Распространенность ревматоидного артрита среди населения Ошской области
Министерство образования и науки Кыргызской Республики
Ошский государственный университет
Медицинский факультет
Кафедра Общественного здоровья и организации здравоохранения
Курсовая работа
на тему:
Распространенность ревматического артрита среди населения Ошской области
Выполнила ст. гр. 4б2 Асанбек кызы А.
Проверила зав. кафедрой
д.м.н. Орозбекова Б.Т.
План
Введение
Актуальность
Цель
Задачи
Ход исследования
Вывод
Рекомендации
Литературный обзор
Список литературы
Введение
Данное исследование посвящено проблеме ревматоидного артрита (РА) – одной из самых частых системных заболеваний соединительной ткани. Как отдельная нозологическая единица РА был выделен не более 20 лет назад, но уже проведено огромное количество исследований по изучению этого непростого, подчас коварного заболевания.
Этиология РА до сих пор не выяснена. Известно, что имеют определенную роль наследственная предрасположенность, предшествующее инфекционное заболевание и гормональный фон.
Распространенность РА колеблется от 0,6 до 1,5 % во всех регионах планеты, т.е. заболевание не имеет определенной географической локализации. Однако это всего лишь официальные цифры, тогда как число незарегистрированных случаев может быть значительно выше.
Средний возраст, в котором у большинства пациентов начинается РА - 30-50 лет. У 70 % больных, несмотря на проведенное лечение, через 2-3 года обнаруживаются рентгенологические признаки поражения суставов. Болезнь часто непредсказуема: течение может быть затяжным или волнообразным, с длительными периодами ремиссии или быстрым прогрессированием поражения суставов.
В ходе исследования были изучены истории болезни пациентов с диагнозом РА отделения ревматологии ОМОКБ за ноябрь, декабрь 2009 и январь 2010 года. А также была проанализирована частота возникновения РА в Ошской области за период с 2003 по 2009 годы.
Актуальность
Ревматологами уделяется много времени и средств для максимального улучшения качества жизни пациентов. В странах СНГ созданы специальные институты ревматологии, в то время как у нас ревматология остается «под опекой» кардиологии, входя в состав национального института кардиологии им. М. Миррахимова. Как нигде в Ошской области не хватает статистического анализа ситуации по РА для объективной оценки возможностей диагностики и лечения.
Цель
Данное исследование направлено на оценку распространенности РА на территории Ошской области, зависимость ее от профессии пациентов и различные изменения количественных признаков единиц наблюдения под влиянием проводимой терапии, в частности веса и артериального давления.
Задачи
1. Собрать необходимые данные по распространенности РА в Ошской области в соответствующих учреждениях.
2. Оценить полученные результаты
3. Сделать соответствующие выводы
4. Привести рекомендации, которые помогли бы для лечения РА
Ход исследования
Программа исследования.
Единица наблюдения – пациент с диагнозом РА, проживающий на территории Ошской области
Статистическая совокупность – группа пациентов с диагнозом РА в возрасте от 20 до 60 лет.
Атрибутивные признаки – пол, диагноз.
Количественные признаки - возраст, вес, длительность заболевания,
Результативные признаки - наличие заболевания соединительной ткани
Факторные признаки: пол, возраст, характер питания и др.
Первичный статистический документ- история болезни пациентов.
Всего были рассмотрены 100 историй болезни пациентов, получавших лечение в стационаре традиционными средствами (таблица №1)
Таб. № 1 (простая) Распространенность различных стадий РА
|
Заболевание |
Всего пациентов |
|
|
абсолютное число пациентов |
в % |
|
|
1. РА I ст. |
5 |
5 % |
|
2. РА II ст. |
85 |
85 % |
|
3. РА III ст. |
10 |
10 % |
|
Итого: |
100 |
100,0 |
Согласно данным исследования больше половины пациентов с РА не подозревают о наличии у себя данного заболевания и обращаются к специалистам уже с выраженными признаками поражения суставов, когда болезнь труднее поддается лечению. У 10 % пациентов, несмотря на проведенное лечение, болезнь упорно прогрессирует и приводит к стойким нарушениям функций как органов опорно-двигательного аппарата, так и других органов и систем.
Таблица № 2 (групповая) Распределение пациентов с РА по полу и возрасту
|
Заболевание |
Пол |
Возраст |
Всего |
|||
|
муж |
жен |
20-30 лет |
30-40 лет |
старше 40 лет |
||
|
1. РА I ст. |
1 |
4 |
2 |
3 |
0 |
5 |
|
2. РА II ст. |
14 |
71 |
17 |
56 |
12 |
85 |
|
3. РА III ст. |
- |
10 |
1 |
5 |
4 |
10 |
|
Итого: |
15 |
85 |
20 |
64 |
16 |
100 |
Заболеванию РА чаще подвержены женщины (85 %) в возрасте от 30 до 40 лет. Причем формам тяжелого течения РА также больше подвержены женщины, как молодого, так и среднего возраста.
Таблица № 3 (комбинированная) Распределение пациентов по полу и месту работы
|
Заболевание |
Служащие |
Рабочие с/х |
Безработные |
Всего |
||||||||
|
м |
ж |
оба пола |
м |
ж |
оба пола |
м |
ж |
оба пола |
м |
ж |
оба пола |
|
|
1. РА I ст. |
- |
4 |
4 |
1 |
- |
1 |
- |
- |
- |
1 |
4 |
5 |
|
2. РА II ст. |
5 |
23 |
28 |
8 |
36 |
44 |
1 |
12 |
13 |
14 |
71 |
85 |
|
3. РА III ст. |
- |
- |
- |
- |
6 |
6 |
- |
4 |
4 |
- |
10 |
10 |
|
Итого: |
5 |
27 |
32 |
9 |
42 |
51 |
1 |
16 |
17 |
15 |
85 |
100 |
В отделении ревматологии ОМОКБ за период с 1 ноября 2009 года по 30 января 2010 года зарегистрировано 100 случаев госпитализации с диагнозом РА, из них 1 ст. – 5, 2 ст. – 85, 3 ст. – 10.
Решение: Вся совокупность — 100 случаев РА принимается за 100 %, составные части определяются как искомые. Удельный вес случаев 1 ст. составит: 5x 100% / 100 = 5 %.
Аналогично рассчитывается удельный вес других заболеваний.
Вывод. В структуре РА доля 1 ст. заболевания составила 5 %, 2 ст. — 85 %, 3 ст.— 10 %.
