
10 |
4,95 |
0,03 |
Как видно из таблицы, для популяции русских, проживающих в Челябинской области, характерна относительно высокая частота антигенов DR 1 (27,22%), DR 13 (27,22%) и DR 15 (26,73%). С низкой частотой встречались DR 9 (4,46%), DR 10 (3,47%), DR 12 (3,47%), DR 14 (3,47%). Такое распределение аллелей характерно для большинства европеоидных популяций.
Среди аллелей локуса DQA у доноров русской национальности из Челябинской области наиболее частыми являются DQA 101 (32,18%), DQA 102 (30,69%), DQA 501 (34,16%), что типично для большинства популяций европеоидной расы. Редко встречаются аллели DQA 401 (6,93%), DQA 601 (0,50%).
Среди аллелей локуса HLA DQB русских Челябинской области преобладающими являются DQB 201 (35,15%), DQB 301 (35,64%), DQB 501 (31,19%), DQB 602/8 (40,10%), что также характерно для европеоидов. Редкими являются аллели DQB 503 (2,97%), DQB 601 (4,95%).
2.2.3 Сравнительный анализ частот встречаемости антигенов HLA II класса у больных туберкулезом и здоровых представителей русской этнической группы Челябинской области
В таблице 7 представлены данные о точных популяционных показателях для антигенов и генов (Ах, Рх) локусов DR, DQA, DQB у больных туберкулезом и здоровых представителей русской этнической группы Челябинской области, а также рассчитана достоверность различий (χ2) генов между больными туберкулезом и здоровыми русскими (рисунок 7, приложения).
Таблица 7. Распределение частот аллелей HLA-II класса у больных туберкулезом и здоровых русских Челябинской области
|
HLA |
Больные туберкулезом |
русские Челябинской области |
|||||
|
N = 51 |
Ax% |
px% |
N=202 |
Ax в% |
Px |
χ² |
|
|
DR 1 |
14 |
27,45 |
0,15 |
55 |
27,22 |
0,15 |
0,001 |
|
DR 3 |
8 |
15,69 |
0,08 |
37 |
18,31 |
0,1 |
0, 193 |
|
DR 4 |
12 |
23,53 |
0,13 |
38 |
18,81 |
0,1 |
0,571 |
|
DR 7 |
15 |
29,41 |
0,16 |
48 |
23,76 |
0,13 |
0,695 |
|
DR 8 |
3 |
5,88 |
0,03 |
17 |
8,42 |
0,04 |
0,359 |
|
DR 9 |
2 |
3,92 |
0,02 |
9 |
4,46 |
0,02 |
0,028 |
|
DR 10 |
0 |
0 |
0,00 |
7 |
3,47 |
0,02 |
1,818 |
|
DR 11 |
9 |
17,65 |
0,09 |
38 |
18,81 |
0,1 |
0,037 |
|
DR 12 |
1 |
1,96 |
0,01 |
7 |
3,47 |
0,02 |
0,301 |
|
DR 13 |
11 |
21,57 |
0,11 |
56 |
27,72 |
0,15 |
0,792 |
|
DR 14 |
2 |
3,92 |
0,02 |
7 |
3,47 |
0,02 |
0,025 |
|
DR 15 |
12 |
23,53 |
0,13 |
54 |
26,73 |
0,14 |
0,217 |
|
DR 16 |
7 |
13,73 |
0,07 |
11 |
5,45 |
0,03 |
4,224 |
|
DQA 101 |
16 |
31,38 |
0,17 |
65 |
32,18 |
0,18 |
0,012 |
|
DQA 102 |
19 |
37,25 |
0,21 |
62 |
30,69 |
0,17 |
0,806 |
|
DQA 103 |
8 |
15,67 |
0,08 |
41 |
20,30 |
0,11 |
0,554 |
|
DQA 201 |
15 |
29,41 |
0,16 |
48 |
23,76 |
0,13 |
0,695 |
|
DQA 301 |
14 |
27,45 |
