Задание с ответами: химия. ЕГЭ — 2018
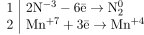
Используя метод электронного баланса, составьте уравнение реакции:

Определите окислитель и восстановитель.
Элементы ответа:
1) Составлен электронный баланс:

2) Расставлены коэффициенты в уравнении реакции:

3) Указано, что азот в степени окисления −3 (или аммиак за счёт азота −3) является восстановителем, а марганец в степени окисления +7 (или перманганат калия за счёт марганца +7) — окислителем.