Способы графического изображения экстенсивного показателя
Поскольку экстенсивный показатель — показатель статики, то графически он изображается только в виде внутристолбиковой или секторной (круговой) диаграммы, которые являются разновидностями плоскостных диаграмм, которые представляют цифровые данные в виде геометрических фигур в двух измерениях.
Диаграмма № 1 (секторная)- распределение РА по стадиям в отделении ревматологии ОМОКБ

Правила построения этих диаграмм можно представить, использовав при этом полученные данные удельного веса заболеваний в приведенном выше примере.
Пример построения секторной диаграммы (диаграмма 1):
Радиусом произвольного размера описывается окружность, которая принимается за 100% (если экстенсивные показатели выражены в процентах); при этом 1% соответствует 3,6° окружности.
На окружности откладываются отрезки, соответствующие величинам распределяемой совокупности: удельный вес 1 ст. РА составляет 5 %, 2 ст. РА — 85%, 3 ст. РА — 10% (соответственно в градусах — 18°; 306°; 36°).
Соответствующие этим градусам отрезки соединяются линиями с центром окружности, образуя секторы. Каждый сектор представляет составную часть изучаемой совокупности. При этом необходимо помнить, что сумма всех удельных весов должна равняться 1%, а сумма отрезков в градусах должна составлять 360°.
Пример расчета интенсивного показателя.
Население Ошской области за 2009 год составило 1088545 человек. Среди них 1241 случай РА. Чтобы определить показатель заболеваемости РА на 1000 населения, рассчитываем по формуле(см. выше) – 1241*1000/1088545=1,1 %
Способы графического изображения интенсивного показателя
Графически интенсивные показатели могут быть представлены в виде любых из названных ниже диаграмм при наличии необходимой информации:
линейной диаграммы (график) - применяется для изображения динамики явления.
радиальной диаграммы - является разновидностью линейной диаграммы, применяется для изображения динамики явления за замкнутый цикл времени: сутки, неделя, месяц, год. Например, сезонные колебания инфекционной заболеваемости, суточные колебания числа вызовов скорой помощи, колебания по дням недели числа выписываемых и госпитализируемых в стационары больных и т.д.
столбиковой или ленточной диаграммы;
картограммы; Картограмма — это изображение статистических данных на контурной карте. При этом частота изучаемого явления может быть обозначена разной интенсивностью окраски или разной штриховкой.
картодиаграммы; Картодиаграмма — это изображение на контурной карте статистических данных в виде столбиков или других символов различного размера.
Таб. № 4 Распространенность РА в динамике за период с 2003 по 2009 годы.
|
Год |
2003 |
2004 |
2005 |
2006 |
2007 |
2008 |
2009 |
|
Количество зарегистрированных случаев РА |
1241 |
1840 |
1850 |
2228 |
2217 |
1607 |
1905 |
Диаграмма № 2 (линейная) Распространенность РА в динамике за период с 2003 по 2009 годы

Динамика РА за 2003-2009 годы варьирует. Показатели за 2006-2007 годы наиболее высоки, что возможно объясняется психологически неопределенной ситуацией в стране и как следствие повышение заболеваемости.
Пример расчета показателя соотношения
В Ошской области 1088545 населения на 2009 год, общее число ревматологических коек — 100. Число коек — совокупность № 1, численность населения — совокупность № 2. Требуется рассчитать обеспеченность населения ревматологическими койками.
Показатель соотношения = 100 / 1088545 х 10 000
Вывод. На 10 000 населения в области приходится 0,9 ревматологических коек, или обеспеченность населения города терапевтическими койками равна 0,9 коек на 10 000 населения.
Таблица № 5 Расчет показателей наглядности
|
Год |
2003 |
2004 |
2005 |
2006 |
2007 |
2008 |
2009 |
|
Показатель инт-ти |
1,3 |
2,0 |
2,1 |
2,5 |
2,5 |
1,8 |
2,1 |
|
Расчет показателя наглядности |
Показатель интенсивности за 2003 г. берем за 100 %, тогда заболеваемость РА в 2004 г. составила 2,0*100/1,3=153,8 % и т.д. |
||||||
|
Показатель наглядности (%) |
100 |
153,8 |
161,5 |
192,3 |
192,3 |
138,5 |
161,5 |
Таблица 6. Результаты измерения массы тела пациентов отделения ревматологии ОМОКБ
|
Масса тела (в кг) V |
Середина интервала (центральная варианта) V1 |
Число пациентов Р |
V>p> |
d = V - M |
d2 |
d2p |
|
55-59,9 |
57,5 |
8 |
460 |
-11,6 |
134,6 |
1076,8 |
|
60-61,9 |
61 |
10 |
610 |
-8,1 |
65,6 |
656 |
|
62-67,9 |
65 |
31 |
2015 |
-4,1 |
16,8 |
520,8 |
|
68-70,9 |
69,5 |
16 |
1112 |
+0,4 |
0,16 |
2,56 |
|
71-84,9 |
77,5 |
35 |
2712,5 |
+8,4 |
70,6 |
2471 |
|
|
|
n = 100 |
Σ V>p> = 6909,5 |
|
|
Σ d2p = 4727,2 |
В сгруппированном вариационном ряду центральная варианта рассчитывается как полусумма начальных вариант соседних интервалов:
М = Σ V>p> / n = 6909,5 / 100 = 69,1 (кг);
σ = √ Σ d2р / n = √ 4727,2 / 100 = ± 6,87 (кг);
С>v> = σ / M x 100% = (6,87 / 69,1 х 100) = 9,94%.
Выводы
Средняя масса тела пациентов отделения ревматологии ОМОКБ составляет 69,1 кг, σ = ±6,87 (кг).
Величина коэффициента вариации, равная 9,94 % свидетельствует о слабом разнообразии признака (приближающемся к среднему)
Таким образом, можно считать, что полученная средняя величина массы тела является достаточно представительной (типичной).