0,15 |
48 |
23,76 |
0,13 |
0,299 |
|
DQA 401 |
3 |
5,88 |
0,03 |
14 |
6,93 |
0,04 |
0,071 |
|
DQA 501 |
20 |
39,21 |
0,22 |
69 |
34,16 |
0, 19 |
0,457 |
|
DQA 601 |
0 |
0 |
0,00 |
1 |
0,50 |
0,002 |
0,253 |
|
DQB 201 |
20 |
39,22 |
0,22 |
71 |
35,15 |
0, 19 |
0,292 |
|
DQB 301 |
15 |
29,41 |
0,16 |
72 |
35,64 |
0, 20 |
0,701 |
|
DQB 302 |
9 |
17,65 |
0,09 |
29 |
14,36 |
0,07 |
0,345 |
|
DQB 303 |
4 |
7,84 |
0,04 |
20 |
9,90 |
0,05 |
0, 201 |
|
DQB 401/2 |
3 |
5,88 |
0,03 |
13 |
6,44 |
0,03 |
0,021 |
|
DQB 501 |
13 |
25,49 |
0,14 |
63 |
31, 19 |
0,17 |
0,629 |
|
DQB 502/4 |
7 |
13,73 |
0,07 |
13 |
6,43 |
0,03 |
2,972 |
|
DQB 503 |
2 |
3,92 |
0,02 |
6 |
2,97 |
0,01 |
0,120 |
|
DQB 602/8 |
19 |
37,25 |
0,21 |
81 |
40,10 |
0,23 |
0,138 |
|
DQB 601 |
1 |
1,96 |
0,01 |
10 |
4,95 |
0,03 |
0,875 |
При анализе были выявлены как общие тенденции, так и различия в распределении частот генов HLA DRB1. Так, у больных туберкулезом и здоровых пациентов были выявлены различия в частоте встречаемости антигена HLA DR 16 (14% у больных туберкулезом и 5% у здоровых русских). Результаты являются статистически достоверными, так как χ²=4,224, RR=1,15. Также у больных туберкулезом по сравнению со здоровым контролем выявлена относительно высокая частота встречаемости гена HLA DQB 502/4 (13,73 и 6,43 соответственно). Результаты не достигают статистической достоверности, так как χ²=2,972, RR=0,76.
Частоты некоторых аллелей HLA DR и DQ локусов у здорового контроля были незначительно увеличены по сравнению с частотами HLA у пациентов с туберкулезом (DR 10, DQB 601); это свидетельствует о том, что данные аллели могут вносить вклад в устойчивость к туберкулезу (но результаты не являются статистически значимыми, т.к χ²=2,07 и 0,76, соответственно).
По результатам исследования аллель HLA DR 16 идентифицирован как ген, ассоциированный с прогрессированием туберкулеза. Эти результаты поддерживают гипотезу о том, что изменчивость главного комплекса гистосовместимости играет важную роль в восприимчивости или сопротивлении инфекции.
Данная ассоциация с HLA DR 16 по литературным данным была обнаружена во многих странах мира. В частности, в Польше, Казахстане, Туркмении, Узбекистане, Индонезии и Индии риск развития тяжелых форм туберкулеза также связывают с HLA DR 16.
2.2.4 Анализ трехлокусных гаплотипов HLA у больных туберкулезом русской этнической группы Челябинской области
Сведения о частотах наиболее значимых трехлокусных гаплотипов (Н) DR - DQA - и DQB представлены в таблице 8. Полное распределение гаплотипов у больных туберкулезом русской этнической группы Челябинской области представлено в таблице 9 (приложения).
