Задание с ответами: химия. ЕГЭ — 2018
Используя метод электронного баланса, составьте уравнение реакции:

Определите окислитель и восстановитель.
Элементы ответа:
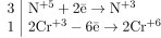
1) Составлен электронный баланс:

2) Расставлены коэффициенты в уравнении реакции:

3) Указано, что хром в степени окисления +3 является восстановителем, а азот встепени окисления +5 (или нитрат калия за счёт азота в степени окисления +5) — окислителем.