ОТВЕТЫ И РЕШЕНИЯ
Энергия
Потенциальные нергии тел определяются по формулам

т. е. отношение масс тел должно быть обратно пропорционально отношению высот, на которые подняты эти тела.

За равные промежутки времени парашютист опускается на разные по величине расстояния, поэтому и работа, производимая силой тяжести за одинаковые промежутки времени, будет различна.
Из первых 3-х кирпичей наибольшую потенциальную энергию приобрел кирпич 1, наименьшую — кирпич 3. Из кирпичей 4—6 наибольшей потенциальной энергией относительно стола обладает кирпич 6. Проявиться эта энергия может при падении кирпича.
Потенциальная энергия кирпича относительно пола увеличится, так как центр тяжести кирпича займет более высокое положение.
Чтобы наступить на упавшее дерево, нужно совершить работу против силы тяжести; при перешагивании же эту работу не совершают.


Работа при открывании двери с пружиной производится человеком. При этом увеличивается потенциальная энергия пружины.
При ударе мяча ногой воздух в нем сжимается, давление и потенциальная энергия воздуха в мяче увеличиваются.






Два тела разной массы обладают одинаковой кинетической энергией, если отношение их масс обратно пропорционально отношению квадратов их скоростей.
Кинетическая энергия груза, который везет мальчик, изображенный слева, больше, так как больше скорость его движения.


При каждом следующем прыжке мяч подпрыгивает на меньшую высоту, так как часть механической энергии тратится на преодоление сил сопротивления, т. е. в конечном счете переходит в тепло.
Пенопластовые плиты пористы, содержат много воздуха. При наезде на них гоночной машины они амортизируют и смягчают удар.
Часть работы, затраченной на перемещение тележки, тратится на увеличение потенциальной энергии удара.
При опускании тележки груз, находящийся сверху, начнет падать, разматывая при этом нить. Уменьшение потенциальной энергии груза пойдет на ускорение тележки и она приобретет определенную скорость.
Прыгая на доску трамплина, спортсмен получает дополнительную скорость за счет упругой деформации доски. Часть энергии упругодеформированного трамплина пойдет на увеличение потенциальной энергии спортсмена.
Волноломы, устанавливаемые у морских берегов, принимают на себя и гасят морские волны. Причинами морских волн являются ветры.
Потенциальная энергия спутника относительно Земли максимальна в точке А и минимальна в точке В. Кинетическая энергия спутника минимальна в точке А и максимальна в точке В, В каждой точке траектории спутника сумма его кинетической и потенциальной энергий — есть величина постоянная.
Хрупкие веши перед перевозкой упаковывают в солому или вату, для того чтобы в результате резкого изменения движения смягчить удары. Вещи при ударе продолжают движение по инерции. В соломе, вате скорость тела гасится постепенно.
Часть энергии при движении по сыпучему песку или рыхлому снегу тратится на работу против силы тяжести, при "выдергивании" ног из песка, снега.

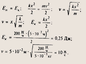
Перемещение свободно падающего тела «4 м, кинетическая энергия при этом увеличилась на 2 Дж.









В момент падения мяч обладает лишь кинетической энергией, т. е.