Таблица 8. Частоты трехлокусных гаплотипов (Н) у пациентов, больных туберкулезом
|
Гаплотипы |
H |
Гаплотипы |
H |
|
DR1-DQA101-DQB501 |
0,1373 |
DR11-DQA501-DQB301 |
0,1078 |
|
DR1-DQA101-DQB602/8 |
0,0098 |
DR12-DQA501-DQB301 |
0,0196 |
|
DR3-DQA501-DQB201 |
0,0784 |
DR13-DQA501-DQB301 |
0,0196 |
|
DR4-DQA301-DQB301 |
0,0294 |
DR13-DQA102-DQB602/8 |
0,0196 |
|
DR4-DQA301-DQB302 |
0,0882 |
DR13-DQA103-DQB602/8 |
0,0784 |
|
DR7-DQA201-DQB201 |
0,1373 |
DR14-DQA101-DQB503 |
0,0196 |
|
DR7-DQA201-DQB303 |
0,0196 |
DR15-DQA102-DQB602/8 |
0,1078 |
|
DR8-DQA401-DQB402 |
0,0294 |
DR15-DQA103-DQB601 |
0,0098 |
|
DR9-DQA301-DQB303 |
0,0196 |
DR16-DQA102-DQB502/4 |
0,0686 |
Анализируя таблицу видно, что для больных туберкулезом русской этнической группы Челябинской области наиболее высокие Н наблюдаются для гаплотипов DR1-DQA101-DQB501 (0,1373), DR7-DQA201-DQB201 (0,1373), DR11-DQA501-DQB301 (0,1078), DR15-DQA102-DQB602/8 (0,1078). Также с достаточно высокой частотой встречаются гаплотипы DR4-DQA301-DQB302 (0,0882), DR13-DQA103-DQB602/8 (0,0784) и DR16-DQA102-DQB502/4 (0,0686).
2.2.5 Сравнительный анализ частот встречаемости трехлокусных гаплотипов HLA у больных туберкулезом и здоровых представителей русской этнической группы Челябинской области
Данные о наиболее часто встречаемых трехлокусных гаплотипах у больных туберкулезом и здоровых представителей русской этнической группы Челябинской области представлены в таблице 12. Сравнительный анализ представленных данных выявляет наличие общих и индивидуальных особенностей распределения гаплотипов в каждой из исследуемых групп.
Таблица 12. Сравнительный анализ частот гаплотипов у больных туберкулезом и здоровых представителей русской этнической группы
|
Гаплотипы |
Больные туберкулезом (n=51) |
Здоровый контроль (n=202) |
Χ2 |
|
DR1-DQA101-DQB602/8 |
0,0098 |
0,0248 |
1,115 |
|
DR7-DQA201-DQB201 |
0,1373 |
0,0965 |
1,63 |
|
DR13-DQA103-DQB602/8 |
0,0784 |
0,0842 |
0,039 |
|
DR14-DQA101-DQB503 |
0,0196 |
0,0099 |
0,663 |
|
DR15-DQA102-DQB602/8 |
0,1078 |
0,1089 |
0,001 |
|
DR15-DQA103-DQB601 |
0,0098 |
0,0248 |
0,875 |
|
DR16-DQA102-DQB502/4 |
0,0686 |
0,0272 |
4,224 |
При сравнительном анализе трехлокусных гаплотипов у больных туберкулезом и здоровых представителей русской этнической группы Челябинской области было выявлено, что у больных туберкулезом частота встречаемости гаплотипа DR16-DQA102-DQB502/4 выше, чем у здорового контроля (0,0686 и 0,0272, соответственно, RR=1,15). Это может быть связано с вкладом данного гаплотипа в восприимчивость к туберкулезу (помимо экологических и социоэкономических факторов). Гаплотип DR16-DQA102-DQB502/4 имеет низкую частоту встречаемости во многих популяциях. Так, у здоровых индусов он находится в пределах 4-5% с повышением, хотя и недостоверным (возможно, из-за малого числа наблюдений), у больных лепрой и туберкулезом.
У людей, больных туберкулезом наблюдается относительно низкая частота встречаемости гаплотипов DR1-DQA101-DQB602/8 (0,0098 у больных туберкулезом и 0,0248 у здоровых), DR15-DQA103-DQB601 (0,0098 и 0,0248, соответственно). Эти гаплотипы могут вносить вклад в устойчивость к туберкулезу, но результаты являются спорными, так как не достигают статистической достоверности.
Заключение
Одно из последних направлений иммуногенетики - поиск ассоциаций иммуногенетической системы HLA с предрасположенностью к различным инфекционным заболеваниям. В настоящее время доказано многими исследованиями, что развитие инфекции, вызванной М. tuberculosis и клинический туберкулез обусловлены сложным взаимодействием между биологическими свойствами самого инфекционного агента, средовыми факторами и физиологической индивидуальностью человека.
Понимание важной роли генетических факторов в развитии туберкулеза пришло в первую очередь из эпидемиологических и близнецовых исследований. Дальнейшие исследования, проведенные на экспериментальных животных моделях, существенно дополнили имеющуюся информацию о генетических факторах предрасположенности к заболеванию.
