Задание с ответами: химия. ЕГЭ — 2018
Используя метод электронного баланса, составьте уравнение реакции:

Определите окислитель и восстановитель.
Элементы ответа:
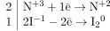
1) Составлен электронный баланс:

2) Указано, что иод в степени окисления −1 является восстановителем, а азот в степени окисления +3 (или нитрит калия за счёт азота в степени окисления +3) — окислителем.
3) Расставлены коэффициенты в уравнении реакции