Таблица № 7 Заболеваемость населения Ошской области РА за 7 лет (на 10 000 населения)
|
Годы |
2003 |
2004 |
2005 |
2006 |
2007 |
2008 |
2009 |
|
Показатель |
1,3 |
1,7 |
1,7 |
2,0 |
2,0 |
1,5 |
1,8 |
Таблица № 8 Расчет показателей
|
Годы |
Выравнивание по способу наименьших квадратов |
Показатели динамического ряда |
|||||||
|
У>ф>факт. уровни |
Х времен. точки |
X2 |
XУ |
У>x>выравнен. уровни |
абс. прирост |
темп прироста, % |
средний темп прироста |
среднее значение 1% прироста |
|
|
2003 |
1,3 |
-5 |
25 |
-6,5 |
1,56 |
— |
— |
T>пр.сн.>= ((вхК)/a) х 100 = ((0,031 х 1 / 1,71) x 100 = 1,812% |
+0,062 / 1,812 = +0,034 |
|
2004 |
1,7 |
-3 |
9 |
-5,1 |
1,617 |
+0,062 |
3,974 |
||
|
2005 |
1,7 |
-1 |
1 |
-1,7 |
1,679 |
|
3,834 |
||
|
2006 |
2,0 |
0 |
0 |
-0 |
1,71 |
|
3,692 |
||
|
2007 |
2,0 |
+1 |
1 |
+2,0 |
1,741 |
|
3,625 |
||
|
2008 |
1,5 |
+3 |
9 |
+4,5 |
1,803 |
|
3,561 |
||
|
2009 |
1,8 |
+5 |
25 |
+9 |
1,865 |
|
3,438 |
||
|
n=7 |
Σ У>Ф> = 12 |
Σ Х = 0 |
Σ Х2= 70 |
ΣХУ= 2,2 |
ΣУ>x> =11,975 |
а = ΣУ>ф.> / n = 12 / 7 = 1,71
УХ >2003> = 1,71 + 0,031х (-5)= 1,56
в = Σ(Х У>факт>) / σ X2 = 2,2 / 70 = 0,031
УХ >2004> = 1,71 + 0,031 х (-3) = 1,617
УХ >2005> = 1,71 + 0,031 х (-1) = 1,679
УХ >2006> = 1,71 + 0,031 х (-0) = 1,71
УХ >2007> = 1,71 + 0,031 х (+1) = 1,741
УХ >2008> = 1,71 + 0,031 х (+3) = 1,803
УХ >2009> = 1,71 + 0,031 х (+5) = 1,865
Абсолютный прирост выровненного ряда — 1,679-1,617 = 0,062
Темп прироста для 2003 г. = (0,062 / 1,56) х 100 = 3,974 %
Темп прироста для 2004 г. = (0,062 / 1,617) х 100 = 3,834 %
Темп прироста для 2005 г. = (0,062/ 1,679) х 100 = 3,692 %
Темп прироста для 2006 г. = (0,062/ 1,71) х 100 = 3,625 %
Темп прироста для 2007 г. = (0,062/ 1,741) х 100 = 3,561%
Темп прироста для 2008 г. = (0,062/ 1,803) х 100 = 3,438 %
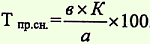
Средний темп прироста = (0,031 х 1 / 1,71) х 100 = 1,812%
Абсолютный прирост = 1,679-1,617 = + 0,062
Значение 1% прироста = + 0,062 / 1,812 = 0,034%.
Диаграмма № 3 Заболеваемость населения Ошской области за 7 лет (на 10 000 населения)

Выводы. Заболеваемость населения Ошской области РА за последние 7 лет неравномерна. Скорость изменений показателей заболеваемости различна, наибольший темп прироста отмечается в 2006 и 2007 г. При выравнивании показателей динамического ряда отмечается тенденция к увеличению уровней заболеваемости, в среднем на 1,8 % ежегодно.
Определение доверительных границ
При изучении воздействия комбинированной терапии для лечения РА было установлено, что средняя частота пульса у 100 обследованных пациентов после приема стероидных противовоспалительных средств (СПВС) составила 78 ударов в минуту; σ = ± 6 ударов в минуту.
Вычисление средней ошибки средней арифметической (ошибки репрезентативности) (m):
m = σ / √n = 6 / √100 = ±0,6 удар в минуту
Вычисление доверительных границ средней величины генеральной совокупности (М>ген>). Для этого необходимо:
а) задать степень вероятности безошибочного прогноза (Р = 95 %);
б) определить величину критерия t. При заданной степени вероятности (Р=95%) и числе наблюдений больше 30 величина критерия t, определяемого по таблице, равна 2 (t = 2). Тогда М>ген> = М>выб> ± tm = 78 ± 2x0,6 = 78 ± 2,4 удара в минуту.
Вывод. Установлено с вероятностью безошибочного прогноза Р = 95%, что средняя частота пульса в генеральной совокупности, т.е. у всех пациентов с диагнозом РА после приема СПВС в аналогичных условиях будет находиться в пределах от 78 до 82 ударов в минуту, т.е. средняя частота пульса менее 75,6 и более 80,4 ударов в минуту возможна не более, чем у 5% случаев генеральной совокупности.
При исследовании 100 пациентов отделения ревматологии ОМОКБ в 38 % случаев на фоне комбинированной терапии были обнаружены функциональные расстройства пищеварения.
Вычисление ошибки репрезентативности относительного показателя:
m = √P x q / n = √38 x (100 - 38) / 100 = ± 4,85%
Вычисление доверительных границ средней величины генеральной совокупности (Р>ген>) производится следующим образом:
необходимо задать степень вероятности безошибочного прогноза (Р=95%);
при заданной степени вероятности и числе наблюдений больше 30, величина критерия t равна 2 (t = 2). Тогда
Р>ген> = Р>выб>± tm = 38% ± 2 х 4,85 = 38% ± 9,7%.
Вывод. Установлено с вероятностью безошибочного прогноза Р=95%, что частота функциональных расстройств пищеварения у пациентов с диагнозом РА отделения ревматологии ОМОКБ на фоне комбинированной терапии будет находиться в пределах от 28,3 до 47,7 % случаев.
Оценка достоверности результатов исследования
При изучении воздействия комбинированной терапии для лечения РА было установлено, что средняя частота пульса у 100 обследованных пациентов после приема стероидных противовоспалительных средств (СПВС) составила 78 ударов в минуту; σ = ± 2,4 ударов в минуту. средняя частота пульса у этой же группы пациентов до приема СПВС равнялась 70 ударам в минуту; σ = ± 2 ударов в минуту
Решение.
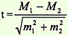
t= 78-70/√2,42+22=8/3,12=2,56
Вывод. Значение критерия t = 2,56 соответствует вероятности безошибочного прогноза Р ≥ 95%, следовательно, можно утверждать, что различия в средних значениях пульса у пациентов с РА до и после применения СПВС достоверно, и обусловлено именно приемом препарата.
При исследовании 100 пациентов отделения ревматологии ОМОКБ в 38 %(± 9,7%) случаев на фоне комбинированной терапии были обнаружены функциональные расстройства пищеварения. частота аналогичных расстройств у здоровых лиц составила 8 % (±3 %)
Решение.
t=38-8/√9.72+32=30/10,15=2,95
Вывод. Значение критерия t=2,95 соответствует вероятности безошибочного прогноза Р≥ 95%. Следовательно, различие в частоте функциональных расстройств пищеварения у здоровых лиц и больных РА на фоне комбинированной терапии существенно.