Полиморфные человеческие лейкоцитарные антигены (HLA) были первыми белками, изученными в поисках ассоциаций с восприимчивостью к туберкулезу, которые до сих пор ведутся, что сделало их наиболее исследованными.
Результаты нашего исследования показали, что для больных туберкулезом представителей русской этнической группы Челябинской области характерно распределение генов HLA II класса, сходное с контрольной группой: с относительно высокой частотой встречались DR 1 (27,45%), DR 7 (29,41%), DQB 201 (39,21%), DQB 602/8 (37,25%), DQA 102 (37,25%), DQA 501 (39,22%); с низкой частотой встречались DR 9 (3,92%), DR 12 (1,96%), DR 14 (3,92%), DQA 401 (5,88%), DQB 401/2 (5,88%), DQB 503 (3,92%), DQB 601 (1,96%). Распределение частот аллелей генов HLA DRB1, - DQB1, - DQA1 в русской этнической группе Челябинской области в целом является характерным для большинства европеоидных популяций. Некоторые различия в частоте встречаемости антигенов могут быть связаны с вкладом генетических факторов в восприимчивость к туберкулезу.
Гаплотипические сочетания, вследствие их еще большей вариабельности, лучше отражают разнообразие HLA-системы. У больных туберкулезом русской этнической группы Челябинской области также наблюдалось сходное с контролем распределение гаплотипов: с наибольшей частотой встречались гаплотипы DR1-DQA101-DQB501 (H=0,1373), DR7-DQA201-DQB201 (0,1373), DR11-DQA501-DQB301 (0,1078), DR15-DQA102-DQB602/8 (0,1078). Такое распределение соответствует средним значениям для кавказоидов. У больных туберкулезом частота встречаемости гаплотипа DR16-DQA102-DQB502/4 выше, чем у здорового контроля (0,0686 и 0,0272, соответственно). Это может быть связано с вкладом данного гаплотипа в восприимчивость к туберкулезу (помимо экологических и социоэкономических факторов). Также, у людей, больных туберкулезом наблюдается относительно низкая частота встречаемости гаплотипов DR1-DQA101-DQB602/8 (0,0098 у больных туберкулезом и 0,0248 у здоровых), DR15-DQA103-DQB601 (0,0098 и 0,0248, соответственно). Эти гаплотипы могут вносить вклад в устойчивость к туберкулезу, но результаты являются спорными, так как не достигают статистической достоверности.
Выводы
Установлены точные показатели для антигенов и генов (Ах, Рх, , Н) локусов DR, DQA, DQB и их гаплотических сочетаний у больных туберкулезом представителей русской этнической группы Челябинской области
При сравнительном анализе особенностей распределения специфичностей генов HLA II класса у больных туберкулезом и здоровых представителей русской этнической группы Челябинской области были установлены следующие факты:
у больных туберкулезом и здоровых пациентов были выявлены различия в частоте встречаемости антигена HLA DRB1*16 (14% у больных туберкулезом и 5% у здоровых русских). Результаты являются статистически достоверными, так как χ²=4,224, RR=1,15. Также у больных туберкулезом по сравнению со здоровым контролем выявлена относительно высокая частота встречаемости гена HLA DQB*502/4 (13,73 и 6,43 соответственно). Результаты не достигают статистической достоверности, так как χ²=2,972, RR=0,76;
у больных туберкулезом частота встречаемости гаплотипа DR16-DQA102-DQB502/4 выше, чем у здорового контроля (0,0686 и 0,0272, соответственно, RR=1,15);
у людей, больных туберкулезом наблюдается относительно низкая частота встречаемости гаплотипов DR1-DQA101-DQB602/8 (0,0098 у больных туберкулезом и 0,0248 у здоровых), DR15-DQA103-DQB601 (0,0098 и 0,0248, соответственно). Эти гаплотипы могут вносить вклад в устойчивость к туберкулезу, но результаты являются спорными, так как не достигают статистической достоверности.
По результатам исследования аллель HLA DRB1*16 и гаплотип DR16-DQA102-DQB502/4 идентифицированы как факторы предрасположенности к туберкулезу. Эти результаты поддерживают гипотезу о том, что изменчивость главного комплекса гистосовместимости играет важную роль в восприимчивости или сопротивлении инфекции.
