ОТВЕТЫ И РЕШЕНИЯ
Тепловое действие тока
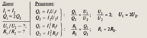
№1441.
При соединении концов проводников
А между собой загорится лампа. Если после этого соединить точки В и С. то произойдет
короткое замыкание. Назначение предохранителей
— быстро отключить линию. Если сила тока вдруг окажется выше допустимой нормы,
проволочка предохранителя должна быстро расплавиться, поэтому тугоплавкие металлы
для его изготовления не применяются. Спираль укоротили, значит
сопротивление ее уменьшилось, следовательно ток увеличится и мощность тоже увеличится
Р = UI. Так как удельное сопротивление
железа почти в 9 раз больше удельного сопротивления меди, т. е. рж>
рм и, следовательно, Rж> Rм почти в 9 раз.
Таким образом на железных проводах будет теряться энергии в 9 раз больше, чем
на медных. Поэтому нить накала лампочки в цепи с медными проводами будет светиться
ярче. Накал лампы мощностью 25
Вт будет в 4,4 раза больше. В случае короткого замыкания
или резкого увеличения нагрузки в цепи предохранитель может не перегореть, если
его заменить гвоздем или пучком проволоки, и может случиться пожар. Провода, подводящие ток
к электроплитке, не нагреваются, так же как спираль электроплитки из-за более
низкого удельного сопротивления проводов. ![]()