Вывод
Большинство случаев РА встречается примерно в возрасте 20-40 лет, т.е. наиболее трудоспособном возрасте, причем чаще этому заболеванию подвержены женщины. Современная терапия РА предусматривает применение различных групп препаратов, которые неблагоприятно влияют на другие органы и системы. У 38 % исследованных пациентов были выявлены функциональные нарушения пищеварения, кроме того, в исследование не были включены данные частоты анемии (т.к. результаты еще не были обработаны).
Весьма настораживают показатели неуклонного роста заболеваемости РА среди населения. Показатели заболеваемости РА в Ошской области за последние годы на 0,5-1 % выше чем в остальных регионах. Учитывая стертость первоначальных проявлений РА, в связи с чем многие длительно не обращаются за помощью к специалистам.
РА на сегодняшний день – это пожизненный прием различных видов противовоспалительных препаратов. Стоимость лечения достаточно дорога, т.к. применение препаратов длительное и не всегда гарантирует долгую ремиссию. РА часто инвалидизирует больного, что создает еще и дополнительные издержки для бюджета государства. Данному заболеванию подвержены почти все слои населения и если состоятельные граждане способны обеспечить себе дорогостоящее лечение различными дефицитными препаратами с минимальными побочными эффектами, то менее состоятельные люди довольствуются лечением за счет ОМС. А оно, как оказалось, не содержит в своем наборе для РА основного препарата – метотрексата. Следовательно, для поддержания оптимального уровня жизни и предотвращения побочных эффектов терапии СПВС и НПВС необходимо, во-первых, переходить на современные препараты с механизмами действия на патогенетические звенья РА, во-вторых, привлекать пациентов к процессу лечения.
Рекомендации
Создание дополнительного числа коек для ревматологических больных на территории Ошской области
Введение в состав препаратов ОМС основных базисных средств терапии РА
Ведение ознакомительных работ с пациентоами по РА (этиология, патогенез, предраспологащие факторы и т.д.)
Создание специализированного веб-сайта о РА для пациентов для непосредственного контакта с докторами из столицы
5. Проведение дополнительных масштабных исследований РА по выявлению причины заболевания.
Литературный обзор
Этапы статистического исследования
|
I этап статистического исследования - составление программы и плана исследования |
Программа статистического исследования предусматривает решение следующих вопросов:
Определение единицы наблюдения и составление программы сбора материала;
Единица наблюдения — каждый первичный элемент статистической совокупности.
Единица наблюдения наделена признаками сходства и различия, которые подлежат учету и дальнейшему наблюдению, поэтому эти признаки называются учитываемыми (учетными).
Учитываемые признаки — признаки, по которым различаются элементы единицы наблюдения в статистической совокупности. Признаки классифицируются:
по характеру на:
а) атрибутивные (описательные) признаки — выражены словесно;
б) количественные признаки — выражены числом;
по роли в совокупности на:
а) факторные признаки, влияющие на изучаемое явление;
б) результативные признаки, изменяющиеся под влиянием факторных признаков.
Группировка признаков осуществляется с целью выделения однородных групп для изучения тех или иных закономерностей изучаемого явления. Группировка ответов по атрибутивным признакам называется типологической, по количественным признакам - вариационной. Пример типологической группировки:
группировка студентов по полу:
мужчина,
женщина;
группировка студентов по наличию иди отсутствию вредных привычек:
курящие студенты,
некурящие студенты.
Составление программы разработки материала; Программа разработки полученных данных предусматривает составление макетов статистических таблиц с учетом группировок.
Требования, предъявляемые к таблицам. Макеты статистических таблиц должны иметь четкое и краткое название, соответствующее их содержанию. В таблице различают подлежащее и сказуемое. Статистическое подлежащее — это то, о чем говорится в таблице. Табличное подлежащее содержит основные признаки, являющиеся предметом исследования, и размещается обычно в левой части таблицы по вертикали. Статистическое сказуемое — это то, что характеризует подлежащее и размещается по горизонтали. В таблицах необходимо предусмотреть итоговые данные, по которым будут проводиться расчеты показателей на третьем этапе статистического исследования при обработке полученных данных.
Виды таблиц. Статистические таблицы разделяются на простые, групповые, комбинационные. Простой называется таблица, позволяющая анализировать полученные данные, сгруппированные лишь по одному признаку (подлежащее). Групповой называется таблица, в которой устанавливается связь между отдельными признаками, т.е. помимо подлежащего, имеется сказуемое, представленное одной или более группировками, которые связаны (попарно) с группировками подлежащего, но не связаны между собой. Комбинационной называется таблица, в которой есть два или несколько сказуемых, которые связаны не только с подлежащим, но и между собой.
Составление программы анализа собранного материала.
Программа анализа предусматривает перечень статистических методик, необходимых для выявления закономерностей изучаемого явления.
План исследования предусматривает решение следующих организационных вопросов:
Выбор объекта исследования
Определение объема статистической совокупности
Сроки и место (территория) проведения исследования, виды и способы наблюдения и сбора материала
Характеристика исполнителей (кадры)
Характеристика технического оснащения и требуемых материальных средств
Объект статистического исследования — это совокупность, с которой будут собираться необходимые сведения. Это может быть население, студенты, больные, госпитализированные в больницы и т.п.
Статистическая совокупность — это группа, состоящая из относительно однородных элементов, взятых вместе в известных границах времени и пространства в соответствии с поставленной целью. Структура статистической совокупности: статистическая совокупность состоит из единиц наблюдения. Различают два вида совокупности — генеральная и выборочная.
Генеральная совокупность — это группа, состоящая из всех относительно однородных элементов в соответствии с поставленной целью.
Выборочная совокупность — отобранная для исследования часть генеральной совокупности и предназначенная для характеристики всей генеральной совокупности. Она должна быть репрезентативна (представительна) по количеству и качеству по отношению к генеральной совокупности. Репрезентативность количественная основана на законе больших чисел и означает достаточную численность элементов выборочной совокупности, рассчитываемую по специальным формулам и таблицам. Репрезентативность качественная основана на законе вероятности и означает соответствие (однотипность) признаков, характеризующих элементы выборочной совокупности по отношению к генеральной.
Объем статистической совокупности — это численность элементов совокупности, взятых для исследования. Сроки и место (территория) проведения исследования — это составление календарного плана выполнения данного исследования по данному этапу на конкретной территории.