Список использованных источников
Авербах М.М., Литвинов В.И., Гергерт В.Я. и др. Иммунологические аспекты легочной патологии. - М.: Медицина, 1980. - 360 с.
Акопян А.В., Алексеев Л.П., Хаитов Р.М. Иммунологические и иммуногенетические аспекты периодической болезни // Иммунология. - 1998. - №1. - С.32-35.
Алексеев Л.П., Дедов И.И., Болдырева М.Н., Зилов А.В., Хаитов.Р.М. HLA-гены - маркеры инсулин-зависимого сахарного диабета, этнические аспекты // Иммунология. - 2003. - №5. - С.65-68.
Алексеев Л.П., Хаитов Р.М. Клиническая иммуногенетика // Цитокины и воспаление. - 2005. - №3. - С.15-19.
Арефьев В.А., Лисовенко Л.А. Англо-русский толковый словарь генетических терминов. - Москва: ВНИРО, 1995. - 407 с.
Баранов B. C., Баранова Е.В., Иващенко Т.Э., Асеев М.В. Геном человека и гены "предрасположенности". Введение в предиктивную медицину. - СПб.: Интермедиа, 2000. - 271 с.
Ботиашвили О.Г. Химиопрофилактика туберкулеза. - Тбилиси: Сабчота Сакартвело, 1980. - 361 с.
Гриппи М.А. Патофизиология легких. - M.: Восточная книжная компания, 1997. - 344 с.
Есипова И.К. Патологическая анатомия легких. - М.: Медицина, 2000. - 290 с.
Зарецкая Ю.М. Клиническая иммуногенетика. - М.: Медицина, 1983. - 365с.
Иващенко Т.Э., Сиделева О.Г., Петрова М.А. Генетические факторы предрасположенности к бронхиальной астме // Генетика. - 2001. - №1. - С.65-68.
Макаревич А.Э. Заболевания органов дыхания. - М.: Высшая школа, 2000. - 368 с.
Маянский Н.А., Маянский А.Н. Номенклатура и функции главного комплекса гистосовместимости человека // Иммунология. - 2006. - №1. - С.45-48.
Матракшин А.Г., Цой К.И., Поспелов Л.Б. Туберкулез органов дыхания // Проблемы туберкулеза. - 1993. - №1. - С.61-64.
Матракшин А.Г., Месько Е.М., Поспелов Л.Е. Динамика иммунологических показателей у больных туберкулезом легких // Иммунология. - 2002. - №8. - С.26-29.
Перельман М.И., Корякин В.А., Богадельникова И.В. Фтизиатрия. - М.: Медицина, 2004. - 467 с.
Пузырев В.П. Медико-генетическое исследование населения приполярных регионов. - Томск: Изд-во Томск. унив, 1991. - 200 с.
Пузырев В.П. Состояние и перспективы геномных исследований в генетической кардиологии. // Вестник РАМН. - 2000. - № 7. - С.31-37.
Ротанова Т.В. Энергозависимый селективный внутриклеточный протеолиз. Cтроение, активные центры и специфичность АТР-зависимых протеиназ // Вопросы медицинской химии. - 2001. - № 1. - С.61-65.
Рычков Ю.Г. Генофонд населения России и сопредельных стран // Генофонд и геногеография народонаселения. - СПб.: Наука, 2000, 120с.
Сараянц Л.В., Полянская И. С, Алексеев Л.Я. // Вести дерматол. - 1992. - № 4. - С. 19-25.
Снелл Дж., Доссе Ж., Нэтенсон С. Совместимость тканей. - М.: Медицина, 1979. - 325 с.
Сойфер В.П. Международный проект "Геном человека" // Соросовск. Образ. журн. - 1998. - № 12.
Сочнев А.М., Алексеев Л.П., Тананов А.Т. Антигены системы HLA при различных заболеваниях и трансплантации. - Рига: Наука, 1987. - 243 с.
Тананов А.Т. Значение системы HLA в оценке степени риска возникновения и прогноза заболеваний: Автореф. дис. канд. биол. наук - М., 1982. - 32 с.
