ОТВЕТЫ И РЕШЕНИЯ
Расчет сопротивления проводников
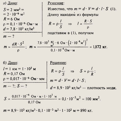
№1302.
Сопротивление проволоки
площадью 1 мм2 в 20 раз меньше сопротивления проволоки площадью 0,05
мм2. Жгуты из толстой медной
проволоки приваривают к концам обоих рельсов для уменьшения электрического сопротивления
стыков рельс. Сопротивление второй проволоки
в 5 раз больше сопротивления первой. Сопротивление первого проводники
в 16 раз больше сопротивления второго. Решение задачи аналогично
№ 1309. Решение задачи аналогично
№ 1313. Решение задачи аналогично
№ 1313. 





