Виды наблюдения:
текущее (или постоянное) наблюдение — когда регистрация проводится постоянно по мере возникновения единиц наблюдения. Пример: каждый случай рождения, смерти, обращения в лечебные учреждения.
единовременное (или одномоментное) наблюдение — когда изучаемые явления фиксируются на какой-либо определенный момент (час, день недели, дату). Пример: перепись населения, состав коечного фонда стационара.
Способы проведения исследования. Для исследователя важно определить способ проведения исследования: сплошное наблюдение или несплошное (выборочное).
Сплошное наблюдение — это регистрация всех единиц наблюдения, составляющих генеральную совокупность.
Несплошное (выборочное) наблюдение — изучение лишь части совокупности для характеристики целого.
Методы проведения исследования на выборочной совокупности (монографический, основного массива, анкетный и др.).
Монографический метод применяется при изучении какого-либо одного объекта, когда из множества объектов избирается один и исследуется с максимальной полнотой с целью показа передового опыта, выявления тенденций развития явления. Пример: описание новой хирургической технологии.
Метод основного массива применяется при изучении тех объектов, в которых сосредоточено большинство изучаемых явлений. Суть его состоит в том, что из всех единиц наблюдения, входящих в состав данного объекта, избирается их основная часть, характеризующая всю статистическую совокупность. Пример: на заводе имеется 7 основных цехов, в которых занято 1300 рабочих и два небольших вспомогательных цеха со 100 рабочими. Для наблюдения можно взять только основные цеха и по ним сделать выводы, касающиеся всего завода.
Анкетный метод применяется для сбора статистических сведений с помощью специально разработанных анкет. Пример: при изучении распространенности желудочно-кишечных заболеваний среди учащихся профессионально-технических училищ города Н. была разработана анкета с перечнем вопросов, интересующих исследователя.
Методы отбора изучаемых явлений и формирования выборочной совокупности
Существуют следующие методы отбора изучаемых явлений: случайный, механический, гнездовой, направленный, типологический.
Случайный отбор — это отбор, проводимый по жребию (по начальной букве фамилии или по дню рождения и т.п.).
Механический отбор — это отбор, когда у всей совокупности берется для изучения механически отобранная каждая пятая (20 %) или десятая (10 %) единица наблюдения.
Гнездовой (серийный) отбор — когда из генеральной совокупности выбираются не отдельные единицы, а гнезда (серии), которые отбираются путем случайной или механической выборки. Пример: для изучения заболеваемости сельского населения М-ской области изучается заболеваемость сельского населения одного, наиболее типичного пункта. Результаты распространяются на все сельское население области.
Направленный отбор — это отбор, когда из генеральной совокупности с целью выявления определенных закономерностей отбираются только те единицы наблюдения, которые позволят выявить влияние неизвестных факторов при устранении влияния известных. Пример: при изучении влияния стажа рабочих на травматизм отбираются рабочие одной профессии, одного возраста, одного цеха, одного образовательного уровня.
Типологический отбор — это отбор единиц из заранее сгруппированных однотипных качественных групп. Пример: при изучении закономерности смертности среди городского населения следует сгруппировать изучаемые города по численности населения в них.
Характеристика исполнителей (кадры). Сколько человек и какой квалификации проводят исследование.
Характеристика технического оснащения и требуемых материальных средств:
лабораторное оборудование и приборы, соответствующие цели исследования;
канцелярские товары (бумага, бланки);
без дополнительных ассигнований.
|
II этап статистического исследования - сбор материала |
Сбор материала - это процесс регистрации, заполнения официально существующие или специально разработанных учетных документов (талоны, карт и т.п.). Сбор материала проводят согласно составленным ранее программе и плану исследования.
|
III этап статистического исследования - обработка полученных данных |
3-й этап статистического исследования включает следующие последовательно выполняемые исследователем действия:
контроль собранного материала - это проверка собранного материала с целью отбора учетных документов, имеющих дефекты для их последующего исправления, дополнения или исключения из исследования. Например, в анкете не указан пол, возраст или нет ответов на другие поставленные вопросы. В этом случае необходимы дополнительные учетные документы (амбулаторные карты, истории болезни и т.п.). Если эти данные не могут быть получены из дополнительных учетных документов, привлеченных исследователем, то некачественные карты (анкеты) должны быть исключены из исследования.
шифровка - это применение условных обозначений выделяемых признаков. При ручной обработке материала шифры могут быть цифровые, буквенные; при машинной — только цифровые.
группировка материала - это распределение собранного материала по атрибутивному или количественному признаку (типологическая или вариационная). Пример: группировка студентов по курсам обучения: I курс, II курс, III курс, IV курс, V курс, VI курс.
сводка данных в статистические таблицы - занесение полученных после подсчета цифровых данных в таблицы
вычисление статистических показателей и статистическая обработка материала.
|
IV этап статистического исследования - анализ полученного материала, выводы и предложения на основе результатов исследования |
Расчет интенсивных показателей
|
Экстенсивный показатель |
Это показатель удельного веса, доли части в целой совокупности, показатель распределения совокупности на составляющие ее части, т.е. показатель структуры. Для его расчета необходимо иметь данные о численности всей совокупности и составляющих ее частях (или отдельной части этой совокупности). Рассчитывается обычно в процентах, где совокупность в целом принимается за 100%, а отдельные части — за "X". Способ получения экстенсивной величины выглядит следующим образом:

Таким образом, для получения экстенсивного показателя нужна совокупность и ее составные части или отдельная часть. Экстенсивный показатель отвечает на вопрос, сколько процентов приходится на каждую конкретную часть совокупности.
В зависимости от того, что характеризуют экстенсивные показатели, их называют:
показатели удельного веса части в целом, например, удельный вес гриппа среди всех заболеваний;
показатели распределения или структуры (распределение всей совокупности зарегистрированных врачом заболеваний за год на отдельные заболевания).
Показатель частоты, уровня, распространенности процессов, явлений, совершающихся в определенной среде. Он показывает, как часто встречается изучаемое явление в среде, которая его продуцирует (заболеваемость, смертность, рождаемость и т.д.).
Интенсивные показатели используются как для сравнения, сопоставления динамики частоты изучаемого явления во времени, так и для сравнения, сопоставления частоты этого же явления в один и тот же промежуток времени, но в различных учреждениях, на различных территориях и т.д.