Тананов А.Т. HLA и болезни крови. Ассоциация с возрастом начала заболевания, продолжительностью жизни: Матер.7-го междунар. совещ. по тканевому типированию. Тез. докл., 1981. - с.175-175.
Тананов А.Т., Абакумов Е.М. HLA антигены и продолжительность жизни больных острым лейкозом. - Тер. арх., 1981,№4, с.77-79.
Трофимов Д.Ю. Разработка метода мультипраймерной ПЦР для типирования генов HLA II класса: Дис. канд. биол. наук. - М., 1996. - 36 с.
Хаитов Р.М., Алексеев Л.П. Физиологическая роль главного комплекса гистосовместимости человека // Иммунология. - 2001. - №3. - С.37-42.
Хаитов Р.М., Алексеев Л.П. Система генов HLA и регуляция иммунного ответа. // Аллергия, астма и клиническая иммунология. - 2000. - № 8. - С.12-18.
Хаитов Р.М., Игнатьева Г.А., Сидорович И.Г. Иммунология. - М.: Медицина, 2000. - 583 с.
Хоменко А.Г. Туберкулез. Руководство для врачей. - М.: Медицина, 1996. - 493 с.
Шевченко Ю.Л. Значение социальных факторов во взаимодействии человека и микроорганизмов. Роль здравоохранения в профилактике и лечении инфекционных заболеваний // Вестн. РАМН. - 2000. - № 11. - С.41-47.
Bach F. H., Gose J. F., Alter B. J. et al. Post, present and future aspects of histocompatibility. - Transplant. Proc. - 1979. - vol.11. - №1. - 1207-1211.
Brodsky F. M., Lem L., Bresnahan P. A. Antigen Processing and Presentation // Tissue Antigens. - №47 (6). - 464-471.
Dausset J., Contu L. MHC in general biologic recognition: its theoretical implication in transplantation. - Transplant. Proc. - 1981. - vol.13. - №13. - 895-899.
Endert P. M., Lopez M. T., Patel S. D., Monaco J. J., McDevitt H. O. Genomic polymorphism, recombination, and linkage disequilibrium in human major histocompatibility complex-encoded antigen-processing genes // Proc. Nat. Acad. Sci. - 1992. - 89. - 11594-11597.
Kwiatkowski D., Anstey N. M., Twumasi P., Rowe P. A., Bennett S., Brewster D., McMichael A. J., Greenwood B. M.common West African HLA antigens are associated with protection from severe malaria. - Nature 352. - 1991.
Larsen C. E., Alper C. A. The genetics of HLA-associated disease. Curr. Opin. Immunol. - 16. - 2004.
http://www.en. wikipedia.org/wiki/Human_leukocyte_antigen.
http://www.rusmedsever.ru.
http://www.rusbiotech.ru.
http://www.liveinternet.ru.
http://pathology. dn.ua/Lectures/Immune_Anormalities
Приложения
Приложение 1
Таблица 1. Встречаемость аллельных вариантов гена HLA DRB1*04 в различных популяционных группах России
|
Аллель HLA DRBI |
Русские |
Поморы |
Саамы |
Татары |
Мари |
Тувинцы |
Ненцы |
|
04 |
11,64 |
35,37 |
33,52 |