Для расчета интенсивного показателя необходимо иметь данные об абсолютном размере явления и среды, его продуцирующей. Абсолютное число, характеризующее размер явления, делится на абсолютное число, показывающее размер среды, внутри которой произошло данное явление, и умножается на 100, 1000 и т.д. Таким образом, способ получения интенсивного показателя выглядит следующим образом:

Таким образом, для расчета интенсивного показателя всегда нужны две статистические совокупности (совокупность № 1 — явление, совокупность № 2 — среда), причем изменение размера среды может повлечь за собой изменение размера явления.
Множитель (основание) зависит от распространенности явления в среде — чем реже оно встречается, тем больше множитель. В практике для вычисления некоторых интенсивных показателей множители (основания) являются общепринятыми (так, например, показатели заболеваемости с временной утратой трудоспособности рассчитываются на 100 работающих или учащихся, показатели летальности, частоты осложнений и рецидивов заболеваний — на 100 больных, демографические показатели и многие показатели заболеваемости — на 1000, 100 000 населения).
Показатель соотношения
Характеризует соотношение между двумя не связанными между собой совокупностями (обеспеченность населения койками, врачами, дошкольными учреждениями, соотношение родов и абортов, соотношение врачей и медицинских сестер и др.).
Для получения этого показателя нужны две совокупности (совокупность № 1 и № 2). Абсолютная величина, характеризующая одну совокупность (совокупность № 1) делится на абсолютную величину, характеризующую другую, с ней не связанную совокупность (совокупность № 2) и умножается на множитель* (100, 1000, 10 000 и т.д.):
Показатель соотношения = совокупность №1 / совокупность №2 х 10 000
* При расчете показателя соотношения можно не учитывать множитель, например, определяя соотношение родов и абортов
Показатель наглядности
Применяется для анализа однородных чисел и используется когда необходимо "уйти" от показа истинных величин (абсолютных чисел, относительных и средних величин). Как правило, эти величины представлены в динамике. Для вычисления показателей наглядности одна из сравниваемых величин принимается за 100% (обычно, это исходная величина), а остальные рассчитываются в процентном отношении к ней. Особенно их целесообразно использовать, когда исследователь проводит сравнительный анализ одних и тех же показателей, но в разное время или на разных территориях.
Расчет средних величин
Вариационный ряд - это числовые значения признака, представленные в ранговом порядке с соответствующими этим значениям частотами. Основные обозначения вариационного ряда
V — варианта, отдельное числовое выражение изучаемого признака;
р — частота ("вес") варианты, число ее повторений в вариационном ряду;
n — общее число наблюдений (т.е. сумма всех частот, n = Σр);
V>max> и V>min> — крайние варианты, ограничивающие вариационный ряд (лимиты ряда);
А — амплитуда ряда (т.е. разность между максимальной и минимальной вариантами,
А = V>max> — V>min>)
Виды вариаций
а) простой — это ряд, в котором каждая вариата встречается по одному разу (р=1);
6) взвешенный — ряд, в котором отдельные варианты встречаются неоднократно (с разной частотой).
Назначение вариационного ряда
Вариационный ряд необходим для определения средней величины (М) и критериев разнообразия признака, подлежащего изучению (σ, С>v>).
Средняя величина — это обобщающая характеристика размера изучаемого признака. Она позволяет одним числом количественно охарактеризовать качественно однородную совокупность.
Применение средних величин
для оценки состояния здоровья — например, параметров физического развития (средний рост, средняя масса тела, среднее значение жизненной емкости легких и др.), соматических показателей (средний уровень сахара в крови, средняя величина пульса, средняя СОЭ и др.);
для оценки организации работы лечебно-профилактических и санитарно-противоэпидемических учреждений, а также деятельности отдельных врачей и других медицинских работников (средняя длительность пребывания больного на койке, среднее число посещений на 1 ч приема в поликлинике и др.);
для оценки состояния окружающей среды.
Методика расчета простой средней арифметической
Суммировать варианты:
V>1>+V>2>+V>3>+...+V>n> = Σ V;
Сумму вариант разделить на общее число наблюдений: М = Σ V / n
Методика расчета взвешенной средней арифметической (табл. 1)
Получить произведение каждой варианты на ее частоту — V>p>
Найти сумму произведений вариант на частоты:
V>1p1> + V>2p2>+ V>3p3> +...+ V>npn> = Σ V>p>
Полученную сумму разделить на общее число наблюдений: М = Σ V>p> / n
Методика расчета среднеквадратического отклонения
Найти отклонение (разность) каждой варианты от среднеарифметической величины ряда (d = V — М);
Возвести каждое из этих отклонений в квадрат (d2);
Получить произведение квадрата каждого отклонения на частоту (d2р);
Найти сумму этих отклонений:
d2>1>p>1> + d2>2>p>2> + d2>3>p>3> +...+ d2>n>p>n> = Σ d2р;
Полученную сумму разделить на общее число наблюдений (при n < 30 в знаменателе n-1): Σ d2р / n
Извлечь квадратный корень: σ = √Σ d2р / n
при n < 30 σ = √Σ d2р / n-1
Применение среднеквадратического отклонения
для суждения о колеблемости вариационных рядов и сравнительной оценки типичности (представительности) средних арифметических величин. Это необходимо в дифференциальной диагностике при определении устойчивости признаков;
для реконструкции вариационного ряда, т.е. восстановления его частотной характеристики на основе правила "трех сигм". В интервале М±3σ находится 99,7% всех вариант ряда, в интервале М±2σ — 95,5% и в интервале М±1σ — 68,3% вариант ряда;
для выявления "выскакивающих" вариант (при сопоставлении реального и реконструированного вариационных рядов);
для определения параметров нормы и патологии с помощью сигмальных оценок;
для расчета коэффициента вариации;
для расчета средней ошибки средней арифметической величины.
Коэффициент вариации (С>v>) - это процентное отношение среднеквадратического отклонения к среднеарифметической величине: С>v> = σ / M x 100%. Коэффициент вариации — это относительная мера колеблемости вариационного ряда.
Применение коэффициента вариации
для оценки разнообразия каждого конкретного вариационного ряда и, соответственно, суждения о типичности отдельной средней (т.е. ее способности быть полноценной обобщающей характеристикой данного ряда). При С>v> <10% разнообразие ряда считается слабым, при С>v> от 10 до 20% — средним, а при С>v>>20% — сильным. Сильное разнообразие ряда свидетельствует о малой представительности (типичности) соответствующей средней величины и, следовательно, о нецелесообразности ее использования в практических целях;
для сравнительной оценки разнообразия (колеблемости) разноименных вариационных рядов и выявления более и менее стабильных признаков, что имеет значение в дифференциальной диагностике.
Динамический ряд
В практической и научно-практической деятельности врачу нередко приходится анализировать происходящие во времени изменения в состоянии здоровья отдельных групп населения, в деятельности медицинских учреждений, в экспериментальных исследованиях. Выявление основной тенденции изучаемого явления вне влияния "случайных" факторов позволяет определять закономерности изменений явления и на этой основе осуществлять прогнозирование.
Динамический ряд — ряд однородных величин, характеризующих изменения явления во времени
Область применения.
для характеристики изменений состояния здоровья населения в целом или отдельных его групп, а также деятельности учреждений здравоохранения и изменения их во времени;
для установления тенденций и закономерностей изменений явлений, углубленного анализа динамического процесса (скоростей, временных характеристик текущего и стратегического планирования;
для прогнозирования уровней явлений общественного здоровья и здравоохранения
Числа (уровни) динамического ряда. Динамические ряды могут быть представлены только однородными величинами: абсолютными, относительными или средними величинами
Типы динамических рядов
Моментный ряд — характеризует изменение значений явления на определенную дату (момент).
Интервальный ряд — характеризует изменения значений явления за определенный период (интервал времени). Применяется в случае необходимости анализа процесса в различные дробные периоды
Приемы для установления тенденций или закономерностей.
Преобразование ряда — применяется для большей наглядности изменений изучаемых явлений. Одно число ряда принимается за 1, чаще всего за 100 или 1000, и, по отношению к данному числу ряда, рассчитываются остальные.
Выравнивание ряда — применяется при скачкообразных изменениях (колебаниях) уровней ряда. Цель выравнивания — устранить влияние случайных факторов и выявить тенденцию изменений значений явлений (или признаков), а в дальнейшем установить закономерности этих изменений
Способы выравнивания динамического ряда. Способами выравнивания динамического ряда являются: укрупнение периодов, расчет групповой средней, расчет скользящей средней, метод наименьших квадратов
Укрупнение периодов — применяется, когда явление в интервальном ряду выражено в абсолютных величинах, уровни которых суммируются по более крупным периодам. Применение возможно при кратном числе периодов.
Вычисление групповой средней — применяется, когда уровни интервального ряда выражены в абсолютных, средних или относительных величинах, которые суммируются, а затем делятся на число слагаемых. Способ применяется при кратном числе периодов.
Расчет скользящей средней — применяется, когда уровни явлений любого ряда выражены в абсолютных, средних или относительных величинах. Данный метод применяется при наличии некратного числа временных периодов (7, 11, 13, 17, 19) достаточно длинного динамического ряда. Путем вычисления групповой средней значений 3 периодов, а в последующем переходя на определенный уровень и два соседних с ним, осуществляется "скольжение" по периодам. Каждый уровень заменяется на среднюю величину (из данного уровня и двух соседних с ним). Данный метод применяется, когда не требуется особой точности, когда имеется достаточно длинный ряд и можно пренебречь потерей двух значений ряда; в случаях, когда изучается развитие явления под влиянием одного или двух факторов.
Метод наименьших квадратов применяется для более точной количественной оценки динамики изучаемого явления. Этим способом получаются такие выровненные значения уровней ряда, квадраты отклонений которых от истинных (эмпирических) показателей дают наименьшую сумму.
Наиболее простой и часто встречающейся в практике является линейная зависимость, описываемая уравнением:
У>х> = а + вХ, либо У>теоретич.> = У>среднее> + вХ,
где У>х> — теоретические (расчетные) уровни ряда за каждый период;
а — среднеарифметический показатель уровня ряда, рассчитывается по формуле:
а = ΣУ>факт.> / n;
в — параметр прямой, коэффициент, показывающий различие между теоретическими уровнями ряда за смежные периоды, определяется путем расчета по формуле: в = Σ(ХУ>факт>)/ ΣХ2
где n — число уровней динамического ряда;
X — временные точки, натуральные числа, проставляемые от середины (центра) ряда в оба конца.
При наличии нечетного ряда уровень, занимающий срединное положение, принимается за 0. Например, при 9 уровнях ряда: -4, -3, -2, -1, 0, +1, +2, +3, +4.
При четном числе уровней ряда две величины, занимающие срединное положение, обозначаются через -1 и +1, а все остальные — через 2 интервала. Например, при 6 уровнях ряда: -5, -3, -1, +1, +3, +5.
Расчеты проводят в следующей последовательности:
Представляют фактические уровни динамического ряда (У>ф>)
Суммируют фактические уровни ряда и получают сумму У>факт.>
Находят условные (теоретические) временные точки ряда X, чтобы их сумма (ΣХ) была равна 0.
Возводят теоретические временные точки в квадрат и суммируют их, получая ЕX2.
Рассчитывают произведение Х на У и суммируют, получая ΣХУ.
Рассчитывают параметры прямой:
а = ΣУ>факт> / n в = Σ(Х У>факт>) / ΣX2
Подставляя последовательно в уравнение У>х> = а + аУ значения X, находят выровненные уровни У>х>.
Показатели динамического ряда
Для углубленного изучения процессов во времени рассчитывают показатели динамического ряда.
Для характеристики скорости изменения процесса применяются такие показатели, как абсолютный прирост (убыль), темп прироста (убыли).
Абсолютный прирост (убыль) характеризует скорость изменения процесса (абсолютную величину прироста (убыли) в единицу времени). Абсолютный прирост рассчитывается как разность между данным уровнем и предыдущим; обозначается знаком "+", характеризуя прирост, или знаком "—", характеризуя убыль.
Темп прироста (убыли) характеризует величину прироста (убыли) в относительных показателях в % и определяется как процентное отношение абсолютного прироста (убыли) к предыдущему уровню ряда; обозначается знаком "+" (прирост) или знаком "—" (убыль).
Для характеристики изменения процесса одного периода по отношению к предыдущему периоду применяется такой показатель, как темп роста (снижения); рассчитывается как процентное отношение последующего (уровня) к предыдущему.
При сравнении динамических рядов с разными исходными уровнями (например, средними, интенсивными, абсолютными) используется показатель — значение 1% прироста (убыли); рассчитывается как отношение абсолютного прироста к темпу прироста за каждый период.
Для обобщенной количественной оценки тенденций динамического ряда используется показатель, именуемый средним темпом прироста (снижения), выраженный в %. При его расчете для большинства рядов можно использовать следующую формулу:

где К = 1 при нечетном числе уровней ряда; К = 2 при четном числе уровней ряда;
а и в — показатели линейной зависимости, используемые при выравнивании ряда методом наименьших квадратов.