17,78 |
16,34 |
28,74 |
17,39 |
|
0401* |
3,80 |
16,21 |
9,14 |
5,61 |
12,65 |
12,13 |
0,73 |
|
0402 |
1,66 |
0 |
0,76 |
0,93 |
0 |
0 |
0 |
|
0403** |
0,95 |
1,47 |
8,38 |
1,87 |
1,05 |
5,75 |
7,16 |
|
0404* |
3,09 |
17,69 |
5,33 |
7.9 |
0,53 |
1,28 |
10,14 |
|
0405* |
0 |
0 |
0 |
0 |
0 |
5,75 |
0 |
|
0407 |
1,66 |
0 |
0 |
0 |
0,53 |
0 |
0 |
|
0408 |
1, 19 |
0 |
16,00 |
1,87 |
1,58 |
2,93 |
0 |
|
0410 |
0 |
0 |
0 |
0 |
0 |
1,28 |
0 |
* Ассоциация с предрасположенностью к ИЗСД
** Ассоциация с устойчивостью к тому же заболеванию
Приложение 2
Таблица 2. HLA-антигены, связанные со сходными параметрами иммунного статуса в бурятской и русской популяциях
|
Параметр |
Буряты |
Русские |
|
IgM |
HLA-A1↑, B15↓, В40↓ |
HLA-B5↑ |
|
lgG |
HLA-A2↓, В7↓ |
- |
|
Фагоцитоз |
HLA-B12↓, B40↑ |
HLA-B27↓ |
|
РБТЛ-сп |
НLA-В16↓, В40↓ |
HLA-B7, DR2↓ |
|
РБТЛ-ФГА |
HLA-A10↓, DR2↓ |
HLA-B8↑, DQ2↑ |
|
Интерлейкин-2 |
HLA-B16↓, DR7↑ |
HLA-B7↑, DR4↓, DQ3↓ |
Приложение 3
Таблица 3. Распределение аллелей HLA у больных лепрой, туберкулезом и здоровых
|
Специфичность локуса |
Здоровые лица (n = 94) |
Больные лепрой (n = 133) |
Больные туберкулёзом (n = 51) |
|
DRB1*01 |
14,9 |
21,1 |
11,8 |
|
DRB1*04 |
20,2 |
21,1 |
25,5 |
|
DRB1*07 |
31,9 |
22,6 |
31,4 |
|
DRB1*08 |
4,3 |
6,8 |
1,9 |
|
DRB1*09 |
5,3 |
1,5 |
2,7 |
|
DRB1*10 |
3,2 |
0,8 |
1,9 |
|
DRB1*11 |
32,9 |
27,8 |
25,5 |
|
DRB1*12 |
3,2 |
2,3 |
1,9 |
|
DRB1*13 |
38,3 |
31,6 |
29,4 |
|
DRB1*14 |
- |
1,5 |
1,9 |
|
DRB1*15 |
28,7 |
34,6** |
21,6 |
|
DRB1*16 |
5,3 |
15,1* |
13,7* |
|
DRB1*17 |
10,6 |
13,5 |
29,4* |
|
DQA1*0101 |
18,1 |
19,4 |
13,7 |
|
DQA1*0102 |
43,6 |
56,7* |
47,1 |
|
DQA1*0103 |
18,1 |
14,9 |
18,9 |
|
DQA1*0201 |
29,8 |
22,4 |
31,4 |
|
DQA1*0301 |
27,7 |
22,4 |
29,4 |
|
DQA1*0401 |
3,2 |
6,7 |
1,9 |
|
DQA1*0501 |
58,5 |
50,0 |
62,7 |
|
DQB1*0201 |
41,5 |
32,3 |
49,0** |
|
DQB1*0301 |
52,1 |
42,9 |
37,3* |
|
DQB1*0302 |
12,8 |
14,3 |
15,7 |
|
DQB1*0303 |
7,5 |
6,0 |
17,6* |
|
DQB1*0401/02 |
4,3 |
6,8 |
3.9 |
|
DQB1*0501 |
15,9 |
24,1 |
11,8 |
|
DQB1*0502/04 |
6,4 |
17,3* |
13,7 |
|
QB1*0601 |
1,1 |
3,0 |
- |
|
QB1*0602/08 |
55,3 |
54,1 |
47,1 |
Приложение 4
Таблица 4. Распределение частот гаплотипов у больных туберкулезом, лепрой и здоровых лиц
|
DRB1-DQA1-DQB1 |
Здоровые лица (n = 94) |
Больные лепрой (n = 133) |
Больные туберкулезом (n = 51) |
|
04-0301-0302 |
10,5 |
13,8 |
17,6 |
|
04-0301-0301 |
10,5 |
7,8 |
5,9 |
|
07-0201-0201 |
25,3 |
16,4 |
21,6 |
|
08-0401/2-0401/2 |
4,2 |
5,2 |
1,9 |
|
11-0501-0301 |
33,7 |
21,6* |
25,5 |
|
12-0501-0301 |
1,1 |
1,7 |
- |