Оценка достоверности результатов исследования
Применяя метод оценки достоверности результатов исследования для изучения общественного здоровья и деятельности учреждений здравоохранения, а также в своей научной деятельности, исследователь должен уметь правильно выбрать способ данного метода. Среди методов оценки достоверности различают параметрические и непараметрические.
Параметрическими называют количественные методы статистической обработки данных, применение которых требует обязательного знания закона распределения изучаемых признаков в совокупности и вычисления их основных параметров.
Непараметрическими являются количественные методы статистической обработки данных, применение которых не требует знания закона распределения изучаемых признаков в совокупности и вычисления их основных параметров.
Как параметрические, так и непараметрические методы, используемые для сравнения результатов исследований, т.е. для сравнения выборочных совокупностей, заключаются в применении определенных формул и расчете определенных показателей в соответствии с предписанными алгоритмами. В конечном результате высчитывается определенная числовая величина, которую сравнивают с табличными пороговыми значениями. Критерием достоверности будет результат сравнения полученной величины и табличного значения при данном числе наблюдений (или степеней свободы) и при заданном уровне безошибочного прогноза.
Таким образом, в статистической процедуре оценки основное значение имеет полученный критерий достоверности, поэтому сам способ оценки достоверности в целом иногда называют тем или иным критерием по фамилии автора, предложившего его в качестве основы метода.
Применение параметрических методов
При проведении выборочных исследований полученный результат не обязательно совпадает с результатом, который мог бы быть получен при исследовании всей генеральной совокупности. Между этими величинами существует определенная разница, называемая ошибкой репрезентативности, т.е. это погрешность, обусловленная переносом результатов выборочного исследования на всю генеральную совокупность.
|
Средняя ошибка средней арифметической величины определяется по формуле: |
|
где σ — среднеквадратическое отклонение n — число наблюдений |
|
Ошибка относительного показателя определяется по формуле: |
|
где p — показатель, выраженный в %, ‰, %оо и т.д. q = (100 - р), при p выраженном в %; или (1000 - р), при p выраженном в ‰ или (10000 - р), при p выраженном в %оо и т.д. |
|
При числе наблюдений меньше 30 ошибки репрезентативности определяются соответственно по формулам: |
|
Определение доверительных границ средних и относительных величин
Формулы определения доверительных границ представлены следующим образом:
для средних величин (М): М>ген> = М>выб> ± tm
для относительных показателей (Р): Р>ген> = Р>выб> ± tm
где М>ген> и Р>ген> — соответственно, значения средней величины и относительного показателя генеральной совокупности;
М>вы6> и Р>вы6> — значения средней величины и относительного показателя выборочной совокупности;
m — ошибка репрезентативности;
t — критерий достоверности (доверительный коэффициент).
Данный способ применяется в тех случаях, когда по результатам выборочной совокупности необходимо судить о размерах изучаемого явления (или признака) в генеральной совокупности.
Обязательным условием для применения способа является репрезентативность выборочной совокупности. Для переноса результатов, полученных при выборочных исследованиях, на генеральную совокупность необходима степень вероятности безошибочного прогноза (Р), показывающая, в каком проценте случаев результаты выборочных исследований по изучаемому признаку (явлению) будут иметь место в генеральной совокупности.
При определении доверительных границ средней величины или относительного показателя генеральной совокупности, исследователь сам задает определенную (необходимую) степень вероятности безошибочного прогноза (Р).
Для большинства медико-биологических исследований считается достаточной степень вероятности безошибочного прогноза, равная 95%, а число случаев генеральной совокупности, в котором могут наблюдаться отклонения от закономерностей, установленных при выборочном исследовании, не будут превышать 5%. При ряде исследований, связанных, например, с применением высокотоксичных веществ, вакцин, оперативного лечения и т.п., в результате чего возможны тяжелые заболевания, осложнения, летальные исходы, применяется степень вероятности Р = 99,7%, т.е. не более чем у 1% случаев генеральной совокупности возможны отклонения от закономерностей, установленных в выборочной совокупности.
Заданной степени вероятности (Р) безошибочного прогноза соответствует определенное, подставляемое в формулу, значение критерия t, зависящее также и от числа наблюдений.
При n>30 степени вероятности безошибочного прогноза Р = 99,7% — соответствует значение t = 3, а при Р = 95,5% — значение t = 2.
При п<30 величина t при соответствующей степени вероятности безошибочного прогноза определяется по специальной таблице (Н.А. Плохинского).
Оценка достоверности разности результатов исследования
Данный способ применяется в тех случаях, когда необходимо определить, случайны или достоверны (существенны), т.е. обусловлены какой-то причиной, различия между двумя средними величинами или относительными показателями. Обязательным условием для применения данного способа является репрезентативность выборочных совокупностей, а также наличие причинно-следственной связи между сравниваемыми величинами (показателями) и факторами, влияющими на них.
Формулы определения достоверности разности представлены следующим образом:
для
средних величин для относительных
показателей


где t — критерий достоверности, m>1> и m>2> — ошибки репрезентативности, М>1> и М>2> — средние величины, Р>1> и Р>2> — относительные показатели.
Если вычисленный критерий t более или равен 2 (t ≥ 2), что соответствует вероятности безошибочного прогноза Р равном или более 95% (Р ≥ 95%), то разность следует считать достоверной (существенной), т.е. обусловленной влиянием какого-то фактора, что будет иметь место и в генеральной совокупности.
При t < 2, вероятность безошибочного прогноза Р < 95%, это означает, что разность недостоверна, случайна, т.е. не обусловлена какой-то закономерностью (не обусловлена влиянием какого-то фактора).
Поэтому полученный критерий должен всегда оцениваться по отношению к конкретной цели исследования.
Литература
Власов В.В. Эпидемиология. — М.: ГЭОТАР-МЕД, 2004. — 464 с.
Лисицын Ю.П. Общественное здоровье и здравоохранение. Учебник для вузов. — М.: ГЭОТАР-МЕД, 2007. — 512 с.
Медик В.А., Юрьев В.К. Курс лекций по общественному здоровью и здравоохранению: Часть 1. Общественное здоровье. — М.: Медицина, 2003. — 368 с.
Миняев В.А., Вишняков Н.И. и др. Социальная медицина и организация здравоохранения (Руководство в 2 томах). — СПб, 1998. -528 с.
Кучеренко В.З., Агарков Н.М. и др.Социальная гигиена и организация здравоохранения (Учебное пособие) — Москва, 2000. — 432 с.
С. Гланц. Медико-биологическая статистика. Пер с англ. — М., Практика, 1998. — 459 с.
Ревматология. Клинические рекомендации М. 2008 г.