|
13-0501-0301 |
9,5 |
9,5 |
3,9 |
|
13-0102-0602/8 |
7,4 |
12,1 |
11,8 |
|
13-0103-0602/8 |
20,0 |
12,3 |
13,7 |
|
15-0102-0602/8 |
27,4 |
31,9 |
21,6 |
|
16-0102-0502/4 |
5,3 |
15,1* |
13,7* |
|
17-0501-0201 |
11,6 |
13,5** |
29,4* |
Приложение 5



Рисунок 6. Диаграммы распределения HLA II класса у больных туберкулезом русской этнической группы
Приложение 6



Рисунок 7. Диаграммы распределения генов HLA II класса у больных туберкулезом и здоровых пациентов
Приложение 7
Таблица 5. Частоты трехлокусных сочетаний у больных туберкулезом представителей русской национальности, проживающих в Челябинской области
|
Тип гаплотипа |
Частота встречаемости (H) |
|
DR1-DQA101-DQB501 |
0.137255 |
|
DR1-DQA101-DQB602/8 |
0.009804 |
|
DR11-DQA501-DQB301 |
0.107843 |
|
DR12-DQA501-DQB301 |
0.019608 |
|
DR13-DQA102-DQB602/8 |
0.019608 |
|
DR13-DQA103-DQB602/8 |
0.078431 |
|
DR13-DQA501-DQB301 |
0.019608 |
|
DR14-DQA101-DQB503 |
0.019608 |
|
DR15-DQA102-DQB602/8 |
0.107843 |
|
DR15-DQA103-DQB601 |
0.009804 |
|
DR16-DQA102-DQB502/4 |
0.068627 |
|
DR3-DQA501-DQB201 |
0.078431 |
|
DR4-DQA301-DQB301 |
0.029412 |
|
DR4-DQA301-DQB302 |
0.088235 |
|
DR7-DQA201-DQB201 |
0.137255 |
|
DR7-DQA201-DQB303 |
0.019608 |
|
DR8-DQA401-DQB402 |
0.029412 |
|
DR9-DQA301-DQB303 |
0.019608 |
Приложение 8
Таблица 6. Частоты трехлокусных сочетаний у здоровых представителей русской национальности, проживающих в Челябинской области
|
Тип гаплотипа |
Частота встречаемости (H) |
|
DR1-DQA101-DQB501 |
0.146032 |
|
DR1-DQA101-DQB503 |
0.002475 |
|
DR1-DQA101-DQB602/8 |
0.002483 |
|
DR10-DQA101-DQB501 |
0.014851 |
|
DR10-DQA104-DQB501 |
0.002475 |
|
DR11-DQA102-DQB502/4 |
0.002475 |
|
DR11-DQA301-DQB301 |
0.002475 |
|
DR11-DQA501-DQB301 |
0.089109 |
|
DR12-DQA501-DQB301 |
0.017327 |
|
DR13-DQA102-DQB602/8 |
0.022277 |
|
DR13-DQA103-DQB602/8 |
0.084158 |
|
DR13-DQA301-DQB301 |
0.002475 |
|
DR13-DQA501-DQB301 |
0.029703 |
|
DR14-DQA101-DQB501 |
0.004950 |
|
DR14-DQA101-DQB503 |
0.009901 |
|
DR15-DQA102-DQB501 |
0.002483 |
|
DR15-DQA102-DQB602/8 |
0.108903 |
|
DR15-DQA103-DQB601 |
0.024752 |
|
DR16-DQA102-DQB502/4 |
0.027228 |
|
DR3-DQA501-DQB201 |
0.089109 |
|
DR3-DQA501-DQB301 |
0.004950 |
|
DR3-DQA501-DQB302 |
0.002475 |
|
DR4-DQA301-DQB301 |
0.029703 |
|
DR4-DQA301-DQB302 |
0.066832 |
|
DR4-DQA301-DQB305 |
0.002475 |
|
DR4-DQA401-DQB301 |
0.002475 |
|
DR7-DQA201-DQB201 |
0.096534 |
|
DR7-DQA201-DQB303 |
0.024752 |
|
DR8-DQA301-DQB302 |
0.002475 |
|
DR8-DQA401-DQB401/2 |
0.037129 |
|
DR8-DQA501-DQB301 |
0.004950 |
|
DR9-DQA301-DQB303 |
0.022277 |